Interactive Improvements of Visual and Auditory Function for Enhancing Performance in Youth Soccer Players
Abstract
1. Introduction
2. Materials and Methods
2.1. Participants
2.2. Study Design
2.3. Procedures
2.3.1. Health-Related PF
(1). Body Composition
(2). Cardiovascular Endurance (20-m Shuttle Run)
(3). Muscular Endurance (Push-Up)
(4). Flexibility (Sit and Reach)
2.3.2. Skill-Related PF
(1). Power (Standing Long Jump)
(2). Agility (Side-Step)
(3). Coordination and Speed (Dribble Test)
(4). Accuracy and Consistency (Pass Test)
2.3.3. RF (VRT and ART)
2.4. Training Program
2.5. Data Processing
3. Results
3.1. Changes in Health-Related Fitness Following the 22-Week Soccer Training Program
3.2. Changes in Skill-Related PF Following the 22-Week Soccer Training Program
3.3. Effects of RF Following the 22-Week Soccer Training Program
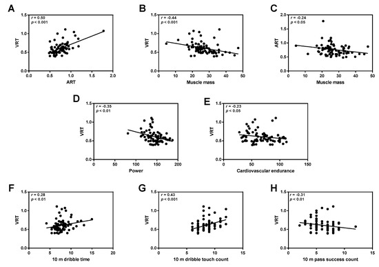
3.4. Correlations between VRT and ART and PF
3.5. Analysis of the Variables Influencing VRT and ART
4. Discussion
5. Practical Applications
6. Conclusions
Supplementary Materials
Author Contributions
Funding
Acknowledgments
Conflicts of Interest
References
- Brenner, J.S. American Academy of Pediatrics Council on Sports Medicine and Fitness Overuse injuries, overtraining, and burnout in child and adolescent athletes. Pediatrics 2007, 119, 1242–1245. [Google Scholar] [CrossRef] [PubMed]
- Pasulka, J.; Jayanthi, N.; McCann, A.; Dugas, L.R.; LaBella, C. Specialization patterns across various youth sports and relationship to injury risk. Physician Sportsmed. 2017, 45, 344–352. [Google Scholar] [CrossRef] [PubMed]
- Brenner, J.S. Council on Sports Medicine and Fitness Sports Specialization and Intensive Training in Young Athletes. Pediatrics 2016, 138, e20162148. [Google Scholar] [CrossRef] [PubMed]
- Bailey, R.; Morley, D. Towards a model of talent development in physical education. Sport Educ. Soc. 2006, 11, 211–230. [Google Scholar] [CrossRef]
- Sarmento, H.; Anguera, M.T.; Pereira, A.; Araújo, D. Talent Identification and Development in Male Football: A Systematic Review. Sports Med. 2018, 48, 907–931. [Google Scholar] [CrossRef]
- Dodd, K.D.; Newans, T.J. Talent identification for soccer: Physiological aspects. J. Sci. Med. Sport 2018, 21, 1073–1078. [Google Scholar] [CrossRef]
- Krustrup, P.; Mohr, M.; Steensberg, A.; Bencke, J.; Kjaer, M.; Bangsbo, J. Muscle and blood metabolites during a soccer game: Implications for sprint performance. Med. Sci. Sports Exerc. 2006, 38, 1165–1174. [Google Scholar] [CrossRef]
- Sporis, G.; Jukic, I.; Ostojic, S.M.; Milanovic, D. Fitness profiling in soccer: Physical and physiologic characteristics of elite players. J. Strength Cond. Res. 2009, 23, 1947–1953. [Google Scholar] [CrossRef]
- Mielgo-Ayuso, J.; Calleja-Gonzalez, J.; Del Coso, J.; Urdampilleta, A.; León-Guereño, P.; Fernández-Lázaro, D. Caffeine Supplementation and Physical Performance, Muscle Damage and Perception of Fatigue in Soccer Players: A Systematic Review. Nutrients 2019, 11, 440. [Google Scholar] [CrossRef]
- Black, G.M.; Gabbett, T.J.; Johnston, R.D.; Cole, M.H.; Naughton, G.; Dawson, B. The Influence of Physical Qualities on Activity Profiles of Female Australian Football Match Play. Int. J. Sports Physiol. Perform. 2018, 13, 524–529. [Google Scholar] [CrossRef]
- Los Arcos, A.; Martins, J. Physical Fitness Performance of Young Professional Soccer Players Does Not Change During Several Training Seasons in a Spanish Elite Reserve Team: Club Study, 1996–2013. J. Strength Cond. Res. 2018, 32, 2577–2583. [Google Scholar] [CrossRef] [PubMed]
- Buchheit, M.; Mendez-Villanueva, A. Reliability and stability of anthropometric and performance measures in highly-trained young soccer players: Effect of age and maturation. J. Sports Sci. 2013, 31, 1332–1343. [Google Scholar] [CrossRef] [PubMed]
- Deprez, D.; Fransen, J.; Boone, J.; Lenoir, M.; Philippaerts, R.; Vaeyens, R. Characteristics of high-level youth soccer players: Variation by playing position. J. Sports Sci. 2015, 33, 243–254. [Google Scholar] [CrossRef] [PubMed]
- Mendez-Villanueva, A.; Buchheit, M.; Kuitunen, S.; Douglas, A.; Peltola, E.; Bourdon, P. Age-related differences in acceleration, maximum running speed, and repeated-sprint performance in young soccer players. J. Sports Sci. 2011, 29, 477–484. [Google Scholar] [CrossRef]
- Fitzpatrick, J.F.; Hicks, K.M.; Hayes, P.R. Dose-Response Relationship Between Training Load and Changes in Aerobic Fitness in Professional Youth Soccer Players. Int. J. Sports Physiol. Perform. 2018, 13, 1–6. [Google Scholar] [CrossRef]
- Rowat, O.; Fenner, J.; Unnithan, V. Technical and physical determinants of soccer match-play performance in elite youth soccer players. J. Sports Med. Phys. Fit. 2017, 57, 369–379. [Google Scholar]
- Höner, O.; Leyhr, D.; Kelava, A. The influence of speed abilities and technical skills in early adolescence on adult success in soccer: A long-term prospective analysis using ANOVA and SEM approaches. PLoS ONE 2017, 12, e0182211. [Google Scholar] [CrossRef]
- Vaeyens, R.; Lenoir, M.; Williams, A.M.; Mazyn, L.; Philippaerts, R.M. The effects of task constraints on visual search behavior and decision-making skill in youth soccer players. J. Sport Exerc. Psychol. 2007, 29, 147–169. [Google Scholar] [CrossRef]
- Huijgen, B.C.H.; Elferink-Gemser, M.T.; Post, W.; Visscher, C. Development of dribbling in talented youth soccer players aged 12–19 years: A longitudinal study. J. Sports Sci. 2010, 28, 689–698. [Google Scholar] [CrossRef]
- Shenvi, D.; Balasubramanian, P. A comparative study of visual and auditory reaction times in males and females. Indian J. Physiol. Pharmacol. 1994, 38, 229–231. [Google Scholar]
- Verleger, R. On the utility of P3 latency as an index of mental chronometry. Psychophysiology 1997, 34, 131–156. [Google Scholar] [CrossRef] [PubMed]
- Huijgen, B.C.H.; Leemhuis, S.; Kok, N.M.; Verburgh, L.; Oosterlaan, J.; Elferink-Gemser, M.T.; Visscher, C. Cognitive Functions in Elite and Sub-Elite Youth Soccer Players Aged 13 to 17 Years. PLoS ONE 2015, 10, e0144580. [Google Scholar] [CrossRef]
- Verburgh, L.; Scherder, E.J.A.; van Lange, P.A.M.; Oosterlaan, J. Executive functioning in highly talented soccer players. PLoS ONE 2014, 9, e91254. [Google Scholar] [CrossRef] [PubMed]
- Schumacher, N.; Schmidt, M.; Wellmann, K.; Braumann, K.-M. General perceptual-cognitive abilities: Age and position in soccer. PLoS ONE 2018, 13, e0202627. [Google Scholar] [CrossRef] [PubMed]
- Ricotti, L.; Rigosa, J.; Niosi, A.; Menciassi, A. Analysis of balance, rapidity, force and reaction times of soccer players at different levels of competition. PLoS ONE 2013, 8, e77264. [Google Scholar] [CrossRef] [PubMed]
- Faul, F.; Erdfelder, E.; Lang, A.-G.; Buchner, A. G*Power 3: A flexible statistical power analysis program for the social, behavioral, and biomedical sciences. Behav. Res. Methods 2007, 39, 175–191. [Google Scholar] [CrossRef]
- Cohen, J. Statistical Power Analysis for the Behavioral Sciences, 2nd New ed.; Taylor & Francis Inc.: New York, NY, USA, 1988; ISBN 0805802835. [Google Scholar]
- Brown, E.F.; Wishney, L.R. Equity and Excellence: Political Forces in the Education of Gifted Students in the United States and Abroad. Glob. Educ. Rev. 2017, 4, 22–33. [Google Scholar]
- Zago, M.; Giuriola, M.; Sforza, C. Effects of a combined technique and agility program on youth soccer players’ skills. Int. J. Sports Sci. Coaching 2016, 11, 710–720. [Google Scholar] [CrossRef]
- Committee on Fitness Measures and Health Outcomes in Youth; Food and Nutrition Board; Institute of Medicine. Fitness Measures and Health Outcomes in Youth; Pate, R., Oria, M., Pillsbury, L., Eds.; National Academies Press: Washington, DC, USA, 2012. [Google Scholar]
- Yanci, J.; Los Arcos, A.; Mendiguchia, J.; Brughelli, M. Relationships Between Sprinting, Agility, One-and Two-Leg Vertical and Horizontal Jump in Soccer Players. Kinesiology 2014, 46, 194–201. [Google Scholar]
- Wang, W.; Hu, L.; Cui, H.; Xie, X.; Hu, Y. Spatio-temporal measures of electrophysiological correlates for behavioral multisensory enhancement during visual, auditory and somatosensory stimulation: A behavioral and ERP study. Neurosci. Bull. 2013, 29, 715–724. [Google Scholar] [CrossRef]
- Abernethy, B.; Zawi, K. Pickup of essential kinematics underpins expert perception of movement patterns. J. Mot. Behav. 2007, 39, 353–367. [Google Scholar] [CrossRef] [PubMed]
- Weineck, J. Optimales training: Leistungsphysiologische trainingslehre unter besonderer berücksichtigung des kinder-und jugendtrainings; Spitta Verlag GmbH & Co. KG: Balingen, Germany, 2004. [Google Scholar]
- Sparrow, W.A.; Sherman, C. Visual Expertise in the Perception of Action. Exerc. Sport Sci. Rev. 2001, 29, 124. [Google Scholar] [CrossRef] [PubMed]
- Williams, A.M. Perceptual skill in soccer: Implications for talent identification and development. J. Sports Sci. 2000, 18, 737–750. [Google Scholar] [CrossRef] [PubMed]
- Witkowski, Z.; Gargula, L.; Kinetics, W. Factor structure of technical and coordination potential of soccer players aged 15–18. J. Hum. Kinet. 2006, 15, 83–96. [Google Scholar]
- Michailidis, Y.; Tabouris, A.; Metaxas, T. Effects of plyometric and directional training on physical fitness parameters in youth soccer players. Int. J. Sports Physiol. Perform. 2019, 14, 392–398. [Google Scholar] [CrossRef]
- Murtagh, C.F.; Nulty, C.; Vanrenterghem, J.; O’Boyle, A.; Morgans, R.; Drust, B.; Erskine, R.M. The neuromuscular determinants of unilateral jump performance in soccer players are direction-specific. Int. J. Sports Physiol. Perform. 2018, 13, 604–611. [Google Scholar] [CrossRef]






| Participants | Age (years) | Height (cm) | Weight (kg) | BMI (kg/m2) |
|---|---|---|---|---|
| Youth soccer player (N = 78) | 9.54 ± 1.29 | 135.51 ± 9.72 | 33.11 ± 9.29 | 17.74 ± 3.13 |
| Variable | Dependent Variable | B | SE | β | t | DF | F |
|---|---|---|---|---|---|---|---|
| Auditory reaction time | Visual reaction time | 0.424 | 0.069 | 0.530 | 6.114 *** | 2 | 29.208 *** |
| 10 m dribble touch | 0.038 | 0.009 | 0.366 | 4.225 *** |
| Variable | Dependent Variable | B | SE | β | t | DF | F |
|---|---|---|---|---|---|---|---|
| Visual reaction time | Auditory reaction time | 0.690 | 0.120 | 0.551 | 5.763 *** | 1 | 33.206 *** |
© 2019 by the authors. Licensee MDPI, Basel, Switzerland. This article is an open access article distributed under the terms and conditions of the Creative Commons Attribution (CC BY) license (http://creativecommons.org/licenses/by/4.0/).
Share and Cite
Song, Y.H.; Ha, S.-M.; Yook, J.S.; Ha, M.-S. Interactive Improvements of Visual and Auditory Function for Enhancing Performance in Youth Soccer Players. Int. J. Environ. Res. Public Health 2019, 16, 4909. https://doi.org/10.3390/ijerph16244909
Song YH, Ha S-M, Yook JS, Ha M-S. Interactive Improvements of Visual and Auditory Function for Enhancing Performance in Youth Soccer Players. International Journal of Environmental Research and Public Health. 2019; 16(24):4909. https://doi.org/10.3390/ijerph16244909
Chicago/Turabian StyleSong, Young Hoon, Soo-Min Ha, Jang Soo Yook, and Min-Seong Ha. 2019. "Interactive Improvements of Visual and Auditory Function for Enhancing Performance in Youth Soccer Players" International Journal of Environmental Research and Public Health 16, no. 24: 4909. https://doi.org/10.3390/ijerph16244909
APA StyleSong, Y. H., Ha, S.-M., Yook, J. S., & Ha, M.-S. (2019). Interactive Improvements of Visual and Auditory Function for Enhancing Performance in Youth Soccer Players. International Journal of Environmental Research and Public Health, 16(24), 4909. https://doi.org/10.3390/ijerph16244909

