Effects of Restoration Time on Microbial Diversity in Rhizosphere and Non-Rhizosphere Soil of Bothriochloa ischaemum
Abstract
1. Introduction
2. Materials and Methods
2.1. Site Description and Soil Sampling
2.2. Soil Chemical Properties and Enzyme Activities
2.3. DNA Extraction, Polymerase Chain Reaction and Denaturing Gradient Gel Electrophoresis
2.4. Statistical Analysis
3. Results
3.1. Plant and Soil Characteristics of B. ischaemum for the Different Restoration Times
3.2. Correlation betweenPlant Physicochemical Properties and Soil Characteristics
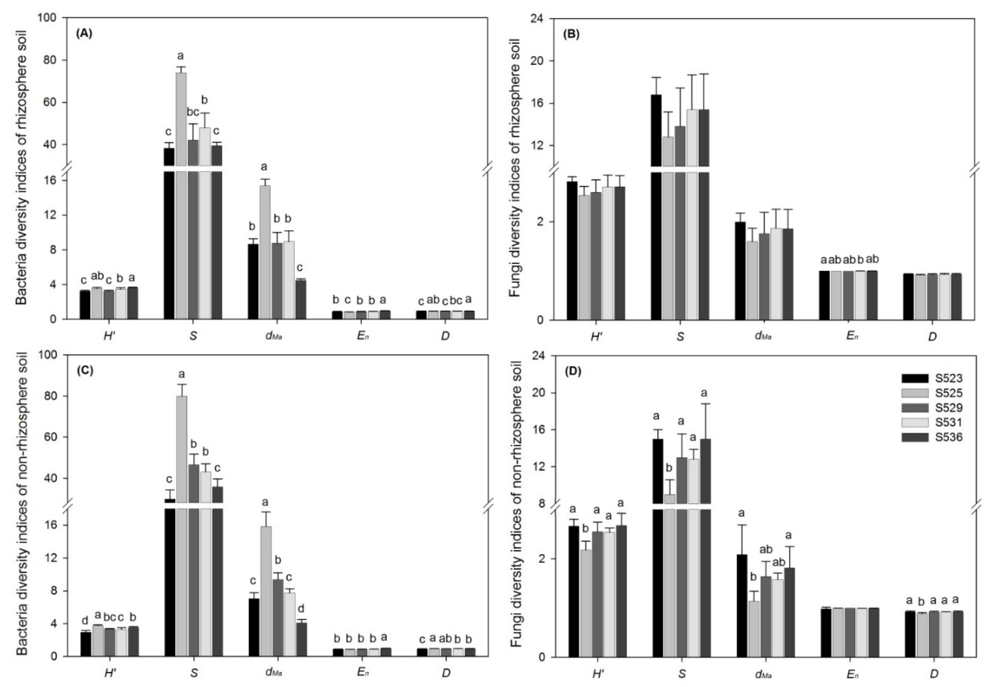
3.3. Effects of Restoration Time and the Rhizosphere on Microbial Diversity and Gene Abundance
3.4. Relationship between Soil Enzyme Activity and Microbial Diversity
3.5. Driving Factors of Microbial Composition and Diversity in Rhizosphere and Non-Rhizosphere Soil
3.6. Correlation between Soil Properties and Microbial Diversity of Rhizosphere and Non-Rhizosphere Soil for the Different Restoration Times
4. Discussion
4.1. Soil Enzyme Activity and Driving Factors
4.2. Microbial Gene Abundance and Diversity in Rhizosphere and Non-Rhizosphere Soil
4.3. Driving Factors of Soil Microbial Community Composition and Structure in Rhizosphere and Non-Rhizosphere Soil under Different Restoration Times
5. Conclusions
Author Contributions
Funding
Conflicts of Interest
References
- Luilo, G.B.; Othman, O.C.; Mrutu, A. Arsenic: A toxic trace element of public health concern in urban roadside soils in Dar es Salaam City. J. Mater. Environ. Sci. 2014, 5, 1742–1749. [Google Scholar]
- Kelley, S.L.; Aitchison, E.W.; Deshpande, M.; Schnoor, J.L.; Alvarez, P.J. Biodegradation of 1,4-dioxane in planted and unplanted soil: Effect of bioaugmentation with Amycolata sp. CB1190. Water Res. 2001, 35, 3791–3800. [Google Scholar] [CrossRef]
- Bankston, J.L.; Sola, D.L.; Komor, A.T.; Dwyer, D.F. Degradation of trichloroethylene in wetland microcosms containing broad-leaved cattail and eastern cottonwood. Water Res. 2002, 36, 1539–1546. [Google Scholar] [CrossRef]
- Siciliano, S.D. Plant-bacterial combinations to phytoremediate soil contaminated with high concentrations of 2,4,6-trinitrotoluene. J. Environ. Qual. 2000, 29, 311–316. [Google Scholar] [CrossRef]
- Yateem, A.; Balba, M.T.; Elnawawy, A.S.; Alawadhi, N. Plants-associated microflora and the remediation of oil-contaminated soil. Int. J. Phytoremediat 2000, 2, 183–191. [Google Scholar] [CrossRef]
- Mehmannavaz, R.; Prasher, S.O.; Ahmad, D. Rhizospheric effects of alfalfa on biotransformation of polychlorinated biphenyls in a contaminated soil augmented with Sinorhizobium Meliloti. Process. Biochem. 2002, 37, 955–963. [Google Scholar] [CrossRef]
- Caldwell, B.A. Enzyme activities as a component of soil biodiversity: A review. Pedobiol. Int. J. Soil Boil. 2005, 49, 637–644. [Google Scholar] [CrossRef]
- Angle, J.S.; Baker, A.J.M.; Whiting, S.N.; Chaney, R.L. Soil moisture effects on uptake of metals by Thlaspi, Alyssum, and Berkheya. Plant Soil 2003, 256, 325–332. [Google Scholar] [CrossRef]
- Tabatabai, M.A.; Dick, W.A.; Burns, R.G.; Dick, R.P. Enzymesin Soil: Research and Developments in Measuring Activities; Marcel Dekker, Inc.: New York, NY, USA, 2002; pp. 567–596. [Google Scholar]
- Feng, J.; Zheng, X.; Yang, Z.; Chen, S.; Chen, H. Effects of five kinds of cultivation on the soil microorganisms and enzyme activities of camellia oleifera forestry. J. Southwest For. Univ. 2016, 36, 10–16. [Google Scholar]
- Guo, X.; Gu, J.; Chen, Z.; Gao, H.; Qin, Q.; Sun, W.; Zhang, W. Effects of heavy metals pollution on soil microbial communities metabolism and soil enzyme activities in coal mining area of Tongchuan, Shaanxi Province of Northwest China. Chin. J. Appl. Ecol. 2012, 23, 798–806. [Google Scholar]
- Hou, Y.; Zhou, H.; Zhang, C. Effects of urbanization on community structure of soil microorganism. Ecol. Environ. Sci. 2014, 7, 1108–1112. [Google Scholar]
- Li, W.; Wei, J.; Liu, A.; Wang, Y.; Zhu, Z.; Wang, X. Effects of chlorophytum comosum growth on microbial biomass and soil enzymatic activities in zinc-polluted soil. J. Soil Water Conserv. 2013, 27, 276–281. [Google Scholar]
- Gao, Y.; Mao, L.; Zhou, P.; Zhi, Y.; Zhang, C. Effect of plant growth on soil enzyme activity and microbe community structure under Cd and Pb stress. Acta Sci. Nat. Univ. Pekin. 2010, 46, 339–345. [Google Scholar]
- Wiehe, W.; Höflich, G. Survival of plant growth promoting rhizosphere bacteria in the rhizosphere of different crops and migration to non-inoculated plants under field conditions in north-east Germany. Microbiol. Res. 1995, 150, 201–206. [Google Scholar] [CrossRef]
- Mendes, R.; Kruijt, M.; De, B.I.; Dekkers, E.; Van, D.V.M.; Schneider, J.H.; Piceno, Y.M.; Desantis, T.Z.; Andersen, G.L.; Bakker, P.A. Deciphering the rhizosphere microbiome for disease-suppressive bacteria. Science 2011, 332, 1097–1100. [Google Scholar] [CrossRef] [PubMed]
- Mendes, R.; Garbeva, P.; Raaijmakers, J.M. The rhizosphere microbiome: Significance of plant beneficial, plant pathogenic, and human pathogenic microorganisms. FEMS Microbiol. Rev. 2013, 37, 634–663. [Google Scholar] [CrossRef] [PubMed]
- Elgersma, K.J.; Shen, Y.; Vor, T.; Ehrenfeld, J.G. Microbial-mediated feedbacks of leaf litter on invasive plant growth and interspecific competition. Plant Soil 2012, 356, 341–355. [Google Scholar] [CrossRef]
- Paterson, E.; Gebbing, T.; Abel, C.; Sim, A.; Telfer, G. Rhizodeposition shapes rhizosphere microbial community structure in organic soil. New Phytol. 2007, 173, 600–610. [Google Scholar] [CrossRef] [PubMed]
- Li, J.; Liu, F.; Zhou, X. Effects of Different Reclaimed Scenarios on Soil Microbe and Enzyme Activities in Mining Areas. Environ. Sci. 2015, 36, 1836–1841. [Google Scholar]
- Ciarkowska, K.; Sołekpodwika, K.; Wieczorek, J. Enzyme activity as an indicator of soil-rehabilitation processes at a zinc and lead ore mining and processing area. J. Environ. Manag. 2014, 132, 250–256. [Google Scholar] [CrossRef] [PubMed]
- Schimann, H.; Petit-Jean, C.; Guitet, S.; Reis, T.; Domenach, A.M.; Roggy, J. Microbial bioindicators of soil functioning after disturbance: The case of gold mining in tropical rainforests of French Guiana. Ecol. Indic 2012, 20, 34–41. [Google Scholar] [CrossRef]
- Li, H.; Shao, H.; Li, W.; Bi, R.; Bai, Z. Improving soil enzyme activities and related quality properties of reclaimed soil by applying weathered coal in opencast-mining areas of the Chinese Loess Plateau. Clean Soil Air Water 2012, 40, 233–238. [Google Scholar] [CrossRef]
- Tong, J.; Miaowen, C.; Juhui, J.; Jinxian, L.; Baofeng, C. Endophytic fungi and soil microbial community characteristics over different years of phytoremediation in a copper tailings dam of Shanxi, China. Sci. Total Environ. 2017, 574, 881–888. [Google Scholar] [CrossRef] [PubMed]
- Wang, R.; Jia, T.; Cao, M.; Chai, B. Characteristics of Soil Physicochemical Properties and Enzyme Activities over Different Characteristics of soil physicochemical properties and enzyme activities over different reclaimed years in a copper tailings dam. Environ. Sci. 2018, 39, 3339–3348. [Google Scholar]
- Liu, J.; Li, C.; Jing, J.; Zhao, P.; Luo, Z.; Cao, M.; Ma, Z.; Jia, T.; Chai, B. Ecological patterns and adaptability of bacterial communities in alkaline copper mine drainage. Water Res. 2018, 133, 99–109. [Google Scholar] [CrossRef] [PubMed]
- Qiao, S.; Zhou, Y.; Liu, J.; Jing, J.; Jia, T.; Li, C.; Yang, X.; Chai, B. Characteristics of Soil Bacterial Community Structure in Coniferous Forests of Guandi Mountains, Shanxi Province. Sci. Silvae Sin. 2017, 53, 89–99. [Google Scholar]
- Yang, Y.; Song, Y.; Scheller, H.V.; Ghosh, A.; Ban, Y.; Chen, H.; Tang, M. Community structure of arbuscular mycorrhizal fungi associated with Robinia pseudoacacia in uncontaminated and heavy metal contaminated soils. Soil Boil. Biochem. 2015, 86, 146–158. [Google Scholar] [CrossRef]
- Badiane, N.N.Y.; Chotte, J.L.; Pate, E.; Masse, D.; Rouland, C. Use of soil enzyme activities to monitor soil quality in natural and improved fallows in semi-arid tropical regions. Appl. Soil Ecol. 2001, 18, 229–238. [Google Scholar] [CrossRef]
- Chander, K.; Dyckmans, J.; Joergensen, R.; Meyer, B.; Raubuch, M. Different sources of heavy metals and their long-term effects on soil microbial properties. Biol. Fert. Soils 2001, 34, 241–247. [Google Scholar] [CrossRef]
- Belyaeva, O.N.; Haynes, R.J.; Birukova, O.A. Barley yield and soil microbial and enzyme activities as affected by contamination of two soils with lead, zinc or copper. Biol. Fert. Soils 2005, 41, 85–94. [Google Scholar] [CrossRef]
- Li, J.; Zhou, X.; Yan, J.; Li, H.; He, J. Effects of regenerating vegetation on soil enzyme activity and microbial structure in reclaimed soils on a surface coal mine site. Appl. Soil Ecol. 2015, 87, 56–62. [Google Scholar] [CrossRef]
- Ji, Y.; Feng, W.; Chen, L.; Duan, W.; Zhang, X. Soil nutrition, microorganisms and enzyme activity of the rhizosphere and non-rhizosphere soils of mixed plantation of Larix. Ecol. Environ. 2008, 17, 339–343. [Google Scholar]
- Dick, R.P.; Pankhurst, C.; Doube, B.M.; Gupta, V.V.S.R. Soil Enzyme Activitiesas Integrative Indicators of Soil Health; FAO: Rome, Italy, 1997; pp. 121–156. [Google Scholar]
- Moreno, J.L.; García, C.; Hernández, T. Toxic effect of cadmium and nickel on soil enzymes and the influence of adding sewage sludge. Eur. J. Soil Sci. 2003, 54, 377–386. [Google Scholar] [CrossRef]
- Duan, X.; Min, H. Effects of Cd2+ on the biological activities and the enzyme activities in submerged paddy soil. J. Agro-Environ. Sci. 2004, 23, 422–427. [Google Scholar]
- Huang, Z.; Min, H.; Lu, Z.; Jin, W.; Yuan, H. Study on the effects of mono-contamination of Cu2+ and associated-contamination of Cu2+ and Cd2+ on enzyme activities in flooded paddy soil. J. Zhejiang Univ. (Agric. Life Sci.) 2006, 32, 557–562. [Google Scholar]
- Pant, H.K.; Warman, P.R. Enzymatic hydrolysis of soil organic phosphorus by immobilized phosphatases. Biol. Fert. Soils 2000, 30, 306–311. [Google Scholar] [CrossRef]
- Tischer, A.; Blagodatskaya, E.; Hamer, U. Extracellular enzyme activities in a tropical mountain rainforest region of southern Ecuador affected by low soil P status and land-use change. Appl. Soil Ecol. 2014, 74, 1–11. [Google Scholar] [CrossRef]
- Salam, A.K.; Katayama, A.; Kimura, M. Activities of some soil enzymes in different land use systems after deforestation in hilly areas of West Lampung, South Sumatra, Indonesia. Soil Sci. Plant Nutr. 1998, 44, 93–103. [Google Scholar] [CrossRef]
- Calbrixa, R.; Barray, S. Analysis of the potential functional diversity of the bacterial community in soil: A reproducible procedure using sole-carbon-source utilization profiles. Eur. J. Soil Biol. 2005, 41, 11–20. [Google Scholar] [CrossRef]
- Burns, R.G.; Deforest, J.L.; Marxsen, J.; Sinsabaugh, R.L.; Stromberger, M.E.; Wallenstein, M.D.; Weintraub, M.N.; Zoppini, A. Soil enzymes in a changing environment: Current knowledge and future directions. Soil Biol. Biochem. 2013, 58, 216–234. [Google Scholar] [CrossRef]
- Zornoza, R.; Guerrero, C.; Mataix-Solera, J.; Arcenegui, V.; García-Orenes, F.; Mataix-Beneyto, J. Assessing air-drying and rewetting pre-treatment effect on some soil enzyme activities under Mediterranean conditions. Soil Biol. Biochem. 2006, 38, 2125–2134. [Google Scholar] [CrossRef]
- Brockett, B.; Prescott, C.; Grayston, S. Soil moisture is the major factor influencing microbial community structure and enzyme activities across seven biogeoclimatic zones in western Canada. Soil Boil. Biochem. 2012, 44, 9–20. [Google Scholar] [CrossRef]
- Schweinsberg-Mickan, M.S.Z.; Jörgensen, R.G.; Müller, T. Rhizodeposition: Its contribution to microbial growth and carbon and nitrogen turnover within the rhizosphere. J. Plant Nutr. Soil Sci. 2012, 175, 750–760. [Google Scholar] [CrossRef]
- Carrillo, Y.; Dijkstra, F.A.; Pendall, E.; Lecain, D.; Tucker, C. Plant rhizosphere influence on microbial C metabolism: The role of elevated CO₂, N availability and root stoichiometry. Biogeochemistry 2014, 117, 229–240. [Google Scholar] [CrossRef]
- Li, J.; Zheng, Y.; Yan, J.; Li, H.; He, J. Succession of plant and soil microbial communities with restoration of abandoned land in the Loess Plateau, China. J. Soil Sediment 2013, 13, 760–769. [Google Scholar] [CrossRef]
- Susyan, E.A.; Wirth, S.; Ananyeva, N.D.; Stolnikova, E.V. Forest succession on abandoned arable soils in European Russia-Impacts on microbial biomass, fungal-bacterial ratio, and basal CO2 respiration activity. Eur. J. Soil Biol. 2011, 47, 169–174. [Google Scholar] [CrossRef]
- Lupatini, M.; Jacques, R.J.S.; Antoniolli, Z.I.; Suleiman, A.K.A.; Fulthorpe, R.R.; Roesch, L.F.W. Land-use change and soil type are drivers of fungal and archaeal communities in the Pampa biome. World J. Microbiol. Biotechnol. 2013, 29, 223–233. [Google Scholar] [CrossRef] [PubMed]
- Baldrian, P.; Trogl, J.; Frouz, J.; Snajdr, J.; Valaskova, V.; Merhautova, V.; Cajthaml, T.; Herinkova, J. Enzyme activities and microbial biomass in topsoil layer during spontaneous succession in spoil heaps after brown coal mining. Soil Boil. Biochem. 2008, 40, 2107–2115. [Google Scholar] [CrossRef]
- Iii, E.W.H.; Frank, D.A. Can plants stimulate soil microbes and their own nutrient supply? Evidence from a grazing tolerant grass. Ecology 2001, 82, 2397–2402. [Google Scholar]
- Girvan, M.S.; Bullimore, J.; Pretty, J.N.; Osborn, A.M.; Ball, A.S. Soil type is the primary determinant of the composition of the total and active bacterial communities in arable soils. Appl. Environ. Microbiol. 2003, 69, 1800–1809. [Google Scholar] [CrossRef] [PubMed]
- Chen, M.M.; Zhu, Y.G.; Su, Y.H.; Chen, B.D.; Fu, B.J.; Marschner, P. Effects of soil moisture and plant interactions on the soil microbial community structure. Eur. J. Soil Biol. 2007, 43, 31–38. [Google Scholar] [CrossRef]
- Singh, B.K.; Munro, S.; Potts, J.M.; Millard, P. Influence of grass species and soil type on rhizosphere microbial community structure in grassland soils. Appl. Soil Ecol. 2007, 36, 147–155. [Google Scholar] [CrossRef]
- Yang, K.; Zhu, J. The effects of N and P additions on soil microbial properties in paired stands of temperate secondary forests and adjacent larch plantations in Northeast China. Soil Boil. Biochem. 2015, 90, 80–86. [Google Scholar] [CrossRef]
- Larsen, J.; Jaramillolópez, P.; Nájerarincon, M.; Gonzálezesquivel, C.E. Biotic interactions in the rhizosphere in relation to plant and soil nutrient dynamics. J. Soil Sci. Plant Nutr. 2015, 15, 63–67. [Google Scholar] [CrossRef]
- Ojuederie, O.B.; Babalola, O.O. Microbial and plant-assisted bioremediation of heavy metal polluted environments: A review. Int. J. Environ. Res. Public Health 2017, 14, 1504. [Google Scholar] [CrossRef] [PubMed]
- Yao, M.; Rui, J.; Li, J.; Wang, J.; Cao, W.; Li, X. Soil bacterial community shifts driven by restoration time and steppe types in the degraded steppe of Inner Mongolia. Catena 2018, 165, 228–236. [Google Scholar] [CrossRef]
- Mai, K.; Biswas, B.; Smith, E.; Mahmud, S.A.; Hasan, N.A.; Khan, M.; Naidu, R.; Megharaj, M. Microbial diversity changes with rhizosphere and hydrocarbons in contrasting soils. Ecotox Environ. Safe 2018, 156, 434–442. [Google Scholar]
- De Boer, T.E.; Taş, N.; Braster, M.; Temminghoff, E.J.; Röling, W.F.; Roelofs, D. The influence of long-term copper contaminated agricultural soil at different pH levels on microbial communities and springtail transcriptional regulation. Environ. Sci. Technol. 2012, 46, 60–68. [Google Scholar] [CrossRef] [PubMed]
- Li, F.; Li, X.; Wu, P.; Chen, L.; Guo, B.; Qi, Z. Correlation between heavy metal pollution and basic properties of agricultural soils in Hainan province. Soils 2009, 41, 49–53. [Google Scholar]
- Zhang, H.; Li, G.; Song, X.; Yang, D.; Li, Y.; Qiao, J.; Zhang, J.; Zhao, S. Changes in soil microbial functional diversity under different vegetation restoration patterns for Hulunbeier Sandy Land. Acta Ecol. Sin. 2013, 33, 38–44. [Google Scholar] [CrossRef]
- Yan, Y.; Kuramae, E.E.; de Hollander, M.; Klinkhamer, P.G.; van Veen, J.A. Functional traits dominate the diversity-related selection of bacterial communities in the rhizosphere. ISME J. 2017, 11, 56–66. [Google Scholar] [CrossRef] [PubMed]
- Holt, J.A. Grazing pressure and soil carbon, microbial biomass and enzyme activities in semi-arid northeastern Australia. Appl. Soil Ecol. 1997, 5, 143–149. [Google Scholar] [CrossRef]
- Dise, N.B.; Matzner, E.; Forsius, M. Evaluation of organic horizon C:N ratio as an indicator of nitrate leaching in conifer forests across Europe. Environ. Pollut. 1998, 102, 453–456. [Google Scholar] [CrossRef]
- Gundersen, P.; Callesen, I.; Vries, W.D. Nitrate leaching in forest ecosystems is related to forest floor C/N ratios. Environ. Pollut. 1998, 102, 403–407. [Google Scholar] [CrossRef]
- Zhu, Q.; Xing, X.; Zhang, H.; An, S. Soil ecological stoichiometry under different vegetation area on loess hillygully region. Acta Ecol. Sin. 2013, 33, 4674–4682. [Google Scholar]
- Iii, F.S.C.; Matson, P.A.; Mooney, H.A. Principles of Terrestrial Ecosystem Ecology; Springer: New York, NY, USA, 2011; pp. 369–397. [Google Scholar]
- Zhang, Q.; Liu, B.; Lin, Y.; Shi, H.; Yang, S.; Zhou, X. The diversity of phospholipid fatty acid (PLFA) biomarker for the microbial community in soil. Acta Ecol. Sin. 2009, 29, 4127–4137. [Google Scholar]
- Shentu, J.; He, Z.; Zeng, Y.; He, S.; Du, S.; Shen, D. Microbial biomass and PLFA profile changes in rhizosphere of Pakchoi (Brassica chinensis L.) as affected by external cadmium loading. Pedosphere 2014, 24, 553–562. [Google Scholar] [CrossRef]
- Wu, X.; Li, Z.; Fu, B.; Zhou, W.; Liu, H.; Liu, G. Restoration of ecosystem carbon and nitrogen storage and microbial biomass after grazing exclusion in semi-arid grasslands of Inner Mongolia. Ecol. Eng. 2014, 73, 395–403. [Google Scholar] [CrossRef]
- Chaparro, J.M.; Badri, D.V.; Vivanco, J.M. Rhizosphere microbiome assemblage is affected by plant development. ISME J. 2014, 8, 790–803. [Google Scholar] [CrossRef] [PubMed]
- Su, Y.H.; Yang, X.Y. Interactions between selected PAHs and the microbial community in rhizosphere of a paddy soil. Sci. Total Environ. 2009, 407, 1027–1034. [Google Scholar] [CrossRef] [PubMed]
- Han, X.M.; Wang, R.Q.; Liu, J.; Wang, M.C.; Zhou, J.; Guo, W.H. Effects of vegetation type on soil microbial community structure and catabolic diversity assessed by polyphasic methods in North China. J. Environ. Sci.-China 2007, 19, 1228–1234. [Google Scholar] [CrossRef]
- Lambers, H.; Mougel, C.; Jaillard, B.; Hinsinger, P. Plant-microbe-soil interactions in the rhizosphere: An evolutionary perspective. Plant Soil 2009, 321, 83–115. [Google Scholar] [CrossRef]





| NH4+-N mg/kg | NO3+-N mg/kg | NO2+-N mg/kg | Olsen-P mg/kg | N mg/kg | C mg/kg | C/N | S mg/kg | SWC % | pH | PS μm | |
|---|---|---|---|---|---|---|---|---|---|---|---|
| S523 | 4.566 ± 0.487bc | 5.160 ± 0.513 | 0.350 ± 0.028 | 6.218 ± 1.339 | 0.053 ± 0.005 | 1.089 ± 0.053 | 21.092 ± 1.563 | 0.068 ± 0.011 | 2.222 ± 0.451 | 7.987 ± 0.075 | 44.98 ± 4.717 |
| S525 | 3.974 ± 1.102c | 5.782 ± 0.280 | 0.368 ± 0.045 | 5.108 ± 1.290 | 0.045 ± 0.003 | 1.199 ± 0.102 | 26.789 ± 1.717 | 0.062 ± 0.007 | 1.798 ± 0.552 | 7.881 ± 0.074 | 42.60 ± 1.799 |
| S529 | 7.664 ± 1.318a | 5.276 ± 0.739 | 0.338 ± 0.041 | 13.428 ± 5.870 | 0.049 ± 0.007 | 1.061 ± 0.064 | 23.191 ± 2.592 | 0.058 ± 0.007 | 1.378 ± 0.292 | 8.052 ± 0.100 | 42.00 ± 3.933 |
| S531 | 6.028 ± 0.602abc | 6.648 ± 1.497 | 0.330 ± 0.065 | 8.682 ± 1.900 | 0.042 ± 0.006 | 0.948 ± 0.054 | 24.279 ± 3.409 | 0.052 ± 0.004 | 1.475 ± 0.506 | 8.111 ± 0.028 | 40.66 ± 2.410 |
| S536 | 7.086 ± 0.560ab | 5.338 ± 0.744 | 0.350 ± 0.054 | 7.970 ± 0.540 | 0.041 ± 0.005 | 0.907 ± 0.047 | 23.349 ± 2.031 | 0.046 ± 0.001 | 1.487 ± 0.391 | 8.023 ± 0.084 | 46.66 ± 4.829 |
| As ppm | Cd ppm | Cu ppm | Pb ppm | Zn ppm | TF-Cd | TF-Cr | TF-Cu | TF-Pb | TF-Zn | |
|---|---|---|---|---|---|---|---|---|---|---|
| S523 | 10.318 ± 2.783b | 6.798 ± 0.620 | 366.445 ± 20.368 | 258.116 ± 24.396 | 81.005 ± 8.800 | 0.726 ± 0.169 | 0.201 ± 0.065 | 0.474 ± 0.107 | 1.530 ± 0.654 | 1.289 ± 0.285 |
| S525 | 10.843 ± 2.180b | 7.258 ± 0.747 | 379.141 ± 30.697 | 250.481 ± 36.774 | 81.040 ± 5.049 | 0.426 ± 0.173 | 0.131 ± 0.104 | 0.289 ± 0.084 | 0.830 ± 0.159 | 0.743 ± 0.286 |
| S529 | 13.183 ± 3.013b | 7.469 ± 0.382 | 324.415 ± 17.770 | 277.673 ± 29.442 | 85.061 ± 5.447 | 0.664 ± 0.092 | 0.449 ± 0.126 | 0.514 ± 0.096 | 1.177 ± 0.169 | 1.045 ± 0.168 |
| S531 | 12.190 ± 5.102b | 7.111 ± 1.159 | 326.789 ± 34.125 | 261.731 ± 19.734 | 87.296 ± 11.009 | 0.612 ± 0.142 | 0.410 ± 0.175 | 0.491 ± 0.158 | 1.100 ± 0.183 | 0.992 ± 0.272 |
| S536 | 25.440 ± 3.003a | 6.309 ± 0.831 | 352.808 ± 41.025 | 224.320 ± 33.932 | 69.542 ± 6.377 | 0.576 ± 0.052 | 0.481 ± 0.130 | 0.659 ± 0.131 | 1.036 ± 0.265 | 0.876 ± 0.087 |
| Soil Enzyme Activity | Soil Heavy Metals | Transfer Factors | |||||||||||||
|---|---|---|---|---|---|---|---|---|---|---|---|---|---|---|---|
| Catalase | Urease | Sucrase | Phosphatase | As | Cd | Cu | Pb | Zn | TF-Cd | TF-Cr | TF-Cu | TF-Pb | TF-Zn | ||
| Soil | NH4+-N | 0.036 | 0.224 | 0.157 | −0.055 | 0.232 | −0.088 | −0.250 | 0.025 | 0.022 | −0.057 | 0.261 | 0.095 | −0.158 | −0.167 |
| NO3+-N | 0.232 | 0.209 | −0.277 | 0.269 | −0.368 | −0.286 | −0.282 | −0.005 | 0.400 * | −0.128 | 0.108 | 0.166 | −0.292 | −0.231 | |
| NO2+-N | −0.011 | −0.083 | 0.07 | −0.133 | 0.191 | −0.147 | 0.280 | −0.269 | −0.286 | −0.113 | −0.204 | 0.082 | 0.020 | 0.067 | |
| Olsen-P | −0.003 | −0.02 | −0.153 | 0.017 | 0.114 | 0.113 | −0.174 | 0.162 | 0.071 | 0.113 | 0.354 | 0.354 | −0.016 | −0.083 | |
| N | 0.722 ** | 0.695 ** | −0.650 ** | 0.228 | −0.652 ** | −0.137 | −0.323 | 0.147 | 0.316 | −0.021 | −0.079 | 0.029 | 0.013 | 0.212 | |
| C | 0.327 | 0.29 | −0.199 | −0.023 | −0.494 * | 0.167 | 0.238 | 0.005 | 0.200 | 0.125 | −0.019 | 0.042 | 0.229 | 0.384 | |
| C/N | −0.581 ** | −0.530 ** | 0.668 ** | −0.286 | 0.425 * | 0.324 | 0.580 ** | −0.112 | −0.263 | 0.125 | 0.125 | −0.019 | 0.140 | 0.101 | |
| S | 0.083 | 0.195 | −0.335 | 0.010 | −0.202 | 0.023 | 0.231 | −0.100 | 0.142 | 0.346 | 0.002 | 0.284 | 0.682 ** | 0.376 | |
| SWC | −0.036 | −0.232 | 0.237 | −0.164 | 0.124 | −0.043 | 0.449 * | −0.134 | −0.159 | 0.474* | 0.141 | 0.004 | 0.118 | 0.167 | |
| pH | −0.002 | 0.297 | −0.041 | 0.255 | 0.043 | 0.298 | −0.208 | −0.112 | 0.013 | −0.190 | −0.084 | −0.231 | 0.004 | 0.277 | |
| PS | −0.309 | −0.256 | 0.167 | −0.142 | 0.385 | −0.229 | 0.199 | 0.091 | −0.028 | −0.180 | −0.182 | −0.068 | −0.103 | −0.285 | |
| Shoot | N | −0.088 | −0.368 | 0.227 | −0.218 | 0.274 | 0.012 | 0.232 | −0.476 * | −0.209 | 0.363 | −0.026 | −0.163 | −0.082 | −0.092 |
| C | 0.150 | −0.079 | −0.207 | −0.204 | −0.247 | −0.114 | 0.134 | 0.084 | −0.120 | −0.092 | −0.603 ** | −0.337 | −0.120 | −0.135 | |
| C/N | 0.173 | 0.430 * | −0.295 | 0.166 | −0.344 | −0.109 | −0.321 | 0.535 ** | 0.167 | −0.308 | −0.093 | 0.129 | 0.078 | 0.063 | |
| S | 0.028 | 0.348 | −0.158 | −0.119 | −0.322 | 0.066 | −0.092 | 0.139 | 0.358 | −0.161 | 0.145 | 0.008 | 0.080 | 0.125 | |
| Root | N | 0.307 | −0.127 | −0.021 | 0.162 | −0.211 | −0.018 | −0.137 | −0.082 | 0.059 | 0.266 | −0.066 | −0.170 | −0.337 | −0.205 |
| C | 0.140 | −0.191 | −0.230 | −0.628 ** | 0.192 | −0.263 | 0.276 | 0.078 | −0.475 * | 0.353 | 0.097 | 0.422 | 0.164 | 0.156 | |
| C/N | −0.294 | 0.08 | −0.076 | −0.289 | 0.223 | −0.061 | 0.189 | 0.114 | −0.201 | −0.076 | 0.027 | 0.242 | 0.501 * | 0.309 | |
| S | −0.406 | −0.207 | 0.137 | −0.446 * | 0.330 | 0.075 | 0.170 | −0.139 | −0.122 | 0.248 | 0.538 ** | 0.335 | 0.187 | 0.069 | |
| df | H’ | S | dMa | En | D | logCopy | ||||||||
|---|---|---|---|---|---|---|---|---|---|---|---|---|---|---|
| F | p | F | p | F | p | F | p | F | p | F | p | |||
| Bacteria | Restoration years (Y) | 4 | 26.307 | <0.01 | 124.138 | <0.01 | 191.302 | <0.01 | 28.332 | <0.01 | 12.129 | <0.01 | 25.906 | <0.01 |
| Rhizosphere region (R) | 1 | 1.881 | 0.178 | 0.929 | 0.341 | 2.529 | 0.120 | 0.023 | 0.88 | 3.097 | 0.086 | 121.932 | <0.01 | |
| Y × R | 4 | 5.598 | <0.01 | 4.137 | <0.01 | 2.640 | 0.048 | 1.118 | 0.361 | 2.951 | 0.032 | 17.512 | <0.01 | |
| Fungi | Restoration years (Y) | 4 | 5.858 | <0.01 | 5.396 | <0.01 | 4.632 | <0.01 | 0.837 | 0.510 | 6.089 | <0.01 | 3.996 | <0.01 |
| Rhizosphere region(R) | 1 | 7.483 | <0.01 | 6.366 | 0.016 | 2.544 | 0.119 | 1.304 | 0.260 | 8.151 | <0.01 | 414.610 | <0.01 | |
| Y × R | 4 | 1.070 | 0.384 | 0.682 | 0.609 | 0.866 | 0.493 | 1.017 | 0.410 | 1.633 | 0.185 | 2.526 | 0.056 | |
| Catalase | Urease | Sucrase | Phosphatase | ||||||
|---|---|---|---|---|---|---|---|---|---|
| rM | p | rM | p | rM | p | rM | p | ||
| Rhizosphere | Bacterial composition | 0.1413 | 0.096 | 0.15340 | 0.053 | 0.09360 | 0.105 | 0.11460 | 0.172 |
| Fungal composition | −0.1320 | 0.914 | −0.04207 | 0.652 | 0.02596 | 0.357 | −0.02459 | 0.564 | |
| Bacterial diversity | −0.1435 | 0.907 | −0.07609 | 0.739 | 0.1285 | 0.056 | −0.15320 | 0.934 | |
| Fungal diversity | −0.1065 | 0.851 | −0.1058 | 0.863 | 0.03853 | 0.217 | −0.05151 | 0.658 | |
| Non-rhizosphere | Bacterial composition | 0.2178 | 0.024 | 0.16830 | 0.064 | 0.1573 | 0.026 | 0.27940 | 0.008 |
| Fungal composition | −0.1320 | 0.932 | −0.04207 | 0.675 | 0.02596 | 0.343 | −0.02459 | 0.620 | |
| Bacterial diversity | −0.06443 | 0.664 | 0.01617 | 0.412 | 0.1481 | 0.065 | 0.001121 | 0.415 | |
| Fungal diversity | −0.09926 | 0.731 | 0.07597 | 0.236 | 0.2057 | 0.024 | −0.02155 | 0.428 | |
| Soil Enzyme Activity | Soil Heavy Metals | Root Properties | Root Heavy Metals | Restoration Years | Transfer Factors | ||||||||
|---|---|---|---|---|---|---|---|---|---|---|---|---|---|
| rM | p | rM | p | rM | p | rM | p | rM | p | rM | p | ||
| Rhizosphere | Bacterial composition | −0.03053 | 0.619 | −0.14950 | 0.941 | −0.0348 | 0.647 | 0.00050 | 0.498 | 0.3124 | 0.001 | 0.1149 | 0.127 |
| Fungal composition | −0.00690 | 0.548 | 0.10840 | 0.101 | −0.0487 | 0.717 | −0.02232 | 0.592 | 0.3052 | 0.001 | −0.1714 | 0.985 | |
| Bacterial diversity | −0.05227 | 0.720 | 0.07106 | 0.198 | −0.2032 | 0.990 | −0.04485 | 0.690 | 0.3417 | 0.001 | −0.1207 | 0.893 | |
| Fungal diversity | −0.03539 | 0.652 | −0.05688 | 0.764 | 0.02572 | 0.362 | −0.08115 | 0.807 | 0.01618 | 0.354 | 0.05851 | 0.262 | |
| Non-rhizosphere | Bacterial composition | 0.02491 | 0.408 | 0.00248 | 0.504 | 0.1211 | 0.114 | 0.07338 | 0.200 | 0.4749 | 0.001 | 0.1037 | 0.169 |
| Fungal composition | −0.00690 | 0.516 | 0.10840 | 0.093 | −0.0487 | 0.714 | −0.02232 | 0.584 | 0.3052 | 0.001 | −0.1714 | 0.985 | |
| Bacterial diversity | −0.04229 | 0.610 | 0.01901 | 0.438 | −0.1590 | 0.939 | −0.05650 | 0.659 | 0.3812 | 0.001 | −0.0217 | 0.532 | |
| Fungal diversity | 0.02797 | 0.360 | −0.1138 | 0.806 | −0.1367 | 0.878 | −0.09095 | 0.719 | 0.1195 | 0.063 | −0.0440 | 0.542 | |
© 2018 by the authors. Licensee MDPI, Basel, Switzerland. This article is an open access article distributed under the terms and conditions of the Creative Commons Attribution (CC BY) license (http://creativecommons.org/licenses/by/4.0/).
Share and Cite
Jia, T.; Cao, M.; Wang, R. Effects of Restoration Time on Microbial Diversity in Rhizosphere and Non-Rhizosphere Soil of Bothriochloa ischaemum. Int. J. Environ. Res. Public Health 2018, 15, 2155. https://doi.org/10.3390/ijerph15102155
Jia T, Cao M, Wang R. Effects of Restoration Time on Microbial Diversity in Rhizosphere and Non-Rhizosphere Soil of Bothriochloa ischaemum. International Journal of Environmental Research and Public Health. 2018; 15(10):2155. https://doi.org/10.3390/ijerph15102155
Chicago/Turabian StyleJia, Tong, Miaowen Cao, and Ruihong Wang. 2018. "Effects of Restoration Time on Microbial Diversity in Rhizosphere and Non-Rhizosphere Soil of Bothriochloa ischaemum" International Journal of Environmental Research and Public Health 15, no. 10: 2155. https://doi.org/10.3390/ijerph15102155
APA StyleJia, T., Cao, M., & Wang, R. (2018). Effects of Restoration Time on Microbial Diversity in Rhizosphere and Non-Rhizosphere Soil of Bothriochloa ischaemum. International Journal of Environmental Research and Public Health, 15(10), 2155. https://doi.org/10.3390/ijerph15102155
