Ambient Air Pollution and Sudden Infant Death Syndrome in Korea: A Time-Stratified Case-Crossover Study
Abstract
1. Introduction
2. Materials and Methods
2.1. Data on SIDS Mortality
2.2. Ethical Statements
2.3. Exposure Data
2.4. Measurement of Variables
2.5. Statistical Analysis
3. Results
4. Discussion
5. Conclusions
Supplementary Materials
Author Contributions
Funding
Conflicts of Interest
References
- Peters, A.; Skorkovsky, J.; Kotesovec, F.; Brynda, J.; Spix, C.; Wichmann, H.E.; Heinrich, J. Associations between mortality and air pollution in central Europe. Environ. Health Perspect. 2000, 108, 283–287. [Google Scholar] [CrossRef] [PubMed]
- Wong, T.W.; Tam, W.S.; Yu, T.S.; Wong, A.H.S. Associations between daily mortalities from respiratory and cardiovascular diseases and air pollution in Hong Kong, China. Occup. Environ. Med. 2002, 59, 30–35. [Google Scholar] [CrossRef] [PubMed]
- Lee, J.T.; Kim, H.; Hong, Y.C.; Kwon, H.J.; Schwartz, J.; Christiani, D.C. Air pollution and daily mortality in seven major cities of Korea, 1991–1997. Environ. Res. 2000, 84, 247–254. [Google Scholar] [CrossRef] [PubMed]
- Lee, J.T.; Shin, D.; Chung, Y. Air pollution and daily mortality in Seoul and Ulsan, Korea. Environ. Health Perspect. 1999, 107, 149–154. [Google Scholar] [CrossRef] [PubMed]
- Ha, E.H.; Lee, J.T.; Kim, H.; Hong, Y.C.; Lee, B.E.; Park, H.S.; Christiani, D.C. Infant susceptibility of mortality to air pollution in Seoul, South Korea. Pediatrics 2003, 111, 284–290. [Google Scholar] [CrossRef] [PubMed]
- Woodruff, T.J.; Parker, J.D.; Schoendorf, K.C. Fine particulate matter (PM2.5) air pollution and selected causes of postneonatal infant mortality in California. Environ. Health Perspect. 2006, 114, 786–790. [Google Scholar] [CrossRef]
- Krous, H.F.; Beckwith, J.B.; Byard, R.W.; Rognum, T.O.; Bajanowski, T.; Corey, T.; Cutz, E.; Hanzlick, R.; Keens, T.G.; Mitchell, E.A. Sudden infant death syndrome and unclassified sudden infant deaths: A definitional and diagnostic approach. Pediatrics 2004, 114, 234–238. [Google Scholar] [CrossRef]
- Mitchell, E.A. What is the mechanism of SIDS? Clues from epidemiology. Dev. Psychobiol. 2009, 51, 215–222. [Google Scholar] [CrossRef] [PubMed]
- Scheers-Masters, J.R.; Schootman, M.; Thach, B.T. Heat stress and sudden infant death syndrome incidence: A United States population epidemiologic study. Pediatrics 2004, 113, e586–e592. [Google Scholar] [CrossRef]
- Basu, R.; Pearson, D.; Sie, L.; Broadwin, R. A case-crossover study of temperature and infant mortality in California. Paediatr. Perinat. Epidemiol. 2015, 29, 407–415. [Google Scholar] [CrossRef]
- Woodruff, T.J.; Grillo, J.; Schoendorf, K.C. The relationship between selected causes of postneonatal infant mortality and particulate air pollution in the United States. Environ. Health Perspect. 1997, 105, 608–612. [Google Scholar] [CrossRef] [PubMed]
- Ritz, B.; Wilhelm, M.; Zhao, Y. Air pollution and infant death in southern California, 1989–2000. Pediatrics 2006, 118, 493–502. [Google Scholar] [CrossRef] [PubMed]
- Kaiser, R.; Romieu, I.; Medina, S.; Schwartz, J.; Krzyzanowski, M.; Künzli, N. Air pollution attributable postneonatal infant mortality in U.S. metropolitan areas: A risk assessment study. Environ. Health 2004, 3, 4. [Google Scholar] [CrossRef] [PubMed]
- Woodruff, T.J.; Darrow, L.A.; Parker, J.D. Air pollution and postneonatal infant mortality in the United States, 1999–2002. Environ. Health Perspect. 2008, 116, 110–115. [Google Scholar] [CrossRef] [PubMed]
- Dales, R.; Burnett, R.T.; Smith-Doiron, M.; Stieb, D.M.; Brook, J.R. Air pollution and sudden infant death syndrome. Pediatrics 2004, 113, 1798. [Google Scholar] [CrossRef]
- Son, J.Y.; Bell, M.L.; Lee, J.T. Survival analysis of long-term exposure to different sizes of airborne particulate matter and risk of infant mortality using a birth cohort in Seoul, Korea. Environ. Health Perspect. 2011, 119, 725–730. [Google Scholar] [CrossRef] [PubMed]
- Son, J.Y.; Lee, H.J.; Koutrakis, P.; Bell, M.L. Pregnancy and lifetime exposure to fine particulate matter and infant mortality in Massachusetts, 2001–2007. Am. J. Epidemiol. 2017, 186, 1268–1276. [Google Scholar] [CrossRef]
- Filonzi, L.; Magnani, C.; Lavezzi, A.M.; Vaghi, M.; Nosetti, L.; Nonnis Marzano, F. Detoxification genes polymorphisms in SIDS exposed to tobacco smoke. Gene 2018, 648, 1–4. [Google Scholar] [CrossRef]
- Schoendorf, K.C.; Kiely, J.L. Relationship of sudden infant death syndrome to maternal smoking during and after pregnancy. Pediatrics 1992, 90, 905–908. [Google Scholar]
- Hofhuis, W.; de Jongste, J.C.; Merkus, P.J. Adverse health effects of prenatal and postnatal tobacco smoke exposure on children. Arch. Dis. Child. 2003, 88, 1086–1090. [Google Scholar] [CrossRef]
- Alm, B.; Milerad, J.; Wennergren, G.; Skjaerven, R.; Oyen, N.; Norvenius, G.; Daltveit, A.K.; Helweg-Larsen, K.; Markestad, T.; Irgens, L.M. A case-control study of smoking and sudden infant death syndrome in the Scandinavian countries, 1992 to 1995. Arch. Dis. Child. 1998, 78, 329–334. [Google Scholar] [CrossRef] [PubMed]
- Hafstrom, O.; Milerad, J.; Asokan, N.; Poole, S.D.; Sundell, H.W. Nicotine delays arousal during hypoxemia in lambs. Pediatr. Res. 2000, 47, 646–652. [Google Scholar] [CrossRef] [PubMed]
- Anderson, H.R.; Cook, D.G. Passive smoking and sudden infant death syndrome: Review of the epidemiological evidence. Thorax 1997, 52, 1003–1009. [Google Scholar] [CrossRef] [PubMed]
- Tager, I.B.; Ngo, L.; Hanrahan, J.P. Maternal smoking during pregnancy. Effects on lung function during the first 18 months of life. Am. J. Respir. Crit. Care Med. 1995, 152, 977–983. [Google Scholar] [CrossRef] [PubMed]
- Strachan, D.P.; Cook, D.G. Health effects of passive smoking. 1. Parental smoking and lower respiratory illness in infancy and early childhood. Thorax 1997, 52, 905–914. [Google Scholar] [CrossRef] [PubMed]
- Barnett, A.G.; Williams, G.M.; Schwartz, J.; Neller, A.H.; Best, T.L.; Petroeschevsky, A.L.; Simpson, R.W. Air pollution and child respiratory health: A case-crossover study in Australia and New Zealand. Am. J. Respir. Crit. Care Med. 2005, 171, 1272–1278. [Google Scholar] [CrossRef] [PubMed]
- Litchfield, I.J.; Ayres, J.G.; Jaakkola, J.J.K.; Mohammed, N.I. Is ambient air pollution associated with onset of sudden infant death syndrome: A case-crossover study in the UK. BMJ Open 2018, 8, e018341. [Google Scholar] [CrossRef]
- MicroData Integrated Service Website. Available online: https://mdis.kostat.go.kr/index.do (accessed on 1 June 2019).
- Athanasakis, E.; Karavasiliadou, S.; Styliadis, I. The factors contributing to the risk of sudden infant death syndrome. Hippokratia 2011, 15, 127–131. [Google Scholar]
- Maclure, M. The case-crossover design: A method for studying transient effects on the risk of acute events. Am. J. Epidemiol. 1991, 133, 144–153. [Google Scholar] [CrossRef]
- Lee, J.T.; Schwartz, J. Reanalysis of the effects of air pollution on daily mortality in Seoul, Korea: A case-crossover design. Environ. Health Perspect. 1999, 107, 633–636. [Google Scholar] [CrossRef]
- Jaakkola, J.J.K. Case-crossover design in air pollution epidemiology. Eur. Respir. J. Suppl. 2003, 21, 81s–85s. [Google Scholar] [CrossRef]
- Auger, N.; Fraser, W.D.; Smargiassi, A.; Kosatsky, T. Ambient heat and sudden infant death: A case-crossover study spanning 30 years in Montreal, Canada. Environ. Health Perspect. 2015, 123, 712–716. [Google Scholar] [CrossRef] [PubMed]
- Jhun, I.; Mata, D.A.; Nordio, F.; Lee, M.; Schwartz, J.; Zanobetti, A. Ambient temperature and sudden infant death syndrome in the United States. Epidemiology 2017, 28, 728–734. [Google Scholar] [CrossRef] [PubMed]
- Son, J.Y.; Cho, Y.S.; Lee, J.T. Effects of air pollution on postneonatal infant mortality among firstborn infants in Seoul, Korea: Case-crossover and time-series analyses. Arch. Environ. Occup. Health 2008, 63, 108–113. [Google Scholar] [CrossRef] [PubMed]
- Fujita, T.; Kato, N. Risk factors for SIDS in Japan: A record-linkage study based on vital statistics. Acta Pediatr. Jpn. 1994, 36, 325–328. [Google Scholar] [CrossRef]
- Clougherty, J.E. A growing role for gender analysis in air pollution epidemiology. Environ. Health Perspect. 2010, 118, 167–176. [Google Scholar] [CrossRef] [PubMed]
- Knöbel, H.H.; Chen, C.J.; Liang, K.Y. Sudden infant death syndrome in relation to weather and optimetrically measured air pollution in Taiwan. Pediatrics 1995, 96, 1106–1110. [Google Scholar]
- Smith, G.C.; Pell, J.P.; Dobbie, R. Interpregnancy interval and risk of preterm birth and neonatal death: Retrospective cohort study. BMJ 2003, 327, 313. [Google Scholar] [CrossRef]
- Sullivan, F.M.; Barlow, S.M. Review of risk factors for sudden infant death syndrome. Paediatr. Perinat. Epidemiol. 2001, 15, 144–200. [Google Scholar] [CrossRef]
- Bobak, M.; Leon, D.A. Pregnancy outcomes and outdoor air pollution: An ecological study in districts of the Czech Republic 1986–1988. Occup. Environ. Med. 1999, 56, 539–543. [Google Scholar] [CrossRef]
- Lipfert, F.W.; Zhang, J.; Wyzga, R.E. Infant mortality and air pollution: A comprehensive analysis of US data for 1990. J. Air Waste Manag. Assoc. 2000, 50, 1350–1366. [Google Scholar] [CrossRef] [PubMed]
- Guntheroth, W.G.; Spiers, P.S. The triple risk hypotheses in sudden infant death syndrome. Pediatrics 2002, 110, e64. [Google Scholar] [CrossRef] [PubMed]
- Goldstein, R.D.; Trachtenberg, F.L.; Sens, M.A.; Harty, B.J.; Kinney, H.C. Overall postneonatal mortality and rates of SIDS. Pediatrics 2016, 137, 1–10. [Google Scholar] [CrossRef] [PubMed]
- Fleming, P.J.; Blair, P.S. Making informed choices on co-sleeping with your baby. BMJ 2015, 350, h563. [Google Scholar] [CrossRef] [PubMed]
- Fretts, R.C.; Schmittdiel, J.; McLean, F.H.; Usher, R.H.; Goldman, M.B. Increased maternal age and the risk of fetal death. N. Engl. J. Med. 1995, 333, 953–957. [Google Scholar] [CrossRef] [PubMed]
- Kenny, L.C.; Lavender, T.; McNamee, R.; O’Neill, S.M.; Mills, T.; Khashan, A.S. Advanced maternal age and adverse pregnancy outcome: Evidence from a large contemporary cohort. PLoS ONE 2013, 8, e56583. [Google Scholar] [CrossRef]
- Kim, Y.M.; Kim, J.; Han, Y.; Lee, B.J.; Choi, D.C.; Cheong, H.K.; Jeon, B.H.; Oh, I.; Bae, G.N.; Lee, J.Y.; et al. Comparison of diverse estimation methods for personal exposure to air pollutants and associations with allergic symptoms: The Allergy & Gene-Environment Link (ANGEL) study. Sci. Total Environ. 2017, 579, 1127–1136. [Google Scholar] [CrossRef]
- Comstock, G.W.; Shah, F.K.; Meyer, M.B.; Abbey, H. Low birthweight and neonatal mortality rate related to maternal smoking and socioeconomic status. Am. J. Obs. Gynecol. 1971, 111, 53–59. [Google Scholar] [CrossRef]
- Parker, J.D.; Schoendorf, K.C.; Kiely, J.L. Associations between measures of socioeconomic status and low birthweight, small for gestational age, and premature delivery in the United States. Ann. Epidemiol. 1994, 4, 271–278. [Google Scholar] [CrossRef]
- Kleinman, J.C.; Pierre, M.B., Jr.; Madans, J.H.; Land, G.H.; Schramm, W.F. The effects of maternal smoking on fetal and infant mortality. Am. J. Epidemiol. 1988, 127, 274–282. [Google Scholar] [CrossRef]
- Janes, H.; Sheppard, L.; Lumley, T. Case-crossover analyses of air pollution exposure data: Referent selection strategies and their implications for bias. Epidemiology 2005, 16, 717–726. [Google Scholar] [CrossRef] [PubMed]


| Variables | Total (N = 454) | Male (N = 253) | Female (N = 201) | p-Value a | |||
|---|---|---|---|---|---|---|---|
| n | % | n | % | n | % | ||
| Birthweight | 0.837 | ||||||
| >2500 g | 376 | 82.8 | 210 | 83.0 | 166 | 82.6 | |
| ≤2500 g | 78 | 17.2 | 43 | 17.0 | 35 | 17.4 | |
| Gestational age | 0.092 | ||||||
| ≥37 weeks | 377 | 83.0 | 207 | 81.8 | 170 | 84.6 | |
| <37 weeks | 77 | 17.0 | 46 | 18.2 | 31 | 15.4 | |
| Maternal age | <0.0001 * | ||||||
| <35 years old | 399 | 87.9 | 228 | 90.1 | 171 | 85.1 | |
| ≥35 years old | 55 | 12.1 | 25 | 9.9 | 30 | 14.9 | |
| Infant age | 0.109 | ||||||
| 1–2 months | 175 | 39.2 | 103 | 40.7 | 75 | 37.3 | |
| 3–11 months | 276 | 60.8 | 150 | 59.3 | 126 | 62.7 | |
| Mean | SD | Percentile | IQR | |||||
|---|---|---|---|---|---|---|---|---|
| Min | 25th | 50th | 75th | Max | ||||
| Daily exposures | ||||||||
| PM10 (µg/m3) | 49.6 | 28.3 | 8.9 | 31.9 | 43.5 | 59.7 | 275.9 | 27.8 |
| NO2 (ppb) | 24.6 | 11.5 | 3.3 | 15.6 | 22.1 | 31.3 | 76.3 | 15.7 |
| CO (ppb) | 529.5 | 214.1 | 188.9 | 385.7 | 478.2 | 601.6 | 1733.3 | 15.8 |
| SO2 (ppb) | 5.4 | 2.4 | 1.0 | 3.7 | 4.9 | 6.6 | 22.9 | 2.8 |
| Temperature (°C) | 11.8 | 10.2 | −13.7 | 3.6 | 12.4 | 21.0 | 31.7 | 17.4 |
| Relative humidity (%) | 64.5 | 15.4 | 14.0 | 54.0 | 66.0 | 76.0 | 99.3 | 22.0 |
| Lag (Days) | Odds Ratios (95% CI) † | |||
|---|---|---|---|---|
| PM10 | NO2 | CO | SO2 | |
| Lag 0 | 0.99 (0.89–1.12) | 1.19 (0.95–1.48) | 1.10 (0.94–1.29) | 1.09 (0.91–1.30) |
| Lag 1 | 1.05 (0.94–1.17) | 1.15 (0.93–1.42) | 1.20 (1.03–1.40) * | 1.09 (0.92–1.30) |
| Lag 2 | 1.14 (1.03–1.25) * | 1.11 (0.89–1.37) | 1.13 (0.97–1.33) | 1.03 (0.85–1.24) |
| Lag 3 | 1.10 (1.01–1.20) * | 1.13 (0.91–1.40) | 1.16 (1.00–1.35) * | 1.02 (0.84–1.23) |
| MA0-3 | 1.09 (0.94–1.26) | 1.16 (0.86–1.55) | 1.21 (0.98–1.48) | 1.08 (0.85–1.38) |
| Lag (days) | Odds Ratios (95% CI) † | |||||||
|---|---|---|---|---|---|---|---|---|
| PM10 | NO2 | CO | SO2 | |||||
| M | F | M | F | M | F | M | F | |
| Lag 0 | 0.95 (0.80–1.12) | 1.04 (0.89–1.22) | 0.85 (0.63–1.15) | 1.81 (1.28–2.54) * | 0.94 (0.76–1.16) | 1.37 (1.07–1.76) * | 1.02 (0.82–1.27) | 1.22 (0.91–1.62) |
| Lag 1 | 1.06 (0.90–1.24) | 1.05 (0.90–1.22) | 1.01 (0.76–1.34) | 1.34 (0.97–1.85) | 1.11 (0.91–1.37) | 1.33 (1.05–1.67) * | 1.12 (0.89–1.40) | 1.05 (0.81–1.37) |
| Lag 2 | 1.11 (0.98–1.27) | 1.18 (1.01–1.37) * | 1.04 (0.77–1.39) | 1.18 (0.85–1.62) | 1.16 (0.93–1.44) | 1.10 (0.87–1.39) | 0.98 (0.76–1.26) | 1.08 (0.82–1.43) |
| Lag 3 | 1.00 (0.86–1.15) | 1.17 (1.04–1.31) * | 1.12 (0.84–1.50) | 1.13 (0.82–1.56) | 1.12 (0.92–1.37) | 1.20 (0.96–1.51) | 0.93 (0.73–1.19) | 1.17 (0.88–1.56) |
| MA0–3 | 1.13 (0.92–1.39) | 1.06 (0.86–1.29) | 0.94 (0.63–1.40) | 1.51 (0.96–2.38) | 1.14 (0.86–1.49) | 1.30 (0.95–1.78) | 1.11 (0.81–1.51) | 1.03 (0.71–1.49) |
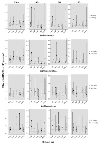
| Odds Ratios (95% CI) † | ||||||||||||
|---|---|---|---|---|---|---|---|---|---|---|---|---|
| PM10 | NO2 | CO | SO2 | |||||||||
| T | M | F | T | M | F | T | M | F | T | M | F | |
| Birthweight | ||||||||||||
| >2500 g | 1.10 (0.94–1.28) | 1.12 (0.88–1.43) | 1.11 (0.90–1.37) | 1.21 (0.88–1.68) | 1.00 (0.64–1.56) | 1.49 (0.92–2.42) | 1.23 (0.98–1.54) | 1.15 (0.85–1.57) | 1.35 (0.96–1.88) | 1.04 (0.80–1.36) | 1.08 (0.75–1.55) | 1.02 (0.68–1.52) |
| ≤2500 g | 1.20 (0.86–1.65) | 1.17 (0.77–1.78) | 1.35 (0.77–2.35) | 1.39 (0.73–2.65) | 0.76 (0.31–1.85) | 4.11 (1.74–9.72) * | 1.33 (0.84–2.10) | 1.06 (0.58–1.94) | 2.29 (1.00–5.23) * | 1.37 (0.88–2.13) | 1.18 (0.64–2.16) | 2.00 (0.80–4.97) |
| Gestational age | ||||||||||||
| ≥37 weeks | 1.08 (0.93–1.26) | 1.11 (0.88–1.40) | 1.08 (0.87–1.33) | 1.14 (0.83–1.58) | 1.02 (0.65–1.58) | 1.28 (0.79–2.08) | 1.18 (0.94–1.47) | 1.14 (0.84–1.55) | 1.22 (0.88–1.70) | 1.08 (0.83–1.40) | 1.12 (0.78–1.61) | 1.03 (0.70–1.51) |
| <37 weeks | 1.33 (0.94–1.89) | 1.27 (0.75–2.13) | 1.58 (0.94–2.66) | 1.86 (0.96–3.61) | 0.75 (0.29–1.96) | 5.12 (1.27–20.63) * | 1.70 (1.03–2.81) * | 1.18 (0.61–2.26) | 3.65 (1.35–9.90) * | 1.28 (0.75–2.16) | 1.04 (0.54–1.99) | 2.23 (0.81–6.15) |
| Maternal age | ||||||||||||
| <35 years old | 1.12 (0.96–1.30) | 1.14 (0.91–1.41) | 1.14 (0.92–1.41) | 1.22 (0.89–1.68) | 0.89 (0.59–1.35) | 1.93 (1.17–3.19) * | 1.28 (1.02–1.59) * | 1.11 (0.83–1.49) | 1.62 (1.13–2.33) * | 1.09 (0.84–1.42) | 1.00 (0.70–1.43) | 1.24 (0.83–1.84) |
| ≥35 years old | 1.13 (0.77–1.64) | 1.14 (0.54–2.39) | 1.13 (0.71–1.81) | 1.39 (0.64–3.02) | 1.66 (0.43–6.43) | 1.13 (0.41–3.09) | 1.18 (0.72–1.93) | 1.48 (0.60–3.63) | 1.00 (0.54–1.84) | 1.28 (0.74–2.21) | 1.71 (0.84–3.50) | 0.73 (0.28–1.90) |
| Infant age | ||||||||||||
| 1–2 months | 1.18 (0.95–1.46) | 1.16 (0.86–1.57) | 1.19 (0.86–1.65) | 1.01 (0.63–1.63) | 0.91 (0.49–1.69) | 1.21 (0.55–2.63) | 1.30 (0.93–1.82) | 1.20 (0.78–1.83) | 1.54 (0.86–2.75) | 0.97 (0.67–1.40) | 1.03 (0.65–1.63) | 0.80 (0.43–1.90) |
| 3–11 months | 1.03 (0.85–1.25) | 1.11 (0.82–1.48) | 0.98 (0.75–1.27) | 1.27 (0.87–1.85) | 0.98 (0.58–1.64) | 1.76 (1.00–3.11) * | 1.16 (0.90–1.51) | 1.11 (0.77–1.60) | 1.23 (0.84–1.80) | 1.18 (0.85–1.62) | 1.17 (0.76–1.80) | 1.19 (0.74–1.91) |
© 2019 by the authors. Licensee MDPI, Basel, Switzerland. This article is an open access article distributed under the terms and conditions of the Creative Commons Attribution (CC BY) license (http://creativecommons.org/licenses/by/4.0/).
Share and Cite
Hwang, M.-J.; Cheong, H.-K.; Kim, J.-H. Ambient Air Pollution and Sudden Infant Death Syndrome in Korea: A Time-Stratified Case-Crossover Study. Int. J. Environ. Res. Public Health 2019, 16, 3273. https://doi.org/10.3390/ijerph16183273
Hwang M-J, Cheong H-K, Kim J-H. Ambient Air Pollution and Sudden Infant Death Syndrome in Korea: A Time-Stratified Case-Crossover Study. International Journal of Environmental Research and Public Health. 2019; 16(18):3273. https://doi.org/10.3390/ijerph16183273
Chicago/Turabian StyleHwang, Myung-Jae, Hae-Kwan Cheong, and Jong-Hun Kim. 2019. "Ambient Air Pollution and Sudden Infant Death Syndrome in Korea: A Time-Stratified Case-Crossover Study" International Journal of Environmental Research and Public Health 16, no. 18: 3273. https://doi.org/10.3390/ijerph16183273
APA StyleHwang, M.-J., Cheong, H.-K., & Kim, J.-H. (2019). Ambient Air Pollution and Sudden Infant Death Syndrome in Korea: A Time-Stratified Case-Crossover Study. International Journal of Environmental Research and Public Health, 16(18), 3273. https://doi.org/10.3390/ijerph16183273

