Characterizing Spatiotemporal Dynamics of CH4 Fluxes from Rice Paddies of Cold Region in Heilongjiang Province under Climate Change
Abstract
1. Introduction
2. Materials and Methods
2.1. Overview of the Study Area
2.2. Future Climate Generation
2.2.1. Introduction of LARS-WG Model
2.2.2. Calibration of models and generation of future meteorological parameters
2.3. CH4 Simulation
2.3.1. Introduction of DNDC Model
2.3.2. Calibration and Validation of DNDC
2.3.3. Calibration and Validation of DNDC Sensitivity Analysis
2.3.4. Constructing Regional Simulation
2.3.5. Climatic Tendency
2.4. Data Processing
3. Results
3.1. Calibration and Validation of DNDC and Sensitivity Analysis
3.1.1. Calibration and Validation of DNDC for CH4 Fluxes
3.1.2. Sensitivity Analysis of Factors to CH4 Fluxes
3.2. Temporal and Spatial Distribution Characteristics of CH4 Fluxes
3.2.1. Climate Change During the Study Period
3.2.2. Temporal and Spatial Distribution Characteristics of CH4 Fluxes under Historical Climate.
3.2.3. Spatial and Temporal Distribution Characteristics of Methane Emission Fluxes in Future Climate
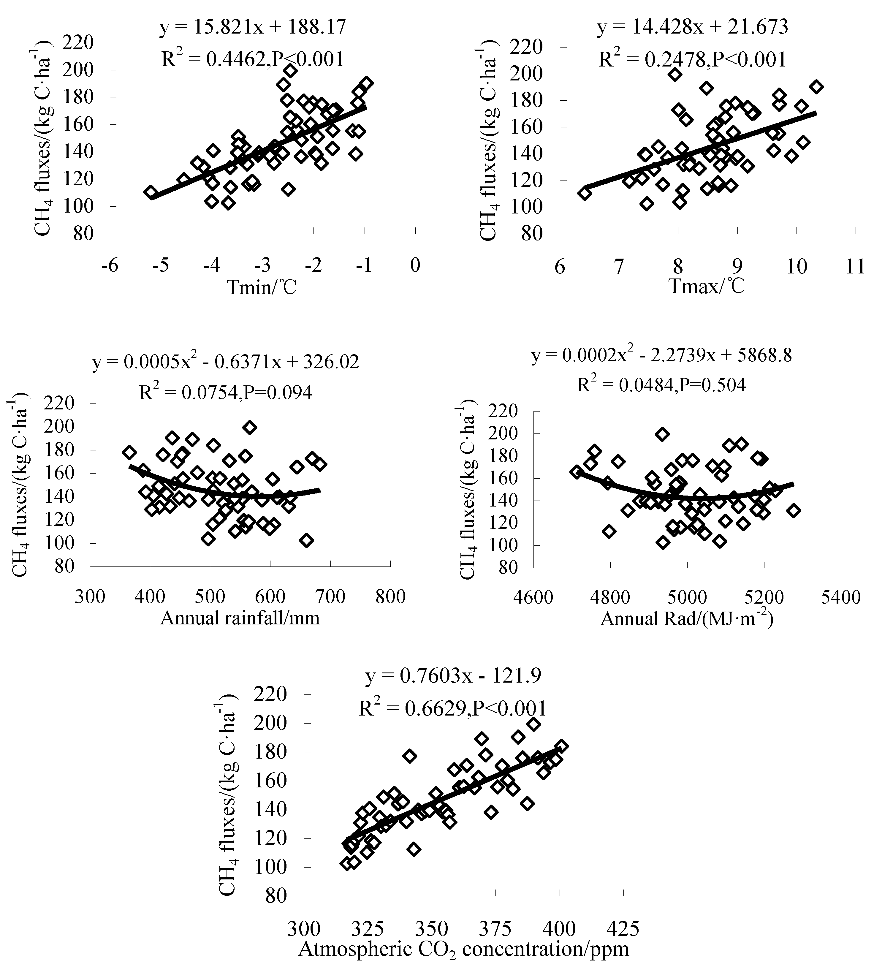
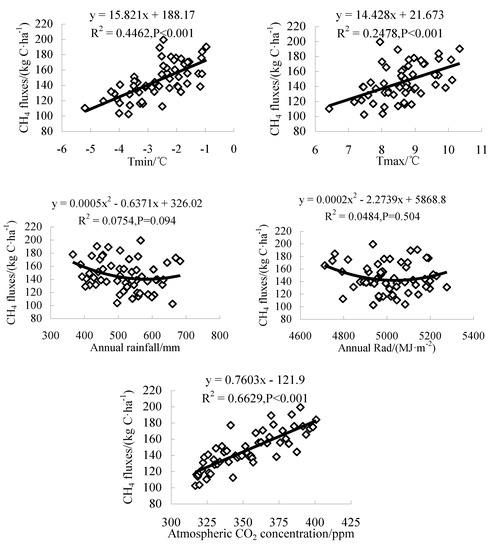
3.3. Effects of Climate Factors on CH4 Fluxes
4. Discussion
4.1. Comparisons with Previous Studies
4.2. Effects of Climate Factors on CH4 Emissions
4.3. Uncertainty and Prospect
5. Conclusions
Author Contributions
Funding
Acknowledgments
Conflicts of Interest
References
- Smith, P.; Martino, D.; Cai, Z.; Gwary, D.; Janzen, H.; Kumar, P.; McCarl, B.; Oleg, S.; O’Mara, F.; Rice, C.; et al. Greenhouse gas mitigation in agriculture. Phil. Trans. Soc. B 2008, 363, 789–813. [Google Scholar] [CrossRef] [PubMed]
- FAO. OECD-FAO Agricultural Outlook; OECD Publishing, Food and Agriculture Organization of the United Nations: Rome, Italy, 2009; pp. 2011–2030. [Google Scholar]
- Van Groenigen, K.J.; Osenberg, C.W.; Hungate, B.A. Increased soil emissions of potent greenhouse gases under increased atmospheric CO2. Nature 2011, 475, 214–216. [Google Scholar] [CrossRef] [PubMed]
- Frenzel, P.; Karofeld, E. CH4 emission from a hollow-ridge complex in a raised bog: The role of CH4 production and oxidation. Biogeochemistry 2000, 51, 91–112. [Google Scholar] [CrossRef]
- Wang, C.; Lay, D.Y.F.; Sardans, J.; Wang, W.; Zeng, C.; Peñuelas, J. Factors related with CH4 and N2O emissions from a paddy field: clues for management implications. PLoS ONE 2017, 12, e0169254. [Google Scholar] [CrossRef] [PubMed]
- Li, T.; Zhang, Q.; Zhang, W.; Wang, G.; Lu, Y.; Yu, L.; Zhang, R. Prediction CH4 emissions from the wetlands in the Sanjiang Plain of Northeastern China in the 21st century. PLOS ONE 2016, 11, e0158872. [Google Scholar] [CrossRef] [PubMed]
- Whalen, S.C. Biogeochemistry of methane exchange between natural wetlands and the atmosphere. Environ. Eng. Sci. 2005, 22, 73–94. [Google Scholar] [CrossRef]
- Katayanagi, N.; Fumoto, T.; Hayano, M.; Shirato, Y.; Takata, Y.; Leon, A.; Yagi, K. Estimation of total CH4 emission from Japanese rice paddies using a new estimation method based on the DNDC-Rice simulation model. Sci. Total Environ. 2017, 601–602, 346–355. [Google Scholar] [CrossRef] [PubMed]
- Wieder, W.R.; Cleveland, C.C.; Smith, W.K.; Todd-Brown, K. Future productivity and carbon storage limited by terrestrial nutrient availability. Nat. Geosci. 2015, 8, 441–444. [Google Scholar] [CrossRef]
- Lal, R. Soil Carbon Sequestration Impacts on Global Climate Change and Food Security. Science 2004, 304, 1623–1627. [Google Scholar] [CrossRef] [PubMed]
- Kumar, A.; Nayak, A.K.; Das, B.S.; Panigrahi, N.; Dasgupta, P.; Mohanty, S.; Kumar, U.; Panneerselvam, P.; Pathak, H. Effects of water deficit stress on agronomic and physiological responses of rice and greenhouse gas emission from rice soil under elevated atmospheric CO2. Sci. Total Environ. 2019, 650, 2032–2050. [Google Scholar] [CrossRef] [PubMed]
- Katayanagi, N.; Furukawa, Y.; Fumoto, T.; Hosen, Y. Validation of the DNDC-Rice model by using CH4 and N2O flux data from rice cultivated in pots under alternate wetting and drying irrigation management. Soil. Sci. Plant. Nutr. 2012, 58, 360–372. [Google Scholar] [CrossRef]
- Wigley, T.M. The Kyoto Protocol: CO2, CH4 and climate implications. Geophys. Res. Lett. 1998, 25, 2285–2288. [Google Scholar] [CrossRef]
- Harvey, L.D. Climate and Global Environmental Change; Prentice Hall: Harlow, UK, 2000; pp. 50–53. [Google Scholar]
- Rogelj, J.; Meinshausen, M.; Knutti, R. Global warming under old and new scenarios using IPCC climate sensitivity range estimates. Nat. Clim. 2012, 2, 248–253. [Google Scholar] [CrossRef]
- Xu, C.; Xu, Y. The projection of temperature and precipitation over China under RCP scenarios using a CMIP5 multi-model ensemble. Atmos. Ocean. Sci. Lett. 2012, 5, 527–533. [Google Scholar]
- Minamikawa, K.; Fumoto, T.; Iizumi, T.; Cha-un, N.; Pimple, U.; Nishimori, M.; Ishigooka, Y.; Kuwagata, T. Prediction of future methane emission from irrigated rice paddies in central Thailand under different water management practices. Sci. Total Environ. 2016, 566–567, 641–651. [Google Scholar] [CrossRef] [PubMed]
- Li, C.; Mosier, A.; Wassmann, R.; Cai, Z.; Zheng, X.; Huang, Y.; Tsuruta, H.; Boonjawat, J.; Lantin, R. Modeling greenhouse gas emissions from rice-based production systems: Sensitivity and upscaling. Glob. Biogeochem. Cycles 2004, 18, 1–19. [Google Scholar] [CrossRef]
- Li, C.; Salas, W.; DeAngelo, B.; Rose, S. Assessing alternatives for mitigating net greenhouse gas emissions and increasing yields from rice production in China over the next twenty years. J. Environ. Qual. 2006, 35, 1554–1565. [Google Scholar] [CrossRef] [PubMed]
- Verburg, P.H.; Gon, H.A. Spatial and temporal dynamics of methane emissions from agricultural sources in China. Glob. Change Biol. 2010, 7, 31–47. [Google Scholar] [CrossRef]
- Zhang, W.; Yu, Y.; Huang, Y.; Li, T.; Wang, P. Modeling methane emissions from irrigated rice cultivation in China from 1960 to 2050. Glob. Change Biol. 2011, 17, 3511–3523. [Google Scholar] [CrossRef]
- Zhang, Y.; Su, S.; Zhang, F.; Shi, R.; Gao, W. Characterizing spatiotemporal dynamics of methane emissions from rice paddies in northeast China from 1990 to 2010. PLoS ONE 2012, 7, e29156. [Google Scholar] [CrossRef] [PubMed]
- Wang, X.Y.; Yang, X.G.; Lv, S.; Chen, F. The possible effects of global warming on cropping systems in China XII. the possible effects of climate warming on geographical shift in safe planting area of rice in cold areas and the risk analysis of chilling damage. Sci. Agric. Sin. 2016, 49, 1859–1871. (In Chinese) [Google Scholar]
- Heilongjiang Statistical Bureau. Heilongjiang Statistical Yearbook 2016; China Statistical Publishing House: Beijing, China. (In Chinese)
- Ministry of Agriculture of the People’s Republic of China. China Agriculture Yearbook 2016; China Agricultural Publishing House: Beijing, China. (In Chinese)
- Chen, C.; Qian, C.; Deng, A.; Zhang, W. Progressive and active adaptations of cropping system to climate change in Northeast China. Europ. J. Agronomy. 2012, 38, 94–103. [Google Scholar] [CrossRef]
- Li, Z.G.; Yang, P.; Tang, H.J.; Wu, W.B.; Chen, Z.X.; Zhou, Q.B.; Zou, J.Q.; Zhang, L. Trend analysis of typical phenophases of major crops under climate change in the three provinces of Northeast China. Sci. Agric. Sin. 2011, 44, 4180–4189. (In Chinese) [Google Scholar]
- Wang, C.K.; Lv, X.G.; Cai, Z.C.; Luo, Y. Methane uptake in the soils of Sanjiang Plain, Northeast China. Acta Sci. Circumst. 2004, 24, 939–941. (In Chinese) [Google Scholar]
- Chen, W.; Wang, Y.; Zhao, Z.; Cui, F.; Gu, J.; Zheng, X. The effect of planting density on carbon dioxide, methane and nitrous oxide emissions from a cold paddy field in the Sanjiang Plain, northeast China. Agric. Ecosyst. Environ. 2013, 178, 64–70. [Google Scholar] [CrossRef]
- Wang, M.X.; Zhang, Z.X.; Lv, C.B.; Lin, Y.Y. CH4 and N2O emissions from rice paddy field and their GWPs research in different irrigation modes in cold region. Res. Soil Water Conserv. 2016, 23, 95–100. (In Chinese) [Google Scholar]
- Heilongjiang Agricultural Commission. Available online: http://dszz.hljagri.gov.cn/tjxxw/jrtj/tzgg/201602/t20160205_659452.htm (accessed on 16 January 2019).
- Hadinia, H.; Pirmoradian, N.; Ashrafzadeh, A. Effect of changing climate on rice water requirement in Guilan, north of Iran. J. Water. Clim. Change 2017, 8, 177–190. [Google Scholar] [CrossRef]
- Semenov, M.A.; Brooks, R.J. Spatial interpolation of the LARS-WG stochastic weather generator in Great Britain. Clim. Res. 1999, 11, 205–216. [Google Scholar] [CrossRef]
- Oman, Y.; Al-Ansari, N.; Abdellatif, M.; Aljawad, S.B.; Knutsson, S. Expected future precipitation in central Iraq using LARS-WG stochastic weather generator. Engineering 2014, 6, 948–959. [Google Scholar] [CrossRef]
- Chen, H.; Guo, J.; Zhang, Z.; Xu, C. Prediction of temperature and precipitation in Sudan and South Sudan by using LARS-WG in future. Theor. Appl. Climatol. 2013, 113, 363–375. [Google Scholar] [CrossRef]
- Semenov, M.A.; Stratonovitch, P. Adapting wheat ideotypes for climate change: accounting for uncertainties in CMIP5 climate projections. Clim. Res. 2015, 65, 123–139. [Google Scholar] [CrossRef]
- Giltrap, D.L.; Li, C.; Saggar, S. DNDC: A process-based model of greenhouse gas fluxes from agricultural soils. Agric. Ecosyst. Environ. 2010, 136, 292–300. [Google Scholar] [CrossRef]
- Zhang, L.; Yu, D.; Shi, X.; Weindorf, D.C.; Zhao, L.; Ding, W.; Wang, H.; Pan, J.; Li, C. Simulation of global warming potential (GWP) from rice fields in the Tai-Lake region, China by coupling 1:50,000 soil database with DNDC model. Atmos. Environ. 2009, 43, 2737–2746. [Google Scholar] [CrossRef]
- Pathak, H.; Li, C.; Wassmann, R. Greenhouse gas emissions from Indian rice fields: calibration and upscaling using the DNDC model. Biogeosciences 2005, 2, 113–123. [Google Scholar] [CrossRef]
- Smalgahn, K.; Fumoto, T.; Yagi, K. Validation of revised DNDC model for methane emissions from irrigated rice fields in Thailand and sensitivity analysis of key factors. J. Geophys. Res.-Biogeosci. 2015, 114, 192–200. [Google Scholar]
- Tian, Y.; Zhang, J.; Chen, Q. Distributional dynamic and trend evolution of China’s agricultural carbon emissions – an analysis on panel data of 31 provinces from 2002 to 2011. Chin. J. Popul. Resour. Environ. 2015, 13, 206–214. [Google Scholar] [CrossRef]
- Chun, J.A.; Shim, K.M.; Min, S.H.; Wang, Q. Methane mitigation for flooded rice paddy systems in South Korea using a process-based model. Paddy Water Environ. 2016, 14, 123–129. [Google Scholar] [CrossRef]
- Zhang, Z.; Chen, P.; Zheng, E.; Nie, T.; Chen, S.; Li, W. Effect of different water and nitrogen managements on rice leaf water use efficiency based on Δ13C. Trans. Chin. Soc. Agric. Mach. 2018, 49, 303–312. (In Chinese) [Google Scholar]
- Zhang, Z.; Chen, P.; Chen, S.; Zheng, E.; Nie, T.; Liu, M. 15N treacer-based analysis of water and nitrogen management difference in uptake and partitioning of N applied at different growth stages in transplanted rice. Trans. Chin. Soc. Agric. Mach. 2018, 49, 309–317, 346. (In Chinese) [Google Scholar]
- Smith, P.; Smith, J.U.; Powlson, D.S.; McGill, W.B.; Arah, J.R.M.; Chertov, O.G.; Coleman, K.; Franko, U.; Frolking, S.; Jenkinson, D.S.; et al. A comparison of the performance of nine soil organic matter models using seven long-term experimental datasets. Geoderma 1997, 81, 153–225. [Google Scholar] [CrossRef]
- Yan, X.; Yagi, K.; Akiyama, H.; Akimoto, H. Statistical analysis of the major variables controlling methane emission from rice fields. Glob. Change Biol. 2010, 11, 1131–1141. [Google Scholar] [CrossRef]
- Ainsworth, E.A.; Rogers, A. The response of photosynthesis and stomatal conductance to rising [CO+]: mechanisms and environmental interactions. Plant Cell Environ. 2007, 30, 258–270. [Google Scholar] [CrossRef] [PubMed]
- Wassmann, R.; Lantin, R.S.; Nueu, H.U.; Buendia, L.V.; Corton, T.M.; Lu, Y. Characterization of Methane Emissions from Rice Fields in Asia. III. Mitigation Options and Future Research Needs. Nutr. Cycl. Agroecosyst. 2000, 58, 23–36. [Google Scholar] [CrossRef]
- Neue, H.; Becker-Heidmann, P.; Scharpenseel, H. Organic matter dynamics, soil properties, and cultural practices in rice lands and their relationship to methane production. In Soils and the Greenhouse Effect; Bouwman, A.F., Ed.; John Wiley and Sons: New York, NY, USA, 1990; pp. 457–466. [Google Scholar]
- Bender, M.; Conrad, R. Effect of CH4 concentrations and soil conditions on the induction of CH4 oxidation activity. Soil Biol. Biochem. 1995, 27, 1517–1527. [Google Scholar] [CrossRef]
- Zhang, Y.; Wang, Y.Y.; Su, S.L.; Li, C. Quantifying methane emissions from rice paddies in Northeast China by integrating remote sensing mapping with a biogeochemical model. Biogeosciences 2011, 8, 1225–1235. [Google Scholar] [CrossRef]
- IPCC. 2006 IPCC Guidelines for National Greenhouse Gas Inventories, Vol. 4, Prepared by the National Greenhouse Gas Inventories Programme. Eggleston, H.S., Buendia, L., Miwa, K., Ngara, T., Tanabe, K., Eds.; The Institute for Global Environmental Strategies (IGES): Hayama, Japan, 2006. [Google Scholar]
- Tokida, T.; Fumoto, T.; Matsunami, T.; Adachi, M.; Katayanagi, M.; Matsushima, M.; Okawara, Y.; Nakamura, H.; Okada, M.; Sameshima, R.; et al. Effects of free-air CO2 enrichment (FACE) and soil warming on CH4 emission from a rice paddy field: impact assessment and stoichiometric evaluation. Biogeosciences 2010, 7, 2639–2653. [Google Scholar] [CrossRef]
- Mu, C.C.; Tao, X.Y.; Huang, Z.W.; Yu, L.L. Effects of rice varieties on emission of greenhouse gases from paddy in Sanjiang Plain. J. Northeast For. Univ. 2011, 39, 89–92, 107. (In Chinese) [Google Scholar]
- Oenema, O.; Velthof, G.; Kuikman, P. Technical and policy aspects of strategies to decrease greenhouse gas emissions from agriculture. Nutr. Cycl. Agroecosyst. 2001, 60, 301–315. [Google Scholar] [CrossRef]













| Parameters | WD Series | RainD | TminD | TmaxD | RadD | RainM | TminM | TmaxM | RadM | 
|---|---|---|---|---|---|---|---|---|---|
| The average number of each parameter (P < 0.05) | 0.35 | 0.35 | 0.42 | 0.73 | 0.08 | 0.31 | 0.92 | 1.12 | 1.96 | 
| Total tests | 8 | 12 | 12 | 12 | 12 | 12 | 12 | 12 | 12 | 
| GCMs | Research Center | Countries and Regions | Grid Resolution | 
|---|---|---|---|
| EC-EARTH | EC: Earth consortium | Europe | 1.125° × 1.125° | 
| HadGEM2-ES | United Kingdom (UK) Meteorological Office | UK | 1.25° × 1.88° | 
| MIROC5 | University of Tokyo, National Institute for Environmental | Japan | 1.39° × 1.41° | 
| MPI-ESM-MR | Max Planck Institute for Meteorology | Germany | 1.85° × 1.88° | 
| Periods | Tmin/°C | Tmax/°C | Annual Rainfall/mm | Annual Rad/(MJ·m−2) | Atmospheric CO2 Concentration/ppm | CH4 Fluxes/(kg C·ha−1) | ||||||
|---|---|---|---|---|---|---|---|---|---|---|---|---|
| RCP4.5 | RCP8.5 | RCP4.5 | RCP8.5 | RCP4.5 | RCP4.5 | RCP4.5 | RCP8.5 | RCP4.5 | RCP8.5 | RCP4.5 | RCP8.5 | |
| 1970s | −3.8 | 8.62 | 463.65 | 5091.2 | 326 | 125.8 | ||||||
| 1990s | −2.6 | 8.85 | 544.36 | 4981.97 | 353 | 146.42 | ||||||
| 2010s | −2.05 | 9.14 | 523.4 | 4943.33 | 385 | 170.57 | ||||||
| 2030s | −1.8 | −1.67 | 9.9 | 9.96 | 551.84 | 548.31 | 4856.25 | 4835.92 | 435 | 449 | 182.72 | 190.76 | 
| (+0.65) | (+0.78) | (+0.96) | (+1.02) | (+13.47) | (−9.94) | (−153.69) | (−174.02) | (+83) | (+97) | (+36.76) | (+44.80) | |
| 2050s | −1.15 | −0.47 | 10.53 | 11.14 | 552.75 | 573.49 | 4901.78 | 4882.47 | 487 | 541 | 218.88 | 247.16 | 
| (+1.30) | (+1.98) | (+1.59) | (+2.20) | (+14.38) | (+35.19) | (−108.16) | (−127.47) | (+135) | (+189) | (+72.92) | (+101.20) | |
| 2070s | −0.55 | 1.26 | 11.11 | 12.8 | 576.87 | 603.06 | 4888.5 | 4874.42 | 524 | 677 | 238.76 | 318.65 | 
| (+1.90) | (+3.71) | (+2.17) | (+3.86) | (+38.50) | (+64.69) | (−121.44) | (−135.52) | (+172) | (+325) | (+92.80) | (+172.69) | |
© 2019 by the authors. Licensee MDPI, Basel, Switzerland. This article is an open access article distributed under the terms and conditions of the Creative Commons Attribution (CC BY) license (http://creativecommons.org/licenses/by/4.0/).
Share and Cite
Nie, T.; Zhang, Z.; Qi, Z.; Chen, P.; Sun, Z.; Liu, X. Characterizing Spatiotemporal Dynamics of CH4 Fluxes from Rice Paddies of Cold Region in Heilongjiang Province under Climate Change. Int. J. Environ. Res. Public Health 2019, 16, 692. https://doi.org/10.3390/ijerph16050692
Nie T, Zhang Z, Qi Z, Chen P, Sun Z, Liu X. Characterizing Spatiotemporal Dynamics of CH4 Fluxes from Rice Paddies of Cold Region in Heilongjiang Province under Climate Change. International Journal of Environmental Research and Public Health. 2019; 16(5):692. https://doi.org/10.3390/ijerph16050692
Chicago/Turabian StyleNie, Tangzhe, Zhongxue Zhang, Zhijuan Qi, Peng Chen, Zhongyi Sun, and Xingchao Liu. 2019. "Characterizing Spatiotemporal Dynamics of CH4 Fluxes from Rice Paddies of Cold Region in Heilongjiang Province under Climate Change" International Journal of Environmental Research and Public Health 16, no. 5: 692. https://doi.org/10.3390/ijerph16050692
APA StyleNie, T., Zhang, Z., Qi, Z., Chen, P., Sun, Z., & Liu, X. (2019). Characterizing Spatiotemporal Dynamics of CH4 Fluxes from Rice Paddies of Cold Region in Heilongjiang Province under Climate Change. International Journal of Environmental Research and Public Health, 16(5), 692. https://doi.org/10.3390/ijerph16050692
 
        


 
       