Risk and Benefit of Different Cooking Methods on Essential Elements and Arsenic in Rice
Abstract
1. Introduction
2. Materials and Methods
2.1. Rice Preparation
2.2. Sample Preparation for Elemental Analysis
2.3. Estimated Daily Intake (EDI) of Essential Elements and Contribution to Recommended Dietary Intake
2.4. Data Analysis
3. Results
3.1. Quality Control Analysis
3.2. Raw Rice
3.3. Effect of Cooking on As in Rice
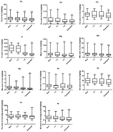
3.4. Effect of Cooking on Essential Elements in Rice and Resultant Contribution to RDI
4. Discussion
5. Conclusions
Author Contributions
Funding
Acknowledgments
Conflicts of Interest
References
- Subudhi, P.K.; Sasaki, T.; Khush, G.S. Rice. Genome Mapp. Mol. Breed. Plants 2006, 1, 1–9. [Google Scholar]
- Akuzawa, S.; Nagano, H.; Ikeda, M.; Omori, M.; Katoh, M. Physicochemical characteristics of rice and suitability of the traditional cooking method of rice in the union of Myanmar. Food Sci. Technol. Res. 2002, 8, 268–272. [Google Scholar] [CrossRef]
- Del Ninno, C.; Dorosh, P.A. Averting a food crisis: Private imports and public targeted distribution in Bangladesh after the 1998 flood. Agric. Econ. 2001, 25, 337–346. [Google Scholar] [CrossRef]
- Mohanty, S. Trends in global rice consumption. Rice Today 2013, 12, 44–45. [Google Scholar]
- Akande, T. An overview of the Nigerian rice economy. Niger. Inst. Soc. Econ. Res. 2001, 11, 1–11. [Google Scholar]
- Nzeka, U.M. Nigeria Grain and Feed Update: Nigeria Remains a Huge Export Market for Wheat and Rice. Available online: https://gain.fas.usda.gov/Recent%20GAIN%20Publications/Grain%20and%20Feed%20Update_Lagos_Nigeria_11-24-2014.pdf (accessed on 26 April 2018).
- Maclean, J.; Hardy, B.; Hettel, G. Rice Almanac. Ann. Botany 2003, 92. [Google Scholar] [CrossRef]
- Nelson, M.; Erens, B.; Bates, B.; Church, S.; Boshier, T. Low Income Diet and Nutrition Survey; TSO: London, UK, 2007; Volume 3. [Google Scholar]
- Schenker, S. An overview of the role of rice in the UK diet. Nutr. Bull. 2012, 37, 309–323. [Google Scholar] [CrossRef]
- Chakkaravarthi, A.; Lakshmi, S.; Subramanian, R.; Hegde, V.M. Kinetics of cooking unsoaked and presoaked rice. J. Food Eng. 2008, 84, 181–186. [Google Scholar] [CrossRef]
- Sengupta, M.K.; Hossain, M.A.; Mukherjee, A.; Ahamed, S.; Das, B.; Nayak, B.; Chakraborti, D. Arsenic burden of cooked rice: Traditional and modern methods. Food Chem. Toxicol. 2006, 44, 1823–1829. [Google Scholar] [CrossRef] [PubMed]
- Ababio, P.F.; Taylor, K.D.A.; Swainson, M.; Daramola, B.A. Effect of good hygiene practices intervention on food safety in senior secondary schools in Ghana. Food Control 2016, 60, 18–24. [Google Scholar] [CrossRef]
- Pinto, E.; Almeida, A.; Ferreira, I.M.P.L.V.O. Essential and non-essential/toxic elements in rice available in the Portuguese and Spanish markets. J. Food Compos. Anal. 2016, 48, 81–87. [Google Scholar] [CrossRef]
- Sohn, E. Contamination: The toxic side of rice. Nature 2014, 514, S62–S63. [Google Scholar] [CrossRef] [PubMed]
- IARC. IARC Monograph 100 C: A Review of Human Carcinogens; World Health Organization: Geneva, Switzerland, 2012. [Google Scholar]
- Hojsak, I.; Braegger, C.; Bronsky, J.; Campoy, C.; Colomb, V.; Decsi, T.; Van Goudoever, J. Arsenic in Rice. J. Pediatr. Gastroenterol. Nutr. 2015, 60, 142–145. [Google Scholar] [CrossRef] [PubMed]
- Meharg, A.A.; Rahman, M. Arsenic contamination of Bangladesh paddy field soils: Implications for rice contribution to arsenic consumption. Environ. Sci. Technol. 2003, 37, 229–234. [Google Scholar] [CrossRef] [PubMed]
- Mondal, D.; Polya, D.A. Rice is a major exposure route for arsenic in Chakdaha block, Nadia district, West Bengal, India: A probabilistic risk assessment. Appl. Geochem. 2008, 23, 2986–2997. [Google Scholar] [CrossRef]
- Mondal, D.; Banerjee, M.; Kundu, M.; Banerjee, N.; Bhattacharya, U.; Giri, A.K.; Ganguli, B.; Sen Roy, S.; Polya, D.A. Comparison of drinking water, raw rice and cooking of rice as arsenic exposure routes in three contrasting areas of West Bengal, India. Environ. Geochem. Health 2010, 32, 463–477. [Google Scholar] [CrossRef] [PubMed]
- Sohn, E. Simple cooking methods flush arsenic out of rice. Nature 2015. [Google Scholar] [CrossRef]
- Mihucz, V.G.; Tatár, E.; Virág, I.; Zang, C.; Jao, Y.; Záray, G. Arsenic removal from rice by washing and cooking with water. Food Chem. 2007, 105, 1718–1725. [Google Scholar] [CrossRef]
- Raab, A.; Baskaran, C.; Feldmann, J.; Meharg, A.A. Cooking rice in a high water to rice ratio reduces inorganic arsenic content. J. Environ. Monit. 2009, 11, 41–44. [Google Scholar] [CrossRef] [PubMed]
- Gray, P.J.; Conklin, S.D.; Todorov, T.I.; Kasko, S.M. Cooking rice in excess water reduces both arsenic and enriched vitamins in the cooked grain. Food Addit. Contam. Part A 2015, 33, 78–85. [Google Scholar] [CrossRef] [PubMed]
- Tidemann-Andersen, I.; Acham, H.; Maage, A.; Malde, M.K. Iron and zinc content of selected foods in the diet of schoolchildren in Kumi district, east of Uganda: A cross-sectional study. Nutr. J. 2011, 10, 1–12. [Google Scholar] [CrossRef] [PubMed]
- Rahman, M.; Owens, G.; Naidu, R. Arsenic levels in rice grain and assessment of daily dietary intake of arsenic from rice in arsenic-contaminated regions of Bangladesh—Implications to groundwater irrigation. Environ. Geochem. Health 2009, 31, 179–187. [Google Scholar] [CrossRef] [PubMed]
- USDA. Dietary Reference Intakes for Vitamin A, Vitamin K, Arsenic, Boron, Chromium, Copper, Iodine, Iron, Manganese, Molybdenum, Nickel, Silicon, Vanadium, and Zinc. Available online: https://www.ncbi.nlm.nih.gov/books/NBK222310/pdf/Bookshelf_NBK222310.pdf (accessed on 26 April 2018).
- EFSA. Dietary exposure to inorganic arsenic in the European population. EFSA J. 2014, 12, 3597. [Google Scholar] [CrossRef]
- Banerjee, M.; Banerjee, N.; Bhattacharjee, P.; Mondal, D.; Lythgoe, P.R.; Martinez, M.; Pan, J.; Polya, D.A.; Giri, A.K. High arsenic in rice is associated with elevated genotoxic effects in humans. Sci. Rep. 2013, 3, 1–8. [Google Scholar] [CrossRef] [PubMed]
- Rahman, M.A.; Rahman, M.M.; Reichman, S.M.; Lim, R.P.; Naidu, R. Arsenic speciation in Australian-grown and imported rice on sale in Australia: Implications for human health risk. J. Agric. Food Chem. 2014, 62, 6016–6024. [Google Scholar] [CrossRef] [PubMed]
- Kwofie, E.M.; Ngadi, M. A review of rice parboiling systems, energy supply, and consumption. Renew. Sustain. Energy Rev. 2017, 72, 465–472. [Google Scholar] [CrossRef]
- Rahman, M.A.; Hasegawa, H.; Rahman, M.A.; Rahman, M.M.; Miah, M.A.M. Influence of cooking method on arsenic retention in cooked rice related to dietary exposure. Sci. Total Environ. 2006, 370, 51–60. [Google Scholar] [CrossRef] [PubMed]
- Sommella, A.; Deacon, C.; Norton, G.; Pigna, M.; Violante, A.; Meharg, A.A. Total arsenic, inorganic arsenic, and other elements concentrations in Italian rice grain varies with origin and type. Environ. Pollut. 2013, 181, 38–43. [Google Scholar] [CrossRef] [PubMed]
- Mihucz, V.G.; Silversmit, G.; Szalóki, I.; De Samber, B.; Schoonjans, T.; Tatár, E.; Záray, G. Removal of some elements from washed and cooked rice studied by inductively coupled plasma mass spectrometry and synchrotron based confocal micro-X-ray fluorescence. Food Chem. 2010, 121, 290–297. [Google Scholar] [CrossRef]
- Morakinyo, A.O.; Samuel, T.A.; Adegoke, O.A. Mineral composition of commonly consumed local foods in Nigeria. Afr. J. Biomed. Res. 2016, 19, 141–147. [Google Scholar]
- Lv, J.; Wang, W.; Krafft, T.; Li, Y.; Zhang, F.; Yuan, F. Effects of several environmental factors on longevity and health of the human population of Zhongxiang, Hubei, China. Biol. Trace Elem. Res. 2011, 143, 702–716. [Google Scholar] [CrossRef] [PubMed]
- Shenkin, A. Micronutrients in health and disease. Postgrad. Med. J. 2006, 82, 559–567. [Google Scholar] [CrossRef] [PubMed]
- Damms-Machado, A.; Weser, G.; Bischoff, S.C. Micronutrient deficiency in obese subjects undergoing low calorie diet. Nutr. J. 2012, 11, 34. [Google Scholar] [CrossRef] [PubMed]
- Harrison, G. Public Health Interventions to Combat Micronutrient Deficiencies. Available online: http://www.publichealthreviews.eu/show/f/29 (accessed on 26 April 2018).
- Muraki, I.; Wu, H.; Imamura, F.; Laden, F.; Rimm, E.B.; Hu, F.B.; Sun, Q. Rice consumption and risk of cardiovascular disease: Results from a pooled analysis of 3 US cohorts. Am. J. Clin. Nutr. 2015, 101, 164–172. [Google Scholar] [CrossRef] [PubMed]
- Ricepedia. Nutritional Content of Rice Compared to Other Staple Foods. Available online: http://ricepedia.org/rice-as-food/nutritional-content (accessed on 26 April 2018).
- International Life Sciences Institute. Recommended Dietary Allowances: Harmonization in Southeast Asia. Available online: http://ilsisea-region.org/wp-content/uploads/sites/21/2016/06/ILSI-SEAR-Monograph-ASEAN-RDAs.pdf (accessed on 26 April 2018).
- Hansen, T.H.; Lombi, E.; Fitzgerald, M.; Laursen, K.H.; Frydenvang, J.; Husted, S.; Schjoerring, J.K. Losses of essential mineral nutrients by polishing of rice differ among genotypes due to contrasting grain hardness and mineral distribution. J. Cereal Sci. 2012, 56, 307–315. [Google Scholar] [CrossRef]
- Das, T.; Subramanian, R.; Chakkaravarthi, A.; Singh, V.; Ali, S.Z.; Bordoloi, P.K. Energy conservation in domestic rice cooking. J. Food Eng. 2006, 75, 156–166. [Google Scholar] [CrossRef]


| As | Ca | Co | Cu | Fe | K | Mg | Mn | Mo | Ni | Se | Zn | |
|---|---|---|---|---|---|---|---|---|---|---|---|---|
| µg/L | mg/L | µg/L | µg/L | mg/L | mg/L | mg/L | µg/L | µg/L | µg/L | µg/L | µg/L | |
| LOD | 0.01 | 0.05 | 0.05 | 0.02 | 0.01 | 0.1 | 0.05 | 0.01 | 0.05 | 0.1 | 0.2 | 0.01 |
| LOQ | 0.03 | 0.17 | 0.17 | 0.07 | 0.03 | 0.3 | 0.17 | 0.03 | 0.17 | 0.33 | 0.67 | 0.03 |
| Location | As | Ca | Co | Cu | Fe | K | Mg | Mn | Mo | Ni | Se | Zn |
|---|---|---|---|---|---|---|---|---|---|---|---|---|
| United Kingdom (n = 2) | 0.25 ± 0.02 | 80.64 ± 62.83 | 0.02 ± 0.01 | 3.96 ± 0.96 | 31.00 ± 20.49 | 1842 ± 342 | 736 ± 671 | 19.01 ± 16.05 | 2.48 ± 2.17 | 7.23 ± 8.10 | 0.07 ± 0.03 | 13.77 ± 5.32 |
| Sri Lanka (n = 11) | 0.14 ± 0.12 | 62.13 ± 32.41 | 0.04 ± 0.02 | 2.62 ± 0.93 | 4.67 ± 2.96 | 1285 ± 439 | 376 ± 271 | 8.24 ± 5.27 | 0.67 ± 0.39 | 0.22 ± 0.12 | 0.09 ± 0.04 | 10.00 ± 3.03 |
| Myanmar (n = 3) | 0.11 ± 0.03 | 66.35 ± 9.49 | 0.02 ± 0.01 | 3.04 ± 0.66 | 3.04 ± 0.62 | 845 ± 124 | 305 ± 37 | 7.48 ± 2.00 | 0.45 ± 0.36 | 0.20 ± 0.14 | 0.12 ± 0.14 | 12.60 ± 0.59 |
| Nigeria (n = 8) | 0.10 ± 0.10 | 45.63 ± 10.22 | 0.04 ± 0.04 | 3.51 ± 0.63 | 10.69 ± 12.64 | 1438 ± 408 | 247 ± 87 | 6.03 ± 2.34 | 0.81 ± 0.22 | 0.80 ± 0.43 | 0.06 ± 0.02 | 8.21 ± 2.71 |
| Overall (n = 24) | 0.13 ± 0.10 | 58.70 ± 27.97 | 0.04 ± 0.02 | 3.08 ± 0.90 | 8.67 ± 11.28 | 1327 ± 447 | 354 ± 267 | 8.31 ± 6.10 | 0.84 ± 0.75 | 1.00 ± 2.58 | 0.08 ± 0.06 | 10.04 ± 3.27 |
| Range | 0.01 | 22.11 | 0.004 | 1.39 | 1.36 | 661 | 77 | 3.08 | 0.22 | 0.06 | 0.02 | 5.07 |
| 0.40 | 144.36 | 0.11 | 4.86 | 45.49 | 2084 | 1211 | 30.36 | 4.01 | 12.96 | 0.28 | 17.53 |
| Cooking Technique | |||||
|---|---|---|---|---|---|
| Essential Element | Gender | RDI (mg/day) | 1:3 (%) | 1:6 (%) | Parboiled (%) |
| Ca | M | 1000 | 0.55 | 0.49 | 0.48 |
| F | 1200 | 0.46 | 0.41 | 0.4 | |
| Cu | M & F | 0.9 | 33.8 | 33.4 | 29.5 |
| Fe | M | 8 | 10.9 | 8.8 | 23.8 |
| F | 18 | 4.8 | 3.9 | 10.6 | |
| K | M & F | 3510 | 3.6 | 1.8 | 1.6 |
| Mg | M | 420 | 8.4 | 7.0 | 6.9 |
| F | 320 | 11.1 | 9.1 | 9.1 | |
| Mn | M | 2.3 | 33.8 | 30.3 | 28.8 |
| F | 1.8 | 43.2 | 38.7 | 36.9 | |
| Mo | M & F | 0.045 | 156.8 | 154.7 | 147.9 |
| Ni | M & F | 1 | 6.7 | 12.4 | 14.2 |
| Se | M & F | 0.055 | 12.4 | 13.1 | 11.9 |
| Zn | M | 11 | 8.6 | 8.4 | 7.9 |
| F | 8 | 11.8 | 11.6 | 10.8 | |
© 2018 by the authors. Licensee MDPI, Basel, Switzerland. This article is an open access article distributed under the terms and conditions of the Creative Commons Attribution (CC BY) license (http://creativecommons.org/licenses/by/4.0/).
Share and Cite
Mwale, T.; Rahman, M.M.; Mondal, D. Risk and Benefit of Different Cooking Methods on Essential Elements and Arsenic in Rice. Int. J. Environ. Res. Public Health 2018, 15, 1056. https://doi.org/10.3390/ijerph15061056
Mwale T, Rahman MM, Mondal D. Risk and Benefit of Different Cooking Methods on Essential Elements and Arsenic in Rice. International Journal of Environmental Research and Public Health. 2018; 15(6):1056. https://doi.org/10.3390/ijerph15061056
Chicago/Turabian StyleMwale, Tasila, Mohammad Mahmudur Rahman, and Debapriya Mondal. 2018. "Risk and Benefit of Different Cooking Methods on Essential Elements and Arsenic in Rice" International Journal of Environmental Research and Public Health 15, no. 6: 1056. https://doi.org/10.3390/ijerph15061056
APA StyleMwale, T., Rahman, M. M., & Mondal, D. (2018). Risk and Benefit of Different Cooking Methods on Essential Elements and Arsenic in Rice. International Journal of Environmental Research and Public Health, 15(6), 1056. https://doi.org/10.3390/ijerph15061056

