Bioactive Cembrane-Based Diterpenoids from the Soft Coral Sinularia triangular
Abstract
:1. Introduction
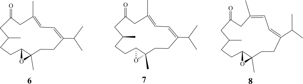
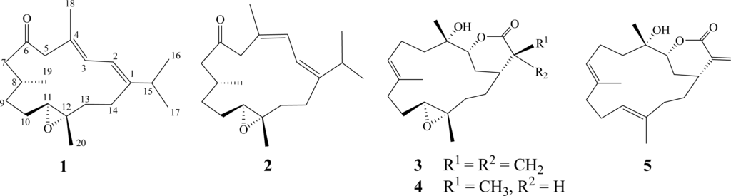
2. Results and Discussion
3. Experimental Section
3.1. General Experimental Procedures
3.2. Animal Material
3.3. Extraction and Separation
3.4. Cytotoxicity Testing
3.5. In Vitro Anti-Inflammatory Assay
Acknowledgments
- Samples Availability: Not available.
References
- Su, J-H; Ahmed, AF; Sung, P-J; Chao, C-H; Kuo, Y-H; Sheu, J-H. Manaarenolides A–I, new diterpenoids from the soft coral. Sinularia manaarensis J Nat Prod 2006, 69, 1134–1139. [Google Scholar]
- Lu, Y; Huang, C-Y; Lin, Y-F; Wen, Z-H; Su, J-H; Kuo, Y-H; Chiang, MY; Sheu, J-H. Anti-inflammatory cembranoids from the soft corals Sinularia querciformis and. Sinularia granosa J Nat Prod 2008, 71, 1754–1759. [Google Scholar]
- Chen, B-W; Chao, C-H; Su, J-H; Huang, C-Y; Dai, C-F; Wen, Z-H; Sheu, J-H. A novel symmetric sulfur-containing biscembranoid from the Formosan soft coral. Sinularia flexibilis Tetrahedron Lett 2010, 44, 5764–5766. [Google Scholar]
- Lu, Y; Su, J-H; Huang, C-Y; Liu, Y-C; Kuo, Y-H; Wen, ZH; Hsu, C-H; Sheu, J-H. Cembranoids from the Soft Corals Sinularia granosa and. Sinularia querciformis Chem Pharm Bull 2010, 58, 464–466. [Google Scholar]
- Su, J-H; Lin, Y-F; Lu, Y; Yeh, H-C; Wang, W-H; Fan, T-Y; Sheu, JH. Oxygenated cembranoids from the cultured and wild-type soft corals. Sinularia flexibilis Chem Pharm Bull 2009, 57, 1189–1192. [Google Scholar]
- Weinheimer, AJ; Matson, JA; Hossain, MB; van der Helm, D. Marine anticancer agents: Sinularin and dihydrosinularin, new cembranolides from the soft coral. Sinularia flexibilis Tetrahedron Lett 1977, 34, 2923–2926. [Google Scholar]
- Wen, T; Ding, Y; Deng, Z; van Ofwegen, L; Proksch, P; Lin, W. Sinulaflexiolides A–K, cembrane-type diterpenoids from the Chinese soft coral. Sinularia flexibilis J Nat Prod 2008, 71, 1133–1140. [Google Scholar]
- Marville, KI; McLean, S; Reynolds, WF; Tinto, WF. New cembrane diterpenes of the marine octocoral Eunicea tourniforti from the eastern Caribbean. J Nat Prod 2003, 66, 1284–1287. [Google Scholar]
- Wei, X; Rodríguez, AD; Baran, P; Raptis, RG; Sánchez, JA; Ortega-Barria, E; González, J. Antiplasmodial cembradiene diterpenoids from a Southwestern Caribbean gorgonian octocoral of the genus. Eunicea Tetrahedron 2004, 60, 11813–11819. [Google Scholar]
- Alley, MC; Scudiero, DA; Monks, A; Hursey, ML; Czerwinski, MJ; Fine, DL; Abbott, BJ; Mayo, JG; Shoemaker, RH; Boyd, MR. Feasibility of drug screening with panels of human tumor cell lines using a microculture tetrazolium assay. Cancer Res 1988, 48, 589–601. [Google Scholar]
- Scudiero, DA; Shoemaker, RH; Paull, KD; Monks, A; Tierney, S; Nofziger, TH; Currens, MJ; Seniff, D; Boyd, MR. Evaluation of a soluble tetrazolium/formazan assay for cell growth and drug sensitivity in culture using human and other tumor cell lines. Cancer Res 1988, 48, 4827–4833. [Google Scholar]
- Jean, Y-H; Chen, W-F; Sung, C-S; Duh, C-Y; Huang, S-Y; Lin, C-S; Tai, M-H; Tzeng, S-F; Wen, Z-H. Capnellene, a natural marine compound derived from soft coral, attenuates chronic constriction injury-induced neuropathic pain in rats. Br J Pharmacol 2009, 158, 713–725. [Google Scholar]
- Jean, Y-H; Chen, W-F; Duh, C-Y; Huang, S-Y; Hsu, C-H; Lin, C-S; Sung, C-S; Chen, I-M; Wen, Z-H. Inducible nitric oxide synthase and cyclooxygenase-2 participate in anti-inflammatory and analgesic effects of the natural marine compound lemnalol from Formosan soft coral. Lemnalia cervicorni Eur J Pharmacol 2008, 578, 323–331. [Google Scholar]






| 1 | 2 | |||
|---|---|---|---|---|
| 1Ha | 13Cb | 1Ha | 13Cb | |
| 1 | 148.3 (C) | 146.7 (C) | ||
| 2 | 6.06 d (10.8) | 118.2 (CH) | 6.19 d (10.8) | 118.7 (CH) |
| 3 | 6.15 d (10.8) | 125.7 (CH) | 6.29 d (10.8) | 124.4 (CH) |
| 4 | 129.3 (C) | 130.5 (C) | ||
| 5 | 3.20 d (13.6); 3.06 d (13.6) | 54.7 (CH2) | 3.90 d (13.6); 2.70 d (13.6) | 48.9 (CH2) |
| 6 | 209.8 (C) | 208.0 (C) | ||
| 7 | 2.54 dd (13.2, 8.4); 2.17 m | 51.2 (CH2) | 2.52 m; 2.12 m | 52.4 (CH2) |
| 8 | 2.03 m | 31.2 (CH) | 1.83 m | 32.0 (CH) |
| 9 | 1.48 m; 1.18 m | 33.1 (CH2) | 1.31 m; 1.14 m | 33.3 (CH2) |
| 10 | 1.92 m; 1.14 m | 26.4 (CH2) | 1.88 m; 1.09 m | 26.4 (CH2) |
| 11 | 2.71 dd (8.4, 4.0) | 62.7 (CH) | 2.49 m | 64.4 (CH) |
| 12 | 61.5 (C) | 60.6 (C) | ||
| 13 | 2.15 m; 1.32 m | 36.7 (CH2) | 2.12 m; 1.36 m | 36.7 (CH2) |
| 14 | 2.37 m; 2.28 m | 25.9 (CH2) | 2.73 m; 2.12 m | 25.7 (CH2) |
| 15 | 2.35 m | 32.2 (CH) | 2.35 m | 30.8 (CH) |
| 16 | 1.06 d (7.2) | 22.6 (CH3) | 1.18 d (6.8) | 20.6 (CH3) |
| 17 | 1.08 d (7.6) | 22.1 (CH3) | 1.02 d (6.8) | 23.4 (CH3) |
| 18 | 1.89 s | 18.2 (CH3) | 1.93 s | 25.1 (CH3) |
| 19 | 0.93 d (6.8) | 19.5 (CH3) | 0.85 d (6.4) | 19.2 (CH3) |
| 20 | 1.20 s | 17.6 (CH3) | 1.23 s | 16.3 (CH3) |
© 2011 by the authors; licensee MDPI, Basel, Switzerland. This article is an open-access article distributed under the terms and conditions of the Creative Commons Attribution license (http://creativecommons.org/licenses/by/3.0/).
Share and Cite
Su, J.-H.; Wen, Z.-H. Bioactive Cembrane-Based Diterpenoids from the Soft Coral Sinularia triangular. Mar. Drugs 2011, 9, 944-951. https://doi.org/10.3390/md9060944
Su J-H, Wen Z-H. Bioactive Cembrane-Based Diterpenoids from the Soft Coral Sinularia triangular. Marine Drugs. 2011; 9(6):944-951. https://doi.org/10.3390/md9060944
Chicago/Turabian StyleSu, Jui-Hsin, and Zhi-Hong Wen. 2011. "Bioactive Cembrane-Based Diterpenoids from the Soft Coral Sinularia triangular" Marine Drugs 9, no. 6: 944-951. https://doi.org/10.3390/md9060944
APA StyleSu, J.-H., & Wen, Z.-H. (2011). Bioactive Cembrane-Based Diterpenoids from the Soft Coral Sinularia triangular. Marine Drugs, 9(6), 944-951. https://doi.org/10.3390/md9060944

