Standing Up for Learning: A Pilot Investigation on the Neurocognitive Benefits of Stand-Biased School Desks
Abstract
:1. Introduction
2. Experimental Section
2.1. Experimental Design and Procedure
2.2. Participants
| Demographics | Neurocognitive Assessment Group (n = 27) | fNIRS Subgroup (n = 14) |
|---|---|---|
| Age (years) | 14.30 (0.61) | 14.14 (0.36) |
| Height (m) | 1.61 (0.08) | 1.64 (0.05) |
| Weight (kg) | 60.64 (12.42) | 61.39 (14.52) |
| BMI (kg/m2) | 23.27 (4.44) | 22.74 (4.85) |
| Sex | M 9, F 18 | M 7, F 7 |
| Race (%) | ||
| White | 41% | 7% |
| Black | 4% | 7% |
| Hispanic | 52% | 57% |
| Asian | 4% | 7% |
2.3. Neurocognitive Assessments
2.4. Prefrontal Cortex (PFC) Activity
2.5. Statistical Analyses
3. Results and Discussion
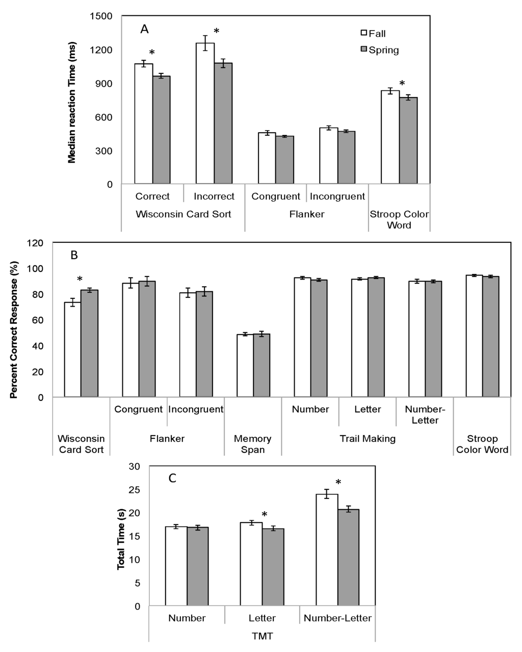
3.1. Neurocognitive Assessments
3.2. PFC Activity



4. Discussion
5. Conclusions
Acknowledgments
Author Contributions
Conflicts of Interest
References
- CDC. Adolescent and School Health. Available online: http://www.cdc.gov/healthyyouth/obesity/facts.htm (accessed on 28 September 2015).
- Biddle, S.J.; Asare, M. Physical activity and mental health in children and adolescents: A review of reviews. Br. J. Sports Med. 2011, 45, 886–895. [Google Scholar] [CrossRef] [PubMed]
- Wechsler, H.; Devereaux, R.S.; Davis, M.; Collins, J. Using the school environment to promote physical activity and healthy eating. Prev. Med. 2000, 31, S121–S137. [Google Scholar] [CrossRef]
- Dornhecker, M.; Blake, J.J.; Benden, M.; Zhao, H.; Wendel, M. The effect of stand-biased desks on academic engagement: An exploratory study. Int. J. Health Promot. Educ. 2015, 53, 271–280. [Google Scholar] [CrossRef]
- Benden, M.E.; Wendel, M.L.; Jeffrey, C.E.; Zhao, H.; Morales, M.L. Within-subjects analysis of the effects of a stand-biased classroom intervention on energy expenditure. J. Exerc. Physiol. Online 2012, 15, 9–19. [Google Scholar]
- Benden, M.E.; Zhao, H.; Jeffrey, C.E.; Wendel, M.L.; Blake, J.J. The evaluation of the impact of a stand-biased desk on energy expenditure and physical activity for elementary school students. Int. J. Environ. Res. Public Health 2014, 11, 9361–9375. [Google Scholar] [CrossRef] [PubMed]
- Blake, J.J.; Benden, M.E.; Wendel, M.L. Using stand/sit workstations in classrooms: Lessons learned from a pilot study in texas. J. Public Health Manag. Pract. 2012, 18, 412–415. [Google Scholar] [CrossRef] [PubMed]
- Koepp, G.A.; Snedden, B.J.; Flynn, L.; Puccinelli, D.; Huntsman, B.; Levine, J.A. Feasibility analysis of standing desks for sixth graders. ICAN 2012, 4, 89–92. [Google Scholar] [CrossRef]
- Pereira, E.A.; Green, A.L.; Nandi, D.; Aziz, T.Z. Deep brain stimulation: Indications and evidence. Expert Rev. Med. Devices 2007, 4, 591–603. [Google Scholar] [CrossRef] [PubMed]
- Davis, C.L.; Tomporowski, P.D.; McDowell, J.E.; Austin, B.P.; Miller, P.H.; Yanasak, N.E.; Allison, J.D.; Naglieri, J.A. Exercise improves executive function and achievement and alters brain activation in overweight children: A randomized, controlled trial. Health Psychol. 2011, 30, 91–98. [Google Scholar] [CrossRef] [PubMed]
- Tomporowski, P.D.; Davis, C.L.; Miller, P.H.; Naglieri, J.A. Exercise and children’s intelligence, cognition, and academic achievement. Educ. Psychol. Rev. 2008, 20, 111–131. [Google Scholar] [CrossRef] [PubMed]
- Tomprowski, P.D.; Ellis, N.R. Effects of exercise on cognitive processes: A review. Psychol. Bull. 1986, 99, 338–346. [Google Scholar] [CrossRef]
- Miyake, A.; Friedman, N.P.; Emerson, M.J.; Witzki, A.H.; Howerter, A.; Wager, T.D. The unity and diversity of executive functions and their contributions to complex “frontal lobe” tasks: A latent variable analysis. Cogn. Psychol. 2000, 41, 49–100. [Google Scholar] [CrossRef] [PubMed]
- D'Esposito, M.; Detre, J.A.; Alsop, D.C.; Shin, R.K.; Atlas, S.; Grossman, M. The neural basis of the central executive system of working memory. Nature 1995, 378, 279–281. [Google Scholar] [CrossRef] [PubMed]
- Vidrine, S.M. Analysis of Assessment and Hemodynamic Activation in the Prefrontal Cortex: An Investigation of Executive Function. Ph.D. Thesis, Texas A&M University, College Station, TX, USA, 1995. [Google Scholar]
- Carpenter, P.A.; Just, M.A.; Reichle, E.D. Working memory and executive function: Evidence from neuroimaging. Curr. Opin. Neurobiol. 2000, 10, 195–199. [Google Scholar] [CrossRef]
- Pennington, B.F.; Bennetto, L.; McAleer, O.; Roberts, R.J., Jr. Executive functions and working memory: Theoretical and measurement issues. In Attention, Memory, and Executive Function; Reid, L.G., Krasnegor, N.A., Eds.; Paul H Brookes Publishing: Baltimore, MD, USA, 1996. [Google Scholar]
- Koechlin, E.; Summerfield, C. An information theoretical approach to prefrontal executive function. Trends Cogn. Sci. 2007, 11, 229–235. [Google Scholar] [CrossRef] [PubMed]
- McMorris, T.; Sproule, J.; Turner, A.; Hale, B.J. Acute, intermediate intensity exercise, and speed and accuracy in working memory tasks: A meta-analytical comparison of effects. Physiol. Behav. 2011, 102, 421–428. [Google Scholar] [CrossRef] [PubMed]
- Coe, D.P.; Pivarnik, J.M.; Womack, C.J.; Reeves, M.J.; Malina, R.M. Effect of physical education and activity levels on academic achievement in children. Med. Sci. Sports Exerc. 2006, 38, 1515–1519. [Google Scholar] [CrossRef] [PubMed]
- Kamijo, K.; Nishihira, Y.; Hatta, A.; Kaneda, T.; Wasaka, T.; Kida, T.; Kuroiwa, K. Differential influences of exercise intensity on information processing in the central nervous system. Eur. J. Appl. Physiol. 2004, 92, 305–311. [Google Scholar] [CrossRef] [PubMed]
- Kamijo, K.; Pontifex, M.B.; O’Leary, K.C.; Scudder, M.R.; Wu, C.T.; Castelli, D.M.; Hillman, C.H. The effects of an afterschool physical activity program on working memory in preadolescent children. Dev. Sci. 2011, 14, 1046–1058. [Google Scholar] [CrossRef] [PubMed]
- Mueller, S.T.; Piper, B.J. The psychology experiment building language (pebl) and pebl test battery. J. Neurosci. Methods 2014, 222, 250–259. [Google Scholar] [CrossRef] [PubMed]
- Berg, E.A. A simple objective technique for measuring flexibility in thinking. J. Gen. Psychol. 1948, 39, 15–22. [Google Scholar] [CrossRef] [PubMed]
- Huizinga, M.; Dolan, C.V.; van der Molen, M.W. Age-related change in executive function: Developmental trends and a latent variable analysis. Neuropsychologia 2006, 44, 2017–2036. [Google Scholar] [CrossRef] [PubMed]
- Vel Grajewska, B.Ż.; Sim, E.-J.; Hoenig, K.; Herrnberger, B.; Kiefer, M. Mechanisms underlying flexible adaptation of cognitive control: Behavioral and neuroimaging evidence in a flanker task. Brain Res. 2011, 1421, 52–65. [Google Scholar] [CrossRef] [PubMed]
- Dempster, F.N. Memory span: Sources of individual and developmental differences. Psychol. Bull. 1981, 89, 63–100. [Google Scholar] [CrossRef]
- Stroop, J.R. Studies of interference in serial verbal reactions. J. Exp. Psychol. 1935, 18, 643–662. [Google Scholar] [CrossRef]
- Reitan, R.M. Trail Making Test: Manual for Administration and Scoring; Reitan Neuropsychology Laboratory: Tucson, AZ, USA, 1992. [Google Scholar]
- Shibuya-Tayoshi, S.; Sumitani, S.; Kikuchi, K.; Tanaka, T.; Tayoshi, S.; Ueno, S.I.; Ohmori, T. Activation of the prefrontal cortex during the trail-making test detected with multichannel near-infrared spectroscopy. Psychiatry Clin. Neurosci. 2007, 61, 616–621. [Google Scholar] [CrossRef] [PubMed]
- Bartocci, M.; Winberg, J.; Papendieck, G.; Mustica, T.; Serra, G.; Lagercrantz, H. Cerebral hemodynamic response to unpleasant odors in the preterm newborn measured by near-infrared spectroscopy. Pediatr. Res. 2001, 50, 324–330. [Google Scholar] [CrossRef] [PubMed]
- Hoshi, Y.; Tamura, M. Detection of dynamic changes in cerebral oxygenation coupled to neuronal function during mental work in man. Neurosci. Lett. 1993, 150, 5–8. [Google Scholar] [CrossRef]
- Tomporowski, P.D. Effects of acute bouts of exercise on cognition. Acta Psychol. 2003, 112, 297–324. [Google Scholar] [CrossRef]
- Pennington, B.F.; Ozonoff, S. Executive functions and developmental psychopathology. J. Child Psychol. Psychiatry 1996, 37, 51–87. [Google Scholar] [CrossRef] [PubMed]
© 2015 by the authors; licensee MDPI, Basel, Switzerland. This article is an open access article distributed under the terms and conditions of the Creative Commons by Attribution (CC-BY) license (http://creativecommons.org/licenses/by/4.0/).
Share and Cite
Mehta, R.K.; Shortz, A.E.; Benden, M.E. Standing Up for Learning: A Pilot Investigation on the Neurocognitive Benefits of Stand-Biased School Desks. Int. J. Environ. Res. Public Health 2016, 13, 59. https://doi.org/10.3390/ijerph13010059
Mehta RK, Shortz AE, Benden ME. Standing Up for Learning: A Pilot Investigation on the Neurocognitive Benefits of Stand-Biased School Desks. International Journal of Environmental Research and Public Health. 2016; 13(1):59. https://doi.org/10.3390/ijerph13010059
Chicago/Turabian StyleMehta, Ranjana K., Ashley E. Shortz, and Mark E. Benden. 2016. "Standing Up for Learning: A Pilot Investigation on the Neurocognitive Benefits of Stand-Biased School Desks" International Journal of Environmental Research and Public Health 13, no. 1: 59. https://doi.org/10.3390/ijerph13010059
APA StyleMehta, R. K., Shortz, A. E., & Benden, M. E. (2016). Standing Up for Learning: A Pilot Investigation on the Neurocognitive Benefits of Stand-Biased School Desks. International Journal of Environmental Research and Public Health, 13(1), 59. https://doi.org/10.3390/ijerph13010059

