Spatial and Temporal Distribution of Particulate Phosphorus and Their Correlation with Environmental Factors in a Shallow Eutrophic Chinese Lake (Lake Taihu)
Abstract
1. Introduction
2. Materials and Method
2.1. Study Area and Sample Collection
2.2. Sample Pretreatment and Preparation
2.3. Physical and Chemical Index Analysis
2.4. Molecular PP Analysis by 31P NMR
2.5. Statistical Analysis
3. Results
3.1. General Characteristics of Overlying Water
3.2. The Composition and Variation Characteristics of PP
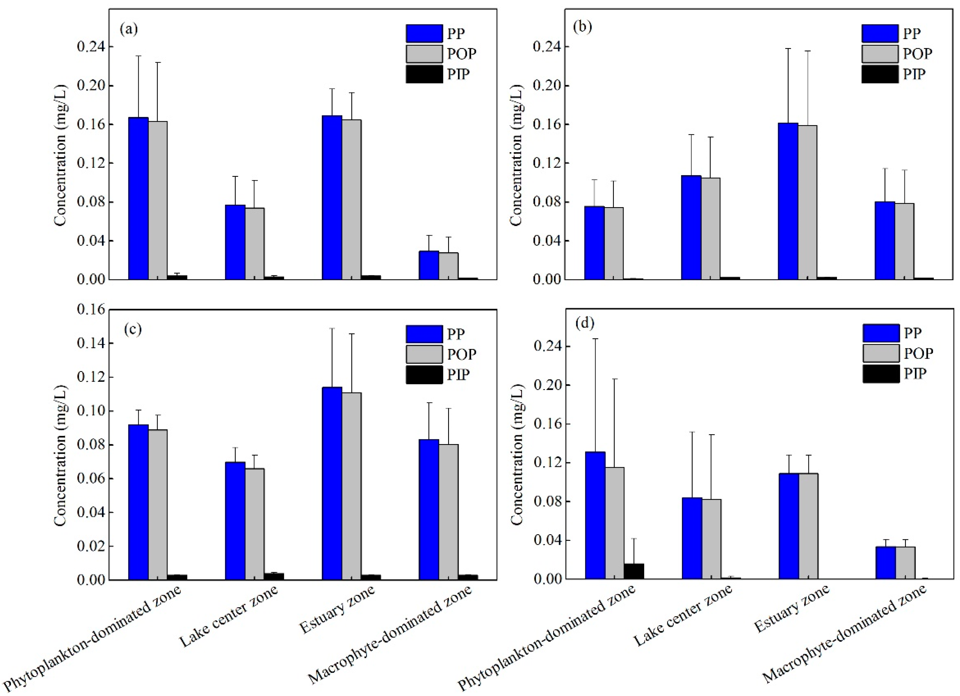
3.2.1. The Spatial and Temporal Distribution of PP, POP and PIP
3.2.2. Molecular Species of PP Measured by 31P NMR
3.3. Temporal Variations in the Relationships among PP Species Concentration and Associated Water Environmental Factors
4. Discussion
4.1. Spatial and Temporal Distribution of PP and Its Environmental Influencing Factors
4.2. Spatial and Temporal Distribution of Molecular Species of PP
4.3. Potential Contribution of Various PP Species to Lake Eutrophication
5. Conclusions
Supplementary Materials
Author Contributions
Funding
Conflicts of Interest
References
- Conley, D.J.; Paerl, H.W.; Howarth, R.W.; Boesch, D.F.; Seitzinger, S.P.; Havens, K.E.; Lancelot, C.; Likens, G.E. Controlling eutrophication: Nitrogen and phosphorus. Science 2009, 323, 1014–1015. [Google Scholar] [CrossRef] [PubMed]
- Yoshimura, T.; Nishioka, J.; Ogawa, H.; Tsuda, A. Dynamics of particulate and dissolved organic and inorganic phosphorus during the peak and declining phase of an iron-induced phytoplankton bloom in the eastern subarctic Pacific. J. Mar. Syst. 2018, 177, 1–7. [Google Scholar] [CrossRef]
- Cai, Y.; Guo, L. Abundance and variation of colloidal organic phosphorus in riverine, estuarine, and coastal waters in the northern Gulf of Mexico. Limnol. Oceanogr. 2009, 54, 1393–1402. [Google Scholar] [CrossRef]
- Lin, P.; Chen, M.; Guo, L. Speciation and transformation of phosphorus and its mixing behavior in the Bay of St. Louis estuary in the northern Gulf of Mexico. Geochim. Cosmochim. Acta 2012, 87, 283–298. [Google Scholar] [CrossRef]
- Yoshimura, T.; Nishioka, J.; Saito, H.; Takeda, S.; Tsuda, A.; Wells, M.L. Distributions of particulate and dissolved organic and inorganic phosphorus in North Pacific surface waters. Mar. Chem. 2007, 103, 112–121. [Google Scholar] [CrossRef]
- Labry, C.; Youenou, A.; Delmas, D.; Michelon, P. Addressing the measurement of particulate organic and inorganic phosphorus in estuarine and coastal waters. Cont. Shelf Res. 2013, 60, 28–37. [Google Scholar] [CrossRef]
- Guo, W.; Jia, G.; Ye, F.; Xiao, H.; Zhang, Z. Lipid biomarkers in suspended particulate matter and surface sediments in the Pearl River Estuary, a subtropical estuary in southern China. Sci. Total Environ. 2019, 646, 416–426. [Google Scholar] [CrossRef] [PubMed]
- Chen, X.; Zhang, S.; Zhang, L.; Cheng, Y. A study on the physico-chemical speciation of heavy metals in waters of rivers, and lakes in the Changjiang River Valley, China. Geojournal 1996, 40, 187–195. [Google Scholar] [CrossRef]
- Shinohara, R.; Isobe, M. Effects of temperature-induced sea breezes on phosphorus dynamics in a shallow eutrophic lake. Mar. Freshw. Res. 2012, 63, 119–127. [Google Scholar] [CrossRef]
- Graneli, E.; Weberg, M.; Salomon, P.S. Harmful algal blooms of allelopathic microalgal species: The role of eutrophication. Harmful Algae 2018, 8, 94–102. [Google Scholar] [CrossRef]
- Zhu, M.; Zhu, G.; Zhao, L.; Yao, X.; Zhang, Y.; Gao, G.; Qin, B. Influence of algal bloom degradation on nutrient release at the sediment-water interface in Lake Taihu, China. Environ. Sci. Pollut. Res. 2013, 20, 1803–1811. [Google Scholar] [CrossRef] [PubMed]
- Ding, S.; Han, C.; Wang, Y.; Yao, L.; Wang, Y.; Xu, D.; Sun, Q.; Williams, P.; Zhang, C. In situ, high-resolution imaging of labile phosphorus in sediments of a large eutrophic lake. Water Res. 2015, 74, 100–109. [Google Scholar] [CrossRef] [PubMed]
- Bai, X.; Sun, J.; Gu, L.; Zhao, H.; Wang, J. Variations of different dissolved and particulate phosphorus classes during an algae bloom in a eutrophic lake by 31P NMR spectroscopy. Chemosphere 2017, 169, 577–585. [Google Scholar] [CrossRef] [PubMed]
- Cai, Y.; Gong, Z.; Qin, B. Benthic macroinvertebrate community structure in Lake Taihu, China: Effects of trophic status, wind-induced disturbance and habitat complexity. J. Gt. Lakes Res. 2012, 38, 39–48. [Google Scholar] [CrossRef]
- Zhao, H.; Duan, X.; Stewart, B.; You, B.; Jiang, X. Spatial correlations between urbanization and river water pollution in the heavily polluted area of Taihu Lake Basin, China. J. Geogr. Sci. 2013, 23, 735–752. [Google Scholar] [CrossRef]
- Yan, C.; Che, F.; Zeng, L.; Wang, Z.; Du, M.; Wei, Q.; Wang, Z.; Wang, D.; Zhen, Z. Spatial and seasonal changes of arsenic species in Lake Taihu in relation to eutrophication. Sci. Total Environ. 2016, 563, 496–505. [Google Scholar] [CrossRef] [PubMed]
- Cullis, J.D.; Stanish, L.F.; McKnight, D.M. Diel flow pulses drive particulate organic matter transport from microbial mats in a glacial meltwater stream in the McMurdo Dry Valleys. Water Resour. Res. 2014, 50, 86–97. [Google Scholar] [CrossRef]
- Murphy, J.A.M.E.S.; Riley, J.P. A modified single solution method for the determination of phosphate in natural waters. Anal. Chim. Acta 1962, 27, 31–36. [Google Scholar] [CrossRef]
- Yin, H.; Kong, M. Reduction of sediment internal P-loading from eutrophic lakes using thermally modified calcium-rich attapulgite-based thin-layer cap. J. Environ. Manag. 2015, 151, 178–185. [Google Scholar] [CrossRef] [PubMed]
- Solórzano, L.; Sharp, J.H. Determination of total dissolved phosphorus and particulate phosphorus in natural waters. Limnol. Oceanogr. 1980, 25, 754–758. [Google Scholar] [CrossRef]
- Aspila, K.I.; Agemian, H.; Chau, A.S.Y. A semi-automated method for the determination of inorganic, organic and total phosphate in sediments. Analyst 1976, 101, 187–197. [Google Scholar] [CrossRef] [PubMed]
- Chen, Y.W.; Gao, X.Y. Comparison of two methods for phytoplankton chlorophyll a concentration measurement. J. Lake Sci. 2000, 12, 185–188. (In Chinese) [Google Scholar]
- Read, E.K.; Ivancic, M.; Hanson, P.; Cade-Menun, B.J.; McMahon, K.D. Phosphorus speciation in a eutrophic lake by 31P NMR spectroscopy. Water Res. 2014, 62, 229–240. [Google Scholar] [CrossRef] [PubMed]
- Bai, X.; Ding, S.; Fan, C.; Liu, T.; Shi, D.; Zhang, L. Organic phosphorus species in surface sediments of a large, shallow, eutrophic lake, Lake Taihu, China. Environ. Pollut. 2009, 157, 2507–2513. [Google Scholar] [CrossRef] [PubMed]
- Ding, S.; Xu, D.; Bai, X.; Yao, S.; Fan, C.; Zhang, C. Speciation of organic phosphorus in a sediment profile of Lake Taihu II. Molecular species and their depth attenuation. J. Environ. Sci. 2013, 25, 925–932. [Google Scholar] [CrossRef]
- Søndergaard, M.; Jensen, J.P.; Jeppesen, E. Role of sediment and internal loading of phosphorus in shallow lakes. Hydrobiologia 2003, 506, 135–145. [Google Scholar] [CrossRef]
- Ahlgren, J.; Reitzel, K.; De Brabandere, H.; Gogoll, A.; Rydin, E. Release of organic P forms from lake sediments. Water Res. 2011, 45, 565–572. [Google Scholar] [CrossRef] [PubMed]
- Bai, X.L.; Zhou, Y.K.; Sun, J.H.; Ma, J.H.; Zhao, H.Y.; Liu, X.F. Classes of dissolved and particulate phosphorus compounds and their spatial distributions in the water of a eutrophic lake: A 31 P NMR study. Biogeochemistry 2015, 126, 227–240. [Google Scholar] [CrossRef]
- Maki, K.; Ohkouchi, N.; Chikaraishi, Y.; Fukuda, H.; Miyajima, T.; Nagata, T. Influence of nitrogen substrates and substrate C: N ratios on the nitrogen isotopic composition of amino acids from the marine bacterium Vibrio harveyi. Geochim. Cosmochim. Acta 2014, 140, 521–530. [Google Scholar] [CrossRef]
- Shinohara, R.; Imai, A.; Kohzu, A.; Tomioka, N.; Furusato, E.; Satou, T.; Sano, T.; Komatsu, K.; Miura, S.; Shimotori, K. Dynamics of particulate phosphorus in a shallow eutrophic lake. Sci. Total Environ. 2016, 563, 413–442. [Google Scholar] [CrossRef] [PubMed]
- Turner, B.L.; Chudek, J.A.; Whitton, B.A.; Baxter, R. Phosphorus composition of upland soils polluted by long-term atmospheric nitrogen deposition. Biogeochemistry 2003, 65, 259–274. [Google Scholar] [CrossRef]
- Jørgensen, C.; Jensen, H.S.; Andersen, F.Ø.; Egemose, S.; Reitzel, K. Occurrence of orthophosphate monoesters in lake sediments: Significance of myo-and scyllo-inositol hexakisphosphate. J. Environ. Monit. 2011, 13, 2328–2334. [Google Scholar] [CrossRef] [PubMed]
- Ahlgren, J.; Tranvik, L.; Gogool, A.; Waldeback, M.; Markides, K.; Rydin, E. Sediment depth attenuation of biogenic phosphorus compounds measured by 31P NMR. Environ. Sci. Technol. 2005, 39, 867–872. [Google Scholar] [CrossRef] [PubMed]
- Ahlgren, J.; Reitzel, K.; Danielsson, R.; Gogoll, A.; Rydin, E. Biogenic phosphorus in oligotrophic mountain lake sediments: Differences in composition measured with NMR spectroscopy. Water Res. 2006, 40, 3705–3712. [Google Scholar] [CrossRef] [PubMed]
- Reitzel, K.; Ahlgren, J.; Gogoll, A.; Rydin, E. Effects of aluminum treatment on phosphorus, carbon, and nitrogen distribution in lake sediment: A 31P NMR study. Water Res. 2006, 40, 647–654. [Google Scholar] [CrossRef] [PubMed]
- Hupfer, M.; Gloess, S.; Grossart, H.P. Polyphosphate-accumulating microorganisms in aquatic sediments. Aquat. Microb. Ecol. 2007, 47, 299–311. [Google Scholar] [CrossRef]
- Meng, J.; Yao, Q.; Yu, Z. Particulate phosphorus speciation and phosphate adsorption characteristics associated with sediment grain size. Ecol. Eng. 2014, 70, 140–145. [Google Scholar] [CrossRef]
- Van der Grift, B.; Osté, L.; Schot, P.; Kratz, A.; van Popta, E.; Wassen, M.; Griffioen, J. Forms of phosphorus in suspended particulate matter in agriculture-dominated lowland catchments: Iron as phosphorus carrier. Sci. Total Environ. 2018, 631, 115–129. [Google Scholar] [CrossRef] [PubMed]
- Suzumura, M.; Kokubun, H.; Arata, N. Distribution and characteristics of suspended particulate matter in a heavily eutrophic estuary, Tokyo Bay, Japan. Mar. Pollut. Bull. 2004, 49, 496–503. [Google Scholar] [CrossRef] [PubMed]
- Brown, M.R.; Kornberg, A. The long and short of it—Polyphosphate, PPK and bacterial survival. Trends Biochem. Sci. 2008, 33, 284–290. [Google Scholar] [CrossRef] [PubMed]




| Sample Sites | SD (m) | DO (mg/L) | pH | SPM (mg/L) | POM/SPM (%) | POM (mg/L) | TP (mg/L) | SRP (mg/L) | Chl a (μg/L) |
|---|---|---|---|---|---|---|---|---|---|
| Phytoplankton-dominated zone | 0.41 ± 0.16 | 9.84 ± 2.33 | 8.58 ± 0.18 | 36.73 ± 30.68 | 47.30 ± 57.15 | 17.46 ± 17.48 | 0.11 ± 0.05 | 0.014 ± 0.010 | 52.13 ± 80.45 |
| Estuary zone | 0.35 ± 0.12 | 9.33 ± 2.26 | 8.35 ± 0.25 | 55.25 ± 34.22 | 18.34 ± 10.59 | 10.13 ± 3.62 | 0.22 ± 0.05 | 0.076 ± 0.02 | 19.25 ± 10.91 |
| Lake center zone | 0.24 ± 0.08 | 6.90 ± 3.58 | 8.04 ± 0.31 | 53.97 ± 30.26 | 22.48 ± 15.18 | 12.13 ± 4.59 | 0.13 ± 0.08 | 0.019 ± 0.024 | 39.53 ± 44.56 |
| Macrophyte-dominated zone | 0.69 ± 0.42 | 9.60 ± 2.32 | 8.25 ± 0.37 | 52.24 ± 79.70 | 13.68 ± 8.29 | 7.15 ± 6.61 | 0.05 ± 0.03 | 0.004 ± 0.002 | 9.84 ± 4.90 |
| Parameters | SD | DO | pH | SPM | POM | TP | Chl a | PP | POP | PIP |
|---|---|---|---|---|---|---|---|---|---|---|
| SD | 1.000 | 0.315 * | 0.344 ** | 0.173 | −0.046 | −0.350 ** | −0.217 | −0.176 | −0.175 | −0.102 |
| DO | 1.000 | 0.701 ** | 0.237 | 0.276 * | −0.155 | −0.035 | 0.056 | 0.034 | 0.219 | |
| pH | 1.000 | 0.175 | 0.264 * | 0.121 | −0.029 | 0.294 * | 0.295 * | 0.134 | ||
| SPM | 1.000 | 0.522 ** | 0.281 * | 0.179 | 0.290 * | 0.277 * | 0.260 | |||
| POM | 1.000 | 0.298 * | 0.731 ** | 0.614 ** | 0.550 ** | 0.853 ** | ||||
| TP | 1.000 | 0.377 ** | 0.689 ** | 0.707 ** | 0.186 | |||||
| Chl a | 1.000 | 0.50 8 ** | 0.243 | 0.816 ** | ||||||
| PP | 1.000 | 0.995 ** | 0.530 ** | |||||||
| POP | 1.000 | 0.445 ** | ||||||||
| PIP | 1.000 |
© 2018 by the authors. Licensee MDPI, Basel, Switzerland. This article is an open access article distributed under the terms and conditions of the Creative Commons Attribution (CC BY) license (http://creativecommons.org/licenses/by/4.0/).
Share and Cite
Kong, M.; Chao, J.; Zhuang, W.; Wang, P.; Wang, C.; Hou, J.; Wu, Z.; Wang, L.; Gao, G.; Wang, Y. Spatial and Temporal Distribution of Particulate Phosphorus and Their Correlation with Environmental Factors in a Shallow Eutrophic Chinese Lake (Lake Taihu). Int. J. Environ. Res. Public Health 2018, 15, 2355. https://doi.org/10.3390/ijerph15112355
Kong M, Chao J, Zhuang W, Wang P, Wang C, Hou J, Wu Z, Wang L, Gao G, Wang Y. Spatial and Temporal Distribution of Particulate Phosphorus and Their Correlation with Environmental Factors in a Shallow Eutrophic Chinese Lake (Lake Taihu). International Journal of Environmental Research and Public Health. 2018; 15(11):2355. https://doi.org/10.3390/ijerph15112355
Chicago/Turabian StyleKong, Ming, Jianying Chao, Wei Zhuang, Peifang Wang, Chao Wang, Jun Hou, Zhaoshi Wu, Longmian Wang, Guang Gao, and Yu Wang. 2018. "Spatial and Temporal Distribution of Particulate Phosphorus and Their Correlation with Environmental Factors in a Shallow Eutrophic Chinese Lake (Lake Taihu)" International Journal of Environmental Research and Public Health 15, no. 11: 2355. https://doi.org/10.3390/ijerph15112355
APA StyleKong, M., Chao, J., Zhuang, W., Wang, P., Wang, C., Hou, J., Wu, Z., Wang, L., Gao, G., & Wang, Y. (2018). Spatial and Temporal Distribution of Particulate Phosphorus and Their Correlation with Environmental Factors in a Shallow Eutrophic Chinese Lake (Lake Taihu). International Journal of Environmental Research and Public Health, 15(11), 2355. https://doi.org/10.3390/ijerph15112355
