Temporal and Spatial Variation in, and Population Exposure to, Summertime Ground-Level Ozone in Beijing
Abstract
1. Introduction
2. Methods
2.1. Study Area
2.2. Data
2.3. Statistical Models
2.4. Analysis
3. Results
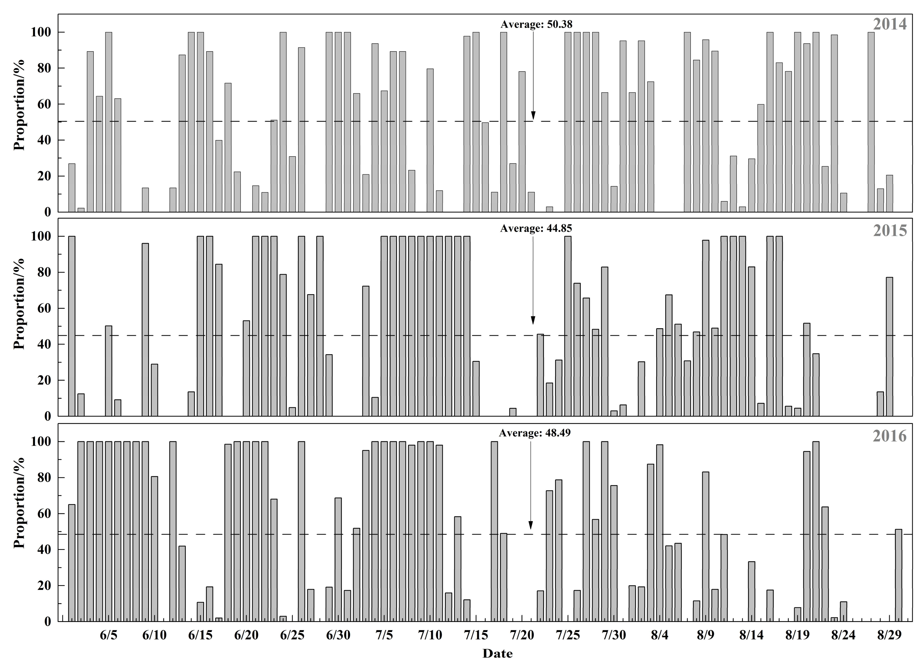
3.1. Variation in Ground-Level Ozone Concentration in Beijing
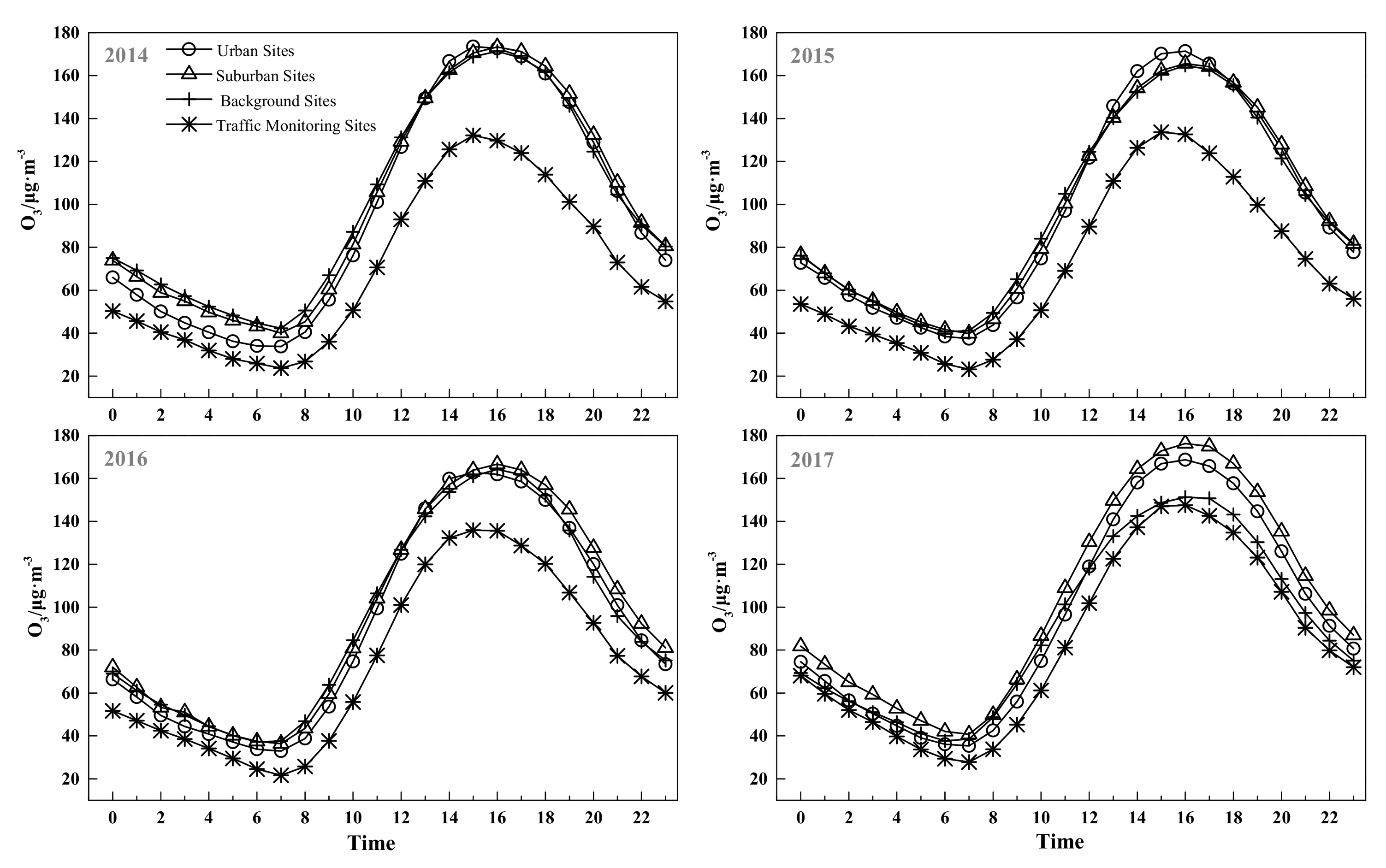
3.2. Variations in Ground-Level Ozone Concentration at Four Types of Sites
3.3. Spatial Distribution of Ground-Level Ozone Concentration
3.4. Population Exposure to Ground-Level Ozone
4. Discussion
5. Conclusions
- Strict laws are required to control the emissions of ozone precursors (NOX and VOCs), which are mainly from motor vehicle exhaust. In the short term, replacing old cars with newer vehicles, or eliminating old cars with subsidies, are useful policy strategies. In the long term, developing public transportation to help reduce the use of private cars in major and populous cities is also required.
- To avoid an increase in ground-level ozone concentrations, measures for controlling VOC sources (like gasoline stations and paint use) should be stricter than those for NOX sources, because most areas in Beijing are VOC-dominated ozone pollution areas, where the ozone concentration is determined by the concentration of VOC in the atmosphere. Thus, the relevant research community and government agencies need to pay more attention to research on the measurement of VOCs and their effects on ozone production in the atmosphere.
- As previous studies have shown, ozone pollution in Beijing is considerably affected by the transport of ozone and its precursors from other provinces in Northern China. Regional cooperation and joint defense and control are future directions for the control of ozone pollution.
- Research on the impacts of ground-level ozone pollution on human health and vegetation is limited compared to that on atmospheric processes. We recommend that more research be conducted on the impacts of ground-level ozone and consideration be given to further reducing the guideline values for Class II regions.
Acknowledgments
Author Contributions
Conflicts of Interest
References
- Cristofanelli, P.; Carlo, P.D.; Altorio, A.D.; Salisburgo, C.D.; Tuccella, P.; Biancofiore, F.; Stocchi, P.; Verza, G.P.; Landi, T.C.; Marinoni, A.; et al. Analysis of summer ozone observations at a high mountain site in central Italy (campo imperatore, 2388 m a.s.l.). Pure Appl. Geophys. 2013, 170, 1985–1999. [Google Scholar] [CrossRef][Green Version]
- Sicard, P.; Marco, A.D.; Troussier, F.; Renou, C.; Vas, N.; Paoletti, E. Decrease in surface ozone concentrations at Mediterranean remote sites and increase in the cities. Atmos. Environ. 2013, 79, 705–715. [Google Scholar] [CrossRef]
- Derwent, R.G.; Utembe, S.R.; Jenkin, M.E.; Shallcross, D.E. Tropospheric ozone production regions and the intercontinental origins of surface ozone over Europe. Atmos. Environ. 2015, 112, 216–224. [Google Scholar] [CrossRef]
- Vestreng, V.; Ntziachristos, L.; Semb, A.; Reis, S.; Isaksen, I.S.A.; Tarrasón, L. Evolution of NOx emissions in Europe with focus on road transport control measures. Atmos. Chem. Phys. 2009, 8, 1503–1520. [Google Scholar] [CrossRef]
- Xing, J.; Mathur, R.; Pleim, J.; Hogrefe, C.; Gan, C.M.; Wong, D.C.; Wei, C.; Gilliam, R.; Pouliot, G. Observations and modeling of air quality trends over 1990–2010 across the Northern Hemisphere: China, the United States and Europe. Atmos. Chem. Phys. 2015, 14, 2723–2747. [Google Scholar] [CrossRef]
- Sicard, P.; Serra, R.; Rossello, P. Spatiotemporal trends in ground-level ozone concentrations and metrics in France over the time period 1999–2012. Environ. Res. 2016, 149, 122–144. [Google Scholar] [CrossRef] [PubMed]
- Monks, P.S.; Archibald, A.T.; Colette, A.; Cooper, O.; Coyle, M.; Derwent, R.; Fowler, D.; Granier, C.; Law, K.S.; Mills, G.E.; et al. Tropospheric ozone and its precursors from the urban to the global scale from air quality to short-lived climate forcer. Atmos. Chem. Phys. 2015, 14, 32709–32933. [Google Scholar] [CrossRef]
- Karnosky, D.F.; Skelly, J.M.; Percy, K.E.; Chappelka, A.H. Perspectives regarding 50 years of research on effects of tropospheric ozone air pollution on US forests. Environ. Pollut. 2007, 147, 489–506. [Google Scholar] [CrossRef] [PubMed]
- Screpanti, A.; Marco, A.D. Corrosion on cultural heritage buildings in Italy: A role for ozone? Environ. Pollut. 2009, 157, 1513–1520. [Google Scholar] [CrossRef] [PubMed]
- Mills, G.; Hayes, F.; Simpson, D.; Emberson, L.; Norris, D.; Harmens, H.; Buker, P. Evidence of widespread effects of ozone on crops and (semi-) natural vegetation in Europe (1990–2006) in relation to AOT40- and flux-based risk maps. Glob. Chang. Biol. 2011, 17, 592–613. [Google Scholar] [CrossRef]
- Paoletti, E. Impact of ozone on Mediterranean forests: A review. Environ. Pollut. 2006, 144, 463–474. [Google Scholar] [CrossRef] [PubMed]
- Sicard, P.; Dalstein-Richier, L. Health and vitality assessment of two common pine species in the context of climate change in southern Europe. Environ. Res. 2015, 137, 235–245. [Google Scholar] [CrossRef] [PubMed]
- Calatayud, V.; Diéguez, J.J.; Sicard, P.; Schaub, M.; Marco, A.D. Testing approaches for calculating stomatal ozone fluxes from passive samplers. Sci. Total Environ. 2016, 572, 56–67. [Google Scholar] [CrossRef] [PubMed]
- Anav, A.; Marco, A.D.; Proietti, C.; Alessandri, A.; Dell’Aquila, A.; Cionni, I.; Friedlingstein, P.; Khvorostyanov, D.; Menut, L.; Paoletti, E.; et al. Comparing concentration-based (AOT40) and stomatal uptake (PODY) metrics for ozone risk assessment to European forests. Glob. Chang. Biol. 2016, 22, 1608–1627. [Google Scholar] [CrossRef] [PubMed]
- Ochoa-Hueso, R.; Munzi, S.; Alonso, R.; Arróniz-Crespo, M.; Avila, A.; Bermejo, V.; Bobbink, R.; Branquinho, C.; Concostrina-Zubiri, L.; Cruz, C.; et al. Ecological impacts of atmospheric pollution and interactions with climate change in terrestrial ecosystems of the Mediterranean Basin: Current research and future directions. Environ. Pollut. 2017, 227, 194–206. [Google Scholar] [CrossRef] [PubMed]
- Sicard, P.; Anav, A.; Marco, A.D.; Paoletti, E. Projected global tropospheric ozone impacts on vegetation under different emission and climate scenarios. Atmos. Chem. Phys. 2017, 17, 12177–12196. [Google Scholar] [CrossRef]
- Javanmardi, P.; Morovati, P.; Farhadi, M.; Geravandi, S.; Khaniabadi, Y.O.; Angali, K.A.; Taiwo, A.; Sicard, P.; Goudarzi, G.; Valipour, A.; et al. Monitoring the impact of ambient ozone on human health using time series analysis and air quality model approaches. Fresenius Environ. Bull. 2018, 27, 533–544. [Google Scholar]
- Paoletti, E.; Sicard, P. Preface to the IUFRO RG7.01 special section “Global Challenges of Air Pollution and Climate Change to Forests”. Environ. Pollut. 2016, 213, 975–976. [Google Scholar] [CrossRef] [PubMed]
- Proietti, C.; Anav, A.; Marco, A.D.; Sicard, P.; Vitale, M. A multi-sites analysis on the ozone effects on Cross Primary Production of European forests. Sci. Total Environ. 2016, 556, 1–11. [Google Scholar] [CrossRef] [PubMed]
- Vingarzan, R. A review of surface ozone background levels and trends. Atmos. Environ. 2004, 38, 3431–3442. [Google Scholar] [CrossRef]
- Derwent, R.G.; Simmonds, P.G.; Manning, A.J.; Spain, T.G. Trends over a 20-year period from 1987 to 2007 in surface ozone at the atmospheric research station, Mace Head, Ireland. Atmos. Environ. 2007, 41, 9091–9098. [Google Scholar] [CrossRef]
- Jaffe, D.; Ray, J. Increase in surface ozone at rural sites in the western US. Atmos. Environ. 2007, 41, 5452–5463. [Google Scholar] [CrossRef]
- Fiala, J.; Cernikovsky, L.; Leeuw, F.D.; Kurfuerst, P. Air Pollution by Ozone in Europe in Summer 2003. Overview of Exceedances of EC Ozone Threshold Values during the Summer Season April–August 2003 and Comparisons with Previous Years; European Environment Agency: Copenhagen, Denmark, 2003. [Google Scholar]
- Wang, W.N.; Cheng, T.H.; Gu, X.F.; Chen, H.; Guo, H.; Wang, Y.; Bao, F.W.; Shi, S.Y.; Xu, B.R.; Zuo, X.; et al. Assessing spatial and temporal patterns of observed ground-level ozone in China. Sci. Rep. 2017, 7, 3651. [Google Scholar] [CrossRef] [PubMed]
- Lelieveld, J.; Berresheim, H.; Borrmann, S.; Crutzen, P.J.; Dentener, F.J.; Fischer, H.; Feichter, J.; Flatau, P.J.; Heland, J.; Holzinger, R.; et al. Global air pollution crossroads over the Mediterranean. Science 2002, 298, 794–799. [Google Scholar] [CrossRef] [PubMed]
- Hu, J.L.; Wang, Y.G.; Ying, Q.; Zhang, H.L. Spatial and temporal variability of PM2.5 and PM10 over the North China Plain and the Yangtze River Delta, China. Atmos. Environ. 2014, 95, 598–609. [Google Scholar]
- Cai, S.Y.; Wang, Y.J.; Zhao, B.; Wang, S.X.; Chang, X.; Hao, J.M. The impact of the “Air Pollution Prevention and Control Action Plan” on PM2.5 concentrations in Jing-Jin-Ji region during 2012–2020. Sci. Total Environ. 2017, 580, 197–209. [Google Scholar] [CrossRef] [PubMed]
- Liu, H.; Wang, X.M.; Pang, J.M.; He, K.B. Feasibility and difficulties of China’s new air quality standard compliance: PRD case of PM2.5 and ozone from 2010 to 2025. Atmos. Chem. Phys. 2013, 13, 12013–12027. [Google Scholar] [CrossRef]
- Liu, H.; Liu, S.; Xue, B.R.; Lv, Z.F.; Meng, Z.H.; Yang, X.F.; Xue, T.; Yu, Q.; He, K.B. Ground-level ozone pollution and its health impacts in China. Atmos. Environ. 2018, 173, 223–230. [Google Scholar] [CrossRef]
- Trieu, T.T.N.; Goto, D.; Yashiro, H.; Murata, R.; Sudo, K.; Tomita, H.; Satoh, M.; Nakajima, T. Evaluation of summertime surface ozone in Kanto area of Japan using a semi-regional model and observation. Atmos. Environ. 2017, 153, 163–181. [Google Scholar] [CrossRef]
- Latif, M.T.; Huey, L.S.; Juneng, L. Variations of surface ozone concentration across the Klang Valley, Malaysia. Atmos. Environ. 2012, 61, 434–445. [Google Scholar] [CrossRef]
- Pu, X.; Wang, T.J.; Huang, X.; Melas, D.; Zanis, P.; Papanastasiou, D.K.; Poupkou, A. Enhanced surface ozone during the heat wave of 2013 in Yangtze River Delta region, China. Sci. Total Environ. 2017, 603–604, 807–816. [Google Scholar] [CrossRef] [PubMed]
- Lin, C.Y.C.; Jacob, D.J.; Fiore, A.M. Trends in exceedances of the ozone air quality standard in the Continental United States, 1980–1998. Atmos. Environ. 2001, 35, 3217–3228. [Google Scholar] [CrossRef]
- Zhang, J.; Rao, S.T.; Daggupaty, S.M. Meteorological processes and ozone exceedances in the Northeastern United States during the 12–16 July 1995 episode. J. Appl. Meteorol. 1988, 37, 776–789. [Google Scholar] [CrossRef]
- Tarasova, O.A.; Karpetchko, A.Y. Accounting for local meteorological effects in the ozone time-series of Lovozero (Kola Peninsula). Atmos. Chem. Phys. 2003, 3, 941–949. [Google Scholar] [CrossRef]
- Song, C.B.; Wu, L.; Xie, Y.C.; He, J.J.; Chen, X.; Wang, T.; Lin, Y.C.; Jin, T.S.; Wang, A.X.; Liu, Y.; et al. Air pollution in China: Status and spatiotemporal variations. Environ. Pollut. 2017, 227, 334–347. [Google Scholar] [CrossRef] [PubMed]
- WHO (World Health Organization). Review of Evidence on Health Aspects of Air Pollution e REVIHAAP Project Technical Report; WHO Regional Office for Europe: Copenhagen, Denmark, 2013. [Google Scholar]
- Wang, T.; Xue, L.; Brimblecombe, P.; Lam, Y.F.; Li, L.; Zhang, L. Ozone pollution in China: A review of concentrations, meteorological influences, chemical precursors, and effects. Sci. Total Environ. 2017, 575, 1582–1596. [Google Scholar] [CrossRef] [PubMed]
- Sicard, P.; Talbot, C.; Lesne, O.; Mangin, A.; Alexandre, N.; Collomp, R. The Aggregate Risk Index: An intuitive tool providing the health risks of air pollution to health care community and public. Atmos. Environ. 2012, 46, 11–16. [Google Scholar] [CrossRef]
- Bell, M.L.; Goldberg, R.; Hogrefe, C.; Kinney, P.L.; Knowlton, K.; Lynn, B.; Rosenthal, J.; Rosenzweig, C.; Patz, J.A. Climate change, ambient ozone, and health in 50 US cities. Clim. Chang. 2007, 82, 61–76. [Google Scholar] [CrossRef]
- Goodman, J.E.; Prueitt, R.L.; Sax, S.N.; Pizzurro, D.M.; Lynch, H.N.; Zu, K. Ozone exposure and systemic biomarkers: Evaluation of evidence for adverse cardiovascular health impacts. Crit. Rev. Toxicol. 2015, 45, 412–452. [Google Scholar] [CrossRef] [PubMed]
- Wang, Z.S.; Li, Y.T.; Chen, T.; Zhang, D.W.; Sun, F.; Wei, Q.; Dong, X.; Sun, R.W.; Huan, N.; Pan, L.B. Ground-level ozone in urban Beijing over a 1-year period: Temporal variations and relationship to atmospheric oxidation. Atmos. Res. 2015, 164–165, 110–117. [Google Scholar] [CrossRef]
- He, J.J.; Gong, S.L.; Yu, Y.; Yu, L.J.; Wu, L.; Mao, H.J.; Song, C.B.; Zhao, S.P.; Liu, H.L.; Li, X.Y.; et al. Air pollution characteristics and their relation to meteorological conditions during 2014–2015 in major Chinese cities. Environ. Pollut. 2017, 223, 484–496. [Google Scholar] [CrossRef] [PubMed]
- Wang, T.; Ding, A.J.; Gao, J.; Wu, W.S. Strong ozone production in urban plumes from Beijing, China. Geophy. Res. Lett. 2006, 33, 320–337. [Google Scholar] [CrossRef]
- Tang, G.; Li, X.; Wang, Y.; Xin, J.; Ren, X. Surface ozone trend details and interpretations in Beijing, 2001–2006. Atmos. Chem. Phys. 2009, 9, 8813–8823. [Google Scholar] [CrossRef]
- Wang, T.; Nie, W.; Gao, J.; Xue, L.K.; Gao, X.M.; Wang, X.F.; Qiu, J.; Poon, C.N.; Meinardi, S.; Blake, D.; et al. Air quality during the 2008 Beijing Olympics: Secondary pollutants and regional impact. Atmos. Chem. Phys. 2010, 10, 7603–7615. [Google Scholar] [CrossRef]
- Tang, X.; Wang, Z.F.; Zhu, J.; Gbaguidi, A.E.; Wu, Q.Z.; Li, J.; Zhu, T. Sensitivity of ozone to precursor emissions in urban Beijing with a Monte Carlo scheme. Atmos. Environ. 2010, 44, 3833–3842. [Google Scholar] [CrossRef]
- Wang, Z.S.; Li, Y.T.; Chen, T.; Li, L.J.; Liu, B.X.; Zhang, D.W.; Sun, F.; Wei, Q.; Jiang, L.; Pan, L.B. Changes in atmospheric composition during the 2014 APEC conference in Beijing. J. Geophys. Res. Atmos. 2015, 120, 695–707. [Google Scholar] [CrossRef]
- Li, R.K.; Li, Z.P.; Gao, W.J.; Ding, W.J.; Xu, Q.; Song, X.F. Diurnal, seasonal, and spatial variation of PM2.5 in Beijing. Sci. Bull. 2015, 60, 387–395. [Google Scholar] [CrossRef]
- Michanowicz, D.R.; Shmool, J.L.C.; Tunno, B.J.; Tripathy, S.; Gillooly, S.; Kinnee, E.; Clougherty, J.E. A hybrid land use regression/AERMOD model for predicting intra-urban variation in PM2.5. Atmos. Environ. 2016, 131, 307–315. [Google Scholar] [CrossRef]
- Lavi, A.; Potchter, O.; Omer, I.; Fireman, E. Mapping air pollution by biological monitoring in the metropolitan Tel Aviv area. Int. J. Environ. Heal. Res. 2015, 26, 346–360. [Google Scholar] [CrossRef] [PubMed]
- Allshouse, W.B.; Adgate, J.L.; Blair, B.D.; McKenzie, L.M. A spatiotemporal industrial activity model for estimating the intensity of oil and gas operations in Colorado. Environ. Sci. Technol. 2017, 51, 10243–10250. [Google Scholar] [CrossRef] [PubMed]
- Li, T.X.; Zhou, X.K.; Ikhumhen, H.O.; Difei, A. Research on the optimization of air quality monitoring station layout based on spatial grid statistical analysis method. Environ. Technol. 2017. [Google Scholar] [CrossRef] [PubMed]
- Chen, N.L.; Li, Y.T.; Zhang, D.W.; Chen, T.; Sun, F.; Chen, C.; Meng, F. Characteristics of ground ozone concentration over Beijing from 2004 to 2015: Trends, transport, and effects of reductions. Atmos. Chem. Phys. 2016. [Google Scholar] [CrossRef]
- Guo, H.; Wang, Y.G.; Zhang, H.L. Characterization of criteria air pollutants in Beijing during 2014–2015. Environ. Res. 2017, 154, 334–344. [Google Scholar] [CrossRef] [PubMed]
- Kang, D.; Aneja, V.P.; Mathur, R.; Ray, J.D. Observed and modeled VOC chemistry under high VOC/NOX conditions in the Southeast United States national parks. Atmos. Environ. 2004, 38, 4969–4974. [Google Scholar] [CrossRef]
- Pusede, S.E.; Cohen, R.C. On the observed response of ozone to NOx and VOC reactivity reductions in San Joaquin Valley California 1995–present. Atmos. Chem. Phys. 2012, 12, 8323–8339. [Google Scholar] [CrossRef]
- Guerreiro, C.B.B.; Foltescu, V.; Leeuw, F.D. Air quality status and trends in Europe. Atmos. Environ. 2014, 98, 376–384. [Google Scholar] [CrossRef]
- Sicard, P.; Dalstein-Richier, L.; Vas, N. Annual and seasonal trends of ambient ozone concentration and its impact on forest vegetation in Mercantour National Park (South-eastern France) over the 2000–2008 period. Environ. Pollut. 2011, 159, 351–362. [Google Scholar] [CrossRef] [PubMed]
- Paoletti, E.; Marco, A.D.; Beddows, D.C.S.; Harrison, R.M.; Manning, W.J. Ozone levels in European and USA cities are increasing more than at rural sites, while peak values are decreasing. Environ. Pollut. 2014, 192, 295–299. [Google Scholar] [CrossRef] [PubMed]
- Kang, D.; Aneja, V.P.; Zika, R.G.; Farmer, C.; Ray, J.D. Nonmethane hydrocarbons in the rural southeast United States national parks. J. Geophys. Res. 2001, 106, 3133–3155. [Google Scholar] [CrossRef]
- Lu, K.D.; Zhang, Y.H.; Su, H.; Shao, M.; Zeng, L.M.; Zhong, L.J.; Xiang, Y.R.; Chang, C.C.; Chou, C.K.C.; Wahner, A. Regional ozone pollution and key controlling factors of photochemical ozone production in Pearl River Delta during summer time. Sci. China Chem. 2010, 53, 651–663. [Google Scholar] [CrossRef]
- Wang, Y.G.; Ying, Q.; Hu, J.L.; Zhang, H.L. Spatial and temporal variations of six criteria air pollutants in 31 provincial capital cities in China during 2013–2014. Environ. Int. 2014, 73, 413–422. [Google Scholar] [CrossRef] [PubMed]
- Cheng, L.J.; Wang, S.; Gong, Z.Y.; Li, H.; Yang, Q.; Wang, Y.Y. Regionalization based on spatial and seasonal variation in ground-level ozone concentrations across China. J. Environ. Sci. 2017. [Google Scholar] [CrossRef]
- Reddy, B.S.K.; Reddy, L.S.S.; Cao, J.J.; Kumar, K.R.; Balakrishnaiah, G.; Gopal, K.R.; Reddy, R.R.; Narasimhulu, K.; Lal, S.; Ahammed, Y.N. Simultaneous Measurements of Surface Ozone at Two Sites over the Southern Asia: A Comparative Study. Aerosol. Air Qual. Res. 2011, 11, 895–902. [Google Scholar] [CrossRef]
- An, J.L.; Zou, J.N.; Wang, J.X.; Lin, X.; Zhu, B. Differences in ozone photochemical characteristics between the megacity Nanjing and its suburban surroundings, Yangtze River Delta, China. Environ. Sci. Pollut. Res. 2015, 22, 19607–19617. [Google Scholar] [CrossRef] [PubMed]
- Xie, Y.Y.; Wang, Y.X.; Zhang, K.; Dong, W.H.; Lv, B.L.; Bai, Y.Q. Daily estimation of ground-level PM2.5 concentrations over Beijing using 3 km resolution MODIS AOD. Environ. Sci. Technol. 2015, 49, 12280–12288. [Google Scholar] [CrossRef] [PubMed]
- Wang, Y.L.; Yang, W.; Han, B.; Zhang, W.J.; Chen, M.D.; Bai, Z.P. Gravimetric analysis for PM2.5 mass concentration based on year-round monitoring at an urban site in Beijing. J. Environ. Sci. 2016, 40, 154–160. [Google Scholar] [CrossRef] [PubMed]
- Zhang, A.; Qi, Q.W.; Jiang, L.L.; Zhou, F.; Wang, J.F. Population Exposure to PM2.5 in the Urban Area of Beijing. PLoS ONE 2013. [Google Scholar] [CrossRef] [PubMed]
- Feng, X.; Li, Q.; Zhu, Y.J.; Hou, J.X.; Wang, J.H. An estimate of population exposure to automobile source PM2.5 in Beijing using spatiotemporal analysis. In Proceedings of the 2015 IEEE International Geoscience and Remote Sensing Symposium (IGARSS), Milan, Italy, 26–31 July 2015; pp. 3029–3032. [Google Scholar]
- Chen, Li.; Shi, M.S.; Gao, S.; Li, S.H.; Mao, J.; Zhang, H.; Sun, Y.L.; Bai, Z.P.; Wang, Z.L. Assessment of population exposure to PM2.5 for mortality in China and its public health benefit based on BenMAP. Environ. Pollut. 2017, 221, 311–317. [Google Scholar] [CrossRef] [PubMed]







| Site ID | Type | Location |
|---|---|---|
| Dongsi | Urban Sites | 116.42° E, 39.93° N |
| Temple of Heaven | 116.41° E, 39.89° N | |
| West Park Officials | 116.34° E, 39.93° N | |
| West Wanshou Nishinomiya | 116.35° E, 39.88° N | |
| Olympic Sports Center | 116.40° E, 39.98° N | |
| Agricultural Exhibition Hall | 116.46° E, 39.94° N | |
| Wanliu | 116.29° E, 39.99° N | |
| Northern New Area | 116.17° E, 40.09° N | |
| Botanical Garden | 116.21° E, 40.00° N | |
| Fengtai garden | 116.28° E, 39.86° N | |
| Yungang | 116.15° E, 39.82° N | |
| Shijingshan city | 116.18° E, 39.91° N | |
| Liangxiang | Suburban Sites | 116.14° E, 39.74° N |
| Daxing | 116.40° E, 39.72° N | |
| Yizhuang | 116.51° E, 39.80° N | |
| Tongzhou | 116.66° E, 39.89° N | |
| Shunyi | 116.66° E, 40.13° N | |
| Changping | 116.23° E, 40.22° N | |
| Mentougou | 116.11° E, 39.94° N | |
| Pinggu | 117.10° E, 40.14° N | |
| Huairou | 116.63° E, 40.33° N | |
| Miyun | 116.83° E, 40.37° N | |
| Yanqing | 115.97° E, 40.45° N | |
| Dingling | Background Sites | 116.22° E, 40.29° N |
| Badaling | 115.99° E, 40.37° N | |
| Miyun Reservoir | 116.91° E, 40.50° N | |
| Donggaocun | 117.12° E, 40.10° N | |
| Yongledian | 116.78° E, 39.71° N | |
| Yufa | 116.30° E, 39.52° N | |
| Liulihe | 116.00° E, 39.58° N | |
| Qianmen East Street | Traffic Monitoring Sites | 116.40° E, 39.90° N |
| Yongdingmen Inner Street | 116.39° E, 39.88° N | |
| Xizhimen North Street | 116.35° E, 39.95° N | |
| South 3rd Ring Road | 116.37° E, 39.86° N | |
| East 4th Ring Road | 116.48° E, 39.94° N |
| District | 2014 Population (Thousands) | 2015 Population (Thousands) | 2016 Population (Thousands) |
|---|---|---|---|
| Fengtai | 2300 | 2324 | 2255 |
| Fangshan | 1036 | 1046 | 1096 |
| Tongzhou | 1356 | 1378 | 1428 |
| Dongchen | 911 | 905 | 878 |
| Zhaoyang | 3922 | 3955 | 3856 |
| Haidian | 3678 | 3694 | 3593 |
| Daxing | 1545 | 1562 | 1694 |
| Xichen | 1302 | 1288 | 1259 |
| Yanqing | 316 | 314 | 327 |
| Shijingshan | 650 | 652 | 634 |
| Mentougou | 306 | 308 | 311 |
| Shunyi | 1004 | 1020 | 1075 |
| Pinggu | 423 | 423 | 437 |
| Huairou | 381 | 384 | 393 |
| Changping | 1908 | 1963 | 2010 |
| Miyun | 478 | 479 | 483 |
| Air Temperature (°C) | Relative Humidity (%) | Wind Speed (m/s) | Precipitation (mm) | |
|---|---|---|---|---|
| Ozone does not exceed the National Ambient Air Quality Standards (NAAQS) threshold | 24.82 | 73.85 | 1.81 | 0.32 |
| Ozone exceed the NAAQS threshold | 26.87 | 64.10 | 1.63 | 0.11 |
| Region | O3 (μg/m3) | |||
|---|---|---|---|---|
| 2014 | 2015 | 2016 | 2017 | |
| Center | 88.2 ± 16.6 | 88.8 ± 7.4 | 86.6 ± 14.9 | 91.9 ± 10.4 |
| Northwest | 105.5 ± 9.8 | 99.8 ± 4.0 | 97.5 ± 8.0 | 98.9 ± 19.7 |
| Northeast | 110.7 ± 7.9 | 100.5 ± 10.6 | 101.9 ± 10.6 | 107.0 ± 11.3 |
| Southwest | 90.1 ± 12.7 | 89.0 ± 17.0 | 81.1 ± 8.8 | 92.0 ± 10.0 |
| Southeast | 91.3 ± 7.3 | 97.5 ± 4.5 | 95.6 ± 4.3 | 96.0 ± 4.8 |
© 2018 by the authors. Licensee MDPI, Basel, Switzerland. This article is an open access article distributed under the terms and conditions of the Creative Commons Attribution (CC BY) license (http://creativecommons.org/licenses/by/4.0/).
Share and Cite
Zhao, H.; Zheng, Y.; Li, T.; Wei, L.; Guan, Q. Temporal and Spatial Variation in, and Population Exposure to, Summertime Ground-Level Ozone in Beijing. Int. J. Environ. Res. Public Health 2018, 15, 628. https://doi.org/10.3390/ijerph15040628
Zhao H, Zheng Y, Li T, Wei L, Guan Q. Temporal and Spatial Variation in, and Population Exposure to, Summertime Ground-Level Ozone in Beijing. International Journal of Environmental Research and Public Health. 2018; 15(4):628. https://doi.org/10.3390/ijerph15040628
Chicago/Turabian StyleZhao, Hui, Youfei Zheng, Ting Li, Li Wei, and Qing Guan. 2018. "Temporal and Spatial Variation in, and Population Exposure to, Summertime Ground-Level Ozone in Beijing" International Journal of Environmental Research and Public Health 15, no. 4: 628. https://doi.org/10.3390/ijerph15040628
APA StyleZhao, H., Zheng, Y., Li, T., Wei, L., & Guan, Q. (2018). Temporal and Spatial Variation in, and Population Exposure to, Summertime Ground-Level Ozone in Beijing. International Journal of Environmental Research and Public Health, 15(4), 628. https://doi.org/10.3390/ijerph15040628

