The Impact of Cold and Heat on Years of Life Lost in a Northwestern Chinese City with Temperate Continental Climate
Abstract
1. Introduction
2. Methods
2.1. Data Collection
2.1.1. Death Data and YLL Calculation
2.1.2. Meteorological and Air Pollutant Data
2.2. Statistical Analysis
3. Results
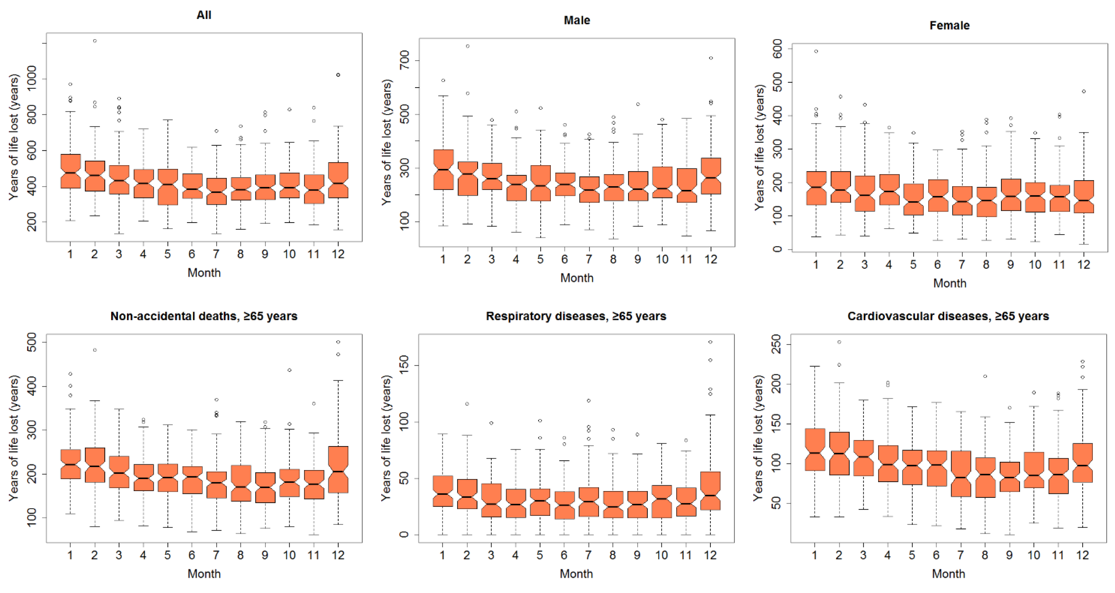
3.1. General Results of Air Pollutants, Weather Variables, and YLL in Lanzhou City
3.2. Single-Day Lag Effects of Cold and Heat
3.3. The Cumulative Effects of Cold and Heat
4. Discussion
5. Conclusions
Supplementary Materials
Author Contributions
Funding
Acknowledgments
Conflicts of Interest
References
- Watts, N.; Amann, M.; Arnell, N.; Ayeb-Karlsson, S.; Belesova, K.; Berry, H.; Bouley, T.; Boykoff, M.; Byass, P.; Cai, W.; et al. The 2018 report of the Lancet Countdown on health and climate change: Shaping the health of nations for centuries to come. Lancet 2018, 392, 2479–2514. [Google Scholar] [CrossRef]
- Hajat, S.; Vardoulakis, S.; Heaviside, C.; Eggen, B. Climate change effects on human health: Projections of temperature-related mortality for the UK during the 2020s, 2050s and 2080s. J. Epidemiol. Community Health 2014, 68, 641–648. [Google Scholar] [CrossRef] [PubMed]
- Adeola, A.M.; Botai, H.; Rautenbach, O.M.; Adisa, K.P.; Ncongwane, C.M.B.; Adebayo-Ojo, T.C. Climatic Variables and Malaria Morbidity in Mutale Local Municipality, South Africa: A 19-Year Data Analysis. Int. J. Environ. Res. Public Health 2017, 14, 1360. [Google Scholar] [CrossRef] [PubMed]
- Vicedo-Cabrera, A.M.; Sera, Y.; Guo, Y.; Chung, K.; Arbuthnott, S.; Tong, A.; Tobias, E.; Lavigne, M.d.Z.S.C.; Saldiva, P.H.N.; Goodman, P.G. A multi-country analysis on potential adaptive mechanisms to cold and heat in a changing climate. Environ. Int. 2018, 111, 239–246. [Google Scholar] [CrossRef] [PubMed]
- Gasparrini, A.; Guo, Y.; Hashizume, M.; Lavigne, E.; Zanobetti, A.; Schwartz, J.; Tobias, A.; Tong, S.; Rocklöv, J.; Forsberg, B.; et al. Mortality risk attributable to high and low ambient temperature: A multicountry observational study. Lancet 2015, 386, 369–375. [Google Scholar] [CrossRef]
- Chen, R.; Yin, P.; Wang, L.; Liu, C.; Niu, Y.; Wang, W.; Jiang, Y.; Liu, Y.; Liu, J.; Qi, J.; et al. Association between ambient temperature and mortality risk and burden: Time series study in 272 main Chinese cities. BMJ 2018, 363, k4306. [Google Scholar] [CrossRef] [PubMed]
- Yi, W.; Chan, A.P. Effects of temperature on mortality in Hong Kong: A time series analysis. Int. J. Biometeorol. 2015, 59, 927–936. [Google Scholar] [CrossRef]
- Ma, W.; Yang, J.; Tan, W.; Song, B.C. Modifiers of the temperature-mortality association in Shanghai, China. Int. J. Biometeorol. 2012, 56, 205–207. [Google Scholar] [CrossRef]
- Li, G.; Li, L.; Tian, Q.G. Future temperature-related years of life lost projections for cardiovascular disease in Tianjin, China. Sci. Total Environ. 2018, 630, 943–950. [Google Scholar] [CrossRef]
- Ban, J.; Xu, M.Z.; He, Q.; Sun, C.; Chen, W.; Wang, P.Z. The effect of high temperature on cause-specific mortality: A multi-county analysis in China. Environ. Int. 2017, 106, 19–26. [Google Scholar] [CrossRef]
- Han, J.; Liu, J.; Zhang, L.; Zhou, Q.; Fang, J.Z. The impact of temperature extremes on mortality: A time-series study in Jinan, China. BMJ Open 2017, 7, e014741. [Google Scholar] [CrossRef] [PubMed]
- Zhang, Y.; Yu, J.B. Impact of temperature on mortality in Hubei, China: A multi-county time series analysis. Sci. Rep. 2017, 7, 45093. [Google Scholar] [CrossRef] [PubMed]
- Odhiambo Sewe, M.; Bunker, V.; Ingole, T.; Egondi, D.O.A.; Hondula, J.R. Estimated Effect of Temperature on Years of Life Lost: A Retrospective Time-Series Study of Low-, Middle-, and High-Income Regions. Environ. Health Perspect. 2018, 126, 017004. [Google Scholar] [CrossRef] [PubMed]
- Guo, Y.; Li, Z.; Tian, X.; Pan, J.Z. The burden of air pollution on years of life lost in Beijing, China, 2004–2008: Retrospective regression analysis of daily deaths. BMJ 2013, 347, f7139. [Google Scholar] [CrossRef] [PubMed]
- Brustugun, O.T.; Moller, B.; Helland, A. Years of life lost as a measure of cancer burden on a national level. Br. J. Cancer 2014, 111, 1014–1020. [Google Scholar] [CrossRef] [PubMed]
- Huang, C.; Barnett, A.G.; Wang, X.; Tong, S. The impact of temperature on years of life lost in Brisbane, Australia. Nat. Clim. Chang. 2012, 2, 265. [Google Scholar] [CrossRef]
- Wang, X.Y.; Barnett, A.G.; Hu, W.; Tong, S. Temperature variation and emergency hospital admissions for stroke in Brisbane, Australia, 1996–2005. Int. J. Biometeorol. 2009, 53, 535–541. [Google Scholar] [CrossRef] [PubMed]
- Yang, J.; Ou, C.Q.; Ding, Y.; Zhou, Y.X.; Chen, P.Y. Daily temperature and mortality: A study of distributed lag non-linear effect and effect modification in Guangzhou. Environ. Health 2012, 11, 63. [Google Scholar] [CrossRef]
- Li, G.; Huang, J.; Xu, G.; Pan, X.; Qian, X.; Xu, J.; Zhao, Y.; Zhang, T.; Liu, Q.; Guo, X.; et al. Temporal variation in associations between temperature and years of life lost in a southern China city with typical subtropical climate. Sci. Rep. 2017, 7, 4650. [Google Scholar] [CrossRef]
- Lanzhou Municipal Government. Geography & Weather of Lanzhou. Available online: http://www.lanzhou.gov.cn/col/col2/index.html (accessed on 13 June 2019). (In Chinese)
- World Health Organization. Life Tables by Country. Available online: http://apps.who.int/gho/data/?theme=main&vid=60340 (accessed on 13 June 2019).
- Gasparrini, A. Modeling exposure-lag-response associations with distributed lag non-linear models. Stat. Med. 2014, 33, 881–899. [Google Scholar] [CrossRef]
- Gasparrini, A. Distributed Lag Linear and Non-Linear Models in R: The Package dlnm. J. Stat. Softw. 2011, 43, 1–20. [Google Scholar] [CrossRef] [PubMed]
- Gasparrini, A. Distributed Lag Linear and Non-Linear Models for Time Series Data. Available online: https://cran.r-project.org/web/packages/dlnm/vignettes/dlnmTS.pdf (accessed on 1 September 2019).
- Yang, J.; Ou, C.Q.; Guo, Y.; Li, L.; Guo, C.; Chen, P.Y.; Lin, H.L.; Liu, Q.Y. The burden of ambient temperature on years of life lost in Guangzhou, China. Sci. Rep. 2015, 5, 12250. [Google Scholar] [CrossRef] [PubMed]
- Baccini, M.; Kosatsky, T.; Biggeri, A. Impact of summer heat on urban population mortality in Europe during the 1990s: An evaluation of years of life lost adjusted for harvesting. PLoS ONE 2013, 8, e69638. [Google Scholar] [CrossRef] [PubMed]
- Alam, N.; Lindeboom, W.; Begum, D.; Streatfield, P.K. The association of weather and mortality in Bangladesh from 1983–2009. Glob. Health Act. 2012, 5, 53–60. [Google Scholar] [CrossRef] [PubMed]
- Zhang, Y.; Yu, C.; Peng, M.; Zhang, L. The burden of ambient temperature on years of life lost: A multi-community analysis in Hubei, China. Sci. Total Environ. 2018, 621, 1491–1498. [Google Scholar] [CrossRef]
- Lanzhou Municipal Bureau of Statistics. Yearbook of Lanzhou. Available online: http://tjj.lanzhou.gov.cn/index.html (accessed on 1 July 2019).
- World Health Organization. Air Zquality Guidelines-Global Update. 2005. Available online: https://www.who.int/airpollution/publications/aqg2005/en/ (accessed on 3 September 2019).
- Wang, C.; Chen, R.; Kuang, X.; Duan, X.; Kan, H. Temperature and daily mortality in Suzhou, China: A time series analysis. Sci. Total Environ. 2014, 466, 985–990. [Google Scholar] [CrossRef] [PubMed]
- Bai, L.; Woodward, A.; Liu, Q. Temperature and mortality on the roof of the world: A time-series analysis in three Tibetan counties, China. Sci. Total Environ. 2014, 485–486, 41–48. [Google Scholar] [CrossRef]
- Li, Z.; Xu, Y.; Lin, G.; Li, D.; Liu, T.; Lin, H.; Xiao, J.; Zeng, W.; Li, X.; Ma, W. Impact of air temperature on years of life lost among residents in Guangzhou and Zhuhai: A time-series study. Zhonghua Liu Xing Bing Xue Za Zhi 2015, 36, 720–724. [Google Scholar]
- Goggins, W.B.; Chan, E.Y.; Yang, C.; Chong, M. Associations between mortality and meteorological and pollutant variables during the cool season in two Asian cities with sub-tropical climates: Hong Kong and Taipei. Environ. Health 2013, 12, 59. [Google Scholar] [CrossRef]
- Yu, W.; Mengersen, K.; Wang, X.; Ye, X.; Guo, Y.; Pan, X.; Tong, S. Daily average temperature and mortality among the elderly: A meta-analysis and systematic review of epidemiological evidence. Int. J. Biometeorol. 2012, 56, 569–581. [Google Scholar] [CrossRef]
- Yang, J.; Yin, P.; Zhou, M.; Ou, C.Q.; Li, M.; Li, J.; Liu, X.; Gao, J.; Liu, Y.; Qin, R.; et al. The burden of stroke mortality attributable to cold and hot ambient temperatures: Epidemiological evidence from China. Environ. Int. 2016, 92, 232–238. [Google Scholar] [CrossRef] [PubMed]
- Newson, L. Menopause and cardiovascular disease. Post Reprod. Health 2018, 24, 44–49. [Google Scholar] [CrossRef] [PubMed]
- Mendelsohn, M.E.; Karas, R.H. Molecular and cellular basis of cardiovascular gender differences. Science 2005, 308, 1583–1587. [Google Scholar] [CrossRef] [PubMed]
- Linares, C.; Martinez-Martin, P.; Rodríguez-Blázquez, C.; Forjaz, M.J.; Carmona, R.; Díaz, J. Effect of heat waves on morbidity and mortality due to Parkinson’s disease in Madrid: A time-series analysis. Environ. Int. 2016, 89, 1–6. [Google Scholar] [CrossRef]
- Ng, C.F.S.; Ueda, K.; Takeuchi, A.; Nitta, H.; Konishi, S.; Bagrowicz, R.; Watanabe, C.; Takami, A. Sociogeographic variation in the effects of heat and cold on daily mortality in Japan. J. Epidemiol. 2014, 24, 15–24. [Google Scholar] [CrossRef]
- Guo, Y.; Gasparrini, A.; Armstrong, B.G.; Tawatsupa, B.; Tobias, A.; Lavigne, E.; Coelho, M.D.S.Z.S.; Pan, X.; Kim, H.; Hashizume, M.; et al. Heat Wave and Mortality: A Multicountry, Multicommunity Study. Environ. Health Perspect. 2017, 125, 087006. [Google Scholar] [CrossRef]
- Mu, Z.; Chen, P.L.; Geng, F.H.; Ren, L.; Gu, W.C.; Ma, J.Y.; Peng, L.; Li, Q.Y. Synergistic effects of temperature and humidity on the symptoms of COPD patients. Int. J. Biometeorol. 2017, 61, 1919–1925. [Google Scholar] [CrossRef]
- Seys, S.F.; Daenen, M.; Dilissen, E.; Van Thienen, R.; Bullens, D.M.; Hespel, P.; Dupont, L.J. Effects of high altitude and cold air exposure on airway inflammation in patients with asthma. Thorax 2013, 68, 906–913. [Google Scholar] [CrossRef]
- Schneider, A.; Panagiotakos, D.; Picciotto, S.; Katsouyanni, K.; Löwel, H.; Jacquemin, B.; Lanki, T.; Stafoggia, M.; Bellander, T.; Koenig, W.; et al. Air temperature and inflammatory responses in myocardial infarction survivors. Epidemiology 2008, 19, 391–400. [Google Scholar] [CrossRef]
- Keatinge, W.R.; Coleshaw, S.R.; Cotter, F.; Mattock, M.; Murphy, M.; Chelliah, R. Increases in platelet and red cell counts, blood viscosity, and arterial pressure during mild surface cooling: Factors in mortality from coronary and cerebral thrombosis in winter. Br. Med. J. (Clin. Res. Ed.) 1984, 289, 1405–1408. [Google Scholar] [CrossRef]
- Nayha, S. Environmental temperature and mortality. Int. J. Circumpolar Health 2005, 64, 451–458. [Google Scholar] [CrossRef]
- Zhao, Y.Q.; Wang, L.J.; Luo, Y.; Yin, P.; Huang, Z.J.; Liu, T.; Lin, H.L.; Xiao, J.P.; Li, X.; Zeng, W.L.; et al. Lagged effects of diurnal temperature range on mortality in 66 cities in China: A time-series study. Zhonghua Liu Xing Bing Xue Za Zhi 2017, 38, 290–296. [Google Scholar]
- Lindeboom, W.; Alam, N.; Begum, D.; Kim Streatfield, P. The association of meteorological factors and mortality in rural Bangladesh, 1983–2009. Glob. Health Act. 2012, 5, 61–73. [Google Scholar] [CrossRef]







| Variables | Daily Measures | |||||
|---|---|---|---|---|---|---|
| Minimum | 1st Quartile | Median | 3rd Quartile | Maximum | Mean ± S.D. | |
| PM10 (μg/m3) | 19.72 | 81.73 | 107.30 | 145.86 | 1451.01 | 124.67 ± 86.07 |
| NO2 (μg/m3) | 12.25 | 37.70 | 50.39 | 63.74 | 143.12 | 52.97 ± 21.46 |
| SO2 (μg/m3) | 3.47 | 10.56 | 17.83 | 30.23 | 130.59 | 22.17 ± 15.19 |
| CO (mg/m3) | 0.34 | 0.81 | 1.08 | 1.61 | 4.59 | 1.33 ± 0.73 |
| O3 (μg/m3) | 0.79 | 30.79 | 46.56 | 63.35 | 125.05 | 48.43 ± 22.09 |
| Temperature (°C) | −12.40 | 2.45 | 12.70 | 19.70 | 30.40 | 11.39 ± 9.4 |
| Relative humidity (%) | 16.00 | 39.00 | 50.00 | 61.00 | 94.00 | 51.51 ± 15.09 |
| All | 136.3 | 333.1 | 410.10 | 492.4 | 1211.0 | 420.5 ± 128.8 |
| Male | 35.5 | 188.9 | 242.6 | 303.6 | 753.3 | 251.8 ± 90.7 |
| Female | 15.5 | 114.8 | 160.2 | 210.1 | 593.0 | 168.8 ± 73.4 |
| Non-accidental deaths (<65) | 0 | 153.1 | 210.4 | 283.3 | 728.9 | 224.8 ± 104.4 |
| Non-accidental deaths (≥65) | 61.9 | 154.6 | 191.1 | 230.6 | 500.4 | 195.8 ± 58.6 |
| Male (≥65) | 6.6 | 77.4 | 101.8 | 127.3 | 283.4 | 104.2 ± 38.0 |
| Female (≥65) | 5.5 | 65.5 | 88.6 | 112.0 | 284.3 | 91.5 ± 36.0 |
| Respiratory diseases (≥65) | 0 | 17.4 | 29.2 | 43.4 | 170.7 | 32.2 ± 20.36 |
| Cardiovascular diseases (≥65) | 10.0 | 71.4 | 94.9 | 120.2 | 252.9 | 97.1 ± 36.3 |
| Significant Duration (Days) | Strongest Effects | Highest YLL (95% CI) | |
|---|---|---|---|
| Cold effects (years) | |||
| All | Lag 10–28 | Lag 28 | 13.24 (1.53, 24.96) |
| Male | - | - | - |
| Female | Lag 8–29 | Lag 16 | 9.76 (4.93, 14.59) |
| Non-accidental deaths (<65) | Lag 13–26 | Lag 21 | 9.50 (3.58, 15.42) |
| Non-accidental deaths (≥65) | Lag 5–14, lag 23–29 | Lag 7 | 10.01 (4.08, 15.94) |
| Male (≥65) | Lag 5–12 | Lag 7 | 5.62 (1.59, 9.65) |
| Female (≥65) | Lag 5–14, lag 20–27 | Lag 7 | 4.40 (0.52, 8.27) |
| Respiratory diseases (≥65) | - | - | - |
| Cardiovascular diseases (≥65) | Lag 5–25 | Lag 7 | 5.14 (1.30, 8.97) |
| Heat effects (years) | |||
| All | Lag 1 | Lag 1 | 20.80 (3.03, 38.58) |
| Male | Lag 1, lag 22–30 | Lag 1 | 19.06 (6.19, 31.94) |
| Female | - | - | - |
| Non-accidental deaths (<65) | - | - | - |
| Non-accidental deaths (≥65) | Lag 1 to 5 | Lag 2 | 18.29 (6.51, 30.07) |
| Male (≥65) | Lag 1-5, lag 23–28 | Lag 2 | 13.04 (5.03, 21.04) |
| Female (≥65) | Lag 1 | Lag 1 | 6.44 (1.33, 11.55) |
| Respiratory diseases (≥65) | Lag 1–5 | Lag 2 | 5.76 (1.59, 9.94) |
| Cardiovascular diseases (≥65) | Lag 1–4 | Lag 1 | 8.72 (3.66, 13.78) |
| Significant Duration (Days) | Strongest Effects | Highest YLL (95% CI) | |
|---|---|---|---|
| Cold effects (years) | |||
| All | Lag 0–30 | Lag 0–30 | 246.87 (75.09, 418.64) |
| Male | - | - | - |
| Female | Lag 0–9 to 30 | Lag 0–30 | 246.41 (143.60, 349.22) |
| Non-accidental deaths (<65) | - | - | - |
| Non-accidental deaths (≥65) | Lag 0–10 to 30 | Lag 0–30 | 121.85 (46.25, 197.44) |
| Male (≥65) | - | - | - |
| Female (≥65) | Lag 0–11 to 30 | Lag 0–30 | 76.83 (27.43, 126.23) |
| Respiratory diseases (≥65) | - | - | - |
| Cardiovascular diseases (≥65) | Lag 0–15 to 30 | Lag 0–30 | 66.75 (17.85, 115.66) |
| Heat effects (years) | |||
| All | Lag 0–2 to 12 | Lag 0–7 | 88.19 (25.43, 150.95) |
| Male | Lag 0–2 to 30 | Lag 0–30 | 133.58 (35.01, 232.15) |
| Female | - | - | - |
| Non-accidental deaths (<65) | - | - | - |
| Non-accidental deaths (≥65) | Lag 0–1 to 30 | Lag 0–30 | 89.82 (29.90, 149.74) |
| Male (≥65) | Lag 0–2 to 30 | Lag 0–30 | 71.32 (30.61, 112.04) |
| Female (≥65) | Lag 0–2 to 14 | Lag 0–8 | 30.11 (11.19, 49.03) |
| Respiratory diseases (≥65) | Lag 0–3 to 30 | Lag 0–30 | 22.30 (1.09, 43.52) |
| Cardiovascular diseases (≥65) | Lag 0–2 to 30 | Lag 0–30 | 44.54 (5.78, 82.30) |
© 2019 by the authors. Licensee MDPI, Basel, Switzerland. This article is an open access article distributed under the terms and conditions of the Creative Commons Attribution (CC BY) license (http://creativecommons.org/licenses/by/4.0/).
Share and Cite
Liu, J.; Ma, Y.; Wang, Y.; Li, S.; Liu, S.; He, X.; Li, L.; Guo, L.; Niu, J.; Luo, B.; et al. The Impact of Cold and Heat on Years of Life Lost in a Northwestern Chinese City with Temperate Continental Climate. Int. J. Environ. Res. Public Health 2019, 16, 3529. https://doi.org/10.3390/ijerph16193529
Liu J, Ma Y, Wang Y, Li S, Liu S, He X, Li L, Guo L, Niu J, Luo B, et al. The Impact of Cold and Heat on Years of Life Lost in a Northwestern Chinese City with Temperate Continental Climate. International Journal of Environmental Research and Public Health. 2019; 16(19):3529. https://doi.org/10.3390/ijerph16193529
Chicago/Turabian StyleLiu, Jiangtao, Yueling Ma, Yuhong Wang, Sheng Li, Shuyu Liu, Xiaotao He, Lanyu Li, Lei Guo, Jingping Niu, Bin Luo, and et al. 2019. "The Impact of Cold and Heat on Years of Life Lost in a Northwestern Chinese City with Temperate Continental Climate" International Journal of Environmental Research and Public Health 16, no. 19: 3529. https://doi.org/10.3390/ijerph16193529
APA StyleLiu, J., Ma, Y., Wang, Y., Li, S., Liu, S., He, X., Li, L., Guo, L., Niu, J., Luo, B., & Zhang, K. (2019). The Impact of Cold and Heat on Years of Life Lost in a Northwestern Chinese City with Temperate Continental Climate. International Journal of Environmental Research and Public Health, 16(19), 3529. https://doi.org/10.3390/ijerph16193529

