Effects of Biochar Amendment on CO2 Emissions from Paddy Fields under Water-Saving Irrigation
Abstract
1. Introduction
2. Materials and Methods
2.1. Experimental Site
2.2. Experimental Design and Irrigation Management
2.3. Yield Measurement, Gas Sampling and Field Measurement
3. Results
3.1. Effects of Biochar Application on CO2 Emission Fluxes of Rice Fields
3.2. Effects of Biochar on Cumulative CO2 Emissions from Rice Fields at Different Growth Stages
3.3. Effects of Biochar Application on Rice Yield and Water Use Efficiency (WUE)
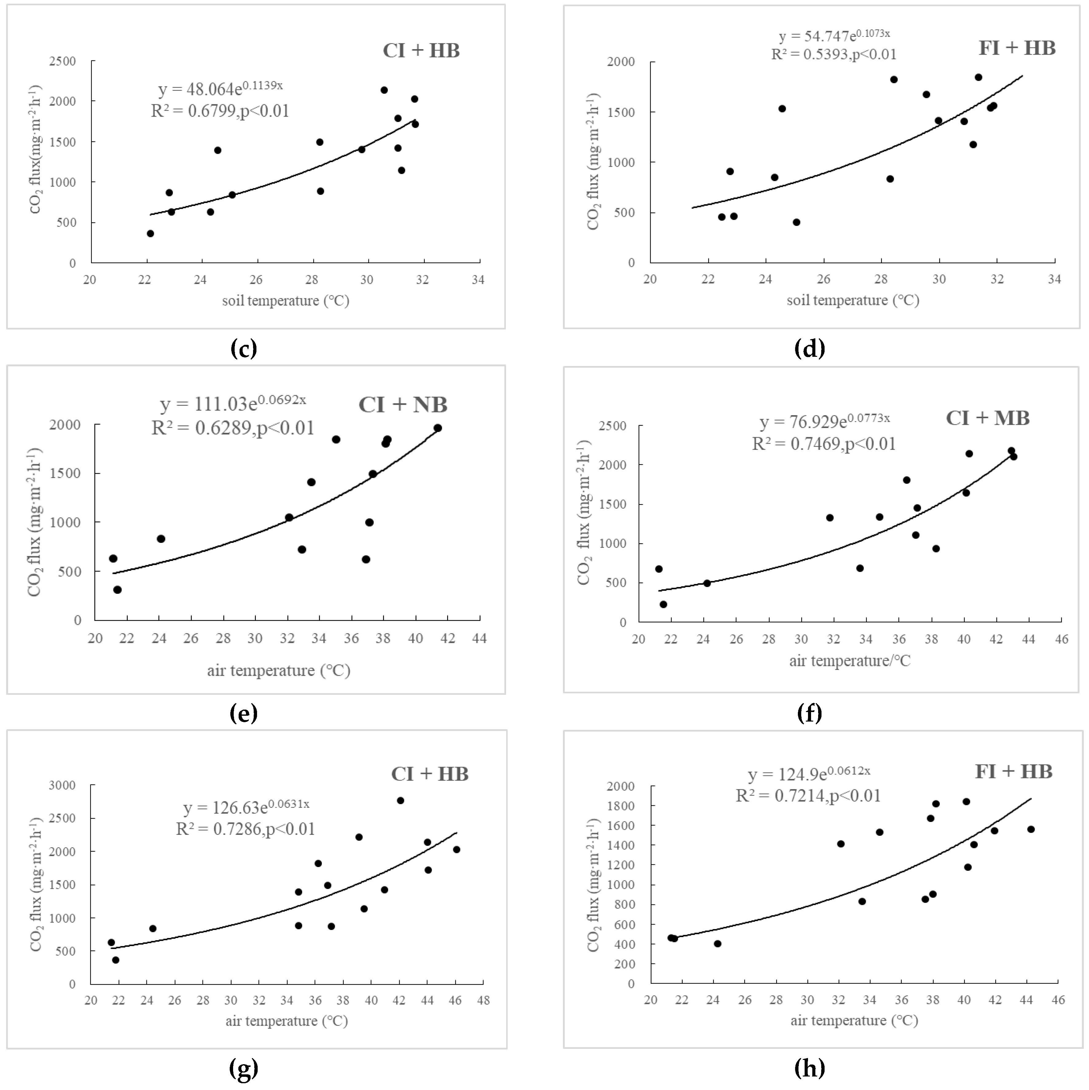
3.4. Effects of Temperature on CO2 Emissions from Paddy Fields
4. Discussion
5. Conclusions
Author Contributions
Funding
Acknowledgments
Conflicts of Interest
References
- Turley, C. Impacts of changing ocean chemistry in a high-CO2 world. Mineral. Mag. 2018, 72, 359–362. [Google Scholar] [CrossRef]
- Goodland, R.; Anhang, J. Livestock and climate change: What if the key actors in climate change are...cows, pigs, and chickens? World Watch 2009, 22, 10–19. [Google Scholar]
- Smith, P.; Martino, D.; Cai, Z.; Gwary, D.; Janzen, H. Greenhouse gas mitigation in agriculture. Philos. Trans. Biol. Sci. 2008, 363, 789–813. [Google Scholar] [CrossRef] [PubMed]
- Han, G.X.; Zhu, B.; Jiang, C.S. Soil respiration and its influencing factors in paddy fields in hilly area of central Sichuan Basin. J. Plant Ecol. 2006, 30, 450–456. [Google Scholar]
- Al-Kaisi, M.M.; Yin, X. Tillage and crop residue effects on soil carbon and carbon dioxide emission in corn-soybean rotations. J. Environ. Q. 2005, 34, 437–445. [Google Scholar] [CrossRef]
- Zhang, L.; Yin, L.C.; Yi, Y.N. Effects of fertilization reforming on the CO2 flux in paddy soils with different fertilities. Acta Ecol. Sin. 2015, 33, 1399–1406. [Google Scholar]
- Kung, C.C.; McCarl, B.A.; Chen, C.C. An environmental and economic evaluation of pyrolysis for energy generation in Taiwan with endogenous land greenhouse gases emissions. Int. J. Environ. Res. Public Health 2014, 11, 2973–2991. [Google Scholar] [CrossRef] [PubMed]
- Jones, D.L.; Murphy, D.V.; Khalid, M.; Ahmad, W.; Edwards-Jones, G.; DeLuca, T.H. Short-term biochar-induced increase in soil CO2 release is both biotically and abiotically mediated. Soil Biol. Biochem. 2011, 43, 1723–1731. [Google Scholar] [CrossRef]
- Korai, P.K.; Xia, X.; Liu, X.; Bian, R.; Omondi, M.O.; Nahayo, A.; Pan, G. Extractable pool of biochar controls on crop productivity rather than greenhouse gas emission from a rice paddy under rice-wheat rotation. Sci. Rep. 2018, 8, 802–810. [Google Scholar] [CrossRef] [PubMed]
- Wang, J.; Pan, X.; Liu, Y.; Zhang, X.; Xiong, Z. Effects of biochar amendment in two soils on greenhouse gas emissions and crop production. Plant Soil 2012, 127, 153–160. [Google Scholar] [CrossRef]
- Spokas, K.A.; Koskinen, W.C.; Baker, J.M.; Reicosky, D.C. Impacts of woodchip biochar additions on greenhouse gas production and sorption/degradation of two herbicides in a Minnesota soil. Chemosphere 2009, 77, 574–581. [Google Scholar] [CrossRef] [PubMed]
- Kuzyakov, Y.; Subbotina, I.; Chen, H.; Bogomolova, I.; Xu, X. Black carbon decomposition and incorporation into soil microbial biomass estimated by 14C labeling. Soil Biol. Biochem. 2009, 41, 210–219. [Google Scholar] [CrossRef]
- Li, Y.H. Research and practice of water saving irrigation for rice in China. In Proceedings of the Water-Saving Irrigation for Rice, Wuhan, China, 23–25 March 2001; International Water Management Institute: Colombo, Sri Lanka, 2001. [Google Scholar]
- Zimmerman, A.R.; Gao, B.; Ahn, M. Positive and negative carbon mineralization priming effects among a variety of biochar-amended soils. Soil Biol. Biochem. 2011, 43, 1169–1179. [Google Scholar] [CrossRef]
- Liu, Q.; Liu, B.; Ambus, P.; Zhang, Y.; Hansen, V.; Lin, Z.; Shen, D.; Liu, G.; Bei, Q.; Zhu, J.; et al. Carbon footprint of rice production under biochar amendment—A case study in a Chinese rice cropping system. GCB Bioenergy 2016, 8, 148–159. [Google Scholar] [CrossRef]
- Liang, B.; Lehmann, J.; Sohi, S.P.; Thies, J.E.; O’Neill, B.; Trujillo, L.; Gaunt, J.; Solomon, D.; Grossman, J.; Neves, E.G.; et al. Black carbon affects the cycling of non-black carbon in soil. Org. Geochem. 2010, 41, 206–213. [Google Scholar] [CrossRef]
- Pan, F.; Li, Y.; Chapman, S.J.; Khan, S.; Yao, H. Microbial utilization of rice straw and its derived biochar in a paddy soil. Sci. Total Environ. 2016, 559, 15–23. [Google Scholar] [CrossRef] [PubMed]
- Steinbeiss, S.; Gleixner, G.; Antonietti, M. Effect of biochar amendment on soil carbon balance and soil microbial activity. Soil Biol. Biochem. 2009, 41, 1301–1310. [Google Scholar] [CrossRef]
- Wardle, D.A.; Nilsson, M.C.; Zackrisson, O. Fire-derived charcoal causes loss of forest humus. Science 2008, 320, 629. [Google Scholar] [CrossRef] [PubMed]
- Quilliam, R.S.; Marsden, K.A.; Gertler, C.; Rousk, J.; DeLuca, T.H.; Jones, D.L. Nutrient dynamics, microbial growth and weed emergence in biochar amended soil are influenced by time since application and reapplication rate. Agric. Ecosyst. Environ. 2012, 158, 192–199. [Google Scholar] [CrossRef]
- Castaldi, S.; Riondino, M.; Baronti, S.; Esposito, F.R.; Marzaioli, R.; Rutigliano, F.A.; Vaccari, F.P.; Miglietta, F. Impact of biochar application to a Mediterranean wheat crop on soil microbial activity and greenhouse gas fluxes. Chemosphere 2011, 85, 1464–1471. [Google Scholar] [CrossRef] [PubMed]
- Hamer, U.; Marschner, B.; Brodowski, S.; Amelung, W. Interactive priming of black carbon and glucose mineralisation. Org. Geochem. 2004, 35, 823–830. [Google Scholar] [CrossRef]
- Yong, S.; Makoto, K.; Takakai, F.; Shibata, H.; Satomura, T. Greenhouse gas emissions after a prescribed fire in white birch-dwarf bamboo stands in northern Japan, focusing on the role of charcoal. Eur. J. For. Res. 2011, 130, 1031–1044. [Google Scholar]
- Hawthorne, I.; Johnson, M.S.; Jassal, R.S.; Black, T.A.; Grant, N.J.; Smukler, S.M. Application of biochar and nitrogen influences fluxes of CO2, CH4 and N2O in a forest soil. J. Environ. Manag. 2017, 192, 203–214. [Google Scholar] [CrossRef] [PubMed]
- Sui, Y.; Gao, J.; Liu, C.; Zhang, W.; Lan, Y.; Li, S.; Meng, J.; Xu, Z.; Tang, L. Interactive effects of straw-derived biochar and N fertilization on soil C storage and rice productivity in rice paddies of Northeast China. Sci. Total Environ. 2016, 544, 203–210. [Google Scholar] [CrossRef] [PubMed]
- Fang, C.; Moncrieff, J. The dependence of soil CO2 efflux on temperature. Soil Biol. Biochem. 2001, 33, 155–165. [Google Scholar] [CrossRef]
- He, X.; Du, Z.; Wang, Y.; Lu, N.; Zhang, Q. Sensitivity of soil respiration to soil temperature decreased under deep biochar amended soils in temperate croplands. Appl. Soil Ecology 2016, 108, 204–210. [Google Scholar] [CrossRef]
- Qi, Y.; Xu, M.; Wu, J. Temperature sensitivity of soil respiration and its effects on ecosystem carbon budget: Nonlinearity begets surprises. Ecol. Model. 2002, 153, 131–142. [Google Scholar] [CrossRef]
- Saiz, G.; Byrne, K.A.; Butterbach-Bahl, K.; Kiese, R.; Blujdea, V.; Farrell, E.P. Stand age-related effects on soil respiration in a first rotation Sitka spruce chronosequence in central Ireland. Glob. Chang. Biol. 2006, 12, 1007–1020. [Google Scholar] [CrossRef]
- Davidson, E.A.; Janssens, I.A.; Luo, Y. On the variability of respiration in terrestrial ecosystems: Moving beyond Q10. Glob. Chang. Biol. 2006, 12, 154–164. [Google Scholar] [CrossRef]
- Zou, J.; Huang, Y.; Zong, L.; Zheng, X.; Wang, Y. A field study on CO2, CH4 and N2O emissions from rice paddy and impact factors. Acta Sci. Circumst. 2003, 23, 758–764. [Google Scholar]





| Year | Treatments | Biochar Addition (t ha−1) |
|---|---|---|
| 2016 a | CI + NB | 0 |
| CI + MB | 20 | |
| CI + HB | 40 | |
| FI + HB | 40 |
| Year | Activity | N |
|---|---|---|
| 2016 | Base fertilizer (29 June) a | 72 (CF) b |
| Tillering fertilizer (16 July) | 97.02 (U) | |
| Panicle fertilizer (11 August) | 103.95 (U) | |
| Total nitrogen | 272.99 | |
| 2017 | Base fertilizer (28 June) | 84 (CF + U) |
| Tillering fertilizer (14 July) | 69.6 (U) | |
| Panicle fertilizer (9 August) | 69.6 (U) | |
| Total nitrogen | 292.85 |
| Year | Treatments | Cumulative CO2 Emissions (g CO2 m−2) |
|---|---|---|
| 2016 | CI + NB | 2526.12 |
| CI + MB | 2484.66 | |
| CI + HB | 2636.91 | |
| 2017 | CI + NB | 3093.99 |
| CI + MB | 2820.71 | |
| CI + HB | 3263.03 |
| Year | Treatments | Yield (kg ha−1) | Irrigation Volume | WUE (kg m−3) |
|---|---|---|---|---|
| 2016 | CI + NB | 7380 ± 2.635 b | 498.0 | 1.482 |
| CI + MB | 8070 ± 2.215 a | 473.0 | 1.706 | |
| CI + HB | 8550 ± 7.190 a | 484.7 | 1.764 | |
| FI + HB | 9060 ± 0.020 a | 1079.7 | 0.842 | |
| 2017 | CI + NB | 5371 ± 1.445 b | 619.0 | 0.868 |
| CI + MB | 6662 ± 2.135 a | 575.5 | 1.158 | |
| CI + HB | 7321 ± 0.005 a | 592.0 | 1.237 | |
| FI + HB | 7250 ± 0.600 a | 995.5 | 0.728 |
| Treatments | Qs10 | Qa10 | bs | ba |
|---|---|---|---|---|
| CI + NB | 3.212 | 1.998 | 0.117 | 0.069 |
| CI + MB | 3.849 | 2.166 | 0.135 | 0.077 |
| CI + HB | 3.124 | 1.879 | 0.114 | 0.063 |
| FI + HB | 2.915 | 1.844 | 0.107 | 0.061 |
© 2018 by the authors. Licensee MDPI, Basel, Switzerland. This article is an open access article distributed under the terms and conditions of the Creative Commons Attribution (CC BY) license (http://creativecommons.org/licenses/by/4.0/).
Share and Cite
Yang, S.; Jiang, Z.; Sun, X.; Ding, J.; Xu, J. Effects of Biochar Amendment on CO2 Emissions from Paddy Fields under Water-Saving Irrigation. Int. J. Environ. Res. Public Health 2018, 15, 2580. https://doi.org/10.3390/ijerph15112580
Yang S, Jiang Z, Sun X, Ding J, Xu J. Effects of Biochar Amendment on CO2 Emissions from Paddy Fields under Water-Saving Irrigation. International Journal of Environmental Research and Public Health. 2018; 15(11):2580. https://doi.org/10.3390/ijerph15112580
Chicago/Turabian StyleYang, Shihong, Zewei Jiang, Xiao Sun, Jie Ding, and Junzeng Xu. 2018. "Effects of Biochar Amendment on CO2 Emissions from Paddy Fields under Water-Saving Irrigation" International Journal of Environmental Research and Public Health 15, no. 11: 2580. https://doi.org/10.3390/ijerph15112580
APA StyleYang, S., Jiang, Z., Sun, X., Ding, J., & Xu, J. (2018). Effects of Biochar Amendment on CO2 Emissions from Paddy Fields under Water-Saving Irrigation. International Journal of Environmental Research and Public Health, 15(11), 2580. https://doi.org/10.3390/ijerph15112580

