Abstract
Triclosan (TCS) is a multi-purpose antimicrobial agent used as a common ingredient in everyday household personal care and consumer products. The expanded use of TCS provides a number of pathways for the compound to enter the environment and it has been detected in sewage treatment plant effluents; surface; ground and drinking water. The physico-chemical properties indicate the bioaccumulation and persistence potential of TCS in the environment. Hence, there is an increasing concern about the presence of TCS in the environment and its potential negative effects on human and animal health. Nevertheless, scarce monitoring data could be one reason for not prioritizing TCS as emerging contaminant. Conventional water and wastewater treatment processes are unable to completely remove the TCS and even form toxic intermediates. Considering the worldwide application of personal care products containing TCS and inefficient removal and its toxic effects on aquatic organisms, the compound should be considered on the priority list of emerging contaminants and its utilization in all products should be regulated.
1. Introduction
Triclosan (TCS, 5-chloro-2-(2,4-dichlorophenoxy) phenol) is a synthetic, broad-spectrum antimicrobial agent. It has antibiotic and antimycotic properties [1]. Triclosan also blocks fatty acid synthesis by inhibiting enoyl reductase enzyme. TCS is categorized as a halogenated aromatic hydrocarbon having phenolic, diphenyl ether and polychlorinated biphenyl (PCB) substructures [2]. Its chemical structure is a halogenated biphenyl ether which confers it chemical properties related to many toxic compounds such as PCBs, polybrominated diphenyl ethers, bispenol A and dioxins [3].
The worldwide annual production of TCS in 1998 was approximately 1500 tonnes, out of which about 350 tonnes and more than 450 tonnes were utilized in Europe and USA, respectively [4,5]. The main release of TCS into the environment is due to personal care products containing around 0.1% to 0.3% (w/w) TCS [6,7]. Such products are externally applied to the human body, thus TCS is generally not subjected to metabolic alteration. Moreover, it is usually released into the domestic wastewater, thus ending up in local wastewater treatment plants (WWTP). Poor solubility and high adsorption of TCS to solids results in its removal from WWTP effluent up to 99%. [8,9]. The high log Kow value of 4.76 for TCS suggests high sorption potential and it adsorbs onto the settled sewage sludge [10,11] which may be amended to agricultural soils [12,13]. Thus, the most important sources of TCS in the environment are use of biosolids as agro-fertilizers [14]. The chemical properties of TCS suggest its possible bioaccumulation and further environmental persistence (Table 1).
Currently, TCS and its degraded byproducts are found throughout the environment, including soil, surface waters, and human breast milk [14,15,16,17,18]. The continuous detection of TCS and its degradation products has led to debate on safety, effectiveness and regulation of TCS usage. Various studies shed light on the emerging health concerns related to the use of TCS, such as microbial resistance, dermal irritations, endocrine disruption, higher incidence of allergies, altered thyroid hormone metabolism and tumors development due to TCS and its by-products [19,20,21]. Unlike other emerging contaminants (ECs), such as organochlorine compounds, pharmaceutically active compounds (PhACs) and endocrine disrupting compounds (EDCs), TCS is not considered as a chemical pollutant with high priority concerns. Low acute toxicity and assumption of not to show chronic side effects, TCS usage is not well regulated [22,23]. This leads to widespread use of TCS in various household products, thus causing an increase in TCS concentration in the aquatic and terrestrial environment.
Table 1.
General properties of TCS.
| CAS No. | 3380-34-5 |
|---|---|
| Structure | ![]() |
| Molecular formula | C12H7Cl3O2 |
| Trade name | Irgasan DP 300, FAT 80′023, CH 3565, GP41-353, Irgacare MP (the pharmaceutical grade of TCS, >99% pure) and Ster-Zac |
| General classification | Non-prescription compound |
| Possible use | Antimicrobial, antiseptic and disinfectant |
| Nature | Hydrophobic |
| Molecular weight | 289.54 |
| Dissociation constant (pKa) (20 °C) | 8.14 |
| Henry constant (Hc) (atm mol−1·m−3) | 1.5 × 10−7 (25 °C) |
| Octanol-water Partition coefficient (log Kow) | 4.76 |
| Sorption coefficient (Koc) | 18408 |
| Solubility | 12 mg·L−1 (25 °C) |
| Vapor pressure | 5.2 × 10−6 Pa (mm Hg at 20 °C) |
| Bioconcentration factor (BCF)- | 2.7–90 (aquatic organisms) |
| Photodegradation (half-life in aqueous solution) | 41 min |
| Biodegradation (half-life in aerobic soil) | 18 days |
| Biodegradation (anaerobic condition) | No degradation within 70 days |
| Degradation products of TCS | Methyl TCS, dioxins, chlorophenols, chloroform |
Similar antimicrobial activity of TCS to antibiotics and its toxicity data demand regular monitoring of its concentration in the environment, along with its safe and regulated use in the consumer products. This article provides a comprehensive literature review on TCS, its occurrence in wastewaters, biosolids, aquatic and terrestrial environment, its removal potential, toxicity levels in humans, wildlife and other aquatic organisms, its bioaccumulation potential and intermediate products. The review also addresses the research gaps in concerns related to long term exposure to TCS.
2. Physico-Chemical Properties of TCS Affecting Removal
The removal of organic substances, such as TCS after release into environment depends on various physico-chemical properties of the compound. For instance, the sorption of organic compounds on sludge during wastewater treatment processes plays an important role. Depending on their log Kow values, the hydrophobic substances may adsorb onto settled sludge during primary sedimentation step in WWTP. The different physico-chemical characteristics of TCS governing its removal efficiency in conventional activated sludge treatment plants are given in Table 2. As evident from Table 2, the adsorption potential of TCS is high due to a high log Kow. The high Kow value of TCS is also indicator of its bioaccumulation potential. Another important property governing the removal of organic substances is their volatility. Triclosan is also non-volatile (5.3 × 10−4 Pa at 20 °C) and is moderately soluble in water (10 mg·L−1 at 20 °C). Moreover, it does not hydrolyze easily [24]. Normally, the substances with a Henry’s constant (Hc) ≥ 10−3 atm·mol−1·m−3 will easily be removed by volatilization. Hence, the volatilization losses of specific substances during wastewater treatment can be predicted based on Henry’s constant value and Hc/Log Kow ratio [11].
Table 2.
Removal potential of TCS during wastewater treatment process depending on different physico-chemical properties.
| Physico-Chemical Property | Removal Potential of TCS |
|---|---|
| Adsorption potential | |
| Log Kow ≤ 2.5 | Low sorption potential |
| 2.5 < Log Kow < 4 | Medium sorption potential |
| Log Kow ≤ 4 | High sorption potentialTCS |
| Volatilization potential | |
| Hc > 1 × 104 and Hc/Log Kow >1 × 109 | High volatization potential |
| Hc < 1 × 104 and Hc/Log Kow <1 × 109 | Low volatization potentialTCS |
The removal potential of TCS is given with a superscript; Hc/Log Kow ratio of TCS is 8.67 × 1014.
TCS is a chlorinated phenoxyphenol with a pKa of 8.1 and is photodegradable into its photostable phenolate form (Figure 1). The phenolate-triclosan predominates when the natural water pH > 8.1 and it converts into its neutral phenolic form if the water pH is below 7.9. In addition to pH, co-occurrence of dissolved compounds such as metals and organic matter may possibly affect photosensitivity of TCS [24]. Hence, the complex matrix of wastewater affects the efficiency of photodegradation of TCS in WWTP [25].
3. Current Scenario of TCS Use and Safety
Generally, TCS comes in the form of white powder. TCS has a weak aromatic, phenolic scent as it is a chlorinated aromatic compound. Ever since its invention, TCS has been widely used in numerous consumer products as illustrated in Figure 2 [6,8,10,12,26]. It is used as an active ingredient in dental products since 1980s in Europe and the mid-1990s in the United States after approval by the Food and Drug Administration [27]. More specifically, TCS is used in numerous personal care products, such as toothpastes, antibacterial soaps (bars and liquids), dishwashing liquids, deodorant soaps (bars and liquids), cosmetic and antiseptic products, and antiperspirants/deodorants [28]. Triclosan is also used in other consumer products, such as kitchen utensils, toys, bedding, clothes, fabrics, and trash bags.
Figure 1.
Molecular structures of TCS and its environmental transformation product, methyl-TCS.
Figure 1.
Molecular structures of TCS and its environmental transformation product, methyl-TCS.

Figure 2.
Various applications of triclosan.
Figure 2.
Various applications of triclosan.

The concentration of TCS recommended by various government agencies to be used in various consumer products is given in Table 3. In 1989, the European Community Cosmetic Directive approved TCS usage as a preservative in cosmetics and toiletries up to 0.3% [28]. According to FDA, up to 0.3% TCS is permitted in toothpaste [29]. Similarly, as per the National Library of Medicine’s Household Product Database, TCS concentrations were reported to range from 0.1% to 0.3% in liquid hand soaps [30].
Table 3.
Recommended levels of TCS in various consumer products (Adapted from [25].
| Type of TCS-Based Product | TCS Concentration (%) | Reference |
|---|---|---|
| Oral care products | ||
| Toothpaste | 0.3 | [29] |
| Mouth wash solutions | 0.03 | [31] |
| Dermally applied products (rinse off) | ||
| Skin cleansers | 0.3 | [28] |
| Liquid hand soap | 0.1–0.45 | [32] |
| Dishwashing detergent | 0.1 | [30] |
| Dermally applied products (leave on) | ||
| Body lotion | 0.3 | [28] |
| Facial Moisturizer | 0.3 | [28] |
| Deodorant/antiperspirants | 0.3 | [28] |
According to the FDA monograph for health care antiseptic drug products, which covered antibacterial soap products containing TCS, the recommended limits are up to 1% TCS for use in antiseptic washes and surgical hand scrubs in health care settings [33]. According to Governmental regulations in the European Union (EU) and the United States, only specified amount of triclosan can be used in some cosmetic and PCPs.
TCS possesses a broad range of antimicrobial activity that encompasses several, types of non-sporulating bacteria and a few fungi, such as Plasmodium falciparum and Toxoplasma gondii [19,34]. At low concentrations, TCS inhibits the growth of microorganisms; at higher concentrations, it kills microorganisms. Different microorganisms show varied response to TCS as provided in Table 4. Triclosan blocks the active site of enoyl-acyl carrier protein reductase enzyme (ENR) thus impairing the production of bacterial lipids [35]. In consequence, cell membranes are not properly produced and bacterial proliferation stops. Therefore, only a small TCS dose is required to inhibit bacterial growth. As humans lack ENR enzyme, TCS has been considered harmless to them.
Studies carried out by FDA found that TCS-fluoride paste prevented tooth deformities, such as gingivitis, tartar and plaque in a way that was superior to fluoride-only toothpastes. Over the last 30 years, TCS has also been successfully used as an antimicrobial agent in hospitals and for other biomedical purposes. The successful control of methicillin-resistant Staphylococcus aureus (MRSA) outbreaks in several clinical settings using TCS based products [36,37]. This led to the recommendation of showering/bathing with 2% TCS for the decolonization of patients whose skin is carrying MRSA [38]. However, susceptibility of MRSA strains to TCS has changed little over the last decade [39]. Later on there has been no relation found between TCS response in MRSA and other strains of S. aureus and antibiotic susceptibility or resistance [40].
Table 4.
Different microorganisms affected by the antimicrobial action of TCS.
| Target Microorganisms | Effective Concentrations | Reference |
|---|---|---|
| Most sensitive strains | ||
| Staphylococci, some Streptococci, some mycobacteria, Escherichia coli, Klebsiella pneumonia, Klebsiella spp., Enterobacter spp., Acinetobacter spp., Proteus spp. and Proteus mirabilis, Plasmodium falciparum, Toxoplasma gondii | 0.01 mg·L−1 to 0.1 mg·L−1 | [33] [19] |
| Less sensitive strains | ||
| Methicillin-resistant Staphylococcus aureus (MRSA) strains | 0.1–2 mg·L−1 | [40,142] |
| Enterococci | - | [49] |
| Highly resistant strains | ||
| Pseudomonas aeruginosa, Clostridium difficile | - | [49,143] |
The American Medical Association (AMA) has raised concerns about the use of TCS and some other antimicrobial agents in consumer products [41]. The AMA has encouraged the FDA to study the issue on the safety and effectiveness of antimicrobials including TCS. The progress of the current FDA evaluation will be monitored by the AMA on regular basis. The AMA also indicated that further research is required on the introduction of antimicrobials in massive consumer products. In 2009, the American Public Health Association (APHA) proposed that it would recommend the banning of TCS for household and non-medical uses. However, no further action has been taken as yet. Regardless of current efforts to review and regulate the proper use of TCS, a scientific debate lingers on its potential adverse impact on human health, environment and potential association to microbial resistance.
4. Emergence of Microbial Resistance to TCS
The overuse of anti-microbial products may lead to increased resistance among bacteria. Considering the published studies, there is a dilemma whether TCS does or does not encourage the development of antibiotic resistance. Triclosan-resistant bacteria can be produced readily by their in vitro exposure to increasing TCS quantities and the consequent development of resistant colonies [42].
The mechanism of microbial resistance to TCS has been described by various researchers [43,44]. According to the authors, the resistance can be attributed to: (1) overproduction of targets/amplification or; (2) modification of target. Gomez-Escalda et al. [45] found that a combination of membrane impermeability and efflux were responsible for the increased insusceptibility of E. coli isolates to TCS. Various studies demonstrated the development of microbial resistance following exposure to TCS [44,46,47]. Reiss et al. [48] described the induction of expression of an efflux pump in P. aeruginosa following TCS exposure, resulting in high-level resistance to TCS and the antibiotic, ciprofloxacin. In E. coli, resistance can be attributed to either overexpression of the TCS target enzyme enoyl reductase or to changes in cellular permeability [49]. The most resistant bacteria have slow growth rate as compared to sensitive bacteria. On the contrary, E. coli resistant to TCS actually possess enhanced growth rates. The intrinsic resistance of P. aeruginosa to TCS can be attributed to: (1) a non-susceptible enoyl reductase; (2) an outer membrane permeability barrier or; (3) pumping of the drug from the cell interior to its exterior [50]. The latter has been stated as the major reason for TCS insusceptibility [51,52] in P. aeruginosa. MRSA strains, meanwhile, may or may not show decreased sensitivity to triclosan [50,53]. Study conducted by Fan et al. [54] demonstrated that all S. aureus strains with decreased sensitivity overproduced the enzyme Fab I by 3–5 fold and moreover, mutations in Fab I were found in the most resistant strains.
Major concern is that the mode of action of TCS and its target site in the microbes is similar to antibiotics. The enzymes enoyl reductase (product of Fab I among Gram-positive and Gram-negative bacteria and Inh A in Mycobacterium e.g., M. smegmatic and M. tuberculosis) involved in fatty acid biosynthesis are the targets for a number of structurally unrelated drugs, including TCS. For instance, isoniazid an antibiotic used to treat tuberculosis that targets the same enzyme system [55]. Thus, TCs belongs to the group of drugs, such as isoniazid (tuberculosis) and diazoborine (experimental antibiotic) which target the enzyme enoyl reductase. Hence, a mutation in the enzyme may lead to resistance to TCS and these drugs. The overuse of TCS may result in the development of cross-resistance to antibiotics, and thereby the emergence of bacterial strains resistant to both TCS and antibiotics [56].
The laboratory studies play an important role in evaluating mechanisms of action and resistance to biocides, including TCS. These studies are mostly related to a wide range of medical applications [49,57]. Various researchers have purported to demonstrate a correlation between the use of biocides including TCS and antibiotic resistance [55,58,59]. On the contrary, few authors advocated that TCS use should be regulated as all other biocides [8,60]. There was no relationship found between TCS application and antibiotic tolerance in methicillin-resistant Staphylococcus aureus and P. aeruginosa during a 10 year study conducted by [32]. Marshall et al. [61] reported no differences in overall titers of bacteria or frequencies of antibiotic resistance in a snap-shot investigation among homes using or not using bactericide products. Similarly, a comprehensive study by Cole et al. [62] found no relationship between the use of biocides including TCS and antibiotic resistance in homes with use/no use of biocidal agents.
There was a concern that the use of TCS in dental hygiene products results in the development of TCS-resistant bacteria that are less sensible to common antibiotics. In view of this, an expert panel review concluded that there was no evidence of resistance development in the opportunistic or pathogenic microorganisms following the exposure to TCS [63]. The interim use of TCS containing dental hygienic products does not affect the stable microflora of the mouth or changes the susceptibility of Streptococci to antibiotics. However, chronic exposure to TCS demonstrated less significant decrease in antibiotic susceptibility in dental bacteria [64]. Usually, the introduction of bacteriostatic compounds to hinder plaque growth is seen as necessary [65]. Although TCS resistance in laboratory experiments may be linked with changes in antibiotic susceptibility, but comprehensive environmental investigations have not yet clearly established any relationship between TCS usage and antibiotic resistance. It is now well known that laboratory findings do not always apply in the real world environment [42].
In general, bacterial resistance to disinfectants is not a new phenomenon. The phenomenon of decreased susceptibility to various disinfectants was being described over a century ago by various researchers as thoroughly reviewed by Russell, [66], before the introduction of TCS. The study conducted by Tan et al. [67] indicated that resistance to TCS and other biocides is increasing. This conclusion was generally based upon minimum inhibitory concentrations (MIC) in laboratory experiments rather than bactericidal estimations. There might not be a correlation between a poor rate of kill and sensitivity at MIC level [49]. The use of MIC investigation to study emerging bacterial resistance is important as it can indicate a trend towards some resistance properties [40,68]. As resistance develops in a step-wise manner, it is judicious to conserve use and continued surveillance of susceptibility to antimicrobials.
5. Toxicity of TCS
Triclosan possesses broad-spectrum antimicrobial action and has been classified as a Class III drug (compounds with high solubility and low permeability) by FDA [69]. Due to environmental concerns, TCS was declared as Priority Existing Chemical for full assessment under the Industrial Chemicals (Notification and Assessment) Act, 1989 (the Act) in the Chemical Gazette of 6 May 2003 [70]. Some signs of it have been already reported as TCS was not only found in WWTPs, but even in urine, plasma and breast milk in humans [20,71,72]. Studies have thus yielded contradictory findings regarding links between TCS and adverse health impacts in humans and animals.
5.1. Toxicity in Humans
Absorption, distribution, metabolism and excretion are rapid in the case of TCS in human body. TCS is metabolized to glucuronide and sulfate conjugates (phase II metabolism) and are primarily excreted via urine. These hydrophilic conjugates of TCS limit the bioaccumulation of TCS. Some studies indicated that TCS is comparatively non-toxic to humans and other mammals. Conversely, studies indicated that TCS exposure resulted in contact dermatitis, or skin irritation [73]. A photo-allergic dermatitis (PACD) reaction can be triggered when the skin comes in contact with TCS and is further exposed to sunlight [74]. PACD can result in symptoms, such as eczematous rash on the body parts with combined TCS and sunlight exposure. According to the claims made by various manufacturers of TCS-containing toothpaste and soaps, the active ingredient continues to work even up to 12 h after use. This prolonged exposure to TCS in turn increases the risk of PACD.
Triclosan has been found in urine, plasma, and breast milk of humans [16,20,75,76], but typically without attribution to specific sources of TCS exposure. High levels of TCS were found in 60% of human milk samples indicating the absorption potential of TCS into the body [15]. According to National Health and Nutrition Examination Survey (NHANES) data collected during 2003–2004, TCS was found in 75% of the analyzed urine samples [76,77]. The urinary data were collected for adult men and women and children between the ages of 6 and 11. NHANES is an ongoing annual survey conducted since 1999 by the US Centers for Disease Control and Prevention (CDC) aimed to collect data on selected chemicals, including TCS. This data is used to evaluate the nutrition quality and general health of the US population. Moreover, due to lipophilic nature of TCS, it may bioaccumulate in fatty tissues. Nevertheless, no study until date has established the carcinogenic, mutagenic, or teratogenic effects of TCS.
Another area of concern is related to the hypothesis that TCS augments the production of chloroform. A study carried out by Fiss et al. [78] described that TCS may involve in the generation of chloroform, under certain conditions can almost double the chloroform formation in the drinking water treated with chlorine. On the contrary, studies [79] showed that there was no production of measurable quantities of chloroform within a normal tooth-brush when using toothpaste containing TCS and normal chlorinated drinking water. According to US EPA classification, chloroform is a possible human carcinogen. As a consequence, there was a campaign in UK underlining the potential of TCS to cause cancer, although Hao et al. studies [79] revealed that the amount of chloroform generated was lower in volume. Meanwhile, TCS in household dishwashing soaps reacts with chlorinated H2O to produce significant quantities of chloroform, a probable human carcinogen [80].
5.2. Toxicity in Animals and Other Organisms
The toxic effects of TCS were also studied in various animal models. For instance, its negative effect on the metabolism of thyroidal hormones causes hypothermia and an overall depression of the central nervous system (CNS) of mice [81]. The exposure to 0.03 mg·L−1 TCS was associated with induction of the expression of the metamorphic genes in tadpoles, which induced their premature metamorphosis [82]. Similarly, the study carried out by Kumar et al. [83] interrelated TCS exposure with decreased sperm production in male rats. The authors proposed the hypothesis that TCS blocks the metabolism of thyroid hormone as it presents a structure similar to the thyroidal hormone in regards to the binding of the specific receptors. Later, the endogenous hormones cannot bind to the occupied receptors.
Its close structure resemblance to certain estrogens triggered masculinization of secondary characters in rice fishes [84]. A recent study by James et al. [85] pointed out that TCS can inhibit the estrogen sulfotransferase activity in sheep placenta which would cause negative effects in the fetus development. Although toxicity reports in humans from chronic usage of PCPs containing TCS as an active ingredient are not available, still it has been widely studied in laboratory animals. During chronic oncogenicity studies in mice, rats, and hamsters, treatment-related tumors were found only in the liver of male and female mice [23]. Application of the human relevance framework advocated that these tumors arose due to a mode of action which is not considered to be pertinent to humans [23]. However, Yueh et al. [86] found that long term exposure to TCS in mice enhances hepatocellular carcinoma. This mechanism of TCS induced liver carcinoma in mice and it should be evaluated as these findings strongly support the relevance of TCS toxicity to humans.
Studies have also demonstrated that TCS accumulates in mice tissue with bioaccumulation factors of 3700–8400 [87]. This data indicates that fish contains concentrations thousands of fold higher than those found in the water column. Moreover, the bacterial transformation product of TCS in wastewater, methyl TCS is relatively lipophilic and stable in the environment, making it more likely to bioaccumulate in fatty tissue and will not photodegrade [88]. The lipid-based concentrations of methyl TCS detected in fish were considerably higher than the concentrations in lake water, indicating significant bioaccumulation of the compound. For aquatic organisms, the potential uptake mechanisms of lipophilic contaminants are direct uptake from water through exposed surfaces, mainly gills (bioconcentration), and also through the consumption of food (biomagnification) [21]. James et al. [89] demonstrated that demethylation of methyl TCS was slower than TCS conjugation in cattle fish. The bioaccumulation and slow conversion of methyl TCS in lower level consumers could serve as potential carriers of triclosan from the environment to higher level consumers in food chain.
The structure and the function of algal communities in ecosystems receiving treated wastewater effluent may be affected by TCS contaminated wastewaters [90]. These alterations may result in shifts in nutrient processing capacity and natural food web structure of these streams. TCS was also identified as the responsible key pollutant for the observed effects on growth of the green algae, Scenedesmus valuolatus under realistic exposure conditions [91]. Various studies investigated the toxicity of TCS on higher aquatic organisms [92,93,94,95]. Acute toxicity values ranged from 1.4 to 3000 μg·L−1 with EC50 values for crustaceans (Daphnia magna mortality at 390 μg·L−1), insects (Chironomus tentans survival at 3000 μg·L−1), fish (Pimephales promelas mortality at 260 μg·L−1), higher plants (Lemna gibba growth inhibition at 62.5 μg·L−1) and microalgal species (Scenedesmus subspicatus growth inhibition at 1.4 μg·L−1, Skeletonema sp. at 66 μg·L−1). Moreover, the standard test organism, Selenastrum capricornutum (growth inhibition at 4.7 μg·L−1) was reported to be 30-fold more sensitive to TCS than the bacterium Vibrio fischeri (bioluminescence inhibition at 150 μg·L−1) [96]. The microalgae were found to be the most sensitive organism to TCS [92,94,97]. With the increasing concentrations of TCS in the environment, bacterial strains are more likely to adapt by developing resistance [59]. TCS has various important medical applications, thus the future goal must be to retain these important applications while eliminating the unnecessary ones for its safe use.
All toxicity studies on TCS highlight the risks and suggest ban on TCS usage. In consequence, the FDA proposed, for comprehensive assessment of TCS toxicity on human health and animals, to regulate its further usage in consumer products until more information is available. Even though this proposal does not include environmental fate of TCS, this factor should be included in complete profiling of any chemical introduced into consumer products. In this sense, in 2010, more than 80 organizations petitioned EPA to ban TCS usage beyond pesticides. Minnesota has banned sale of any cleaning product (soaps) that contains triclosan on 16 May 2014. This ban makes the most manufacturers to phase out triclosan until early 2017. In 2013, FDA announced that final action on TCS usage in soaps will be taken by 2016 across the world. To complete the North American scenario, in Canada, approximately 1730 products including personal care products, cosmetics and health products containing triclosan were reported in 2011. Some reports indicate that triclosan would be a wide ranging contaminant in Canada. Therefore, from 2015 on, Health Canada is in the process to ban TCS.
6. Occurrence of TCS in Aquatic and Terrestrial Environment
Incomplete removal of TCS from WWTPs and the applications of TCS laden biosolids into agricultural soils, leads to TCS being distributed in aquatic and terrestrial environment. Table 5 shows the prevalence of TCS in different environmental compartments worldwide. Environmental concentrations of TCS varied with surface water type (lake/river/streams with known input of raw wastewater) ranging from 1.4–40,000 ng·L−1; sea water <0.001–100 ng·L−1; sediment (lake/river/other surface water) <100–53,000 μg·kg−1 dry weight (dw); sediment (marine) 0.02–35 μg·kg−1 dw; wastewater influent 20–86,161 ng·L−1; wastewater effluent 23–5370 ng·L−1; biosolids from WWTP 20–133,000 μg·kg−1 dw; activated/digested sludge 580–15,600 μg·kg−1 dw; pore water 0.201–328.8 μg·L−1 [96].
Triclosan is commonly detected in aquatic and terrestrial environments [14,98,99]. TCS is generally dumped through consumer products [100] and finally finds its way into the WWTPs. The occurrence of TCS along with other organic contaminants has been reported in Canadian municipal sewage sludge and biosolids [17,101,102]. TCS has also been identified in drinking water in certain geographical regions [103,104]. The degradation product of TCS, methyl TCS (12 μg·L−1) was found in one of the 22 drinking water samples from Barcelona [105]. Although WWTPs are generally highly effective in removing TCS, a small percentage of the antimicrobial is usually discharged with effluent into receiving waters. Thus, the two main sources of TCS release into the environment are: (1) discharge of WWTP effluent into receiving waters; and (2) land application of biosolids containing residues of the antimicrobial.
The efficiency of WWTP for TCS removal has been observed with an average median removal efficiency of 90% [106,107]. TCS was found to be readily degraded under aerobic conditions but was observed to be resistant to degradation under anaerobic conditions [12]. The results of the field measurements from a Swiss WWTP have indicated that during the elimination process: 79% of TCS was biologically degraded, 15% was sorbed to sludge and 6% left the plant in the final effluent at a concentration of 42 ng·L−1 [6]. These results are in concordance with studies conducted at various WWTPs in Germany, where 4%–10% of TCS remained dissolved in effluent [10]. Mostly, WWTP influent concentrations of the TCS range from 1.86 to 26.8 μg·L−1 with effluent concentrations ranging from 0.027 to 2.7 μg·L−1 [14,108,109]. Despite the high removal rates reported for TCS, Yang et al. [110] studies identified the formation of toxic byproducts during oxidation of TCS.
Table 5.
TCS sourcing in some of the prominent environmental compartments worldwide.
| Source | Sampling Source | Country | Concentration of TCS | Reference |
|---|---|---|---|---|
| Surface waters | Natural streams/rivers | USA | Up to 2.3 μg·L−1 | [88,108] |
| Switzerland | 0.074 μg·L−1 | [111] | ||
| Germany | 0.01 μg·L−1 | [4] | ||
| Australia | 0.075 μg·L−1 | [112] | ||
| Japan China | 0.0006–0.0059 μg·L−1 0.011–0.478 μg·L−1 | [144] [113] | ||
| Streams with inputs of raw wastewater | Switzerland | 0.011–0.098 μg·L−1 | [6] | |
| USA | 1.6 μg·L−1 | [5] | ||
| Estuarine waters | USA | 0.0075 μg·L−1 | [143] | |
| Sediment | Fresh water | Switzerland | 53 μg·kg−1 | [6] |
| Spain | 35.7 μg·kg−1 | [122] | ||
| Estuarine | USA | 800 μg·kg−1 | [117] | |
| Marine River water | Spain China | 0.27–130.7 μg·kg−1 50–1330 μg·kg−1 | [145] [114] |
During 1999 to 2000, US Geological Survey detected TCS in 57.6% of streams and rivers sampled, at concentrations ranging from below the detection limit up to 2.3 μg·L−1 [88]. In addition, due to the partial removal efficiency of WWTPs in effluent, TCS exhibits a tendency to accumulate and persist in biosolids. According to an assessment, up to 50% of TCS in WWTP influent will remain in biosolids in WWTPs even after activated sludge treatment in combination with anaerobic biosolids digestion [14,107,114]. The concentrations of TCS in aquatic environment is governed by various factors, such as the TCS load in effluent, physical and chemical properties of TCS, characteristics of the aquatic ecosystem (pH, sediment density and organic matter content, water flow and velocity, depth), and even season and intensity of sunlight [99,100,115]. Despite the recent ban on addition of triclosan in daily use products, lower efficiency of WWTP to degrade it results in its accumulation in biosolids and hence release into the environment. The highest concentration detected 40,000 ng·L−1 are still half of the lowest-observed-effect concentration reported for some fishes. However, taking into account that triclosan is in use since only few years and its derivatives are much toxic and very persistent, the regulations reducing its use seem to be the most accurate decision to prevent environmental consequences.
7. Degradation of TCS
Table 6 provides the concentrations of TCS detected in different organisms. This antimicrobial compound has demonstrated a tendency for bioaccumulation in aquatic species [116] and it can persist in aquatic ecosystems for extended periods of time. TCS prevalence in environment mandates monitoring in surface water. Triclosan has been detected in 30-year-old sediment from Greifensee Lake in Switzerland [6]. This study provided evidence of the persistence of TCS in sediment and unravels the pattern of TCS usage.
Table 6.
Detected concentrations of TCS in different organisms.
| Organisms | Species/Sample Type | Sampling Site | TCS (μg·kg−1) | Reference |
|---|---|---|---|---|
| Algae | Filamentous algae (Cladophora spp.)/Whole organism | Receiving stream for the city of Denton (TX, USA) WWTP | (1) 100–150
(2) 50–400 | [146] [144] |
| Invertebrates | Freshwater snails (Helisoma trivolvis)/Muscle | Receiving stream for the city of Denton (TX, USA) WWTP | 50–300 | [144] |
| Vertebrates | Rainbow trout (Oncorhynchus mykiss)/Bile | (1) Upstream from WWTP, Sweden (caged);
(2) downstream 2 km from WWTP (caged) | (1) 710
(2) 17,000 | [20] |
| Breams, male (Abramis brama) (1) Bile (2) Muscle | (1) River sites (Netherlands)
(2) River sites (Germany) | (1) 14,000–80,000
(2) 0.25–3.4 | [147] [148] | |
| Pelagic fish/Plasma | Detroit River (USA) | 0.75–10 | [149] | |
| Atlantic bottlenose dolphins ( Tursiops truncates)/Plasma | (1) Estuary, South Carolina
(2) Estuary, Florida | (1) 0.12–0.27
(2) 0.025–0.11 | [150] | |
| Killer whale (Orcinus orca)/Plasma | Vancouver Aquarium Marine Science Centre | 9.0 | [150] |
Triclosan concentrations in sediment increased between the early 1960s after its introduction until the mid-1970s, reflecting steadily increased patterns of its use. Later, an opposite trend was observed from the mid-1970s until the early 1980s, during which period, an additional secondary treatment step was introduced into most WWTPs. However, due to the popularity and increased use of TCS, again from the early 1980s, increase in TCS concentrations was observed until the present time [6]. Nevertheless, the quite high amount of TCS present in the 30-year old sediment layer from 1970 to 1971 showed that TCS degradation was very slow in the sediment. [117] also reported similar time line profile for TCS spanning last 40 years for estuarine sediments in the USA. The environmental persistence of TCS in sediments indicates the fact that antimicrobial compounds can partition into the sediments and resist degradation processes under anaerobic conditions. Moreover, sediments are the final sink of the aquatic environment and the retention of TCS in this matrix would be precarious as there are eventual possibilities of being released back into the aquatic environment by bioturbation caused by organisms or through human dredging [118,119].Although TCS possesses high chemical stability and it is extremely resistant to high and low pH, it is found to be readily degraded in the environment through photodegradation. In laboratory samples, researchers have identified eight sub-products of this photochemical process [120,121,122,123,124,125,126]. Under laboratory conditions, Latch et al. [21] observed TCS photoconversion to 2,8-DCDD with a yield of up to 12% at pH > 8 using different irradiation wavelengths. Authors compared the formation of 2,8-DCDD yield under laboratory conditions (purified water) with the river water spiked with the TCS. Comparable results between laboratory and realistic conditions confirmed that TCS was able to convert into 2,8-DCDD in sunlight-irradiated water sources.
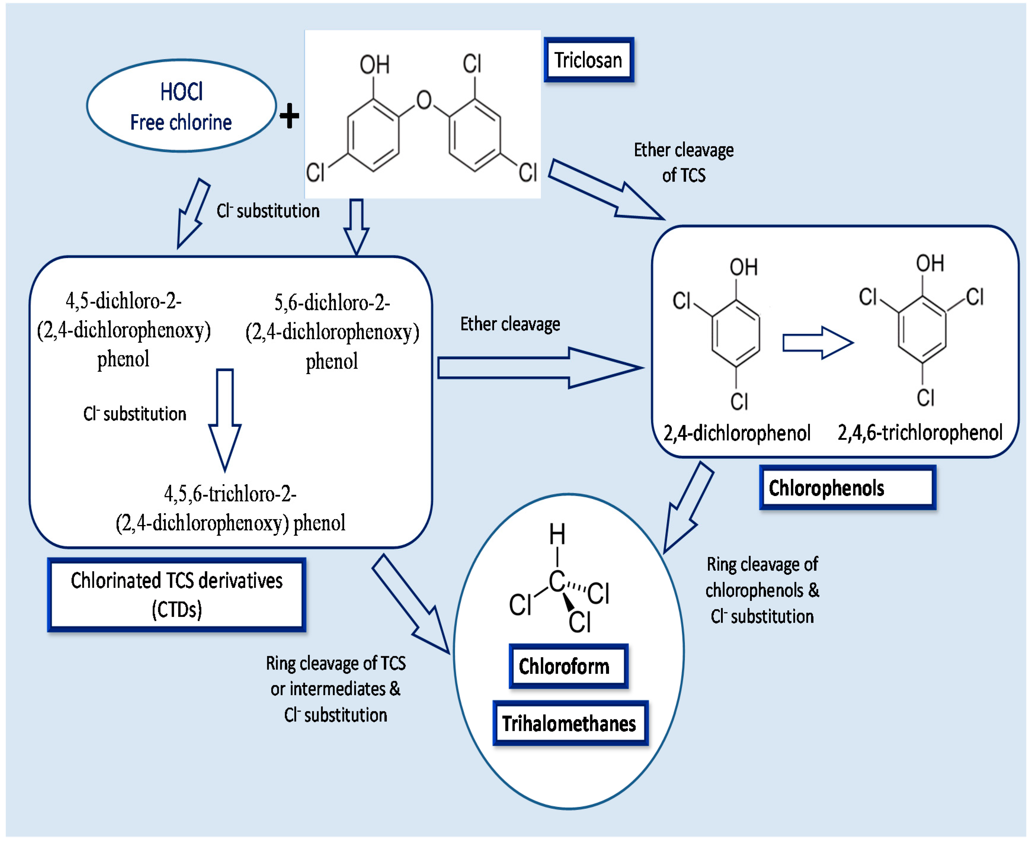
Triclosan that persists in the secondary effluent after activated sludge treatment may be chemically transformed after discharge. In this sense, a disinfecting oxidant, sodium hypochlorite, a source of free chlorine is generally used in US for many purposes and could enter in contact with TCS. It is known to chlorinate the TCS phenol carbons in ortho, or para-positions generating three chlorinated TCS derivative (CTD) intermediate products: [78,122,127]. The light mediated degradation of CTDs to chlorinated dioxins is depicted in Figure 3. However, dioxin derivatives of TCS are not of public health concern mainly due to the low efficacy of direct photolysis [123]. Similarly, chloramination of TCS also forms the similar CTDs, although at a much lower rate than the free process [128]. Chlorinated derivatives of TCS, 4-Cl-TCS, 6-Cl-TCS, and 4,6-Cl-TCS were reported to be present in wastewater effluent [13,129]. Due to dispersal of TCS containing effluents in the streams, the CTDs have been also detected in the top levels of aquatic trophic chains [130], and as biomethylated analogues in fresh water samples downstream from a wastewater effluent as well as in carps living in it [131]. These results demonstrated that either CTDs are generated from TCS during wastewater disinfection with free chlorine or bypassing the standard treatments. CTDs are considered as an important environmental issue as they could may maintain or even increase the antimicrobial and endocrine-disrupting features, of TCS. Moreover, the CTDs, such as 4-Cl-TCS, 6-Cl-TCS, and 4,6-Cl-TCS are extensively reported to liberate dioxins under natural conditions of photolysis in water [87,132].
The historical pattern of dioxin photoproducts of TCS and its chlorinated derivatives in sediment cores from the Mississippi river was reported by Buth et al. [132]. Another possible source of TCS derived dioxins comes from the solar irradiation of CTDs, leading to the formation of chlorinated dioxins. 2,8-DCDD and 2,4-dichlorophenol (2,4-DCP) are produced after photochemical degradation of TCS, when chemical by-products are exposed to UV radiation after the reaction of TCS with chlorinated H2O [78]. 2,4-DCP is further chlorinated to produce 2,4,6-trichlorophenol [133]. The chlorophenol intermediates are subsequently transformed to chloroform and trihalomethanes [134]. The mechanisms of CTDs transformation to chlorophenols and further to chloroform and trihalomethanes is given in Figure 4.
The repeated exposure to chlorine in water treatment facilities can chlorinate TCS. Chlorinated TCS is discharged from a WWTP, and sunlight can convert it into more toxic dioxins [135]. According to U.S.EPA, 2,4-DCP is a priority pollutant, and is considered to be toxic to fish and other aquatic organisms [56,136]. 2,4-DCP is used in the manufacture of certain pesticides, antiseptics, and disinfectants. Moreover, in the presence of solar radiation, the 2,4-DCP further breaks down and may produce more highly chlorinated dioxins [137].
Figure 3.
Photolytic degradation of chlorinated TCS derivatives (CTDs) to chlorinated dioxins.
Figure 3.
Photolytic degradation of chlorinated TCS derivatives (CTDs) to chlorinated dioxins.

Meanwhile, a study by Latch et al. [123] concluded that dioxin compounds formed from TCS are not of public health concern due to the low concentrations of reactive oxygen species (ROS) in natural waters and low efficacy of direct photolysis of TCS. Several bacteria such as, Pseudomonas, Burkholderia or Sphingomonas can degrade them in natural environments to carbon dioxide and chlorine [138,139]. Son et al. [140] reported that degradation of TCS through titanium dioxide photocatalysis is mediated by radicals that enhance the degradation of intermediary dioxins. Moreover, the oxidative process is maximized by hydrogen peroxide [141]. When TCS remains isolated from biotic interaction and is maintained between pH 4–9, it is stable even at 50 °C. In an aqueous solution at 25 °C and pH 7, TCS undergoes faster degradation mediated by light, reaching 50% in around 41 min. During this reaction, mainly 2,4-dichlorophenol (2,4-DCP) is produced within 4 h after treatment.
Figure 4.
Mechanisms of TCS conversion to its intermediate products: chlorinated TCS derivatives, chlorophenols and chloroform and trihalomethanes.
Figure 4.
Mechanisms of TCS conversion to its intermediate products: chlorinated TCS derivatives, chlorophenols and chloroform and trihalomethanes.

TCS is readily susceptible to degradation through photolysis in aqueous media with half-life that ranges from <1 h in abiotic conditions, to around 10 days in fresh water bodies. Moreover, its aerial half-life has been estimated to be 8 h based on reaction of TCS with photo-chemically produced hydroxyl radicals. Even though the detected concentrations as of now may not be toxic, but continuous accumulation of TCS and its by-products in the environment could reach the threshold limit which can affect all levels of the animals in the food chain.
8. Conclusions and Future Prospects
The ubiquitous use of triclosan and its consequent entry into the environment is of concern due to the effects it could produce if no regulations prevent its accumulation during the next decades. It and its derivatives are already present in measurable quantities, which may potentially affect water quality, impact on ecosystem and human health. Contamination of TCS has been detected in different environmental matrices including terrestrial, aquatic and biosolids resulting from WWTPs. TCS has also been found in drinking waters. There are concerns that the widespread use of TCS in various applications might lead to a preferential selection for microbial resistance to antibiotics. Microbial resistance has become an increasingly serious problem worldwide, and the continued use of biocides including TCS may exacerbate this problem. Increasing accumulation of TCS in the environment was also found to have adverse impacts on the growth of aquatic organisms. Taking into consideration the environmental and health concerns of TCS, more efforts need to be carried out for the understanding of their distribution and fate in various environmental compartments, in particular, wastewater treatment plants and sediments which are the final sinks.
Acknowledgments
The authors are sincerely thankful to the Natural Sciences and Engineering Research Council of Canada (Discovery Grant 355254) NSERC Strategic Grant and MAPAQ (No. 809051) for financial support. The views or opinions expressed in this article are those of the authors.
Author Contributions
Gurpreet Singh Dhillon and Satinder Kaur Brar authors had the original idea for the study. Gurpreet Singh Dhillon, Surinder Kaur, and Satinder Kaur Brar were responsible for recruitment and follow-up of data. Rama Pulicharla and Maximiliano Cledón were responsible for data cleaning and carried out the data analyses. Mausam Verma and Rao Y. Surampalli were drafted the manuscript, which was revised by all authors. Finally all authors read and approved the final manuscript.
Abbreviations List
| AMA | American Medical Association |
| APHA | American Public Health Association |
| CDC | Centers for Disease Control and Prevention |
| CTDs | Chlorinated derivatives |
| 2,8-DCDD | 2,8-dichlorodibenzo-p-dioxin |
| 2,4-DCP | 2,4-dichlorophenol |
| 2,4-TCP | 2,4,6-trichlorophenol |
| ECs | Emerging contaminants |
| EDCs | Endocrine disrupting compounds |
| EPA | Environmental Protection Agency |
| ENR | Enoyl-acyl carrier protein reductase enzyme |
| EU | European Union |
| FDA | Food and Drug Administration |
| MIC | Minimum inhibitory concentrations |
| MRSA | Methicillin-resistant Staphylococcus aureus |
| NHANES | National Health and Nutrition Examination Survey |
| PACD | Photo allergic contact dermatitis |
| PCBs | Polychlorinated biphenyls |
| PCDDs | polychlorinated dibenzo-p-dioxins (dioxins) |
| PCDFs | polychlorinated-dibenzofurans (dibenzofurans) |
| PCPs | Personal care products |
| PhACs | Pharmaceutically active compounds |
| POPs | Persistent organic pollutants |
| ROS | Reactive oxygen species |
| TCDD | 2,3,7,8-tetrachlorodibenzo-p-dioxin |
| TCS | Triclosan |
| USEPA | United States environmental protection agency |
| WWTPs | Wastewater treatment plants |
| xxxxx | xxxxxxx |
Conflicts of Interest
The authors declare no conflict of interest.
References
- Ciba Speciality Chemicals. General Information on Chemical, Physical and Microbiological Properties of Irgasan DP300, Irgacare MP and Irgacide LP10, Brochure 2520; Ciba Speciality Chemicals: Basel, Switzerland, 2001. [Google Scholar]
- Ahn, K.C.; Zhao, B.; Chen, J.; Cherednichenko, G.; Sanmarti, E.; Denison, M.S.; Lasley, B.; Pessah, I.N.; Kültz, D.; Chang, D.P.Y.; et al. In vitro biologic activities of the antimicrobials triclocarban, its analogs, and triclosan in bioassay screens: Receptor-based bioassay screens. Environ. Health Persp. 2008, 116, 1203–1210. [Google Scholar] [CrossRef]
- Allmyr, M.; Harden, F.; Toms, L.M.L.; Mueller, J.F.; McLachlan, M.S.; Adolfsson-Erici, M.; Sandborgh-Englund, G. The influence of age and gender on triclosan concentrations in Australian human blood serum. Sci. Total Environ. 2008, 393, 162–167. [Google Scholar] [CrossRef] [PubMed]
- Bester, K. Fate of triclosan and triclosan-methyl in sewage treatment plants and surface waters. Arch. Environ. Contam. Toxicol. 2005, 49, 9–17. [Google Scholar] [CrossRef] [PubMed]
- Halden, R.U.; Paul, D.H. Co-occurence of triclocarban and triclosan in U. S. water resources. Environ. Sci. Technol. 2005, 39, 1420–1426. [Google Scholar] [CrossRef]
- Singer, H.; Muller, S.; Tixier, C.; Pillonel, L. Triclosan: Occurrence and fate of a widely used biocide in the aquatic environment: Field measurements in wastewater treatment plants, surface waters, and lake sediments. Environ. Sci. Technol. 2002, 36, 4998–5004. [Google Scholar] [CrossRef] [PubMed]
- McBain, A.J.; Rickard, A.H.; Gilbert, P. Possible implications of biocide accumulation in the environment on the prevalence of bacterial antibiotic resistance. J. Indus. Microbiol. Biotechnol. 2002, 29, 326–330. [Google Scholar] [CrossRef]
- Sabaliunas, D.; Webb, S.F.; Hauk, A.; Jacob, M.; Eckhoff, W.S. Environmental fate of triclosan in the River Aire Basin, UK. Water Res. 2003, 37, 3145–3154. [Google Scholar] [CrossRef] [PubMed]
- Bock, M.; Lyndall, J.; Barber, T.; Fuchsman, P.; Perruchon, E.; Capdevielle, M. Probabilistic application of a fugacity model to predict triclosan fate during wastewater treatment. Integr. Environ. Assess Manag. 2010, 6, 393–404. [Google Scholar] [CrossRef] [PubMed]
- Bester, K. Triclosan in a sewage treatment process—Balances and monitoring data. Water Res. 2003, 37, 3891–3896. [Google Scholar] [CrossRef] [PubMed]
- ICON, 2001. Pollutants in Urban Waste Water and Sewage Sludge. Available online: http://ec.europa.eu/environment/waste/sludge/sludge_pollutants.pdf (accessed on 14 May 2015).
- McAvoy, D.C.; Schatowitz, B.; Jacob, M.; Hauk, A.; Eckhoff, W.S. Measurement of triclosan in wastewater treatment systems. Environ. Toxicol. Chem. 2002, 21, 1323–1329. [Google Scholar] [CrossRef] [PubMed]
- Fuchsman, P.; Lyndall, J.; Bock, M.; Lauren, D.; Barber, T.; Leigh, K.; Perruchon, E.; Capdevielle, M. Terrestrial ecological risk evaluation for triclosan in land-applied biosolids. Integr. Environ. Assess. Manag. 2010, 6, 405–418. [Google Scholar] [CrossRef] [PubMed]
- Chalew, T.E.A.; Halden, R.U. Environmental exposure of aquatic and terrestrial biota to triclosan and triclocarban. J. Am. Water Resour. Assoc. 2009, 45, 4–13. [Google Scholar] [CrossRef]
- Adolfsson-Erici, M.; Patterson, M.; Parkkonen, J.; Sturve, J. Triclosan, A Commonly Used Bactericide Found in Human Milk and in the Aquatic Environment. In Proceedings of the Abstracts of Dioxin,2000: 20th International Symposium on Halogenated Environmental Organic Pollutants and POP’s, Monterey, CA, USA, 13–17 August 2000; Volume 48.
- Chu, S.; Metcalfe, C.D. Simultaneous determination of triclocarban and triclosan in municipal biosolids by liquid chromatography tandem mass spectrometry. J. Chromatogr. 2007, 1164, 212–218. [Google Scholar] [CrossRef]
- Reiss, R.; Lewis, G.; Griffin, J. An ecological risk assessment for triclosan in the terrestrial environment. Environ. Toxicol. Chem. 2009, 28, 1546–1556. [Google Scholar] [CrossRef] [PubMed]
- Buth, J.M.; Steen, P.O.; Sueper, C.; Blumentritt, D.; Vikesland, P.J.; Arnold, W.A.; McNeill, K. Dioxin photoproducts of triclosan and its chlorinated derivatives in sediment cores. Environ. Sci. Technol. 2010, 44, 4545–4551. [Google Scholar] [CrossRef] [PubMed]
- Schweizer, H.P. Triclosan: A widely used biocide and its link to antibiotics. FEMS Microbiol. Lett. 2001, 202, 1–7. [Google Scholar] [CrossRef] [PubMed]
- Adolfsson-Erici, M.; Pettersson, M.; Parkkonen, J.; Sturve, J. Triclosan, a commonly used bactericide found in human milk and in the aquatic environment in Sweden. Chemosphere 2002, 46, 1485–1489. [Google Scholar] [CrossRef] [PubMed]
- Latch, D.E.; Packer, J.L.; Arnold, W.A.; McNeill, K. Photochemical conversion of triclosan to 2,8-dichlorodibenzo-p-dioxin in aqueous solution. J. Photochem. Photobiol. A Chem. 2003, 158, 63–66. [Google Scholar] [CrossRef]
- Jones, R.D.; Jampani, H.B.; Newman, J.L.; Lee, A.S. Triclosan: A review of effectiveness and safety in health care settings. Am. J. Infect. Control 2000, 28, 184–196. [Google Scholar] [CrossRef] [PubMed]
- Rodricks, J.V.; Swenberg, J.A.; Borzelleca, J.F.; Maronpot, R.R.; Shipp, A.M. Triclosan: A critical review of the experimental data and development of margins of safety for consumer products. Crit. Rev. Toxicol. 2010, 40, 422–484. [Google Scholar] [CrossRef] [PubMed]
- Aranami, K.; Readman, J.W. Photolytic degradation of triclosan in freshwater and seawater. Chemosphere 2007, 66, 1052–1056. [Google Scholar] [CrossRef] [PubMed]
- Lindstrom, A.; Buerge, I.J.; Poiger, T.; Bergqvist, P.; Muller, M.D.; Buser, H. Occurrence and environmental behavior of the bactericide triclosan and its methyl derivative in surface waters and in wastewater. Environ. Sci. Technol. 2002, 36, 2322–2329. [Google Scholar] [CrossRef] [PubMed]
- USEPA. 2003, Toxic Control Act Chemical Substance Inventory: Factsheet Triclosan. USEPA: Boston, USA. Available online: http://www.epa.gov/oppsrrd1/REDs/factsheets/triclosan_fs.htm (accessed on 22 May 2015).
- FDA. Letter to Jay Feldman of Beyond Pesticides from Steven Galson of the Federal Drug Administration. Docket no. 2005P-0432/CP 1; FDA: Silver Spring, MD, USA, 2006. [Google Scholar]
- EU. Cosmetics Directive 76/768//EEC, Annex VI, Part I, Entry 25. List of Preservatives which Cosmetic Products may Contain. 2007. Available online: http://ec.europa.eu/enterprise/cosmetics/cosing/index.cfm?fuseaction=search.results&annex=VI&search (accessed on 1 January 2015).
- FDA. New Drug Application for Colgate Total NDA 020231. 1997. Available online: http://www.accessdata.fda.gov/scripts/cder/drugsatfda/index.cfm?fuseaction=Search/Drug Details (accessed on 2 May 2015). [Google Scholar]
- NIH. Household Products Database. 2007. Available online: http://hpd.nlm.nih.gov/cgi-bin/household/brands?tbl=chem&id=201&query=triclosan&searchas=TblChemicals gov/cgi-bin/household/brands?tbl=chem&id=201&query=triclosan&searchas=TblChemicals (accessed on 14 May 2015). [Google Scholar]
- Lin, Y. Buccal absorption of triclosan following topical mouth rinse application. Am. J. Dent. 2000, 13, 215–217. [Google Scholar] [PubMed]
- Lambert, R.J.W.; Graf, J.F.; Sedlak, R.I. Antimicrobial resistance and cross-resistance in several bacterial species between 1989 and 2000. In Program and Abstracts of the Forty-Second Interscience. In Proceedings of the Conference Antimicrobial Agents Chemotherapy, San Diego, CA, USA, 27–30 September 2002.
- FDA. Topical antimicrobial drug products for over-the-counter human use: Tentative final monograph for health care antiseptic drug products. Fed. Regist. 1994, 59, 31402–31452. [Google Scholar]
- McLeod, R.; Muench, S.P.; Rafferty, J.B. Triclosan inhibits the growth of Plasmodium falciparum and Toxoplasma gondii by inhibition of apicompexan FabI. Int. J. Parasitol. 2001, 31, 109–113. [Google Scholar] [CrossRef] [PubMed]
- Levy, C.W.; Roujeinikova, A.; Sedelnikova, S. Molecular basis of triclosan activity. Nature 1999, 398, 383–384. [Google Scholar] [CrossRef] [PubMed]
- Brady, L.; Thomson, M.; Palmer, M.; Harkness, J. Successful control of endemic MRSA in a cardiothoracic surgical unit. Med. J. Aust. 1990, 152, 240–245. [Google Scholar] [PubMed]
- Zafar, A.; Butler, R.; Reese, D.; Gaydos, L.; Mennonna, P. Use of 0.3% triclosan (Bacti-Stat) to eradicate an outbreak of methicillin-resistant Staphylococcus aureus in a neonatal nursery. Am. J. Infect. Control 1995, 23, 200–208. [Google Scholar]
- Coia, J.; Duckworth, G.; Edwards, D.; Farrington, M.; Fry, C.; Humphreys, H.; Mallaghan, C.; Tucker, D. Guidelines for the control and prevention of meticillin-resistant Staphylococcus aureus (MRSA) in healthcare facilities. J. Hosp. Infect. 2006, 63, S1–S44. [Google Scholar] [CrossRef] [PubMed]
- Tuffnell, D.J.; Croton, R.S.; Hemingway, D.M.; Hartley, M.N.; Wake Garvey, P.N.R.J. Methicillin resistant Staphylococcus aureus; The role of antisepsis in the control of an outbreak. J. Hosp. Infect. 1987, 10, 255–259. [Google Scholar] [CrossRef] [PubMed]
- Suller, M.T.E.; Russell, A.D. Antibiotic and biocide resistance in methicillin-resistant Staphylococcus aureus and vancomycin-resistant Enterococcus. J. Hosp. Infect. 1999, 43, 281–291. [Google Scholar] [CrossRef] [PubMed]
- Triclosan, White Paper Prepared by The Alliance for the Prudent Use of Antibiotics (APUA). January 2011. Available online: http://www.tufts.edu/med/apua/consumers/personal_home_21_4240495089.pdf (accessed on 1 May 2015).
- Russell, A.D. Biocide usage and antibiotic resistance: The relevance of laboratory findings to clinical and environmental situations. Lancet Infect. Dis. 2003, 3, 794–803. [Google Scholar] [CrossRef] [PubMed]
- Sasatsu, M.; Shirai, Y.; Hase, M.; Noguchi, N.; Kono, M.; Behr, H.; Freney, J.; Arai, T. The origin of the antiseptic-resistance gene ebr in Staphylococcus aureus. Microbios 1995, 84, 161–169. [Google Scholar] [PubMed]
- McMurry, L.M.; Oethinger, M.; Levy, S.B. Overexpression of marA, soxS, or acrAB produces resistance to triclosan in laboratory and clinical strains of Escherichia coli. FEMS Microbiol. Lett. 1998, 166, 305–309. [Google Scholar] [CrossRef] [PubMed]
- Gomez-Escalada, M.; Maillard, J.Y.; Russell, A.D. Effects of triclosan-sensitive and resistant strains of Gram-negative bacteria. Soc. Appl. Microbiol. 2001, 30, 9–12. [Google Scholar]
- Russell, A.D. Whither triclosan? J. Antimicrob. Chemother. 2004, 53, 693–695. [Google Scholar] [CrossRef] [PubMed]
- Sanchez, P.; Moreno, E.; Martinez, J.L. The biocide triclosan selects Stenotrophomonas maltophilia mutants that overproduce the SmeDEF multidrug efflux pump. Antimicrob. Agents Chemother. 2005, 49, 781–782. [Google Scholar] [CrossRef] [PubMed]
- Chuanchen, R.; Beinlich, K.; Hoang, T.T.; Becher, A.; karkhoff-Schweizer, R.R.; Schweizer, H.P. Cross-resistance between triclosan and antibiotics is mediated by multidrug efflux pumps: Exposure of a susceptible mutant strain to triclosan selects NFXB mutants overexpressing MexCD-Opr. J. Antimicrob. Agents Chemother. 2001, 45, 428–432. [Google Scholar] [CrossRef]
- Russell, A.D. Similarities and differences in the responses of microorganisms to biocides. J. Antimicrob. Chemother. 2003, 52, 750–763. [Google Scholar] [CrossRef] [PubMed]
- Heath, R.J.; White, S.W.; Rock, C.O. Lipid biosynthesis as a target for antibacterial agents. Prog. Lipid Res. 2001, 40, 467–497. [Google Scholar] [CrossRef] [PubMed]
- Beinlich, K.I.; Chuanchen, R.; Schweizer, H.P. Contribution of multidrug efflux pumps to multiple antibiotic resistance in veterinary isolates of Pseudomonas aeruginosa. FEMS Microbiol. Lett. 2001, 198, 129–134. [Google Scholar] [CrossRef] [PubMed]
- Chuanchen, R.; Karkhoff-Schweizer, R.R.; Schweizer, H.P. High-level triclosan resistance in Pseudomonas aeruginosa is solely a result of efflux. Am. J. Inf. Control. 2003, 31, 124–127. [Google Scholar]
- Bamber, A.I.; Neal, T.J. An assessment of triclosan susceptibility in methicillin-resistant and methicillin-sensitive Staphylococcus aureus. J. Hosp. Inf. 1999, 41, 107–109. [Google Scholar] [CrossRef]
- Fan, F.; Yan, K.; Wallis, G.S.; Reed, S.; Moore, T.D.; Rittenhouse, S.F.; deWolf, W.E. Defining and combating the mechanisms of triclosan resistance in clinical isolates of Staphylococcus aureus. Antimicrob. Agents Chemother. 2002, 46, 3343–3347. [Google Scholar] [CrossRef] [PubMed]
- Levy, S.B. Factors impacting on the problem of antibiotic resistance. J. Antimicrob. Chemother. 2002, 49, 25–30. [Google Scholar] [CrossRef] [PubMed]
- McMurry, L.M.; Oethinger, M.; Levy, S.B. Triclosan targets lipid synthesis. Nature 1998, 394, 531–532. [Google Scholar] [CrossRef] [PubMed]
- Russell, A.D. Mechanisms of antimicrobial action of antiseptics and disinfectants: An increasingly important area of investigation. J. Antimicr. Chemother. 2002, 49, 597–599. [Google Scholar] [CrossRef]
- Levy, S.B. Antibacterial household products: Cause for concern. Emerg. Infect. Dis. 2001, 7, 512–515. [Google Scholar] [CrossRef] [PubMed]
- White, D.G.; McDermott, P.F. Biocides, drug resistance and microbial evolution. Curr. Opin. Microbiol. 2001, 4, 313–317. [Google Scholar] [CrossRef] [PubMed]
- Gilbert, P.; McBain, A.J. Biocide usage in the domestic setting and concern about antibacterial and antibiotic resistance. J. Infect. 2001, 43, 85–91. [Google Scholar] [CrossRef] [PubMed]
- Marshall, B.M.; Robleto, E.; Dumont, T.; Billhim, W.; Wiandt, K.; Keswick, B.; Levy, S.B. The Frequency of Bacteria and Antibiotic Resistance in Homes that Use and Do Not Use Surface Antibacterial Agents. In Proceedings of the 103rd General Meeting of the American Society for Microbiology, Washington, DC, USA, 18–22 May 2003.
- Cole, E.C.; Addison, R.M.; Rubino, J.R.; Leese, K.E.; Dulaney, P.D.; Newell, M.S.; Wilkins, J.; Gaber, D.J.; Wineinger, T.; Criger, D.A. Investigation of antibiotic and antibacterial agent cross-resistance in target bacteria from homes of antibacterial product users and nonusers. J. Appl. Microbiol. 2003, 95, 664–676. [Google Scholar] [CrossRef] [PubMed]
- Expert Panel. Laboratory and clinical evidence documenting the microbiologic safety of Colgate Total®. Biol. Ther. Dent. 2000, 16, 17–20.
- McBain, A.J.; Ledder, R.G.; Sreenivasan, P.; Gilbert, P. Selection for high-level resistance by chronic triclosan exposure is not universal. J. Antimicrob. Chemother. 2004, 53, 772–777. [Google Scholar] [CrossRef] [PubMed]
- Health Council of The Netherlands. Disinfectants in Consumer Products. Publication No. 2001/05E; Health Council of The Netherlands: The Hague, The Netherlands, 2001. [Google Scholar]
- Russell, A.D. Bacterial adaptation and resistance to antiseptics, disinfectants and preservatives is not a new phenomenon. J. Hosp. Inf. 2004, 57, 97–104. [Google Scholar] [CrossRef]
- Tan, L.; Nielsen, N.H.; Young, D.C. Use of antimicrobial agents in consumer products. Arch. Dermatol. 2002, 138, 1082–1086. [Google Scholar] [CrossRef] [PubMed]
- Cookson, B. Clinical significance of emergence of bacterial antimicrobial resistance in the hospital environment. J. Appl. Microbiol. 2005, 99, 989–996. [Google Scholar] [CrossRef] [PubMed]
- Courtney, K.D.; Moore, J.A. Teratology studies with 2,4,5-trichlorophenoxyacetic acid and 2,3,7,8-tetrachlorodibenzo-P-dioxin. Toxicol. Appl. Pharmacol. 1971, 20, 396–403. [Google Scholar] [CrossRef] [PubMed]
- NICNAS (National Industrial Chemicals Notification and Assessment Scheme), Australia. 2009. In Priority Existing Chemical Assessment Report No. 30, Triclosan; 2009. Available online: http://www.nicnas.gov.au/publications/car/pec/pec30.asp (accessed on 11 May 2015).
- Allmyr, M.; Adolfsson-Erici, M.; McLachlan, M.S.; Sandborgh-Englund, G. Triclosan in plasma and milk from Swedish nursing mothers and their exposure via personal care products. Sci. Total Environ. 2006, 372, 87–93. [Google Scholar] [CrossRef] [PubMed]
- Dayan, A.D. Risk assessment of triclosan [Irgasan®] in human breast milk. Food Chem. Toxicol. 2007, 45, 125–129. [Google Scholar] [CrossRef] [PubMed]
- Robertshaw, H.; Leppard, B. Contact dermatitis to triclosan in toothpaste, Contact. Dermatitis. 2007, 57, 383–384. [Google Scholar] [CrossRef]
- Schena, D.; Papagrigoraki, A.; Girolomoni, G. Sensitizing potential of triclosan and triclosan-based skin care products in patients with chronic eczema. Dermatol Ther. 2008, 2, S35–S38. [Google Scholar] [CrossRef]
- Wolff, M.; Teitelbaum, S.; Windham, G.; Pinney, S.; Britton, J.; Chelimo, C.; Godbold, J.; Biro, F.; Kushi, L.; Pfeiffer, C.; et al. Pilot study of urinary biomarkers of phytoestrogens, phthalates, and phenols in girls. Environ. Health Perspect. 2007, 115, 116–121. [Google Scholar]
- Calafat, A.; Ye, X.; Wong, L.; Reidy, J.; Needham, L. Urinary concentrations of triclosan in the U. S. population: 2003–2004. Environ. Health Perspect. 2008, 116, 303–307. [Google Scholar]
- CDC. National Health and Nutrition Examination Survey—NHANES 2003–2004; Centers for Disease Control and Prevention: Atlanta, GA, USA, 2005. Available online: http://www.cdc.gov/nchs/nhanes/nhanes2003–2004/nhanes 03_04.htm (accessed on 14 May 2015).
- Fiss, E.M.; Rule, K.L.; Vikesland, P.J. Formation of chloroform and other chlorinated byproducts by chlorination of triclosan-containing antibacterial products. Environ. Sci. Technol. 2007, 41, 2387–2394. [Google Scholar] [CrossRef] [PubMed]
- Hao, Z.; Parker, B.; Knapp, M. In vitro stability of triclosan in dentifrice under simulated use condition. Int. J. Cosmet. Sci. 2007, 29, 353–359. [Google Scholar] [CrossRef] [PubMed]
- Daniel, O.; Nicole, D. Identification and Evaluation of Unidentified Organic Contaminants in the San Francisco Estuary, San Francisco Estuary Regional Monitoring Program for Trace Substances; SFEI Contribution 45, San Francisco Estuary Institute: Oakland, CA, USA, 2002. [Google Scholar]
- Miller, T.L.; Lorusso, D.J.; Walsh, M.L.; Deinzer, M.L. The acute toxicity of penta-, hexa-, and heptachlorohydroxydiphenyl ethers in mice. J. Toxicol. Environ. Health 1983, 12, 245–253. [Google Scholar] [CrossRef] [PubMed]
- Veldhoen, N.; Skirrow, R.C.; Osachoff, H.; Wigmore, H.; Clapson, D.J.; Gunderson, M.P.; van Aggelen, G.; Helbing, C.C. The bactericidal agent triclosan modulates thyroid hormone-associated gene expression and disrupts postembryonic anuran development. Aquat. Toxicol. 2006, 80, 217–227. [Google Scholar] [CrossRef] [PubMed]
- Kumar, V.; Chakraborty, A.; Kural, M.R.; Roy, P. Alteration of testicular steroidogenesis and histopathology of reproductive system in male rats treated with triclosan. Reprod. Toxicol. 2009, 27, 177–185. [Google Scholar] [CrossRef] [PubMed]
- Foran, C.M.; Bennett, E.R.; Benson, W.H. Developmental evaluation of a potential non-steroidal estrogen: Triclosan. Mar. Environ. Res. 2000, 50, 153–156. [Google Scholar] [CrossRef] [PubMed]
- James, M.O.; Li, W.; Summerlot, D.P.; Rowland-Faux, L.; Wood, C.E. Triclosan is a potent inhibitor of estradiol and estrone sulfonation in sheep placenta. Environ. Int. 2010, 36, 942–949. [Google Scholar] [CrossRef] [PubMed]
- Yueh, M.F.; Taniguchi, K.; Chen, S.; Evans, R.M.; Hammock, B.D.; Karin, M.; Tukey, R.H. The commonly used antimicrobial additive triclosan is a liver tumor promoter. Proc. Natl. Acad. Sci. USA 2014, 111, 17200–17205. [Google Scholar] [CrossRef] [PubMed]
- Kanetoshi, A.; Katsura, E.; Ogawa, H.; Ohyama, T.; Kaneshima, H.; Miura, T. Acute toxicity, percutaneous absorption and effects on hepatic mixed function oxidase activities of 2,4,4'-trichloro-2'-hydroxydiphenyl ether (Irgasan DP300) and its chlorinated derivatives. Arch. Environ. Contam. Toxicol. 1992, 23, 91–98. [Google Scholar] [CrossRef] [PubMed]
- Kolpin, D.W.; Furlong, E.T.; Meyer, M.T.; Thurman, E.M.; Zaugg, S.D.; Barber, L.B.; Buxton, H.T. Pharmaceuticals, hormones, and other organic wastewater contaminants in US streams, 1999–2000: A national reconnaissance. Environ. Sci. Technol. 2002, 36, 1202–1211. [Google Scholar] [CrossRef] [PubMed]
- James, M.O.; Marth, C.J.; Rowland-Faux, L. Slow O-demethylation of methyl triclosan to triclosan, which is rapidly glucuronidated and sulfonated in channel catfish liver and intestine. Aquat. Toxicol. 2012, 124–125, 124–125. [Google Scholar] [CrossRef]
- Kanetoshi, A.; Ogawa, H.; Katsura, E.; Miura, H.K.T. Formation of polychlorinated dibenzo-p-dioxin from 2,4,4'-trichloro-2'-hydroxydiphenyl ether (Irgasan® DP300) and its chlorinated derivatives by exposure to sunlight. J. Chromatogr. A 1988, 454, 145–155. [Google Scholar] [CrossRef]
- Bandow, N.; Altenburger, R.; Streck, G.; Brack, W. Effect-directed analysis of contaminated sediments with partition-based dosing using green algae cell multiplication inhibition. Environ. Sci. Technol. 2009, 43, 7343–7349. [Google Scholar] [CrossRef] [PubMed]
- Franz, S.; Altenburger, R.; Heilmeier, H.; Schmitt-Jansen, M. What contributes to the sensitivity of microalgae to triclosan? Aquat. Toxicol. 2008, 90, 102–108. [Google Scholar] [CrossRef] [PubMed]
- Ishibashi, H.; Matsumura, N.; Hirano, M.; Matsuoka, M.; Shiratsuchi, H.; Ishibashi, Y.; Takao, Y.; Arizono, K. Effects of triclosan on the early life stages and reproduction of medaka Oryzias latipes and induction of hepatic vitellogenin. Aquat. Toxicol. 2004, 67, 167–179. [Google Scholar] [CrossRef] [PubMed]
- Orvos, D.R.; Versteeg, D.J.; Inauen, J.; Capdevielle, M.; Rothenstein, A.; Cunningham, V. Aquatic toxicity of triclosan. Environ. Toxicol. Chem. 2002, 21, 1338–1349. [Google Scholar] [CrossRef] [PubMed]
- Tatarazako, N.; Ishibashi, H.; Teshima, K.; Kishi, K.; Arizono, K. Effects of triclosan on various aquatic organisms. Environ. Sci. 2004, 11, 133–140. [Google Scholar] [PubMed]
- SCCS (Scientific Committee on Consumer Safety). Opinion on Triclosan (Antimicrobial Resistance); Scientific Committee on Consumer Safety: Luxembourg, 2010. [Google Scholar]
- Ricart, M.; Guasch, H.; Alberch, M.; Barcelo, D.; Bonnineau, C.; Geiszinger, A.; Farre, M.; Ferrer, J.; Ricciardi, F.; Romani, A.M.; et al. Triclosan persistence through wastewater treatment plants and its potential toxic effects on river biofilms. Aquat. Toxicol. 2010, 100, 346–353. [Google Scholar]
- Capdevielle, M.; Egmond, R.V.; Whelan, M.; Versteeg, D.; Hofmann-Kamensky, M.; Inauen, J.; Cunningham, V.; Voltering, D. Consideration of exposure and species sensitivity of triclosan in the freshwater environment. Integr. Environ. Assess. Manag. 2008, 4, 15–23. [Google Scholar] [CrossRef] [PubMed]
- Lyndall, J.; Fuchsman, P.; Bock, M.; Barber, T.; Lauren, D.; Leigh, K.; Perruchon, E.; Capdevielle, M. Probabilistic risk evaluation for triclosan in surface water, sediments, and aquatic biota tissues. Integr. Environ. Assess. Manag. 2010, 6, 419–440. [Google Scholar] [CrossRef] [PubMed]
- Reiss, R.; Mackay, N.; Habig, C.; Griffin, J. An ecological risk assessment for triclosan in lotic systems following discharge from wastewater treatment plants in the United States. Environ. Toxicol. Chem. 2002, 21, 2483–2492. [Google Scholar] [CrossRef] [PubMed]
- Lee, H.B.; Peart, T.E. Organic contaminants in Canadian municipal sewage sludge. Part I. Toxic or endocrine-disrupting phenolic compounds. Water Qual. Res. J. Can. 2002, 37, 681–696. [Google Scholar]
- Mackay, D.; Barnthouse, L. Integrated risk assessment of household chemicals and consumer products: Addressing concerns about triclosan. Integr. Environ. Assess. Manag. 2010, 6, 390–392. [Google Scholar] [CrossRef] [PubMed]
- Stackelberg, P.E.; Furlong, E.T.; Meyer, M.T.; Zaugg, S.D.; Hendersen, A.K.; Reissman, D.B. Persistence of pharmaceutical and other organic wastewater contaminants in a conventional drinking-water-treatment plant. Sci. Total Environ. 2004, 329, 99–113. [Google Scholar] [CrossRef] [PubMed]
- Boyd, G.R.; Reemtsma, H.; Grimm, D.A.; Mitra, S. Pharmaceuticals and personal care products (PPCPs) in surface and treated waters of Louisiana, USA and Canada. Sci. Total Environ. 2003, 311, 135–149. [Google Scholar] [CrossRef] [PubMed]
- Kantiani, L.; Farré Asperger, D.; Rubio, F. Triclosan and methyl-triclosan monitoring study in the northeast of Spain using a magnetic particle enzyme immunoassay and confirmatory analysis by gas chromatography-mass spectrometry. J. Hydrol. 2008, 361, 1–9. [Google Scholar] [CrossRef]
- Kanda, R.; Griffin, P.; James, H.A.; Fothergill, J. Pharmaceutical and personal care products in sewage treatment works. J. Environ. Monit. 2003, 5, 823–830. [Google Scholar] [CrossRef] [PubMed]
- Heidler, J.; Halden, R.U. Mass balance assessment of triclosan removal during conventional sewage treatment. Chemosphere 2007, 66, 362–369. [Google Scholar] [CrossRef] [PubMed]
- Morrall, D.; McAvoy, D.; Schatowitz, B.; Inauen, J.; Jacob, M.; Hauk, A.; Eckhoff, W. A field study of triclosan loss rates in river water (Cibolo Creek, TX). Chemosphere 2004, 54, 653–660. [Google Scholar] [CrossRef] [PubMed]
- Nakada, N.; Yasojima, M.; Okayasu, Y.; Komori, K.; Suzuki, Y. Mass balance analysis of triclosan, diethyltoluamide, crotamiton and carbamazepine in sewage treatment plants. Water Sci. Technol. 2010, 61, 1739–1747. [Google Scholar] [CrossRef] [PubMed]
- Yang, B.; Ying, G.G.; Zhao, J.L.; Zhang, L.J.; Fang, Y.X.; Nghiem, L.D. Oxidation of triclosan by ferrate: Reaction kinetics, products identification and toxicity evaluation. J. Hazard. Mater. 2011, 186, 227–235. [Google Scholar] [CrossRef] [PubMed]
- Okumura, T.; Nishikawa, Y. Gas chromatography-mass spectrometry determination of triclosans in water, sediment and fish samples via methylation with diazomethane. Anal. Chim. Acta 1996, 325, 175–184. [Google Scholar] [CrossRef]
- Ying, G.G.; Kookana, R.S. Triclosan in wastewaters and biosolids from Australian wastewater treatment plants. Environ. Int. 2007, 33, 199–205. [Google Scholar] [CrossRef] [PubMed]
- Zhao, J.L.; Ying, G.G.; Liu, Y.S.; Chen, F.; Yang, J.F.; Wang, L. Occurrence and risks of triclosan and triclocarban in the Pearl River system, South China: From source to the receiving environment. J. Hazard. Mater. 2010, 179, 215–222. [Google Scholar] [CrossRef]
- Lozano, N.; Rice, C.P.; Ramirez, M.; Torrents, A. Fate of triclosan in agricultural soils after biosolid applications. Chemosphere 2010, 78, 760–766. [Google Scholar] [CrossRef] [PubMed]
- Tixier, C.; Singer, H.P.; Canonica, S.; Muller, S.R. Phototransformation of triclosan in surface waters: A relevant elimination process for this widely used biocide—Laboratory studies, field measurements, and modeling. Environ. Sci. Technol. 2002, 36, 3482–3489. [Google Scholar] [CrossRef] [PubMed]
- Balmer, M.E.; Poiger, T.; Droz, C.; Romanin, K.; Bergqvist, P.A.; Muller, M.D.; Buser, H.R. Occurrence of methyl triclosan, a transformation product of the bactericide triclosan, in fish from various lakes in Switzerland. Environ. Sci. Technol. 2004, 38, 390–395. [Google Scholar] [CrossRef] [PubMed]
- Miller, T.R.; Heidler, J.; Chillrud, S.N.; Delaquil, A.; Ritchie, J.C.; Mihalic, J.N.; Bopp, R.; Halden, R.U. Fate of triclosan and evidence for reductive dechlorination of triclocarban in estuarine sediments. Environ. Sci. Technol. 2008, 42, 4570–4576. [Google Scholar] [CrossRef] [PubMed]
- Hedman, J.E.; Tocca, J.S.; Gunnarsson, J.S. Remobilization of polychlorinated biphenyl from Baltic Sea sediment: Comparing the roles of bioturbation and physical resuspension. Environ. Toxicol. Chem. 2009, 28, 2241–2249. [Google Scholar] [CrossRef] [PubMed]
- Cledón, M.; Gerwinski, W.; Theobald, N.; Penchaszadeh, P.E. Organotin Compounds (OTs) in sediments and commercial gastropods off Mar del Plata, Argentina. J. Mar. Biol. Assoc. UK 2006, 86, 751–755. [Google Scholar] [CrossRef]
- Ingerslev, F.; Vaclavik, E.; Halling-Sorenson, B. Pharmaceutical and personal care products: A source of endocrine disruption in the environment? Pure Appl. Chem. 2003, 75, 1181–1893. [Google Scholar] [CrossRef]
- Prada, D.; Mezuca, M.; Gómez, M.J.; Cerda, V.; Ferrer, I.; Farre, F.; Townshend, A.; Aguera, A.; Hernando, M.D.; Fernández-Alba, A.R. Evidence of 2,7/2,8-dibenzodichloro-p-dioxin as a photodegradation product of triclosan in water and wastewater samples. Anal. Chim. Acta 2004, 524, 241–247. [Google Scholar] [CrossRef]
- Canosa, P.; Morales, S.; Rodriguez, I.; Rubi, E.; Cela, R.; Gomez, M. Aquatic degradation of triclosan and formation of toxic chlorophenols in presence of low concentrations of free chlorine. Anal. Bioanal. Chem. 2005, 383, 1119–1126. [Google Scholar] [CrossRef] [PubMed]
- Latch, D.E.; Packer, J.L.; Stender, B.L.; VanOverbeke, J.; Arnold, W.A.; McNeill, K. Aqueous photochemistry of triclosan: Formation of 2,4-dichlorophenol, 2,8-dichlorodibenzo-p-dioxin, and oligomerization Products. Environ. Toxicol. Chem. 2005, 24, 517–525. [Google Scholar] [CrossRef] [PubMed]
- Lores, M.; Llompart, M.; Sanchwz-Prado, L.; Gracia-Jares, C.; Cela, R. Confirmation of the formation of dichlorodibenzo-p-dioxin in the photodegradation of triclosan by photo-SPME. Anal. Bioanal. Chem. 2005, 381, 1294–1298. [Google Scholar] [CrossRef] [PubMed]
- Sanchez-Prado, L.; Llompart, M.; Lores, M.; García-Jares, C.; Bayona, J.M.; Cela, R. Monitoring the photochemical degradation of triclosan in wastewater by UV light and sunlight using solid-phase microextraction. Chemosphere 2006, 65, 1338–1347. [Google Scholar] [CrossRef] [PubMed]
- Sanchez-Prado, L.; Llompart, M.; Lores, M.; Fernández-Alvarez, M.; García-Jares, C.; Cela, R. Further research on photo-SPME of triclosan. Anal. Bioanal. Chem. 2006, 384, 1548–1457. [Google Scholar] [CrossRef] [PubMed]
- Onodera, S.; Ogawa, M.; Suzuki, S. Chemical changes of organic compounds in chlorinated water. XIII. Gas chromatographic-mass spectrometric studies of the reactions of Irgasan DP 300 [5-chloro-2-(2,4-dichlorophenoxy)phenol] with chlorine in dilute aqueous solution. J. Chromatogr. 1987, 392, 267–275. [Google Scholar] [CrossRef]
- Greyshock, A.E.; Vikesland, P.J. Triclosan reactivity in chloraminated waters. Environ. Sci. Technol. 2006, 40, 2615–2622. [Google Scholar] [CrossRef] [PubMed]
- Nabeshima, Y.; Hasegawa, J.; Matsuda, M.; Kawano, M.; Wakimoto, T.; Morita, M. Determination of triclosan and its related compounds in aquatic environment. Organohalogen Compd. 2007, 69, 1503–1506. [Google Scholar]
- Hasegawa, J.; Nabeshima, Y.; Matsuda, M.; Kawano, M.; Wakimoto, T. Determination of triclosan, its chlorinated derivatives, and their methoxylated analogues in biota. Organohal. Compd. 2007, 69, 1512–1515. [Google Scholar]
- Leiker, T.J.; Abney, S.R.; Goodbred, S.L.; Rosen, M.R. Identification of methyl triclosan and halogenated analogues in male common carp (Cyprinus Carpio) from Las Vegas Bay and semipermeable membrane devices from Las Vegas Wash, Nevada. Sci. Total Environ. 2009, 407, 2102–2114. [Google Scholar] [CrossRef] [PubMed]
- Buth, J.M.; Grandbois, M.; Vikesland, P.J.; McNeill, K.; Arnold, W.A. Aquatic photochemistry of chlorinated triclosan derivatives: Potential source of polychlorodibenzo-p-dioxins. Environ. Toxicol. Chem. 2009, 28, 2555–2563. [Google Scholar] [CrossRef]
- Lee, G.F.; Morris, J.C. Kinetics of chlorination of phenol—Phenolic tastes and odours. Int. J. Air Wat. Poll. 1962, 6, 419–431. [Google Scholar]
- Gallard, H.; von Gunten, U. Chlorination of phenols: Kinetics and formation of chloroform. Environ. Sci. Technol. 2002, 36, 884–890. [Google Scholar] [CrossRef] [PubMed]
- Lopez-Avila, V.; Hites, R.A. Organic compounds in an industrial wastewater: Their transport into sediments. Environ. Sci. Technol. 1980, 14, 1382–1390. [Google Scholar] [CrossRef]
- Meade, M.J.; Waddell, R.L.; Callahan, T.M. Soil bacteria Pseudomonas putida and Alcaligenes xylosoxidans subsp. Denitrificans inactivate triclosan in liquid and solid substrates. FEMS Microbiol. Lett. 2001, 204, 45–48. [Google Scholar] [CrossRef]
- Neilson, A.H.; Allard, A.S.; Hynning, P.A.; Remberger, M.; Landner, L. Bacterial methylation of chlorinated phenols and guaiacols; Formation of veratroles from guaiacols and high-molecular weight chlorinated lignin. Appl. Environ. Microbiol. 1983, 45, 774–783. [Google Scholar] [CrossRef]
- Field, J.A.; Sierra-Alvarez, R. Microbial degradation of chlorinated dioxins. Chemosphere 2008, 71, 1015–1018. [Google Scholar] [CrossRef]
- Field, J.A.; Sierra-Alvarez, R. Microbial degradation of chlorinated benzenes. Biodegrad 2008, 19, 463–480. [Google Scholar] [CrossRef]
- Son, H.S.; Ko, G.; Zoh, K.D. Kinetics and mechanism of photolysis and TiO2 photocatalysis of triclosan. J. Hazard. Mater. 2009, 166, 954–960. [Google Scholar] [CrossRef] [PubMed]
- Yu, J.C.; Kwong, T.Y.; Luo, Q.; Cai, Z. Photolytic oxidation of triclosan. Chemosphere 2006, 65, 390–399. [Google Scholar] [CrossRef] [PubMed]
- Al-Doori, Z.; Morrison, D.; Edwards, G. Susceptibility of MRSA to triclosan. J. Antimicrob. Chemother. 2003, 51, 185–186. [Google Scholar] [CrossRef] [PubMed]
- SHEA (Society for Healthcare Epidemiology of America). Conference. In Proceedings of the 19th Annual Scientific Meeting, San Diego, California, March 19–22, 2009.
- Coogan, M.A.; la Point, T.W. Snail bioaccumulation of triclocarban, triclosan, and methyltriclosan in a North Texas, USA, stream affected by wastewater treatment plant runoff. Environ. Toxicol. Chem. 2008, 27, 1788–1793. [Google Scholar] [CrossRef] [PubMed]
- Nakada, N.; Kiri, K.; Shinohara, H.; Harada, A.; Kuroda, K.; Takizawa, S.; Takada, H. Evaluation of pharmaceuticals and personal care products as water-soluble molecular markers of sewage. Environ. Sci. Technol. 2008, 42, 6347–6353. [Google Scholar] [CrossRef] [PubMed]
- Coogan, M.A.; Edziyie, R.E.; la Point, T.W.; Venables, B.J. Algal bioaccumulation of triclocarban, triclosan, and methyl-triclosan in a North Texas wastewater, treatment plant receiving stream. Chemosphere 2007, 67, 1911–1918. [Google Scholar] [CrossRef] [PubMed]
- Houtman, C.J.; van Oostveen, A.M.; Brouwer, A.; Lamoree, M.H.; Legler, J. Identification of estrogenic compounds in fish bile using bioassaydirected fractionation. Environ. Sci. Technol. 2004, 38, 6415–6423. [Google Scholar] [CrossRef] [PubMed]
- Boehmer, W.; Ruedel, H.; Weinzel, A.; Schroeter-Kerman, C. Retrospective monitoring of Triclosan and methyl-triclosan in fish: Results from the German environmental specimen bank. Organohal. Compd. 2004, 66, 1516–1521. [Google Scholar] [CrossRef]
- Valters, K.; Li, H.X.; Alaee, M.; D’Sa, I.; Marsh, G.; Bergman, A.; Letcher, R.J. Polybrominated diphenyl ethers and hydroxylated and methoxylated brominated and chlorinated analogues in the plasma of fish from the Detroit River. Environ. Sci. Technol. 2005, 39, 5612–5619. [Google Scholar] [CrossRef] [PubMed]
- Bennett, E.R.; Ross, P.S.; Huff, D.; Alaee, M.; Letcher, R.J. Chlorinated and brominated organic contaminants and metabolites in the plasma and diet of a captive killer whale (Orcinus orca). Mar. Pollut. Bull. 2009, 58, 1078–1083. [Google Scholar] [CrossRef] [PubMed]
© 2015 by the authors; licensee MDPI, Basel, Switzerland. This article is an open access article distributed under the terms and conditions of the Creative Commons Attribution license (http://creativecommons.org/licenses/by/4.0/).
