Evaluation of Drought Implications on Ecosystem Services: Freshwater Provisioning and Food Provisioning in the Upper Mississippi River Basin
Abstract
:1. Introduction
2. Materials and Methods
2.1. Study Area
2.2. SWAT Model Set-Up and Calibration
2.3. Drought Indices
2.3.1. Standardized Precipitation Index (SPI)
2.3.2. Standardized Streamflow Index (SSI) and Soil Water Content Index (SWCI)
2.4. Ecosystem Services Quantification
2.4.1. Freshwater Provisioning Calculation
2.4.2. Food Provisioning Calculation
2.5. Impacts of Drought on FWP and FP
3. Results
3.1. SWAT Model Calibration and Validation
3.2. Drought Characteristic Analysis
3.3. Drought Impacts on Freshwater Provisioning
3.3.1. Meteorological Drought Impacts on Annual Freshwater Provisioning
3.3.2. Hydrological Drought Impacts on Annual Freshwater Provisioning
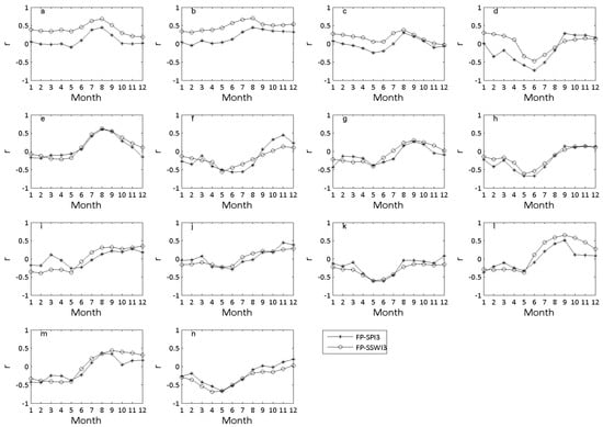
3.3.3. Meteorological Drought Impacts on Seasonal Freshwater Provisioning
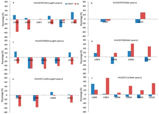
3.4. Meteorological Drought and Agricultural Drought Impacts on Food Provisioning
4. Discussion
4.1. Drought Impacts on Annual Freshwater Provisioning
4.2. Meteorological Drought Impacts on Seasonal Freshwater Provisioning
4.3. Meteorological Drought and Agricultural Drought Impacts on Food Provisioning
5. Conclusions
Acknowledgments
Author Contributions
Conflicts of Interest
Appendix A




References
- Ecosystems and Human Well-Being: Synthesis; Millennium Ecosystem Assessment (Program) (Ed.) Island Press: Washington, DC, USA, 2005. [Google Scholar]
- Brauman, K.A.; Daily, G.C.; Duarte, T.K.; Mooney, H.A. The Nature and Value of Ecosystem Services: An Overview Highlighting Hydrologic Services. Annu. Rev. Environ. Resour. 2007, 32, 67–98. [Google Scholar] [CrossRef]
- Dennedy-Frank, P.J.; Muenich, R.L.; Chaubey, I.; Ziv, G. Comparing two tools for ecosystem service assessments regarding water resources decisions. J. Environ. Manag. 2016, 177, 331–340. [Google Scholar] [CrossRef] [PubMed]
- Logsdon, R.A.; Chaubey, I. A quantitative approach to evaluating ecosystem services. Ecol. Model. 2013, 257, 57–65. [Google Scholar] [CrossRef]
- Keyantash, J.; Dracup, J.A. The quantification of drought: An evaluation of drought indices. Bull. Am. Meteorol. Soc. 2002, 83, 1167. [Google Scholar]
- Delpla, I.; Jung, A.-V.; Baures, E.; Clement, M.; Thomas, O. Impacts of climate change on surface water quality in relation to drinking water production. Environ. Int. 2009, 35, 1225–1233. [Google Scholar] [CrossRef] [PubMed]
- Mosley, L.M. Drought impacts on the water quality of freshwater systems; review and integration. Earth Sci. Rev. 2015, 140, 203–214. [Google Scholar] [CrossRef]
- Van Vliet, M.T.H.; Zwolsman, J.J.G. Impact of summer droughts on the water quality of the Meuse River. J. Hydrol. 2008, 353, 1–17. [Google Scholar] [CrossRef]
- Fisher, B.; Turner, R.K.; Morling, P. Defining and classifying ecosystem services for decision making. Ecol. Econ. 2009, 68, 643–653. [Google Scholar] [CrossRef]
- Nelson, E.; Mendoza, G.; Regetz, J.; Polasky, S.; Tallis, H.; Cameron, D.; Chan, K.M.; Daily, G.C.; Goldstein, J.; Kareiva, P.M.; et al. Modeling multiple ecosystem services, biodiversity conservation, commodity production, and tradeoffs at landscape scales. Front. Ecol. Environ. 2009, 7, 4–11. [Google Scholar] [CrossRef]
- Bangash, R.F.; Passuello, A.; Sanchez-Canales, M.; Terrado, M.; López, A.; Elorza, F.J.; Ziv, G.; Acuña, V.; Schuhmacher, M. Ecosystem services in Mediterranean river basin: Climate change impact on water provisioning and erosion control. Sci. Total Environ. 2013, 458–460, 246–255. [Google Scholar] [CrossRef] [PubMed]
- Terrado, M.; Acuña, V.; Ennaanay, D.; Tallis, H.; Sabater, S. Impact of climate extremes on hydrological ecosystem services in a heavily humanized Mediterranean basin. Ecol. Indic. 2014, 37, 199–209. [Google Scholar] [CrossRef]
- Eheart, J.W.; Tornil, D.W. Low-flow frequency exacerbation by irrigation withdrawals in the agricultural Midwest under various climate change scenarios. Water Resour. Res. 1999, 35, 2237–2246. [Google Scholar] [CrossRef]
- Tigkas, D.; Vangelis, H.; Tsakiris, G. Drought and climatic change impact on streamflow in small watersheds. Sci. Total Environ. 2012, 440, 33–41. [Google Scholar] [CrossRef] [PubMed]
- Anderson, M.C.; Zolin, C.A.; Sentelhas, P.C.; Hain, C.R.; Semmens, K.; Tugrul Yilmaz, M.; Gao, F.; Otkin, J.A.; Tetrault, R. The Evaporative Stress Index as an indicator of agricultural drought in Brazil: An assessment based on crop yield impacts. Remote Sens. Environ. 2016, 174, 82–99. [Google Scholar] [CrossRef]
- Lobell, D.B.; Roberts, M.J.; Schlenker, W.; Braun, N.; Little, B.B.; Rejesus, R.M.; Hammer, G.L. Greater sensitivity to drought accompanies maize yield increase in the US Midwest. Science 2014, 344, 516–519. [Google Scholar] [CrossRef] [PubMed]
- Potopová, V.; Boroneanţ, C.; Boincean, B.; Soukup, J. Impact of agricultural drought on main crop yields in the Republic of Moldova: Impact of the agricultural drought on crop yields. Int. J. Climatol. 2016, 36, 2063–2082. [Google Scholar] [CrossRef]
- Wang, R.; Bowling, L.C.; Cherkauer, K.A. Estimation of the effects of climate variability on crop yield in the Midwest USA. Agric. For. Meteorol. 2016, 216, 141–156. [Google Scholar] [CrossRef]
- Gowda, P.H.; Mulla, D.J.; Jaynes, D.B. Simulated long-term nitrogen losses for a midwestern agricultural watershed in the United States. Agric. Water Manag. 2008, 95, 616–624. [Google Scholar] [CrossRef]
- Huang, S.; Pollack, H.N.; Shen, P.-Y. Temperature trends over the past five centuries reconstructed from borehole temperatures. Nature 2000, 403, 756–758. [Google Scholar] [PubMed]
- Alexander, R.B.; Smith, R.A.; Schwarz, G.E. Effect of stream channel size on the delivery of nitrogen to the Gulf of Mexico. Nature 2000, 403, 758–761. [Google Scholar] [CrossRef] [PubMed]
- Panagopoulos, Y.; Gassman, P.W.; Arritt, R.W.; Herzmann, D.E.; Campbell, T.D.; Jha, M.K.; Kling, C.L.; Srinivasan, R.; White, M.; Arnold, J.G. Surface water quality and cropping systems sustainability under a changing climate in the Upper Mississippi River Basin. J. Soil Water Conserv. 2014, 69, 483–494. [Google Scholar] [CrossRef]
- Delong, M.D. Upper Mississippi River Basin. In Rivers of North America; Benke, A.C., Cushing, C.E., Eds.; Academic Press: Burlington, VT, USA, 2005; pp. 326–373. [Google Scholar]
- Panagopoulos, Y.; Gassman, P.W.; Jha, M.K.; Kling, C.L.; Campbell, T.; Srinivasan, R.; White, M.; Arnold, J.G. A refined regional modeling approach for the Corn Belt—Experiences and recommendations for large-scale integrated modeling. J. Hydrol. 2015, 524, 348–366. [Google Scholar] [CrossRef]
- Frans, C.; Istanbulluoglu, E.; Mishra, V.; Munoz-Arriola, F.; Lettenmaier, D.P. Are climatic or land cover changes the dominant cause of runoff trends in the Upper Mississippi River Basin? Climate and land use change in the umrb. Geophys. Res. Lett. 2013, 40, 1104–1110. [Google Scholar] [CrossRef]
- Arnold, J.G.; Srinivasan, R.; Muttiah, R.S.; Williams, J.R. Large area hydrologic modeling and assessment part I: Model development. J. Am. Water Resour. Assoc. 1998, 34, 73–89. [Google Scholar] [CrossRef]
- Gassman, P.W.; Reyes, M.R.; Green, C.H.; Arnold, J.G. The Soil and Water Assessment Tool: Historical development, applications, and future research directions. Trans. ASABE 2007, 50, 1211–1250. [Google Scholar] [CrossRef]
- Srinivasan, R.; Zhang, X.; Arnold, J. SWAT ungauged: Hydrological budget and crop yield predictions in the Upper Mississippi River Basin. Trans. ASABE 2010, 53, 1533–1546. [Google Scholar] [CrossRef]
- Neitsch, S.L.; Arnold, J.G.; Kiniry, J.R.; Williams, J.R. Soil and Water Assessment Tool Theoretical Documentation Version 2009; Texas Water Resources Institute Technical Report No. 406; Blackland Research Center: College Station, TX, USA, 2011; pp. 1–618. [Google Scholar]
- Vigerstol, K.L.; Aukema, J.E. A comparison of tools for modeling freshwater ecosystem services. J. Environ. Manag. 2011, 92, 2403–2409. [Google Scholar] [CrossRef] [PubMed]
- Cibin, R.; Trybula, E.; Chaubey, I.; Brouder, S.M.; Volenec, J.J. Watershed-scale impacts of bioenergy crops on hydrology and water quality using improved SWAT model. GCB Bioenerg. 2016, 8, 837–848. [Google Scholar] [CrossRef]
- Abbaspour, K.C.; Rouholahnejad, E.; Vaghefi, S.; Srinivasan, R.; Yang, H.; Kløve, B. A continental-scale hydrology and water quality model for Europe: Calibration and uncertainty of a high-resolution large-scale SWAT model. J. Hydrol. 2015, 524, 733–752. [Google Scholar] [CrossRef]
- Vitosh, M.L.; Johnson, J.W.; Mengel, D.B. Tri-state Fertilizer Recommendations for Corn, Soybeans, Wheat and Alfalfa; Ohio State University Extension Bulletin E-2567 (NEW): Columbus, OH, USA, 2010; pp. 1–21. [Google Scholar]
- Abbaspour, K.C. Swat-Cup: SWAT Calibration and Uncertainty Programs-A User Manual; Eawag; Swiss Federal Institute of Aquatic Science and Technology: Dübendorf, Switzerland, 2015; pp. 1–100. [Google Scholar]
- Runkel, R.L.; Crawford, C.G.; Cohn, T.A. Load Estimator (LOADEST): A FORTRAN Program for Estimating Constituent Loads in Streams and Rivers; U.S. Geological Survey Techniques and Methods Book 4; U.S. Geological Survey: Reston, VI, USA, 2004; Chapter A5.
- Wang, D.; Hejazi, M.; Cai, X.; Valocchi, A.J. Climate change impact on meteorological, agricultural, and hydrological drought in central Illinois: Climate change impact on drought. Water Resour. Res. 2011, 47, 1–13. [Google Scholar] [CrossRef]
- Zargar, A.; Sadiq, R.; Naser, B.; Khan, F.I. A review of drought indices. Environ. Rev. 2011, 19, 333–349. [Google Scholar] [CrossRef]
- McKee, T.B.; Doesken, N.J.; Kleist, J. Others the relationship of drought frequency and duration to time scales. In Proceedings of the 8th Conference on Applied Climatology, Anaheim, CA, USA, 17–22 January 1993; Volume 17, pp. 179–183. [Google Scholar]
- Hayes, M.J.; Svodoba, M.D.; Wilhite, D.A.; Vanyarkho, O.V. Monitoring the 1996 drought using the standardized precipitation index. Bull. Am. Meteorol. Soc. 1999, 80, 429. [Google Scholar] [CrossRef]
- Svoboda, M.; Hayes, M.; Wood, D. World Meteorological Organization: Standardized Precipitation Index User Guide; WMO: Geneva, Switzerland, 2012. [Google Scholar]
- Mishra, V.; Cherkauer, K.A.; Shukla, S. Assessment of Drought due to Historic Climate Variability and Projected Future Climate Change in the Midwestern United States. J. Hydrometeorol. 2010, 11, 46–68. [Google Scholar] [CrossRef]
- Shukla, S.; Wood, A.W. Use of a standardized runoff index for characterizing hydrologic drought. Geophys. Res. Lett. 2008, 35. [Google Scholar] [CrossRef]
- Li, P.; Chaubey, I.; Muenich, R.L.; Wei, X. Evaluation of Freshwater Provisioning for Different Ecosystem Services in the Upper Mississippi River Basin: Current Status and Drivers. Water 2016, 8, 288. [Google Scholar] [CrossRef]
- Tennant, D.L. Instream Flow Regimens for Fish, Wildlife, Recreation and Related Environmental Resources. Fisheries 1976, 1, 6–10. [Google Scholar] [CrossRef]
- Ice, G.; Binkley, D. Forest streamwater concentrations of nitrogen and phosphorus: A comparison with EPA’s proposed water quality criteria. J. For. 2003, 101, 21–28. [Google Scholar]
- Moriasi, D.N.; Arnold, J.G.; Van Liew, M.W.; Bingner, R.L.; Harmel, R.D.; Veith, T.L. Model evaluation guidelines for systematic quantification of accuracy in watershed simulations. Trans. ASABE 2007, 50, 885–900. [Google Scholar] [CrossRef]
- Riebsame, W.E.; Changnon, S.A.; Karl, T.R. Drought and Natural Resources Management in the United States: Impacts and Implications of the 1987–1989 Drought; Westview Press: Boulder, CO, USA, 1991; pp. 11–92. [Google Scholar]
- Kunkel, K.E.; Angel, J.R.; Changnon, S.A.; Claybrooke, R.; Hilberg, S.D.; Knapp, H.V.; Larson, R.S.; Palecki, M.; Scott, R.W.; Winstanley, D. The 2005 Illinois Drought; Illinois State Water Survey: Champaign, IL, USA, 2006; p. 80. [Google Scholar]
- Mallya, G.; Zhao, L.; Song, X.C.; Niyogi, D.; Govindaraju, R.S. 2012 Midwest Drought in the United States. J. Hydrol. Eng. 2013, 18, 737–745. [Google Scholar] [CrossRef]
- Ford, T.; Labosier, C.F. Spatial patterns of drought persistence in the Southeastern United States. Int. J. Climatol. 2014, 34, 2229–2240. [Google Scholar] [CrossRef]
- Spinoni, J.; Naumann, G.; Carrao, H.; Barbosa, P.; Vogt, J. World drought frequency, duration, and severity for 1951–2010. Int. J. Climatol. 2014, 34, 2792–2804. [Google Scholar] [CrossRef]
- Sud, Y.C.; Mocko, D.M.; Lau, K.M.; Atlas, R. Simulating the Midwestern US drought of 1988 with a GCM. J. Clim. 2003, 16, 3946–3965. [Google Scholar] [CrossRef]
- Trenberth, K.E.; Branstator, G.W. Issues in Establishing Causes of the 1988 Drought over North America. J. Clim. 1992, 5, 159–172. [Google Scholar] [CrossRef]
- Tan, C.; Yang, J.; Li, M. Temporal-Spatial Variation of Drought Indicated by SPI and SPEI in Ningxia Hui Autonomous Region, China. Atmosphere 2015, 6, 1399–1421. [Google Scholar] [CrossRef]
- Jha, M. Impacts of climate change on streamflow in the Upper Mississippi River Basin: A regional climate model perspective. J. Geophys. Res. 2004, 109. [Google Scholar] [CrossRef]
- Moriasi, D.N.; Gowda, P.H.; Arnold, J.G.; Mulla, D.J.; Ale, S.; Steiner, J.L. Modeling the impact of nitrogen fertilizer application and tile drain configuration on nitrate leaching using SWAT. Agric. Water Manag. 2013, 130, 36–43. [Google Scholar] [CrossRef]
- Randall, G.W.; Vetsch, J.A. Nitrate Losses in Subsurface Drainage from a Corn-Soybean Rotation as Affected by Fall and Spring Application of Nitrogen and Nitrapyrin. J. Environ. Qual. 2005, 34, 590–597. [Google Scholar] [CrossRef] [PubMed]
- Johnson, D.M. An assessment of pre- and within-season remotely sensed variables for forecasting corn and soybean yields in the United States. Remote Sens. Environ. 2014, 141, 116–128. [Google Scholar] [CrossRef]
- Kogan, F.; Salazar, L.; Roytman, L. Forecasting crop production using satellite-based vegetation health indices in Kansas, USA. Int. J. Remote Sens. 2012, 33, 2798–2814. [Google Scholar] [CrossRef]
- United States Department of Agriculture (USDA). Major World Crop Areas and Climate Profile, Agricultural Handbook #664; World Agricultural Outlook Board: Washington, DC, USA, 1994; pp. 28–33.
- Sivakumar, M.V.K.; Motha, R.P.; Wilhite, D.A. Agricultural Drought Indices. In Proceedings of the WMO/UNISDR Expert Group Meeting on Agricultural Drought Indices, Murcia, Spain, 2–4 June 2010; World Meteorological Organization: Geneva, Switzerland, 2011; p. 197. [Google Scholar]









| #HUC4 | Subbasin Name | States | Drainage Area (103 km2) | Slope (%) | Cropland (%) | Pasture (%) | Forest (%) |
|---|---|---|---|---|---|---|---|
| 0701 | Mississippi Headwaters | MN | 96.1 | 2.4 | 14 | 3 | 42 |
| 0702 | Minnesota | IA, MN | 44.1 | 2.3 | 70 | 9 | 3 |
| 0703 | St. Croix | WI, MN | 20 | 3.3 | 3 | 10 | 60 |
| 0704 | Upper Mississippi-Black-Root | MN, WI | 168.7 | 9.6 | 28 | 20 | 37 |
| 0705 | Chippewa | WI | 24.7 | 4.7 | 7 | 7 | 57 |
| 0706 | Upper Mississippi-Maquoketa-Plum | IA, WI | 221.8 | 9.3 | 33 | 31 | 25 |
| 0707 | Wisconsin | WI | 30.9 | 7.3 | 9 | 13 | 51 |
| 0708 | Upper Mississippi-Iowa-Skunk-Wapsipinicon | IA | 309.4 | 3.6 | 66 | 17 | 6 |
| 0709 | Rock | IL, WI | 28.2 | 3.3 | 50 | 20 | 11 |
| 0710 | Des Moines | IA, MN | 37.4 | 3.8 | 64 | 15 | 10 |
| 0711 | Upper Mississippi-Salt | IL, MO, IA | 447.6 | 4.6 | 32 | 32 | 27 |
| 0712 | Upper Illinois | IL, IN | 28.3 | 1.7 | 50 | 9 | 10 |
| 0713 | Lower Illinois | IL | 74.7 | 3.0 | 65 | 9 | 15 |
| 0714 | Upper Mississippi-Kaskaskia-Meramec | IL, MO | 491.9 | 4.6 | 27 | 19 | 42 |
| HUC4 Subbasin | Station Name | USGS Station# | Calibration | Validation | ||
|---|---|---|---|---|---|---|
| r2 | NSE | r2 | NSE | |||
| Mississippi Headwaters | St. Paul | 05331000 | 0.75 | 0.59 | 0.8 | 0.7 |
| Minnesota | Jordan | 05330000 | 0.85 | 0.83 | 0.81 | 0.72 |
| St. Croix | St. Croix | 05340500 | 0.66 | 0.53 | 0.71 | 0.19 |
| Chippewa | Durand | 05369500 | 0.7 | 0.65 | 0.76 | 0.73 |
| Upper Mississippi-Maquoketa-Plum | McGregor | 05389500 | 0.73 | 0.64 | 0.79 | 0.56 |
| Wisconsin | Muscoda | 05407000 | 0.7 | 0.65 | 0.75 | 0.62 |
| Upper Mississippi-Iowa-Skunk-Wapsipinicon | Clinton | 05420500 | 0.7 | 0.6 | 0.79 | 0.58 |
| Upper Mississippi-Iowa-Skunk-Wapsipinicon | Augusta | 05474000 | 0.76 | 0.64 | 0.83 | 0.8 |
| Upper Mississippi-Iowa-Skunk-Wapsipinicon | Wapello | 05465500 | 0.74 | 0.68 | 0.82 | 0.77 |
| Rock | Joslin | 05446500 | 0.85 | 0.51 | 0.81 | 0.4 |
| Des Moines | Keosauqua | 05490500 | 0.75 | 0.75 | 0.84 | 0.84 |
| Upper Mississippi-Salt | Grafton | 05587455 | 0.81 | 0.72 | 0.83 | 0.74 |
| Lower Illinois | Valley City | 05586100 | 0.84 | 0.77 | 0.79 | 0.61 |
| HUC4 Subbasins | 0701 | 0702 | 0703 | 0704 | 0705 | 0706 | 0707 | 0708 | 0709 | 0710 | 0711 | 0712 | 0713 | 0714 |
|---|---|---|---|---|---|---|---|---|---|---|---|---|---|---|
| Drought years | 1987 | 1987 | 1987 | 1988 | 1987 | 1988 | 1988 | 1988 | 1988 | 1988 | 1988 | 1988 | 1987 | 1988 |
| 1988 | 1988 | 1988 | 1989 | 1988 | 1989 | 1989 | 1989 | 1989 | 1989 | 1989 | 1989 | 1988 | 1989 | |
| 1989 | 1989 | 1989 | 2003 | 1989 | 2003 | 1997 | 2003 | 2003 | 2012 | 1999 | 2002 | 1989 | 1991 | |
| 1992 | 2003 | 1992 | 2006 | 2012 | 2003 | 2012 | 2005 | 2012 | 2005 | 2005 | 1992 | |||
| 2003 | 1997 | 2009 | 2005 | 2012 | 2012 | 2012 | 2007 | |||||||
| 2006 | 2006 | 2012 | 2012 | |||||||||||
| 2009 |
| Correlation Coefficient (r) | 0701 | 0702 | 0703 | 0704 | 0705 | 0706 | 0707 | 0708 | 0709 | 0710 | 0711 | 0712 | 0713 | 0714 |
|---|---|---|---|---|---|---|---|---|---|---|---|---|---|---|
| SPI12 vs. SSWI12 | 0.54 * | 0.70 * | 0.48 * | 0.61 * | 0.58 * | 0.67 * | 0.47 * | 0.78 * | 0.78 * | 0.68 * | 0.88 * | 0.78 * | 0.86 * | 0.73 * |
| SPI12 vs. SSI12 | 0.72 * | 0.87 * | 0.87 * | 0.58 * | 0.83 * | 0.60 * | 0.61 * | 0.73 * | 0.81 * | 0.90 * | 0.76 * | 0.87 * | 0.90 * | 0.58 * |
| SSWI12 vs. SSI12 | 0.52 * | 0.75 * | 0.47 * | 0.55 * | 0.63 * | 0.60 * | 0.51 * | 0.70 * | 0.76 * | 0.73 * | 0.78 * | 0.75 * | 0.81 * | 0.62 * |
© 2017 by the authors. Licensee MDPI, Basel, Switzerland. This article is an open access article distributed under the terms and conditions of the Creative Commons Attribution (CC BY) license (http://creativecommons.org/licenses/by/4.0/).
Share and Cite
Li, P.; Omani, N.; Chaubey, I.; Wei, X. Evaluation of Drought Implications on Ecosystem Services: Freshwater Provisioning and Food Provisioning in the Upper Mississippi River Basin. Int. J. Environ. Res. Public Health 2017, 14, 496. https://doi.org/10.3390/ijerph14050496
Li P, Omani N, Chaubey I, Wei X. Evaluation of Drought Implications on Ecosystem Services: Freshwater Provisioning and Food Provisioning in the Upper Mississippi River Basin. International Journal of Environmental Research and Public Health. 2017; 14(5):496. https://doi.org/10.3390/ijerph14050496
Chicago/Turabian StyleLi, Ping, Nina Omani, Indrajeet Chaubey, and Xiaomei Wei. 2017. "Evaluation of Drought Implications on Ecosystem Services: Freshwater Provisioning and Food Provisioning in the Upper Mississippi River Basin" International Journal of Environmental Research and Public Health 14, no. 5: 496. https://doi.org/10.3390/ijerph14050496
APA StyleLi, P., Omani, N., Chaubey, I., & Wei, X. (2017). Evaluation of Drought Implications on Ecosystem Services: Freshwater Provisioning and Food Provisioning in the Upper Mississippi River Basin. International Journal of Environmental Research and Public Health, 14(5), 496. https://doi.org/10.3390/ijerph14050496
