A Dynamic Price Game Model in a Low-Carbon, Closed-Loop Supply Chain Considering Return Rates and Fairness Concern Behaviors
Abstract
:1. Introduction
2. Model Description
2.1. Basic Model Description
2.2. Model Hypothesis
2.3. Profit Functions
- ;
- .
- ;
- ; and
- .
3. The Local Stability of Dynamic System (7)
3.1. Equilibrium Points
3.2. The Stable Region of Dynamic System (7) with Changing Parameters
4. The Numerical Simulation of Dynamic System (7)
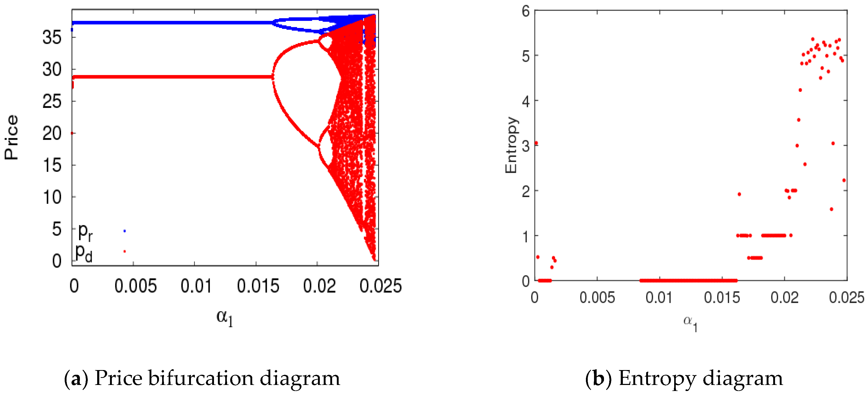
4.1. The Complex Entropy Analysis of Dynamic System (7) with the Price Adjustment Speed
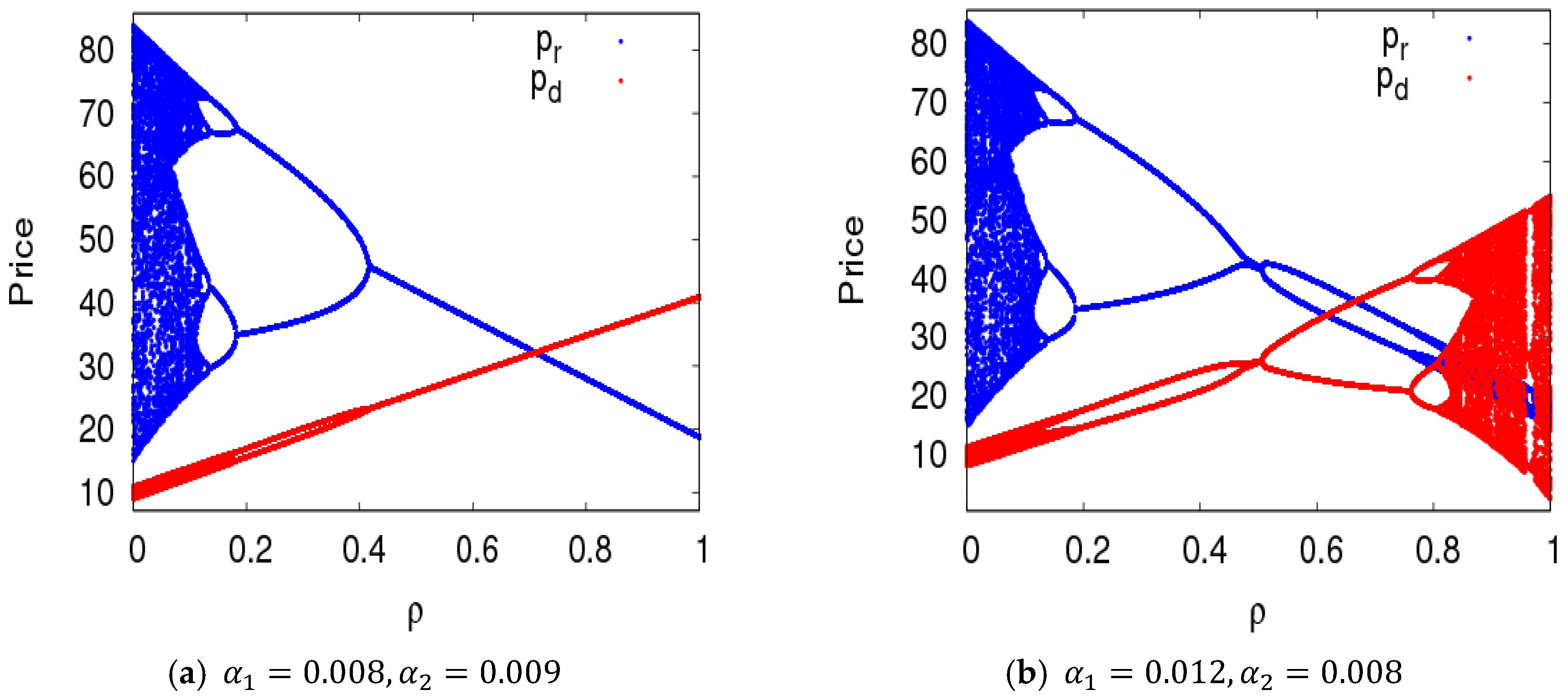
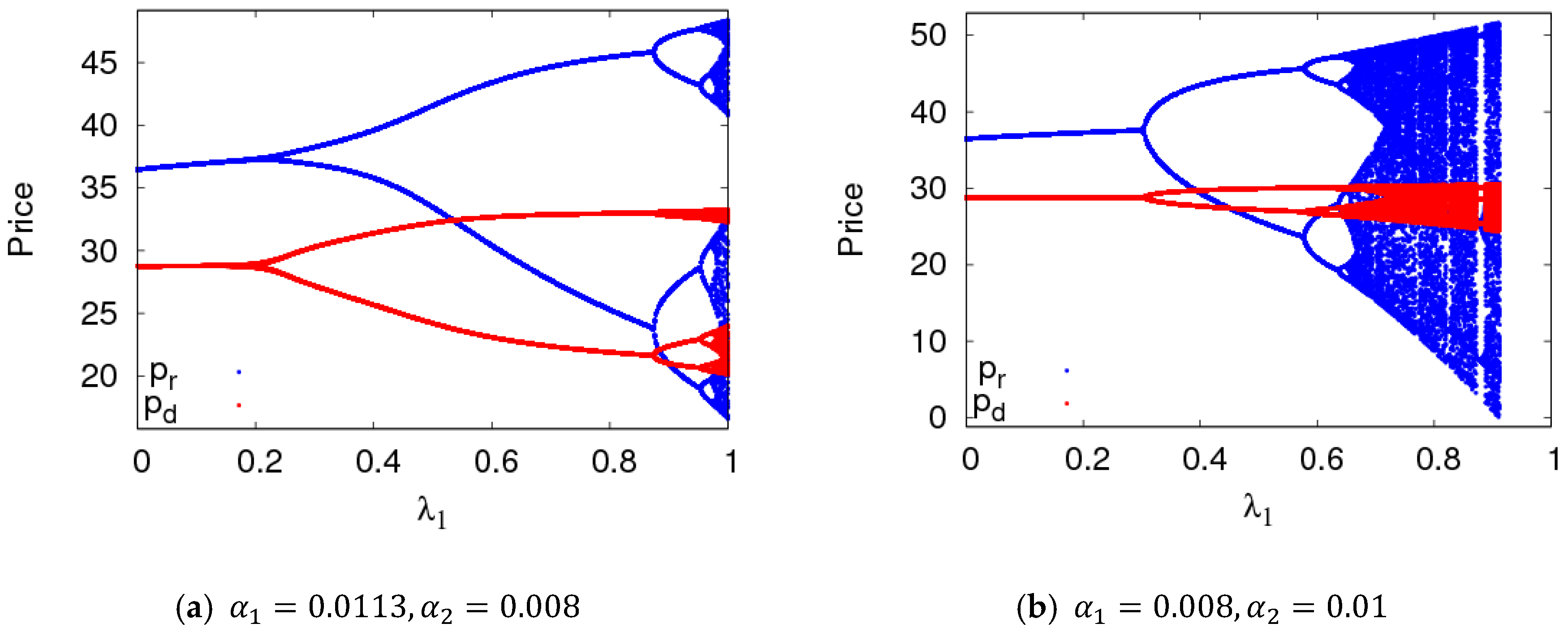
4.2. The Dynamic Characteristics of Dynamic System (7) with Changing Parameters
4.3. The Effects of Price Adjustment Speed on the Utilities of Dynamic System (7)
5. Global Stability of Dynamic System (7)
6. Chaos Control
7. Conclusions
Author Contributions
Funding
Acknowledgments
Conflicts of Interest
References
- Ji, J.N.; Zhang, Z.Y.; Yang, L. Carbon emission reduction decisions in the retail-/dual-channel supply chain with consumers’ preference. J. Clean. Prod. 2017, 141, 852–867. [Google Scholar] [CrossRef]
- Landi, D.; Capitanelli, A.; Germani, M. Ecodesign and Energy Labelling: The Role of Virtual Prototyping. In Proceedings of the 24th Cirp Conference on Life Cycle Engineering, Kamakura, Japan, 8–10 march 2017; Volume 61, pp. 87–92. [Google Scholar]
- Liu, C.J.; Jiang, Y.; Xie, R. Does income inequality facilitate carbon emission reductionin the US? J. Clean. Prod. 2019, 20, 380–387. [Google Scholar] [CrossRef]
- Zhang, S.Y.; Wang, C.X.; Yu, C. The evolutionary game analysis and simulation with system dynamics of manufacturer’s emissions abatement behavior under cap-and-trade regulation. Appl. Math. Comput. 2019, 355, 343–355. [Google Scholar] [CrossRef]
- Ye, F.; Fang, X.L.; Li, L.X. Allocation of carbon dioxide emission quotas based on the energy-economy-environment perspective: Evidence from Guangdong Province. Sci. Total Environ. 2019, 669, 657–667. [Google Scholar] [CrossRef] [PubMed]
- Tran, M.T.; Siriwardana, M.; Meng, S.; Nong, D. Impact of an emissions trading scheme on Australian households: A computable general equilibrium analysis. J. Clean. Prod. 2019, 221, 439–456. [Google Scholar] [CrossRef]
- Lin, B.J.; Jia, Z.J. Energy, economic and environmental impact of government fines in China’s carbon trading scheme. Sci. Total Environ. 2019, 667, 658–670. [Google Scholar] [CrossRef]
- Liu, P. Pricing policies and coordination of low-carbon supply chain considering targeted advertisement and CER costs in the big data environment. J. Clean. Prod. 2019, 210, 343–357. [Google Scholar] [CrossRef]
- Lou, W.D.; Ma, J.H. Complexity of sales effort and CER effort in a two-parallel household appliance supply chain model. Appl. Math. Model. 2018, 64, 398–425. [Google Scholar] [CrossRef]
- Hui, L.; Wang, C.X.; Sang, M.; Ou, W. Pricing, CER, Low-Carbon Promotion and Returning Decision in a Closed-Loop Supply Chain under Vertical and Horizontal Cooperation. Int. J. Environ. Res. Public Health 2017, 14, 1332. [Google Scholar]
- Yang, L.; Zhang, Q.; Ji, J.N. Pricing and carbon emission reduction decisions in supply chains with vertical and horizontal cooperation. Int. J. Prod. Econ. 2017, 191, 286–297. [Google Scholar] [CrossRef]
- Liu, Z.; Zheng, X.X.; Gong, B.G.; Gui, Y.M. Joint Decision-Making and the Coordination of a Sustainable Supply Chain in the Context of Carbon Tax Regulation and Fairness Concerns. Int. J. Environ. Res. Public Health 2017, 14, 1464. [Google Scholar] [CrossRef] [PubMed]
- Crocker, K.J.; Letizia, P. Optimal policies for recovering the value of consumer returns. Prod. Oper. Manag. 2014, 23, 1667–1680. [Google Scholar] [CrossRef]
- Zheng, Y.Y.; Shu, T.; Wang, S.Y.; Chen, S.; Lai, K.K. Analysis of product return rate and price competition in two supply chains. Oper. Res. 2018, 18, 469–496. [Google Scholar] [CrossRef]
- Giri, B.C.; Sharma, S. Optimizing a closed-loop supply chain with manufacturing defects and quality dependent return rate. J. Manuf. Syst. 2015, 35, 92–111. [Google Scholar] [CrossRef]
- Ofek, E.; Katona, Z.; Sarvary, M. Bricks and clicks: The impact of product return on the strategies of multichannel retailer. Mark. Sci. 2011, 30, 42–60. [Google Scholar] [CrossRef]
- Ramanathan, R. An empirical analysis on the influence of risk on relationships between handling of product returns and consumer loyalty in E-commerce. Int. J. Prod. Econ. 2011, 130, 255–261. [Google Scholar] [CrossRef]
- Huang, Y.M.; Li, Q.X.; Zhang, Y.H. The Complexity Analysis for Price Game Model of Risk-Averse Supply Chain Considering Fairness Concern. Complexity 2018, 2018, 9216193. [Google Scholar]
- Li, Q.Q.; Xiao, T.J.; Qiu, Y.Z. Price and carbon emission reduction decisions and revenue-sharing contract considering fairness concerns. J. Clean. Prod. 2018, 190, 303–314. [Google Scholar] [CrossRef]
- Wang, Y.Y.; Yu, Z.Q.; Shen, L. Study on the decision-making and coordination of an e-commerce supply chain with manufacturer fairness concerns. Int. J. Prod. Res. 2019, 57, 2788–2808. [Google Scholar] [CrossRef]
- Li, B.; Hou, P.W.; Li, Q.H. Cooperative advertising in a dual-channel supply chain with a fairness concern of the manufacturer. Ima J. Manag. Math. 2017, 28, 259–277. [Google Scholar] [CrossRef]
- Niu, B.Z.; Cui, Q.Q.; Zhang, J. Impact of channel power and fairness concern on supplier’s market entry decision. J. Oper. Res. Soc. 2017, 68, 1570–1581. [Google Scholar] [CrossRef]
- Ma, P.; Li, K.W.; Wang, Z.J. Pricing decisions in closed-loop supply chains with marketing effort and fairness concerns. Int. J. Prod. Res. 2017, 55, 6710–6731. [Google Scholar] [CrossRef]
- Du, B.S.; Liu, Q.; Li, G.P. Coordinating Leader-Follower Supply Chain with Sustainable Green Technology Innovation on Their Fairness Concerns. Int. J. Environ. Res. Public Health 2017, 14, 1357. [Google Scholar] [CrossRef] [PubMed]
- Liang, G.B.; Qin, Y.H. The game model of fuzzy fairness concern for supplier and retailer. J. Interdiscip. Math. 2017, 20, 1537–1542. [Google Scholar] [CrossRef]
- Puu, T. The chaotic duopolists revisited. J. Econ. Behav. Organ. 2004, 33, 385–394. [Google Scholar] [CrossRef]
- Matouk, A.; Elsadany, A.A.; Xin, B.G. Neimark–Sacker bifurcation analysis and complex nonlinear dynamics in a heterogeneous quadropoly game with an isoelastic demand function. Nonlinear Dyn. 2017, 89, 2533–2552. [Google Scholar] [CrossRef]
- Huang, Y.M.; Liu, L.; Qi, E.S. The dynamic decision in risk-averse complementary product manufacturers with corporate social responsibility. Kybernetes 2016, 45, 244–265. [Google Scholar] [CrossRef]
- Wu, F.; Ma, J.H. The equilibrium, complexity analysis and control in epiphytic supply chain with product horizontal diversification. Nonlinear Dyn. 2018, 93, 2145–2158. [Google Scholar] [CrossRef]
- Huang, Y.M.; Li, Q.X. The Entropy Complexity of an Asymmetric Dual-Channel Supply Chain with Probabilistic Sellin. Entropy 2018, 20, 543. [Google Scholar] [CrossRef]
- Li, Q.X.; Ma, J.H. Research on price Stackelberg game model with probabilistic selling based on complex system theory. Commun. Nonlinear Sci. Numer. Simul. 2016, 30, 387–400. [Google Scholar] [CrossRef]
- Zhang, X.L.; Wu, D.D.; Wang, J.J.; Liu, J.G.; Zhang, Y.C. Research on the pricing decision of manufacturer dual-channel supply chain considering return risk. Chin. J. Manag. Sci. 2018, 26, 59–70. [Google Scholar]
- Yan, R.; Pei, Z. Information asymmetry, pricing strategy and firm’s performance in the retailer-multichannel manufacturer supply chain. J. Bus. Res. 2011, 64, 337–384. [Google Scholar] [CrossRef]
- Zhang, F.; Ma, J.H. Research on the complex features about a dual-channel supply chain with a fair caring retaile. Commun. Nonlinear Sci. Numer. Simul. 2016, 30, 151–167. [Google Scholar] [CrossRef]
- Pavlov, V.; Katok, E. Fairness and Coordination Failures in Supply Chain Contracts; Social Science Electronic Publishing: New York, NY, USA, 2011. [Google Scholar]
- Bell, D.; Keeney, R.; Little, J. A Market Share Theorem. J. Mark. Res. 1975, 12, 136–141. [Google Scholar] [CrossRef]
- Li, T.; Ma, J.H. Complexity analysis of dual-channel game model with different managers’ business objectives. Commun. Nonlinear Sci. Numer. Simul. 2015, 20, 199–208. [Google Scholar] [CrossRef]
- Holyst, J.A.; Urbanowicz, K. Chaos control in economical model by time-delayed feedback method. Phys. A Stat. Mech. Its Appl. 2000, 287, 587–598. [Google Scholar]
- Du, J.G.; Huang, T.W.; Sheng, Z.H. Analysis of decision-making in economic chaos control. Nonlinear Anal. Real World Appl. 2009, 10, 2493–2501. [Google Scholar] [CrossRef]
- Matsumoto, A. Controlling the cournot-nash chaos. J. Optim. Theory Appl. 2006, 128, 379–392. [Google Scholar] [CrossRef]
























© 2019 by the authors. Licensee MDPI, Basel, Switzerland. This article is an open access article distributed under the terms and conditions of the Creative Commons Attribution (CC BY) license (http://creativecommons.org/licenses/by/4.0/).
Share and Cite
Li, Q.; Shi, M.; Huang, Y. A Dynamic Price Game Model in a Low-Carbon, Closed-Loop Supply Chain Considering Return Rates and Fairness Concern Behaviors. Int. J. Environ. Res. Public Health 2019, 16, 1978. https://doi.org/10.3390/ijerph16111978
Li Q, Shi M, Huang Y. A Dynamic Price Game Model in a Low-Carbon, Closed-Loop Supply Chain Considering Return Rates and Fairness Concern Behaviors. International Journal of Environmental Research and Public Health. 2019; 16(11):1978. https://doi.org/10.3390/ijerph16111978
Chicago/Turabian StyleLi, Qiuxiang, Mengnan Shi, and Yimin Huang. 2019. "A Dynamic Price Game Model in a Low-Carbon, Closed-Loop Supply Chain Considering Return Rates and Fairness Concern Behaviors" International Journal of Environmental Research and Public Health 16, no. 11: 1978. https://doi.org/10.3390/ijerph16111978
APA StyleLi, Q., Shi, M., & Huang, Y. (2019). A Dynamic Price Game Model in a Low-Carbon, Closed-Loop Supply Chain Considering Return Rates and Fairness Concern Behaviors. International Journal of Environmental Research and Public Health, 16(11), 1978. https://doi.org/10.3390/ijerph16111978
