Effect of Imitation Phenomenon on Two-Lane Traffic Safety in Fog Weather
Abstract
1. Introduction
2. Methodology
2.1. Model
2.1.1. Imitation Phenomenon
2.1.2. Two-Lane Car-Following Model
2.2. Numerical Simulations
2.2.1. Collision Criterion
2.2.2. Perturbation Analysis
3. Results
3.1. Multiple-Vehicle Collision
3.1.1. Multiple-Vehicle Collision under Different η
3.1.2. Multiple-Vehicle Collision under Different Initial Velocity
3.2. Small Perturbation Propagation
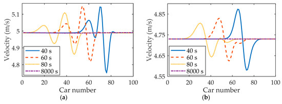
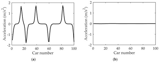
3.2.1. Small Perturbation Propagation Under Different η
3.2.2. Small Perturbation Propagation Under Different κ2
4. Discussion
5. Conclusions
Author Contributions
Funding
Acknowledgments
Conflicts of Interest
References
- Alghnam, S.; Towhari, J.; Alkelya, M.; Alsaif, A.; Alrowaily, M.; Alrabeeah, F.; Albabtain, I. The association between mobile phone use and severe traffic injuries: A case-control study from saudiarabia. Int. J. Environ. Res. Public Health 2019, 16, 2706. [Google Scholar] [CrossRef] [PubMed]
- Brooks, J.O.; Crisler, M.C.; Klein, N.; Goodenough, R.; Beeco, R.W.; Guirl, C.; Tyler, P.J.; Hilpert, A.; Miller, Y.; Grygier, J.; et al. Speed choice and driving performance in simulated foggy conditions. Accid. Anal. Prev. 2011, 43, 698–705. [Google Scholar] [CrossRef] [PubMed]
- Zou, C.X. Distribution Characteristics and Risk Assessment of Fog Disaster on Shanghai-Nanjing Freeway. Master’s Thesis, Nanjing University of Information Science & Technology, Nanjing, China, May 2011. [Google Scholar]
- Rosey, F.; Aillerie, I.; Espié, S.; Vienne, F. Driver behaviour in fog is not only a question of degraded visibility–A simulator study. Saf. Sci. 2017, 95, 50–61. [Google Scholar] [CrossRef]
- Tan, J.H. Rear-End Collision Risk Management of Freeways in Heavy Fog. Ph.D. Thesis, Tsinghua University, Beijing, China, June 2015. [Google Scholar]
- Duan, J.Y.; Li, Z.Z.; Salvendy, G. Risk illusions in car following: Is a smaller headway always perceived as more dangerous? Saf. Sci. 2013, 53, 25–33. [Google Scholar] [CrossRef]
- Saffarian, M.; Happee, R.; Winter, J.C.F. Why do drivers maintain short headways in fog? A driving-simulator study evaluating feeling of risk and lateral control during automated and manual car following. Ergonomics 2012, 55, 971–985. [Google Scholar] [CrossRef] [PubMed]
- Caro, S.; Cavallo, V.; Marendaz, C.; Boer, E.R.; Vienne, F. Can headway reduction in fog be explained by impaired perception of relative motion? Hum. Factors 2009, 51, 378–392. [Google Scholar] [CrossRef] [PubMed]
- Broughton, K.L.M.; Switzer, F.; Scott, D. Car following decisions under three visibility conditions and two speeds tested with a driving simulator. Accid. Anal. Prev. 2007, 39, 106–116. [Google Scholar] [CrossRef]
- Shi, J.; Tan, J.H. Traffic accident and emission reduction through intermittent release measures for heavy fog weather. Mod. Phys. Lett. B 2015, 29, 1550148. [Google Scholar] [CrossRef]
- Shi, J.; Tan, J.H. Effect analysis of intermittent release measures in heavy fog weather with an improved CA model. Discret. Dyn. Nat. Soc. 2013, 2013, 812562. [Google Scholar] [CrossRef]
- Tan, J.H.; Shi, J. Impact of intermittent vehicle release on freeway energy dissipation and emissions. J. Tsinghua Univ. Sci. Tech. 2013, 53, 499–502. [Google Scholar]
- Pipes, L.A. An operational analysis of traffic dynamics. J. Appl. Phys. 1953, 24, 274–281. [Google Scholar] [CrossRef]
- Chandler, R.E.; Herman, R.; Montroll, E.W. Traffic dynamics: Studies in car following. Oper. Res. 1958, 6, 165–184. [Google Scholar] [CrossRef]
- Newell, G.F. Nonlinear effects in the dynamics of car following. Oper. Res. 1961, 9, 209–229. [Google Scholar] [CrossRef]
- Bando, M.; Hasebe, K.; Nakayama, A.; Shibata, A.; Sugiyama, Y. Dynamical model of traffic congestion and numerical simulation. Phys. Rev. E 1995, 51, 1035–1042. [Google Scholar] [CrossRef] [PubMed]
- Helbing, D.; Tilch, B. Generalized force model of traffic dynamics. Phys. Rev. E 1998, 58, 133–138. [Google Scholar] [CrossRef]
- Jiang, R.; Wu, Q.S.; Zhu, Z.J. Full velocity difference model for a car-following theory. Phys. Rev. E 2001, 64, 017101. [Google Scholar] [CrossRef]
- Ge, H.X.; Meng, X.P.; Ma, J.; Lo, S.M. An improved car-following model considering influence of other factors on traffic jam. Phys. Lett. A 2012, 377, 9–12. [Google Scholar] [CrossRef]
- Ge, H.X.; Meng, X.P.; Zhu, H.B.; Li, Z.P. Feedback control for car following model based on two-lane traffic flow. Physica A 2014, 408, 28–39. [Google Scholar] [CrossRef]
- Ngoduy, D. Linear stability of a generalized multi-anticipative car following model with time delays. Commun. Nonlinear Sci. Numer. Simulat. 2015, 22, 420–426. [Google Scholar] [CrossRef]
- Zheng, Y.M.; Cheng, R.J.; Ge, H.X. The feedback control research on straight and curved road with car-following model. Phys. Lett. A 2017, 381, 2137–2143. [Google Scholar] [CrossRef]
- Malenje, J.O.; Zhao, J.; Li, P.; Han, Y. An extended car-following model with the consideration of the illegal pedestrian crossing. Physica A 2018, 508, 650–661. [Google Scholar] [CrossRef]
- Ou, H.; Tang, T.Q. An extended two-lane car-following model accounting for inter-vehicle communication. Physica A 2018, 495, 260–268. [Google Scholar] [CrossRef]
- Liao, P.; Tang, T.Q.; Wang, T.; Zhang, J. A car-following model accounting for the driving habits. Physica A 2019, 525, 108–118. [Google Scholar] [CrossRef]
- Tan, J.H. Impact of risk illusions on traffic flow in fog weather. Physica A 2019, 525, 216–222. [Google Scholar] [CrossRef]
- Blows, S.; Ivers, R.Q.; Woodward, M.; Connor, J.; Ameratunga, S.; Norton, R. Vehicle year and the risk of car crash injury. Inj. Prev. 2003, 9, 353–356. [Google Scholar] [CrossRef] [PubMed]
- Das, A.; Abdel-Aty, M.A. A combined frequency–severity approach for the analysis of rear-end crashes on urban arterials. Saf. Sci. 2011, 49, 1156–1163. [Google Scholar] [CrossRef]
- Abay, K.A.; Paleti, R.; Bhat, C.R. The joint analysis of injury severity of drivers in two-vehicle crashes accommodating seat belt use endogeneity. Transp. Res. B 2013, 50, 74–89. [Google Scholar] [CrossRef]
- Wu, Y.; Abdel-Aty, M.; Cai, Q.; Lee, J.; Park, J. Developing an algorithm to assess the rear-end collision risk under fog conditions using real-time data. Transp. Res. C 2018, 87, 11–25. [Google Scholar] [CrossRef]
- Penmetsa, P.; Pulugurtha, S.S. Modeling crash injury severity by road feature to improve safety. Traffic Inj. Prev. 2018, 19, 102–109. [Google Scholar] [CrossRef]
- Zhao, P.; Lee, C. Assessing rear-end collision risk of cars and heavy vehicles on freeways using a surrogate safety measure. Accid. Anal. Prev. 2018, 113, 149–158. [Google Scholar] [CrossRef]
- Chen, F.; Song, M.T.; Ma, X.X. Investigation on the injury severity of drivers in rear-end collisions between cars using a random parameters bivariate ordered probit model. Int. J. Environ. Res. Public Health 2019, 16, 2632. [Google Scholar] [CrossRef] [PubMed]
- Mao, X.H.; Yuan, C.W.; Gan, J.H.; Zhang, S.Q. Risk factors affecting traffic accidents at urban weaving sections: Evidence from China. Int. J. Environ. Res. Public Health 2019, 16, 1542. [Google Scholar] [CrossRef] [PubMed]
- Sugiyama, N.; Nagatani, T. Multiple-vehicle collision induced by a sudden stop in traffic flow. Phys. Lett. A 2012, 376, 1803–1806. [Google Scholar] [CrossRef]
- Sugiyama, N.; Nagatani, T. Multiple-vehicle collision in traffic flow by a sudden slowdown. Physica A 2013, 392, 1848–1857. [Google Scholar] [CrossRef]
- Nagatani, T.; Yonekura, S. Multiple-vehicle collision induced by lane changing in traffic flow. Physica A 2014, 404, 171–179. [Google Scholar] [CrossRef]
- Li, Z.P.; Chen, L.Z. Effects of intelligent control mechanism on multiple-vehicle collision under emergency. Physica A 2014, 404, 16–25. [Google Scholar] [CrossRef]
- Nagatani, T. Effect of perception irregularity on chain-reaction crash in low visibility. Physica A 2015, 427, 92–99. [Google Scholar] [CrossRef]
- Nagatani, T. Chain-reaction crash in traffic flow controlled by taillights. Physica A 2015, 419, 1–6. [Google Scholar] [CrossRef]
- Ponnu, B.; Coifman, B. Speed-spacing dependency on relative speed from the adjacent lane: New insights for car following models. Transp. Res. B 2015, 82, 74–90. [Google Scholar] [CrossRef]
- Ponnu, B.; Coifman, B. When adjacent lane dependencies dominate the uncongested regime of the fundamental relationship. Transp. Res. B 2017, 104, 602–615. [Google Scholar] [CrossRef]
- Duan, J.Y.; Li, Z.Z.; Salvendy, G. Automatic Imitation of Risky Behavior: A Study of Simulated Driving in China. Traffic Inj. Prev. 2012, 13, 442–449. [Google Scholar] [CrossRef] [PubMed]
- Li, L.; Jiang, R.; Jia, B.; Zhao, X.M. The Theory and Application of Modern Traffic Flow Volume І: Traffic Flow on Freeway, 1st ed.; Tsinghua University Press: Beijing, China, 2011; pp. 100–102. (In Chinese) [Google Scholar]
- Tan, J.H. Numerical simulation of car-following model in sand-dust environment. J. Transp. Syst. Eng. Inf. Technol. 2018, 18, 63–67. [Google Scholar]
- Wang, J.F.; Sun, F.X.; Ge, H.X. Effect of the driver’s desire for smooth driving on the car-following model. Physica A 2018, 512, 96–108. [Google Scholar] [CrossRef]
- Li, X.C.; Luo, X.; He, M.C.; Chen, S.W. An improved car-following model considering the influence of space gap to the response. Physica A 2018, 509, 536–545. [Google Scholar] [CrossRef]
- Komada, K.; Masukura, S.; Nagatani, T. Effect of gravitational force upon traffic flow with gradients. Physica A 2009, 388, 2880–2894. [Google Scholar] [CrossRef]
- Zhu, W.X.; Yu, R.L. A new car-following model considering the related factors of a gyroidal road. Physica A 2014, 393, 101–111. [Google Scholar] [CrossRef]












| Visibility | 24m | 36m | 48m | |
|---|---|---|---|---|
| Average Speed (km/h) | Group 1 | 24.211 | 32.950 | 42.692 |
| Group 2 | 22.215 | 25.180 | 28.034 | |
| Group 3 | 36.320 | 44.304 | 52.902 | |
© 2019 by the authors. Licensee MDPI, Basel, Switzerland. This article is an open access article distributed under the terms and conditions of the Creative Commons Attribution (CC BY) license (http://creativecommons.org/licenses/by/4.0/).
Share and Cite
Tan, J.; Gong, L.; Qin, X. Effect of Imitation Phenomenon on Two-Lane Traffic Safety in Fog Weather. Int. J. Environ. Res. Public Health 2019, 16, 3709. https://doi.org/10.3390/ijerph16193709
Tan J, Gong L, Qin X. Effect of Imitation Phenomenon on Two-Lane Traffic Safety in Fog Weather. International Journal of Environmental Research and Public Health. 2019; 16(19):3709. https://doi.org/10.3390/ijerph16193709
Chicago/Turabian StyleTan, Jinhua, Li Gong, and Xuqian Qin. 2019. "Effect of Imitation Phenomenon on Two-Lane Traffic Safety in Fog Weather" International Journal of Environmental Research and Public Health 16, no. 19: 3709. https://doi.org/10.3390/ijerph16193709
APA StyleTan, J., Gong, L., & Qin, X. (2019). Effect of Imitation Phenomenon on Two-Lane Traffic Safety in Fog Weather. International Journal of Environmental Research and Public Health, 16(19), 3709. https://doi.org/10.3390/ijerph16193709
