Is Carbon Dioxide (CO2) Emission an Important Factor Affecting Healthcare Expenditure? Evidence from China, 2005–2016
Abstract
1. Introduction
2. Materials and Methods
2.1. Estimation Method: Bayesian Quantile Regression Model (BQR)
2.2. Variables and Data Sources
3. Results
3.1. Description of Statistical Characteristics
3.2. Empirical Test
3.2.1. Stability Test—ADF (Augmented Dickey-Fuller) Test and Pool Test
3.2.2. Visual Test of MCMC (Markov Chain Monte Carlo) Convergence
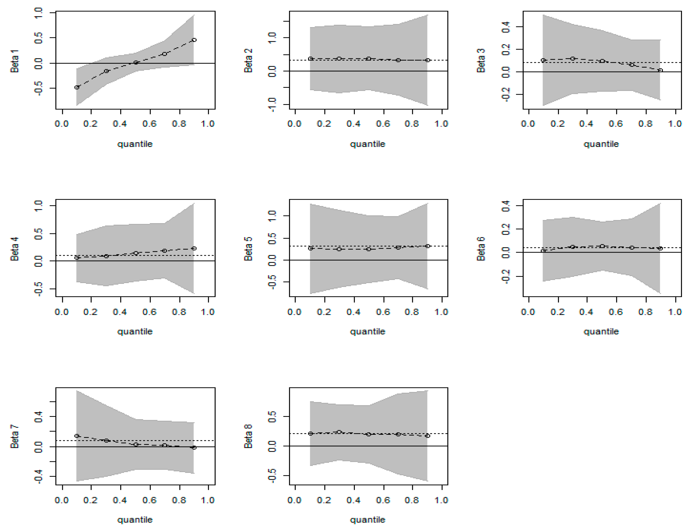
3.3. Empirical Results of Bayesian Quantile Regression
3.4. Comparison of Bayesian Quantile Regression (BQR) and the Traditional Empirical Methods
3.5. Time-Trend Analysis
4. Discussion
5. Conclusions
Author Contributions
Funding
Acknowledgments
Conflicts of Interest
Abbreviations
References
- Wang, H.; Xu, J.; Liu, X.; Sheng, L.; Zhang, D.; Li, L.; Wang, A. Study on the pollution status and control measures for the livestock and poultry breeding industry in northeastern China. Environ. Sci. Pollut. Res. 2018, 25, 4435–4445. [Google Scholar] [CrossRef] [PubMed]
- Xu, X.; Chen, L. Projection of Long-Term Care Costs in China, 2020–2050, Based on the Bayesian Quantile Regression Method. Sustainability 2019, 11, 3530. [Google Scholar] [CrossRef]
- Lu, X.; Yao, T.; Fung, J.C.; Lin, C. Estimation of health and economic costs of air pollution over the Pearl River Delta region in China. Sci. Total Environ. 2016, 566, 134–143. [Google Scholar] [CrossRef] [PubMed]
- Xu, X.; Chen, L. Influencing factors of disability among the elderly in China, 2003–2016: Application of Bayesian quantile regression. J. Med. Econ. 2019, 22, 605–611. [Google Scholar] [CrossRef]
- National Working Committee on Aging. The Fourth Sampling Survey on the Living Conditions of the Elderly in Urban and Rural Areas. 2016. Available online: http://www.cncaprc.gov.cn/ (accessed on 1 October 2019).
- Xie, W.; Li, G.; Zhao, D.; Xie, X.; Wei, Z.; Wang, W.; Wang, M.; Li, G.; Liu, W.; Sun, J.; et al. Relationship between fine particulate air pollution and ischaemic heart disease morbidity and mortality. Heart 2015, 101, 257–263. [Google Scholar] [CrossRef]
- Spix, C.; Wichmann, H.E. Daily mortality and air pollutants: Findings from Koln Germany. J. Epidemiol. Commun. Health 1996, 50, 52–58. [Google Scholar] [CrossRef]
- Mazidi, M.; Speakman, J. Ambient particulate air pollution (PM2.5) is associated with the ratio of type 2 diabetes to obesity. Sci. Rep. 2017, 7, 9144. [Google Scholar] [CrossRef]
- Nayak, T.; Chowdhury, I.R. Health damages from air pollution: Evidence from open cast coal mining region of Odisha, India. Ecol. Econ. Soc. 2018, 1, 42–65. [Google Scholar]
- Ridker, R. Economic Costs of Air Pollution: Studies in Measurement; Praeger: New York, NY, USA, 1967. [Google Scholar]
- Wordly, J.; Walters, S.; Ayres, J.G. Short term variations in hospital admissions and mortality and particulate air pollution. Occup. Environ. Med. 1997, 54, 108–116. [Google Scholar] [CrossRef]
- Mead, R.W.; Brajer, V. Protecting China’s children: Valuing the health impacts of reduced air pollution in Chinese cities. Environ. Dev. Econ. 2005, 10, 745–769. [Google Scholar] [CrossRef]
- Remoundou, K.; Koundouri, P. Environmental effects on public health: An economic perspective. Int. J. Environ. Res. Public Health 2009, 6, 2160–2178. [Google Scholar] [CrossRef] [PubMed]
- Hao, Y.; Liu, S.; Lu, Z.; Huang, J.; Zhao, M. The impact of environmental pollution on public health expenditure: Dynamic panel analysis based on Chinese provincial data. Environ. Sci. Pollut. Res. 2018, 25, 18853–18865. [Google Scholar] [CrossRef] [PubMed]
- Apergis, N.; Jebli, M.B.; Youssef, S.B. Does renewable energy consumption and health expenditures decrease carbon dioxide emissions? Evidence for sub-Saharan Africa countries. Renew. Energy 2018, 127, 1011–1016. [Google Scholar] [CrossRef]
- Zaidi, S.; Saidi, K. Environmental pollution, health expenditure and economic growth in the Sub-Saharan Africa countries: Panel ARDL approach. Sustain. Cities Soc. 2018, 41, 833–840. [Google Scholar] [CrossRef]
- Chaabouni, S.; Saidi, K. The dynamic links between carbon dioxide (CO2) emissions, health spending and GDP growth: A case study for 51 countries. Environ. Res. 2017, 158, 137–144. [Google Scholar] [CrossRef] [PubMed]
- Khoshnevis Yazdi, S.; Khanalizadeh, B. Air pollution, economic growth and health care expenditure. Econ. Res. Ekon. Istraž. 2017, 30, 1181–1190. [Google Scholar] [CrossRef]
- Wang, K. Health care expenditure and economic growth: Quantile panel-type analysis. Econ. Model 2011, 28, 1536–1549. [Google Scholar] [CrossRef]
- Lu, Z.; Chen, H.; Hao, Y.; Wang, J.; Song, X.; Mok, T.M. The dynamic relationship between environmental pollution, economic development and public health: Evidence from China. J. Clean. Prod. 2017, 166, 134–147. [Google Scholar] [CrossRef]
- Zhang, H.; Niu, Y.; Yao, Y.; Chen, R.; Zhou, X.; Kan, H. The Impact of ambient air pollution on daily hospital visits for various respiratory diseases and the relevant medical expenditures in Shanghai, China. Int. J. Environ. Res. Public Health 2018, 15, 425. [Google Scholar] [CrossRef]
- Usman, M.; Ma, Z.; Wasif Zafar, M.; Haseeb, A.; Ashraf, R.U. Are Air Pollution, Economic and Non-Economic Factors Associated with Per Capita Health Expenditures? Evidence from Emerging Economies. Int. J. Environ. Res. Public Health 2019, 16, 1967. [Google Scholar] [CrossRef]
- Dong, F.; Yu, B.; Pan, Y. Examining the synergistic effect of CO2 emissions on PM2.5 emissions reduction: Evidence from China. J. Clean. Prod. 2019, 223, 759–771. [Google Scholar] [CrossRef]
- Dong, F.; Li, J.; Wang, Y.; Zhang, X.; Zhang, S.; Zhang, S. Drivers of the decoupling indicator between the economic growth and energy-related CO2 in China: A revisit from the perspectives of decomposition and spatiotemporal heterogeneity. Sci. Total. Environ. 2019, 685, 631–658. [Google Scholar] [CrossRef] [PubMed]
- Chang, B.; Lorenzo, J.; Macario, A. Examining health care costs: Opportunities to provide value in the intensive care unit. Anesthesiol. Clin. 2015, 33, 753–770. [Google Scholar] [CrossRef] [PubMed]
- Li, L.; Lei, Y.; Pan, D.; Yu, C.; Si, C. Economic evaluation of the air pollution effect on public health in China’s 74 cities. SpringerPlus 2016, 5, 402. [Google Scholar] [CrossRef] [PubMed]
- Baltagi, B.H.; Moscone, F. Health care expenditure and income in the OECD reconsidered: Evidence from panel data. Econ. Model. 2010, 27, 804–811. [Google Scholar] [CrossRef]
- Yahaya, A.; Nor, N.M.; Habibullah, M.S.; Ghani, J.A.; Noor, Z.M. How relevant is environmental quality to per capita health expenditures? Empirical evidence from panel of developing countries. SpringerPlus 2016, 5, 925. [Google Scholar] [CrossRef] [PubMed]
- Ke, X.; Saksenaa, P.; Hollyb, A. The Determinants of Health Expenditure: A Country-Level Panel Data Analysis. Available online: https://pdfs.semanticscholar.org/52e1/37be1d740ecf27d9ded996e0bcca78f0087d.pdf?_ga=2.222453787.1289801735.1571394015-1588294245.1571394015.Working paper.2011.12 (accessed on 1 October 2019).
- Jerrett, M.; Eyles, J.; Dufournaud, C.; Birch, S. Environmental influences on health care expenditures: An exploratory analysis from Ontario, Canada. J. Epidemiol. Commun. Health 2003, 57, 334–338. [Google Scholar] [CrossRef]
- Narayan, P.K.; Narayan, S. Does environmental quality influence health expenditures? Empirical evidence from a panel of selected OECD countries. Ecol. Econ. 2008, 65, 367–374. [Google Scholar] [CrossRef]
- Chaabouni, S.; Zghidi, N.; Mbarek, M.B. On the causal dynamics between CO2 emissions, health expenditures and economic growth. Sustain. Cities Soc. 2016, 22, 184–191. [Google Scholar] [CrossRef]
- Apergis, N.; Gupta, R.; Lau, C.K.M.; Mukherjee, Z.U.S. state-level carbon dioxide emissions: Does it affect health care expenditure? Renew. Sustain. Energy Rev. 2018, 91, 521–530. [Google Scholar] [CrossRef]
- Xu, X.; Xu, Z.; Chen, L.; Li, C. How Does Industrial Waste Gas Emission Affect Health Care Expenditure in Different Regions of China: An Application of Bayesian Quantile Regression. Int. J. Environ. Res. Public Health 2019, 16, 2748. [Google Scholar] [CrossRef] [PubMed]
- Benoit, D.F.; den Poel, D.V. bayesQR: A Bayesian approach to quantile regression. J. Stat. Softw. 2017, 76, 1–32. [Google Scholar] [CrossRef]
- Koenker, R.; Basset, G. Regression quantiles. Econometrica 1978, 46, 33–50. [Google Scholar] [CrossRef]
- Barrodale, I.; Roberts, F.D.K. An improved algorithm for discrete L1 linear approximations. SIAM J. Numer. Anal. 1973, 10, 839–848. [Google Scholar] [CrossRef]
- Yu, K.; Moyeed, R.A. Bayesian quantile regression. Stat. Probabil. Lett. 2001, 54, 437–447. [Google Scholar] [CrossRef]
- Sriram, K.; Ramamoorthi, R.V.; Ghosh, P. Posterior consistency of Bayesian quantile regression based on the Misspecified asymmetric Laplace density. Bayesian Anal. 2013, 8, 269–504. [Google Scholar] [CrossRef]
- Yang, Y.; Wang, H.J.; He, X. Posterior inference in Bayesian quantile regression with asymmetric Laplace likelihood. Int. Stat. Rev. 2016, 84, 327–344. [Google Scholar] [CrossRef]
- Tian, F.; Gao, J.; Yang, K. A quantile regression approach to panel data analysis of health-care expenditure in Organization for economic cooperation and development countries. Health Econ. 2016, 1–26. [Google Scholar] [CrossRef]





| Reference | Object | Methodology | Dependent Variables | Independent Variables | Main Conclusion |
|---|---|---|---|---|---|
| Chaabouni, S; Saidi, K (2017) | 51 countries | Generalized method of moments (GMM) | Health spending (HS) | CO2 emissions (C), GDP per capita (Y), stock capital (K), population ageing (POP), urbanization (URB) and trade openness (TO) | There is a bidirectional causality between CO2 emissions and GDP per capita, between health spending and economic growth for the three groups of estimates. |
| Khoshnevis Yazdi, S., & Khanalizadeh, B (2017) | MENA countries | Autoregressive Distributed Lag (ARDL) method | Health expenditure | GDP, CO2 emissions and PM10 | Income and CO2 and PM10 emissions have statistically significant positive effects on health expenditure |
| Usman M, Ma Z, Wasif Zafar M, Haseeb A, Ashraf RU (2019) | 13 emerging economies | Lagrange Multiplier (LM) bootstrap approach | Government health expenditure, private health expenditure | CO2, SO2, NOx, GDP, foreign direct investment, population aging, education | CO2 emissions and the environment index have a positive and significant influence on government health expenditures |
| Yahaya, A., Nor, N. M., Habibullah, M. S., Ghani, J. A., & Noor, Z. M (2016) | 125 developing countries | Panel co-integration | Health expenditures | Income, NOx, CO2, SO2, CO | CO2 has the highest explanatory power on the per capita health expenditure. |
| Tian, F.; Gao, J.; Yang, K (2016) | 28 OECD countries | Quantile regression approach | Health expenditures | The number of physicians, the proportion of the population aged 65 years and older, GDP, the percent of urban population. | The determinants of per capita healthcare expenditure growth, involving the growth of lagged health spending, per capita gross domestic product (GDP), physician density. |
| Apergis, N.; Gupta, R.; Lau, C.K.M.; Mukherjee, Z. (2018) | Across U.S. states | Quantile regression | Healthcare expenditures | Personal disposable income per capita, and CO2 emissions | The effect of CO2 emissions was stronger at the upper-end of the conditional distribution of healthcare expenditures |
| Chaabouni, S.; Zghidi, N.; Mbarek, M.B (2016) | 51 countries | Dynamic simultaneous equations models | GDP, CO2 emissionshealth expenditures | Aging population, urbanization, labor employed in production, stock capital, trade openness | There is bidirectional causality between CO2 emissions and economic growth, between health expenditures and economic growth for the global panel |
| Variable Types | Variable Name | Variable Definition | |
|---|---|---|---|
| Dependent Variable | ln HCE | Per capita health expenditure (yuan) in terms of natural logarithms | |
| Independent Variables | (a) Environment pollution variables | ln CO2 | Per capita carbon dioxide (CO2) emissions (ton/10,000 people) in terms of natural logarithms |
| (b) Economic variables | ln INCOME | Per capita income (yuan) in terms of natural logarithms | |
| lnGFE | Per capita government financial expenditure (yuan) in terms of natural logarithms | ||
| lnDCLI | Density of commercial life insurance in terms of natural logarithms | ||
| (c) Public service variables | lnHT | Number of health technicians per thousand population in terms of natural logarithms | |
| (d) Family and personal variables | lnODR | Old dependency ratio in terms of natural logarithms | |
| lnCD | The scale of chronic disease (1000 people) in terms of natural logarithms | ||
| Variables | Mean | SD | Median | Trimmed | Skew | Kurtosis | Mean | SD | Median | Trimmed | Skew | Kurtosis |
|---|---|---|---|---|---|---|---|---|---|---|---|---|
| Part A: In Original Value | Part B: In Log Difference | |||||||||||
| HCE | 688.32 | 385.15 | 613.23 | 644.47 | 1.09 | 1.34 | 6.38 | 0.57 | 6.42 | 6.39 | −0.13 | −0.61 |
| INCOME | 13,174.28 | 7797.48 | 11,526.37 | 12,091.22 | 1.48 | 2.89 | 9.33 | 0.56 | 9.35 | 9.32 | 0.06 | −0.63 |
| CD | 1082.22 | 650.26 | 936.29 | 1034.84 | 0.59 | −0.52 | 6.76 | 0.75 | 6.84 | 6.84 | −0.82 | 0.16 |
| CO2 | 4.19 | 3.04 | 3.28 | 3.68 | 2.26 | 8.36 | 1.22 | 0.64 | 1.19 | 1.21 | 0.2 | −0.29 |
| GFE | 0.66 | 0.48 | 0.56 | 0.59 | 1.36 | 2.09 | −0.68 | 0.76 | −0.58 | −0.67 | −0.18 | −0.79 |
| DCLI | 696.79 | 764.38 | 497.27 | 533.73 | 3.04 | 10.07 | 6.18 | 0.83 | 6.21 | 6.16 | 0.25 | 0.25 |
| ODR | 12.52 | 2.41 | 12.36 | 12.37 | 0.54 | 0.02 | 2.51 | 0.19 | 2.51 | 2.51 | 0.09 | −0.47 |
| HT | 4.82 | 1.91 | 4.48 | 4.56 | 2.07 | 6.64 | 1.51 | 0.35 | 1.5 | 1.5 | 0.48 | 0.77 |
| Variable | Dickey-Fuller | Variable | Dickey-Fuller | Variable | Dickey-Fuller |
|---|---|---|---|---|---|
| HCE | −8.638 *** | GFE | −9.062 *** | CD | −3.186 * |
| INCOME | −8.827 *** | ODR | −4.293 *** | HT | −6.409 *** |
| CO2 | −6.147 *** | DCLI | −7.161 *** | —— | —— |
| Pool-test (effect=individual) | F: 0.2644 (p-value: 0.9589) | Pool-test (effect=time) | F: 0.7186 (p-value: 0.9566) | ||
| Variables/Quantiles | τ = 0.1 | τ = 0.3 | τ = 0.5 | τ = 0.7 | τ = 0.9 |
|---|---|---|---|---|---|
| INCOME | 0.356 ** | 0.344 ** | 0.331 ** | 0.271 ** | 0.313 ** |
| CD | 0.092 ** | 0.096 ** | 0.083 ** | 0.066 ** | 0.023 ** |
| CO2 | 0.101 ** | 0.104 ** | 0.157 ** | 0.215 ** | 0.227 ** |
| GFE | 0.302 ** | 0.278 ** | 0.274 ** | 0.316 ** | 0.312 ** |
| DCLI | –0.001 ** | 0.078 ** | 0.089 ** | 0.072 ** | 0.051 ** |
| ODR | 0.188 ** | 0.087 ** | 0.025 ** | 0.018 ** | –0.008 ** |
| HT | 0.262 ** | 0.249 ** | 0.227 ** | 0.221 ** | 0.183 ** |
| Variables | OLS | QR | BLR | BQR |
|---|---|---|---|---|
| INCOME | 0.337 *** (0.054) | 0.348 ** (0.049) | 0.336 *** (0.054) | 0.331 ** (0.099) |
| CD | 0.076 ** (0.024) | 0.017 ** (0.022) | 0.076 *** (0.024) | 0.083 ** (0.05) |
| CO2 | 0.118 *** (0.022) | 0.104 ** (0.015) | 0.085 *** (0.022) | 0.157 ** (0.04) |
| GFE | 0.317 *** (0.046) | 0.171 ** (0.028) | 0.316 *** (0.046) | 0.274 ** (0.083) |
| DCLI | 0.080 * (0.047) | 0.118 ** (0.022) | 0.102 *** (0.047) | 0.089 ** (0.092) |
| ODR | 0.084 * (0.02) | 0.233 ** (0.039) | 0.045 *** (0.02) | 0.025 ** (0.036) |
| HT | 0.215 *** (0.037) | 0.353 ** (0.084) | 0.216 *** (0.037) | 0.227 ** (0.076) |
| Variables | Mean | SD | Skew | Kurtosis | Mean | SD | Skew | Kurtosis | Mean | SD | Skew | Kurtosis |
|---|---|---|---|---|---|---|---|---|---|---|---|---|
| 2005 | 2010 | 2015 | ||||||||||
| HCE | 5.87 | 0.44 | 0.83 | 0.32 | 6.38 | 0.35 | 0.23 | −0.76 | 7.1 | 0.29 | 0.07 | −0.16 |
| INCOME | 8.74 | 0.41 | 1.05 | 0.16 | 9.39 | 0.37 | 0.93 | −0.02 | 9.98 | 0.3 | 1.23 | 0.76 |
| CD | 6.72 | 0.78 | −0.77 | −0.2 | 6.76 | 0.76 | −0.79 | 0.02 | 6.8 | 0.74 | −0.79 | 0.12 |
| CO2 | 0.7 | 0.55 | 0.37 | −1.25 | 1.35 | 0.6 | 1.21 | 1.34 | 1.56 | 0.54 | 0.2 | −0.69 |
| GFE | −1.58 | 0.48 | 1.27 | 1.36 | −0.5 | 0.38 | 0.87 | −0.25 | 0.18 | 0.36 | 0.84 | −0.31 |
| DCLI | 5.45 | 0.8 | 1.35 | 2.12 | 6.39 | 0.66 | 1.12 | 1.97 | 6.93 | 0.54 | 0.62 | 1.03 |
| ODR | 2.5 | 0.18 | −0.21 | −1.02 | 2.44 | 0.17 | 0.2 | −0.78 | 2.61 | 0.18 | −0.3 | −0.69 |
| HT | 1.31 | 0.34 | 0.94 | 0.9 | 1.52 | 0.34 | 1.13 | 1.83 | 1.78 | 0.16 | 1.27 | 3.2 |
| Year | Bayes Estimated/Quantile | τ = 0.1 | τ = 0.3 | τ = 0.5 | τ = 0.7 | τ = 0.9 |
|---|---|---|---|---|---|---|
| 2005 | INCOME | 0.225 ** | 0.298 ** | 0.328 ** | 0.324 ** | 0.291 ** |
| CD | 0.100 ** | 0.055 ** | 0.050 ** | 0.038 ** | −0.035 ** | |
| CO2 | 0.055 ** | 0.024 ** | 0.005 ** | 0.019 ** | 0.004 ** | |
| GFE | 0.113 ** | 0.141 ** | 0.229 ** | 0.275 ** | 0.342 ** | |
| DCLI | 0.171 ** | 0.232 ** | 0.184 ** | 0.222 ** | 0.258 ** | |
| ODR | −0.005 ** | −0.010 ** | −0.003 ** | 0.005 ** | 0.019 ** | |
| HT | 0.171 ** | 0.252 ** | 0.244 ** | 0.212 ** | 0.207 ** | |
| 2010 | INCOME | 0.175 ** | 0.216 ** | 0.234 ** | 0.232 ** | 0.260 ** |
| CD | 0.146 ** | 0.107 ** | 0.070 ** | 0.058 ** | 0.003 ** | |
| CO2 | 0.124 ** | 0.148 ** | 0.155 ** | 0.123 ** | 0.135 ** | |
| GFE | 0.069 ** | 0.098 ** | 0.088 ** | 0.139 ** | 0.232 ** | |
| DCLI | 0.197 ** | 0.163 ** | 0.172 ** | 0.127 ** | 0.209 ** | |
| ODR | 0.014 ** | 0.021 ** | 0.016 ** | 0.009 ** | −0.001 ** | |
| HT | 0.215 ** | 0.352 ** | 0.398 ** | 0.441 ** | 0.285 ** | |
| 2015 | INCOME | 0.048 ** | 0.001 ** | −0.002 ** | 0.027 ** | 0.096 ** |
| CD | 0.061 ** | 0.087 ** | 0.140 ** | 0.147 ** | 0.131 ** | |
| CO2 | 0.130 ** | 0.116 ** | 0.106 ** | 0.076 ** | 0.065 ** | |
| GFE | 0.101 ** | 0.156 ** | 0.121 ** | 0.170 ** | 0.260 ** | |
| DCLI | 0.453 ** | 0.545 ** | 0.584 ** | 0.541 ** | 0.464 ** | |
| ODR | 0.110 ** | 0.112 ** | 0.099 ** | 0.090 ** | 0.044 ** | |
| HT | 0.099 ** | 0.136 ** | 0.144 ** | 0.125 ** | 0.095 ** |
© 2019 by the authors. Licensee MDPI, Basel, Switzerland. This article is an open access article distributed under the terms and conditions of the Creative Commons Attribution (CC BY) license (http://creativecommons.org/licenses/by/4.0/).
Share and Cite
Chen, L.; Zhuo, Y.; Xu, Z.; Xu, X.; Gao, X. Is Carbon Dioxide (CO2) Emission an Important Factor Affecting Healthcare Expenditure? Evidence from China, 2005–2016. Int. J. Environ. Res. Public Health 2019, 16, 3995. https://doi.org/10.3390/ijerph16203995
Chen L, Zhuo Y, Xu Z, Xu X, Gao X. Is Carbon Dioxide (CO2) Emission an Important Factor Affecting Healthcare Expenditure? Evidence from China, 2005–2016. International Journal of Environmental Research and Public Health. 2019; 16(20):3995. https://doi.org/10.3390/ijerph16203995
Chicago/Turabian StyleChen, Linhong, Yue Zhuo, Zhiming Xu, Xiaocang Xu, and Xin Gao. 2019. "Is Carbon Dioxide (CO2) Emission an Important Factor Affecting Healthcare Expenditure? Evidence from China, 2005–2016" International Journal of Environmental Research and Public Health 16, no. 20: 3995. https://doi.org/10.3390/ijerph16203995
APA StyleChen, L., Zhuo, Y., Xu, Z., Xu, X., & Gao, X. (2019). Is Carbon Dioxide (CO2) Emission an Important Factor Affecting Healthcare Expenditure? Evidence from China, 2005–2016. International Journal of Environmental Research and Public Health, 16(20), 3995. https://doi.org/10.3390/ijerph16203995

