Benefits of A Three-Day Bamboo Forest Therapy Session on the Psychophysiology and Immune System Responses of Male College Students
Abstract
1. Introduction
2. Materials and Methods
2.1. Subjects and Experimental Sites
2.2. Procedures
2.3. Measurement
2.3.1. Psychological Indices
2.3.2. Physiological Indices
2.3.3. Immune System Indices
2.3.4. Sample Preparation
2.3.5. LDH and Cell Number Detection
2.3.6. ELISA Experiments
2.4. Statistical Analysis
3. Results
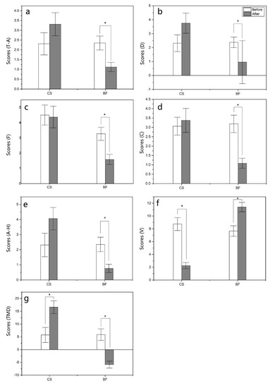
3.1. Bamboo Forest Therapy Contributes to the Regulation of Psychological Responses
3.2. Bamboo Forest Therapy Decreases BP in Male College Students
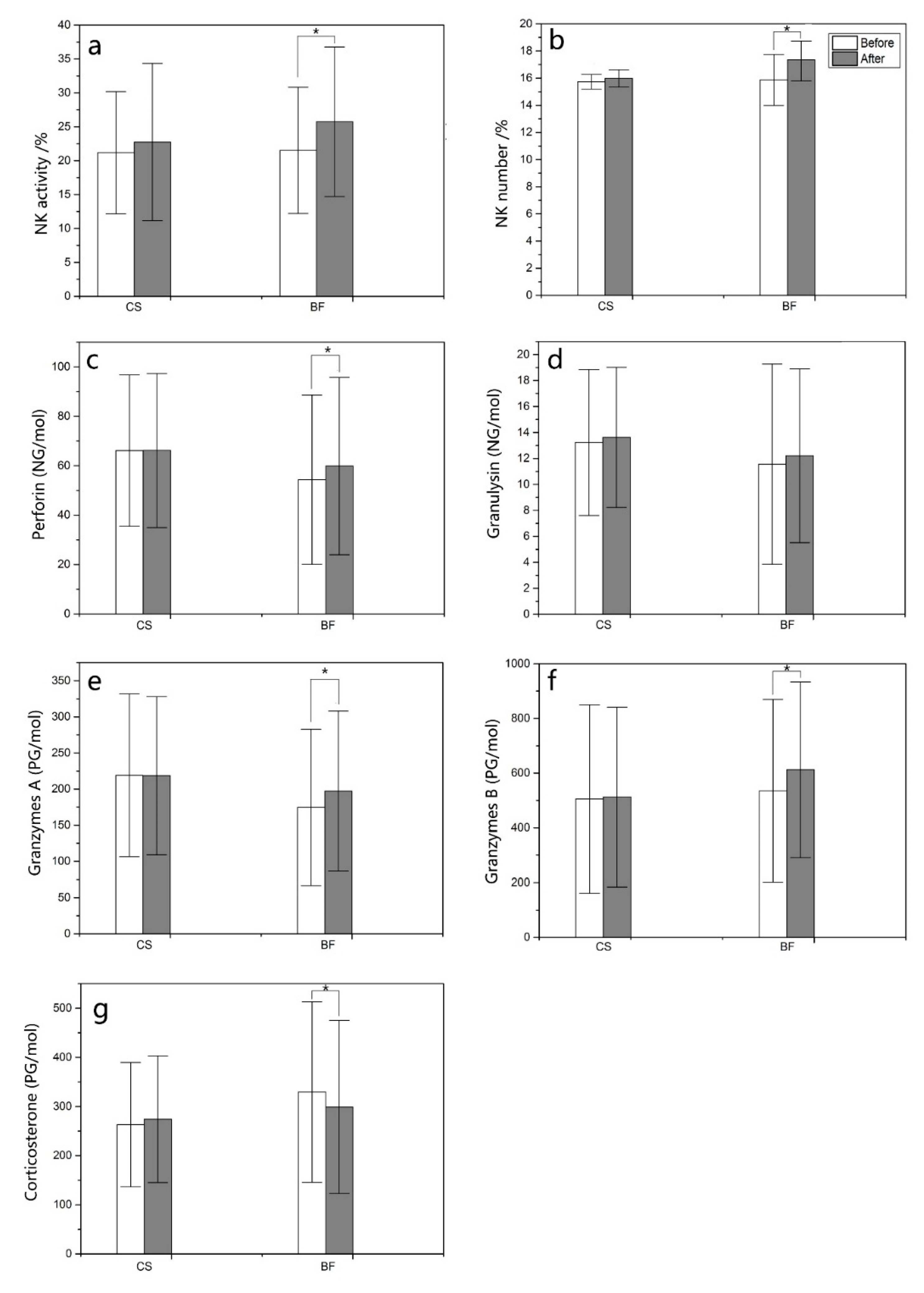
3.3. Bamboo Forest Therapy Enhances the Immune Response in Male College Students
4. Discussion
5. Conclusions
Author Contributions
Funding
Acknowledgments
Conflicts of Interest
References
- Lee, I.; Choi, H.; Bang, K.; Kim, S.; Song, M.; Lee, B. Effects of forest therapy on depressive symptoms among adults: A systematic review. Int. J. Environ. Res. Public Health 2017, 14, 321. [Google Scholar] [CrossRef] [PubMed]
- Staats, H.; Jahncke, H.; Herzog, T.R.; Hartig, T. Urban options for psychological restoration: Common strategies in everyday situations. PLoS ONE 2016, 11, e0146213. [Google Scholar] [CrossRef] [PubMed]
- Yu, C.P.; Lin, C.M.; Tsai, M.J.; Tsai, Y.C.; Chen, C.Y. Effects of short forest bathing program on autonomic nervous system activity and mood states in middle-aged and elderly individuals. Int. J. Environ. Res. Public Health 2017, 14, 897. [Google Scholar] [CrossRef] [PubMed]
- Sifferlin, A. The healing power of nature. Time 2016, 7, 23–26. [Google Scholar]
- Lu, R.S. World Health Report of 2007. J. Med. Inform. 2007, 6, 637–638. [Google Scholar]
- Eisenberg, D.; Gollust, S.E.; Golberstein, E.; Hefner, J.L. Prevalence and correlates of depression, anxiety, and suicidality among university students. Am. J. Orthopsychiatr. 2007, 77, 534–542. [Google Scholar] [CrossRef]
- Regehr, C.; Glancy, D.; Pitts, A. Interventions to reduce stress in university students: A review and meta-analysis. J. Affect. Disord. 2013, 148, 1–11. [Google Scholar] [CrossRef]
- Frumkin, H. Beyond toxicity human health and the natural environment. Am. J. Prev. Med. 2001, 20, 234–240. [Google Scholar] [CrossRef]
- UN-Habitat. State of the World’s Cities: Bridging the Urban Divide. Available online: http://www.unhabitat.org/documents/SOWC10/R7.pdf (accessed on 1 June 2011).
- Williams, F. This is your brain on nature. Natl. Geogr. 2016, 229, 48–69. [Google Scholar]
- Hartig, T.; Evans, G.W.; Jamner, L.D.; Davis, D.S.; Gärling, T. Tracking restoration in natural and urban field settings. J. Environ. Psychol. 2003, 23, 109–123. [Google Scholar] [CrossRef]
- Laumann, K.; Gärling, T.; Stormark, K.M. Selective attention and heart rate responses to natural and urban environments. J. Environ. Psychol. 2003, 23, 125–134. [Google Scholar] [CrossRef]
- Morita, E.; Fukuda, S.; Nagano, J.; Hamajima, N.; Yamamoto, H.; Iwai, Y.; Nakashima, T.; Ohira, H.; Shirakawa, T. Psychological effects of forest environments on healthy adults: Shinrin-yoku (forest-air bathing, walking) as a possible method of stress reduction. Public Health 2007, 121, 54–63. [Google Scholar] [CrossRef] [PubMed]
- Berg, A.E.; Maas, J.; Verheij, R.A.; Groenewegen, P.P. Green space as a buffer between stressful life events and health. Soc. Sci. Med. 2010, 70, 1203–1210. [Google Scholar] [CrossRef] [PubMed]
- Horiuchi, M.; Endo, J.; Takayama, N.; Murase, K.; Nishiyama, N.; Saito, H.; Fujiwara, A. Impact of viewing vs. Not viewing a real forest on physiological and psychological responses in the same setting. Int. J. Environ. Res. Public Health 2014, 11, 10883–10901. [Google Scholar] [CrossRef] [PubMed]
- Karjalainen, E.; Sarjala, T.; Raitio, H. Promoting human health through forests: Overview and major challenges. Environ. Health Prev. Med. 2010, 15, 1–8. [Google Scholar] [CrossRef]
- Park, B.J.; Tsunetsugu, Y.; Kasetani, T.; Kagawa, T.; Miyazaki, Y. The physiological effects of Shinrin-yoku (taking in the forest atmosphere or forest bathing): Evidence from field experiments in 24 forests across Japan. Environ. Health Prev. Med. 2010, 15, 18–26. [Google Scholar] [CrossRef]
- Tsunetsugu, Y.; Park, B.J.; Ishii, H.; Hirano, H.; Kagawa, T.; Miyazaki, Y. Physiological effects of Shinrin-yoku (taking in the atmosphere of the forest) in an old-growth broadleaf forest in Yamagata Prefecture, Japan. J. Physiol. Anthropol. 2007, 26, 135–142. [Google Scholar] [CrossRef]
- Song, C.; Lee, J.; Ikei, H.; Kagawa, T.; Miyazaki, Y.; Park, B.-J. Physiological and psychological effects of walking around and viewing a lake in a forest environment. J. Korean For. Soc. 2015, 104, 140–149. [Google Scholar] [CrossRef]
- Herzog, T.R.; Black, A.M.; Fountaine, K.A.; Knotts, D.J. Reflection and attentional recovery as two distinctive benefits of restorative environments. J. Environ. Psychol. 1997, 17, 165–170. [Google Scholar] [CrossRef]
- Kaplan, R. The nature of the view from home: Psychological benefits. Environ. Behav. 2001, 33, 507–542. [Google Scholar] [CrossRef]
- Joung, D.; Kim, G.; Choi, Y.; Lim, H.; Park, S.; Woo, J.; Park, B. The Prefrontal Cortex Activity and Psychological Effects of Viewing Forest Landscapes in Autumn Season. Int. J. Environ. Res. Public Health 2015, 12, 7235–7243. [Google Scholar] [CrossRef] [PubMed]
- Lee, J.; Tsunetsugu, Y.; Takayama, N.; Park, B.J.; Li, Q.; Song, C.; Komatsu, M.; Ikei, H.; Tyrväinen, L.; Kagawa, T.; et al. Influence of forest therapy on cardiovascular relaxation in young adults. Evid. Based Complement Alternat. Med. 2014, 2014, 834360. [Google Scholar] [CrossRef] [PubMed]
- Li, Q.; Morimoto, K.; Nakadai, A.; Inagaki, H.; Katsumata, M.; Shimizu, T.; Hirata, Y.; Hirata, K.; Suzuki, H.; Miyazaki, Y. Forest bathing enhances human natural killer activity and expression of anti-cancer proteins. Int. J. Immunopathol. Pharmacol. 2007, 20, 3–8. [Google Scholar] [CrossRef] [PubMed]
- Li, Q.; Morimoto, K.; Kobayashi, M.; Inagaki, H.; Katsumata, M.; Hirata, Y.; Hirata, K.; Shimizu, T.; Li, Y.; Wakayama, Y. A forest bathing trip increases human natural killer activity and expression of anti-cancer proteins in female subjects. J. Biol. Regul. Homeost. Agents 2008, 22, 45–55. [Google Scholar] [PubMed]
- Li, Q.; Kobayashi, M.; Inagaki, H.; Hirata, Y.; Li, Y.; Hirata, K.; Shimizu, T.; Suzuki, H.; Katsumata, M.; Wakayama, Y. A day trip to a forest park increases human natural killer activity and the expression ofanti-cancer proteins in male subjects. J. Biol. Regul. Homeost. Agents 2010, 24, 157–165. [Google Scholar] [PubMed]
- Zhou, B.Z.; Fu, M.Y.; Xie, J.Z.; Yang, X.S.; Li, Z.C. Ecological functions of bamboo forest: Research and Application. For. Res. 2005, 16, 143–147. [Google Scholar]
- Liu, S.L.; Yang, R.J.; Yang, R.J.; Yi, T.P.; Song, H.X.; Jiang, M.Y.; Tripathi, D.K.; Ma, M.D.; Chen, Q.B. Differentiating Thamnocalamus Munro from Fargesia Franchet emend. Yi (Bambusoideae, Poaceae): Novel evidence from morphological and neural-network analyses. Sci. Rep. 2017, 7, 4192. [Google Scholar] [CrossRef]
- Zhu, B.L. Brief introduction of POMS scale and its model for China. J. Tianjin Inst. Phys. Educ. 1995, 10, 35–37. [Google Scholar]
- McNair, D.M.; Lorr, M.; Droppleman, L.F. Profile of Mood States; Revised; EdITS/Educational and Industrial Testing Service: San Diego, CA, USA, 1992. [Google Scholar]
- Mao, G.X.; Cao, Y.B.; Lan, X.G.; He, Z.H.; Chen, Z.M.; Wang, Y.Z.; Hu, X.L.; Lv, Y.D.; Wang, G.F.; Yan, J. Therapeutic effect of forest bathing on human hypertension in the elderly. J. Cardiol. 2012, 60, 495–502. [Google Scholar] [CrossRef]
- Tsunetsugu, Y.; Lee, J.; Park, B.J.; Tyrväinen, L.; Kagawa, T.; Miyazaki, Y. Physiological and psychological effects of viewing urban forest landscapes assessed by multiple measurements. Landsc. Urban Plan. 2013, 113, 90–93. [Google Scholar] [CrossRef]
- Song, C.; Ikei, H.; Kobayashi, M.; Miura, T.; Li, Q.; Kagawa, T.; Kumeda, S.; o Imai, M.; Miyazaki, Y. Effects of viewing forest landscape on middle-aged hypertensive men. Urban For. Urban Green. 2017, 21, 247–252. [Google Scholar] [CrossRef]
- Han, J.W.; Choi, H.; Jeon, Y.H.; Yoon, C.H.; Woo, J.M.; Kim, W. The effects of forest therapy on coping with chronic widespread pain: Physiological and psychological differences between participants in a forest therapy program and a control group. Int. J. Environ. Res. Public Health 2016, 13, 255. [Google Scholar] [CrossRef] [PubMed]
- Herberman, R.B. Natural killer cells. Ann. Rev. Med. 1986, 37, 347–352. [Google Scholar] [CrossRef] [PubMed]
- Vivier, E.; Tomasello, E.; Baratin, M.; Walzer, T.; Ugolini, S. Functions of natural killer cells. Nat. Immunol. 2008, 9, 503–510. [Google Scholar] [CrossRef]
- Barlozzari, T.; Leonhardt, J.; Wiltrout, R.; Herberman, R.B.; Reynolds, C.W. Direct evidence for the role of LGL in the inhibition of experimental tumor metastases. J. Immunol. 1985, 134, 2783–2789. [Google Scholar]
- Bukowski, J.F.; Woda, B.A.; Habu, S.; Okumura, K.; Welsh, R.M. Natural killer cell depletion enhances virus synthesis and virus-induced hepatitis in vivo. J. Immunol. 1983, 131, 1531–1538. [Google Scholar]
- Li, Q.; Morimoto, K.; Nakadai, A.; Qu, T.L.; Matsushima, H.; Katsumata, M.; Shimizu, T.; Inagaki, H.; Hirata, Y.; Hirata, K.; et al. Healthy lifestyles are associated with higher levels of perforin, granulysin and granzymes A/B-expressing cells in peripheral blood lymphocytes. Prev. Med. 2007, 44, 117–123. [Google Scholar] [CrossRef]
- Wilson, E.O. Biophilia: The Human Bond with Other Species; Harvard University Press: Cambridge, UK, 1984. [Google Scholar]
- Ulrich, R.S.; Addoms, D.L. Psychological and Recreational Benefits of a Residential Park. J. Leis. Res. 1981, 13, 43–65. [Google Scholar] [CrossRef]
- Kaplan, S. Journal of the restorative benefits of nature: Towards an integrative framework. Environ. Psychol. 1995, 1, 169–182. [Google Scholar] [CrossRef]
- Tsunetsugu, Y.; Park, B.J.; Miyazaki, Y. Trends in research related to ‘Shinrin-yoku’ (taking in the forest atmosphere or forest bathing) in Japan. Environ. Health Prev. Med. 2010, 15, 27–37. [Google Scholar] [CrossRef]
- Song, C.; Ikei, H.; Miyazaki, Y. Physiological Effects of Nature Therapy: A Review of the Research in Japan. Int. J. Environ. Res. Public Health 2016, 13, 781. [Google Scholar] [CrossRef] [PubMed]
- Jo, H.; Rodiek, S.; Fujii, E.; Miyazaki, Y.; Park, B.J.; Ann, S.W. Physiological and psychological response to floral scent. Hortscience 2013, 48, 82–88. [Google Scholar] [CrossRef]
- Li, Q.; Kobayashi, M.; Wakayama, Y.; Inagaki, H.; Katsumata, M.; Hirata, Y.; Hirata, K.; Shimizu, T.; Kawada, T.; Park, J.; et al. Effect of phytoncide from trees on human natural killer cell function. Int. J. Immunopathol. Pharmacol. 2009, 22, 951–959. [Google Scholar] [CrossRef] [PubMed]
- Cho, K.S.; Lim, Y.R.; Lee, K.; Lee, J.; Lee, J.H.; Lee, I.S. Terpenes from forests and human health. Toxicol. Res. 2017, 33, 97–106. [Google Scholar] [CrossRef]
- Zhang, Y.; Tang, J. Research of aromatic volatile substances on bamboo leaves. Natl. Prod. Res. Dev. 1998, 10, 38–44. [Google Scholar]
- Yang, P.; Liu, H.B.; Pan, J.J.; Chen, D.M. Comparative study on volatile oil composition and antibacterial activity of bamboo leaves in different seasons. J. Nucl. Agric. Sci. 2015, 2, 313–320. [Google Scholar]
- Kim, W.; Lim, S.; Chung, E.; Woo, J. The Effect of Cognitive Behavior Therapy-Based Psychotherapy Applied in a Forest Environment on Physiological Changes and Remission of Major Depressive Disorder. Psychiatry Investig. 2009, 6, 245–254. [Google Scholar] [CrossRef]
- Stigsdotter, U.K.; Corazon, S.S.; Sidenius, U.; Refshauge, A.D.; Grahn, P. Forest design for mental health promotion-Using perceived sensory dimensions to elicit restorative responses. Landsc. Urban Plan. 2017, 160, 1–15. [Google Scholar] [CrossRef]
- Omigbodun, O.; Oyebode, F. Contemporary Issues in Mental Health Care in Sub-Saharan Africa; BookBuilders Editions Africa: Port Harcourt, Nigeria, 2017; pp. 203–204. [Google Scholar]
- Park, I.; Hong, Y. Culture and sensory response to visual stimuli. Int. J. Psychol. 2018, 53, 77–81. [Google Scholar] [CrossRef]
- Ader, R.; Cohen, N.; Felten, D. Psychoneuroimmunology: Interactions between the nervous system and the immune system. Lancet 1995, 345, 99–103. [Google Scholar] [CrossRef]
- Ader, R.; Cohen, N.; Felten, D.L. The influence of conditioning on immune responses. In Psychoneuroimmunology, 2nd ed.; Academic: New York, NY, USA, 1991; pp. 611–646. [Google Scholar]
- Lee, J.; Park, B.J.; Tsunetsugu, Y.; Ohira, T.; Kagawa, T.; Miyazaki, Y. Effect of forest bathing on physiological and psychological responses in young Japanese male subjects. Public Health 2011, 125, 93–100. [Google Scholar] [CrossRef] [PubMed]
- Olshansky, B.; Sabbah, H.N.; Hauptman, P.J.; Colucci, W.S. Parasympathetic nervous system and heart failure pathophysiology and potential implications for therapy. Circulation 2008, 118, 863–871. [Google Scholar] [CrossRef]
- Yamaguchi, M.; Deguchi, M.; Miyazaki, Y. The effects of exercise in forest and urban environments on sympathetic nervous activity of normal young adults. J. Int. Med. Res. 2006, 34, 152–159. [Google Scholar] [CrossRef]
- Li, Q.; Morimoto, K.; Kobayashi, M.; Inagaki, H.; Katsumata, M.; Hirata, Y.; Hirata, K.; Suzuki, H.; Li, Y.J.; Wakayama, Y. Visiting a forest, but not a city, increases human natural killer activity and expression of anti-cancer proteins. Int. J. Immunopathol. Pharmacol. 2008, 21, 117–127. [Google Scholar] [CrossRef]
- DeRijk, R.; Berkenbosch, F. The immune–hypothalamo–pituitary–adrenal axis and autoimmunity. Int. J. Neurosci. 1991, 59, 91–100. [Google Scholar] [CrossRef]
- Garland, M.; Doherty, D.; Golden-Mason, L.; Fitzpatrick, P.; Walsh, N.; O’Farrelly, C. Stress-related hormonal suppression of natural killer activity does not show menstrual cycle variations: Implications for timing of surgery for breast cancer. Anticancer Res. 2003, 23, 2531–2535. [Google Scholar]
- Yokota, T.; Uehara, K.; Nomoto, Y. Addition of noradrenaline to intrathecal morphine augments the postoperative suppression of natural killer cell activity. J. Anesth. 2004, 18, 190–195. [Google Scholar] [CrossRef]
- Li, Q.; Liang, Z.; Nakadai, A.; Kawada, T. Effect of electric foot shock and psychological stress on activities of murine splenic natural killer and lymphokine-activated killer cells, cytotoxic T lymphocytes, natural killer receptors and mRNA transcripts for granzymes and perforin. Stress 2005, 8, 107–116. [Google Scholar] [CrossRef]
- Sun, X.L. The influence of psychological factors on the human immune system. J. Psychol. 1998, 2, 11–17. [Google Scholar]







| Parameter | CS | BF |
|---|---|---|
| Sample No. (count) | 15 | 45 |
| Age (years) | 21.6 ± 0.34 | 21.8 ± 0.25 |
| Weight (kg) | 65.5 ± 1.23 | 64.1 ± 0.82 |
| Height (cm) | 175.2 ± 0.50 | 174.6 ± 0.49 |
| BMI (kg m−2) | 21.3 ± 0.45 | 20.9 ± 0.24 |
| Parameter | CS | BF |
|---|---|---|
| Temperature (°C) | 28.9 ± 0.26 | 22.9 ± 1.21 |
| Relative humidity (%) | 60.5 ± 2.53 | 81.1 ± 4.23 |
| Radiant heat (°C) | 34.5 ± 0.73 | 23.1 ± 1.52 |
| Noise (dB) | 70.1 ± 0.68 | 45.6 ± 1.21 |
| Absolute illumination (lux) | 6585.7 ± 881 | 1578.3 ± 623.15 |
| Wind velocity (m/s) | 0.9 ± 0.19 | 0.2 ± 0.13 |
| Negative air ionization (ions/cm3) | 573.3 ±15.08 | 962.6 ± 38.97 |
© 2019 by the authors. Licensee MDPI, Basel, Switzerland. This article is an open access article distributed under the terms and conditions of the Creative Commons Attribution (CC BY) license (http://creativecommons.org/licenses/by/4.0/).
Share and Cite
Lyu, B.; Zeng, C.; Xie, S.; Li, D.; Lin, W.; Li, N.; Jiang, M.; Liu, S.; Chen, Q. Benefits of A Three-Day Bamboo Forest Therapy Session on the Psychophysiology and Immune System Responses of Male College Students. Int. J. Environ. Res. Public Health 2019, 16, 4991. https://doi.org/10.3390/ijerph16244991
Lyu B, Zeng C, Xie S, Li D, Lin W, Li N, Jiang M, Liu S, Chen Q. Benefits of A Three-Day Bamboo Forest Therapy Session on the Psychophysiology and Immune System Responses of Male College Students. International Journal of Environmental Research and Public Health. 2019; 16(24):4991. https://doi.org/10.3390/ijerph16244991
Chicago/Turabian StyleLyu, Bingyang, Chengcheng Zeng, Shouhong Xie, Di Li, Wei Lin, Nian Li, Mingyan Jiang, Shiliang Liu, and Qibing Chen. 2019. "Benefits of A Three-Day Bamboo Forest Therapy Session on the Psychophysiology and Immune System Responses of Male College Students" International Journal of Environmental Research and Public Health 16, no. 24: 4991. https://doi.org/10.3390/ijerph16244991
APA StyleLyu, B., Zeng, C., Xie, S., Li, D., Lin, W., Li, N., Jiang, M., Liu, S., & Chen, Q. (2019). Benefits of A Three-Day Bamboo Forest Therapy Session on the Psychophysiology and Immune System Responses of Male College Students. International Journal of Environmental Research and Public Health, 16(24), 4991. https://doi.org/10.3390/ijerph16244991

