QUICK: Quality and Usability Investigation and Control Kit for Mass Spectrometric Data from Detection of Persistent Organic Pollutants
Abstract
1. Introduction
2. Method
2.1. Study Design and Overall Workflow of QUICK
2.2. QC Samples
2.3. Reference Data
2.4. Standard Data Quality
2.5. Blank Data Quality
2.6. Spike Data Quality
2.7. Target Data Usability without Duplicate Data
2.8. Target Data Usability with Duplicate Data
2.9. Implementation
3. Results
3.1. Standard Data Quality
3.2. Blank Data Quality
3.3. Spike Data Quality
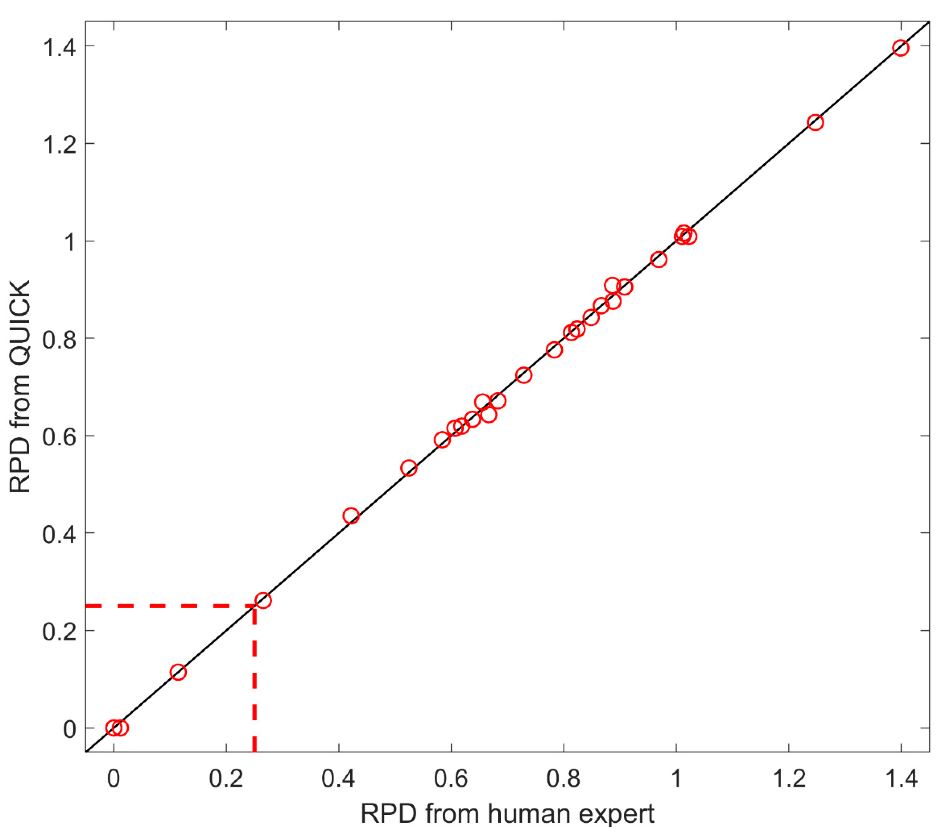
3.4. Target Data Usability without Duplicate Data
3.5. Target Data Usability with Duplicate Data
4. Discussion
5. Conclusions
Supplementary Materials
Author Contributions
Funding
Acknowledgments
Conflicts of Interest
Disclaimer
References
- Ashraf, M.A. Persistent organic pollutants (POPs): A global issue, a global challenge. Environ. Sci. Pollut. Res. Int. 2017, 24, 4223–4227. [Google Scholar] [CrossRef]
- Gaur, N.; Narasimhulu, K.; PydiSetty, Y. Recent advances in the bio-remediation of persistent organic pollutants and its effect on environment. J. Clean Prod. 2018, 198, 1602–1631. [Google Scholar] [CrossRef]
- El-Shahawi, M.S.; Hamza, A.; Bashammakh, A.S.; Al-Saggaf, W.T. An overview on the accumulation, distribution, transformations, toxicity and analytical methods for the monitoring of persistent organic pollutants. Talanta 2010, 80, 1587–1597. [Google Scholar] [CrossRef]
- Jones, K.C.; de Voogt, P. Persistent organic pollutants (POPs): State of the science. Environ. Pollut. 1999, 100, 209–221. [Google Scholar] [CrossRef]
- Beyer, A.; Mackay, D.; Matthies, M.; Wania, F.; Webster, E. Assessing long-range transport potential of persistent organic pollutants. Environ. Sci. Technol. 2000, 34, 699–703. [Google Scholar] [CrossRef]
- Kelly, B.C.; Ikonomou, M.G.; Blair, J.D.; Morin, A.E.; Gobas, F.A. Food web-specific biomagnification of persistent organic pollutants. Science 2007, 317, 236–239. [Google Scholar] [CrossRef]
- Alharbi, O.M.L.; Basheer, A.A.; Khattab, R.A.; Ali, I. Health and environmental effects of persistent organic pollutants. J. Mol. Liq. 2018, 263, 442–453. [Google Scholar] [CrossRef]
- Wilson, N.K.; Chuang, J.C.; Lyu, C. Levels of persistent organic pollutants in several child day care centers. J. Expo. Anal. Environ. Epidemiol. 2001, 11, 449–458. [Google Scholar] [CrossRef] [PubMed]
- Tang, H.P.-O. Recent development in analysis of persistent organic pollutants under the Stockholm Convention. Tractrends Anal. Chem. 2013, 45, 48–66. [Google Scholar] [CrossRef]
- Xu, W.; Wang, X.; Cai, Z. Analytical chemistry of the persistent organic pollutants identified in the Stockholm Convention: A review. Anal. Chim. Acta 2013, 790, 1–13. [Google Scholar] [CrossRef]
- Vallack, H.W.; Bakker, D.J.; Brandt, I.; Brostrom-Lunden, E.; Brouwer, A.; Bull, K.R.; Gough, C.; Guardans, R.; Holoubek, I.; Jansson, B.; et al. Controlling persistent organic pollutants—What next? Environ. Toxicol. Pharmacol. 1998, 6, 143–175. [Google Scholar] [CrossRef]
- EPA. EPA Method 1613 Tetra- through Octa-Chlorinated Dioxins and Furans by Isotope Dilution HRGC/HRMS; US EPA Office of Water: Washington, DC, USA, 1994.
- EPA. EPA Method 1668, Revision A: Chlorinated Biphenyl Congeners in Water, Soil, Sediment, and Tissue by HRGC/HRMS; US EPA Office of Water: Washington, DC, USA, 1999.
- EPA. EPA Method 1614A: Brominated Diphenyl Ethers in Water, Soil, Sediment, and Tissue by HRGC/HRMS; US EPA Office of Water: Washington, DC, USA, 2010.
- EU. Commission Regulation (EU) No 709/2014 of 20 June 2014 amending Regulation (EC) No 152/2009. Offic. J. Eur. Commun. 2014, 27, 1–18. [Google Scholar]
- Ten Dam, G.; Pussente, I.C.; Scholl, G.; Eppe, G.; Schaechtele, A.; van Leeuwen, S. The performance of atmospheric pressure gas chromatography—Tandem mass spectrometry compared to gas chromatography—High resolution mass spectrometry for the analysis of polychlorinated dioxins and polychlorinated biphenyls in food and feed samples. J. Chromatogr. A 2016, 1477, 76–90. [Google Scholar] [CrossRef] [PubMed]
- Portoles, T.; Sales, C.; Abalos, M.; Saulo, J.; Abad, E. Evaluation of the capabilities of atmospheric pressure chemical ionization source coupled to tandem mass spectrometry for the determination of dioxin-like polychlorobiphenyls in complex-matrix food samples. Anal. Chim. Acta 2016, 937, 96–105. [Google Scholar] [CrossRef] [PubMed]
- Garcia-Bermejo, A.; Abalos, M.; Saulo, J.; Abad, E.; Gonzalez, M.J.; Gomara, B. Triple quadrupole tandem mass spectrometry: A real alternative to high resolution magnetic sector instrument for the analysis of polychlorinated dibenzo-p-dioxins, furans and dioxin-like polychlorinated biphenyls. Anal. Chim. Acta 2015, 889, 156–165. [Google Scholar] [CrossRef]
- Ochiai, N.; Ieda, T.; Sasamoto, K.; Takazawa, Y.; Hashimoto, S.; Fushimi, A.; Tanabe, K. Stir bar sorptive extraction and comprehensive two-dimensional gas chromatography coupled to high-resolution time-of-flight mass spectrometry for ultra-trace analysis of organochlorine pesticides in river water. J. Chromatogr. A 2011, 1218, 6851–6860. [Google Scholar] [CrossRef]
- Hayward, D.G.; Archer, J.C.; Andrews, S.; Fairchild, R.D.; Gentry, J.; Jenkins, R.; McLain, M.; Nasini, U.; Shojaee, S. Application of a high-resolution quadrupole/orbital trapping mass spectrometer coupled to a gas chromatograph for the determination of persistent organic pollutants in cow’s and human milk. J. Agric. Food. Chem. 2018, 66, 11823–11829. [Google Scholar] [CrossRef]
- Dimpe, K.M.; Nomngongo, P.N. Current sample preparation methodologies for analysis of emerging pollutants in different environmental matrices. Tractrends Anal. Chem. 2016, 82, 199–207. [Google Scholar] [CrossRef]
- Capriotti, A.L.; Cavaliere, C.; Colapicchioni, V.; Piovesana, S.; Samperi, R.; Lagana, A. Analytical strategies based on chromatography-mass spectrometry for the determination of estrogen-mimicking compounds in food. J. Chromatogr. A 2013, 1313, 62–77. [Google Scholar] [CrossRef]
- Farré, M.; Barceló, D.; Barceló, D. Analysis of emerging contaminants in food. Tractrends Anal. Chem. 2013, 43, 240–253. [Google Scholar] [CrossRef]
- Archer, J.C.; Jenkins, R.G. Automated milk fat extraction for the analyses of persistent organic pollutants. J. Chromatogr. B 2017, 1041, 70–76. [Google Scholar] [CrossRef] [PubMed]
- Kim Halbert, M.; Archer, J.C. Dioxin and furan contamination of deodorizer distillates and natural vitamin E supplements. J. Food Compos. Anal. 2007, 20, 506–514. [Google Scholar] [CrossRef]
- Focant, J.F.; Pirard, C.; De Pauw, E. Automated sample preparation-fractionation for the measurement of dioxins and related compounds in biological matrices: A review. Talanta 2004, 63, 1101–1113. [Google Scholar] [CrossRef] [PubMed]
- Ortiz, X.; Marti, R.; Montana, M.J.; Gasser, M.; Margarit, L.; Broto, F.; Diaz-Ferrero, J. Fractionation of persistent organic pollutants in fish oil by high-performance liquid chromatography on a 2-(1-pyrenyl) ethyl silica column. Anal. Bioanal. Chem. 2010, 398, 985–994. [Google Scholar] [CrossRef]
- Archer, J.C.; Moore, M.; Guo, W.; Bruce, J.; McLain, M.; Fairchild, R.; Hong, H. Quality control algorithm for determining data acceptability. Organohalogen Compounds 2018, 80, 269–272. [Google Scholar]
- Yunker, L.P.E.; Donnecke, S.; Ting, M.; Yeung, D.; McIndoe, J.S. PythoMS: A Python framework to simplify and assist in the processing and interpretation of mass spectrometric data. J. Chem. Inf. Model. 2019, 59, 1295–1300. [Google Scholar] [CrossRef]
- Röst, H.L.; Schmitt, U.; Aebersold, R.; Malmström, L. pyOpenMS: A Python-based interface to the OpenMS mass-spectrometry algorithm library. Proteomics 2014, 14, 74–77. [Google Scholar] [CrossRef]
- O’Callaghan, S.; De Souza, D.P.; Isaac, A.; Wang, Q.; Hodkinson, L.; Olshansky, M.; Erwin, T.; Appelbe, B.; Tull, D.L.; Roessner, U.; et al. PyMS: A Python toolkit for processing of gas chromatography-mass spectrometry (GC-MS) data. Application and comparative study of selected tools. BMC Bioinform. 2012, 13, 115. [Google Scholar] [CrossRef]
- Wright, C. Analytical methods for monitoring contaminants in food—An industrial perspective. J. Chromatogr. A 2009, 1216, 316–319. [Google Scholar] [CrossRef]
- Camino-Sanchez, F.J.; Zafra-Gomez, A.; Perez-Trujillo, J.P.; Conde-Gonzalez, J.E.; Marques, J.C.; Vilchez, J.L. Validation of a GC-MS/MS method for simultaneous determination of 86 persistent organic pollutants in marine sediments by pressurized liquid extraction followed by stir bar sorptive extraction. Chemosphere 2011, 84, 869–881. [Google Scholar] [CrossRef]
- Focant, J.-F.; Eppe, G.; Scippo, M.-L.; Massart, A.-C.; Pirard, C.; Maghuin-Rogister, G.; Pauw, E.D. Comprehensive two-dimensional gas chromatography with isotope dilution time-of-flight mass spectrometry for the measurement of dioxins and polychlorinated biphenyls in foodstuffs. J. Chromatogr. A 2005, 1086, 45–60. [Google Scholar] [CrossRef] [PubMed]
- Van den Berg, M.; Birnbaum, L.S.; Denison, M.; De Vito, M.; Farland, W.; Feeley, M.; Fiedler, H.; Hakansson, H.; Hanberg, A.; Haws, L.; et al. The 2005 World Health Organization reevaluation of human and Mammalian toxic equivalency factors for dioxins and dioxin-like compounds. Toxicol. Sci. 2006, 93, 223–241. [Google Scholar] [CrossRef] [PubMed]








| Congener Type | TDS Sample | Chicken Egg Sample | Whole Milk Sample | Unit |
|---|---|---|---|---|
| Dioxin/Furan | 0.1500 | 0.1800 | 0.0298 | TEQ pg/g |
| mono PCB | 0.0030 | 0.0037 | 0.0005 | TEQ pg/g |
| marker PCB | 500 | 437 | 40.68 | pg/g |
| PBDE | 150 | 150 | 150 | pg/g |
© 2019 by the authors. Licensee MDPI, Basel, Switzerland. This article is an open access article distributed under the terms and conditions of the Creative Commons Attribution (CC BY) license (http://creativecommons.org/licenses/by/4.0/).
Share and Cite
Guo, W.; Archer, J.; Moore, M.; Bruce, J.; McLain, M.; Shojaee, S.; Zou, W.; Benjamin, L.A.; Adeuya, A.; Fairchild, R.; et al. QUICK: Quality and Usability Investigation and Control Kit for Mass Spectrometric Data from Detection of Persistent Organic Pollutants. Int. J. Environ. Res. Public Health 2019, 16, 4203. https://doi.org/10.3390/ijerph16214203
Guo W, Archer J, Moore M, Bruce J, McLain M, Shojaee S, Zou W, Benjamin LA, Adeuya A, Fairchild R, et al. QUICK: Quality and Usability Investigation and Control Kit for Mass Spectrometric Data from Detection of Persistent Organic Pollutants. International Journal of Environmental Research and Public Health. 2019; 16(21):4203. https://doi.org/10.3390/ijerph16214203
Chicago/Turabian StyleGuo, Wenjing, Jeffrey Archer, Morgan Moore, Jeffrey Bruce, Michelle McLain, Sina Shojaee, Wen Zou, Linda A. Benjamin, Anthony Adeuya, Russell Fairchild, and et al. 2019. "QUICK: Quality and Usability Investigation and Control Kit for Mass Spectrometric Data from Detection of Persistent Organic Pollutants" International Journal of Environmental Research and Public Health 16, no. 21: 4203. https://doi.org/10.3390/ijerph16214203
APA StyleGuo, W., Archer, J., Moore, M., Bruce, J., McLain, M., Shojaee, S., Zou, W., Benjamin, L. A., Adeuya, A., Fairchild, R., & Hong, H. (2019). QUICK: Quality and Usability Investigation and Control Kit for Mass Spectrometric Data from Detection of Persistent Organic Pollutants. International Journal of Environmental Research and Public Health, 16(21), 4203. https://doi.org/10.3390/ijerph16214203

