Abstract
A new bioactive sterol glycoside, 3β-O-(3′,4′-di-O-acetyl-β-d-arabinopyranosyl) -25ξ-cholestane-3β,5α,6β,26-tetrol-26-acetate) (carijoside A, 1), was isolated from an octocoral identified as Carijoa sp. The structure of glycoside 1 was established by spectroscopic methods and by comparison with spectral data for the other known glycosides. Carijoside A (1) displayed significant inhibitory effects on superoxide anion generation and elastase release by human neutrophils and this compound exhibited moderate cytotoxicity toward DLD-1, P388D1, HL-60, and CCRF-CEM tumor cells.
1. Introduction
Previous studies on the chemical constituents from the octocorals belonging to the genus Carijoa (=Telesto) have yielded a series of bioactive substances including amide [1], steroid [1–4], and prostanoid analogs [3,5]. In our continuing studies on the chemical constituents of octocorals distributed in Taiwan waters, a new sterol glycoside, carijoside A (1) (Figure 1) was isolated from an octocoral identified as Carijoa sp. The structure of 1 was determined by spectroscopic methods and by comparison of spectral data with those of known sterols. In this paper, we describe the isolation, structure determination, and bioactivity of glycoside 1.
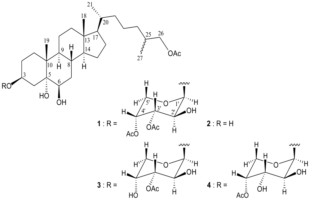
Figure 1.
The Structures of Carijoside A (1), Cholestane-3β,5α,6β,26-tetrol-26-acetate (2), Riisein A (3) and Riisein B (4).
2. Results and Discussion
Carijoside A (1) was isolated as a white powder. The molecular formula of 1 was established as C38H62O11 (eight degrees of unsaturation) from a sodiated molecule at m/z 717 in ESIMS and further supported by HRESIMS (m/z 717.4186, calcd. 717.4190, [C38H62O11Na]+). The IR spectrum of 1 showed bands at 3466 and 1743 cm−1, consistent with the presence of hydroxy and ester carbonyl groups. Analysis of 2D NMR experiments revealed that carijoside A (1) was a pentose glycoside derivative of a known trihydroxy sterol, cholestane-3β,5α,6β-tetrol-26-acetate (=25ξ-cholestane-3β,5α,6β,26-tetrol-26-acetate) (2), a cytotoxic steroid previously isolated from Telesto riisei, collected from Northeast Pass, Chuuk, Federated States of Micronesia [1] and Mangaratiba, Rio de Janeiro State, Brazil [4]. In addition to the pentose moiety, the 13C NMR and DEPT spectra of 1 showed that this compound has 29 carbons for the cholestane carbon with an acetoxy group (Table 1), including five methyls, 12 sp3 methylenes, eight sp3 methines, three sp3 quaternary carbons, and an sp2 quaternary carbon. From the 13C and 1H NMR spectra (Table 1), the presence of four oxygenated C atoms at δC 74.9 (d, CH-3), 75.9 (s, C-5), 76.0 (d, CH-6), and 69.6 (t, CH2-26) in the 13C NMR spectrum and two oxymethine protons at δH 4.07 (1H, m, H-3) and 3.54 (1H, br s, H-6) and a pair of oxygen-bearing methylene protons at δH 3.84 (1H, m) and 3.97 (1H, m) in the 1H NMR spectrum were determined. From the 1H-1H COSY spectrum, several different structural units, including C-1/-2/-3/-4, C-6/-7/-8/-9/-11/-12, C-8/-14/-15/-16/-17/-20/-22/-23/-24/-25/-26(-27), and C-20/-21, were identified (Figure 2), which were assembled with the assistance of an HMBC experiment permitted elucidation of the cholestane carbon skeleton of 1. The ring junctions C-18 and C-19 methyl groups were positioned at C-13 and C-10 from the HMBC correlations between H3-18/C-12, -13, -14, -17 and H3-19/C-1, -5, -9, -10, respectively (Figure 2). An oxymethine unit at δC 76.0 correlated to the methine proton at δH 3.54 in the HMQC spectrum, proving the attachment of a hydroxy group at C-6. The remaining hydroxy and acetoxy groups at C-5 and C-26 in the cholestane moiety of 1 were indicated by analysis of HMBC correlations and characteristic NMR signals. However, the doubling of the 26-acetoxymethylene and H3-27 signals indicate that 1 consists of a stereoisomeric mixture (25R/25S).
Table 1.
1H and 13C NMR Data for Steroids 1 and 2.
Figure 2.
The 1H-1H COSY and Selective Key HMBC Correlations of 1.
Furthermore, the proton NMR signals for the pentose pyranoside between δH 3.6–5.3 and by the corresponding 13C NMR signals between δC 60–71 and for the characteristic sugar anomeric carbon (δC 97.4) and its corresponding methine proton (δH 5.06) (Tables 1 and 2). 1H NMR coupling constant analysis of the pyranose ring indicated the presence of a pyranoarabinoside sugar linked to the sterol by a β-glycoside linkage. The attachment of the sugar moiety at C-3 in 1 was based on the key HMBC correlations (Figure 2). The sugar anomeric carbon C-1′ (δC 97.4) and the aglycon carbon C-3 (δC 74.9) showed correlations with H-3 (δH 4.07) and H-1′ (δH 5.06), respectively. NMR data also indicated the presence of two additional acetate esters positioned at C-3′ (δH 5.13, 1H, dd, J = 10.4, 3.2 Hz; δC 70.5, CH) and C-4′ (δH 5.25, 1H, br s; δC 69.4, CH). Based on detailed analysis, the structure of 1 was found to be similar with those of two known cytotoxic sterol glycosides, riisein A (3β-O-(3′-O-acetyl-β-d-arabinopyranosyl)- 25ξ-cholestane-3β,5α,6β,26-tetrol-26-acetate) (3) and riisein B (3β-O-(4′-O-acetyl-β-d-arabinopyranosyl)-25ξ-cholestane-3β,5α,6β,26-tetrol-26-acetate) (4) [4], with the exception that the 4′-hydroxy group in 3 and 3′-hydoxy group in 4 was replaced by an acetoxy group in 1.
Table 2.
NMR Data for the 3′- and 4′-O-Acetyl-arabinopyranoside Components in Glycosides Carijoside A (1), Riisein A (3) and Riisein B (4).
In anti-inflammatory activity testing, glycoside 1 displayed significant inhibitory effects on superoxide anion generation (IC50 = 1.8 μg/mL) and elastase release (IC50 = 6.8 μg/mL) by human neutrophils [6,7] and this compound exhibited moderate cytotoxicity towards DLD-1 (human colon adenocarcinoma), P388D1 (murine macrophage cells), HL-60 (human premyelocytic leukemia), and CCRF-CEM (human T-cell acute lymphoblastic leukemia) tumor cells (ED50 = 9.7, 10.4, 12.0, and 13.1 μg/mL), respectively [8].
3. Experimental Section
3.1. General Experimental Procedures
Melting points were measured on a FARGO apparatus and were uncorrected. Optical rotation values were measured with a JASCO P-1010 digital polarimeter. The Infrared spectra were obtained on a VARIAN DIGLAB FTS 1000 FT-IR spectrophotometer. The NMR spectra were recorded on a VARIAN MERCURY PLUS 400 FT-NMR at 400 MHz for 1H and 100 MHz for 13C, in CDCl3, respectively, Proton chemical shifts were referenced to the residual CHCl3 signal (δH 7.26 ppm). 13C NMR spectra were referenced to the center peak of CDCl3 at δC 77.1 ppm. ESIMS and HRESIMS data were recorded on a BRUKER APEX II mass spectrometer. Gravity column chromatography was performed on silica gel (230–400 mesh, Merck, Darmstadt, Germany). TLC was carried out on precoated Kieselgel 60 F254 (0.2 mm, Merck) and spots were visualized by spraying with 10% H2SO4 solution followed by heating.
3.2. Animal Material
Specimen of the octocoral Carijoa sp. were collected off the coast of Pingtung county, Southern Taiwan, in August 2008, and this organism was identified by comparison with previous descriptions [9]. The voucher specimen was deposited in the National Museum of Marine Biology and Aquarium, Taiwan.
3.3. Extraction and Isolation
The freeze-dried and minced material of Carijoa sp. (wet weight 1588 g, dry weight 422 g) were extracted with a mixture of MeOH and CH2Cl2 (1:1). The extract was partitioned between EtOAc and H2O. The EtOAc layer was separated by silica gel and eluted using hexane/EtOAc (stepwise, 20:1–pure EtOAc) to yield 35 fractions. Fraction 17 was separated by silica gel and eluted using hexane/acetone (stepwise, 20:1–1:1) to afford 1 (1.6 mg, 2:1).
Carijoside A (1): white powder; mp 171–172 °C (decomp.); [α]D22-112 (c 0.06, CHCl3); IR (neat) νmax 3466, 1743 cm−1; 1H NMR (CDCl3, 400 MHz) and 13C NMR (CDCl3, 100 MHz) data, see Table 1; ESIMS m/z 717 (M + Na)+; HRESIMS m/z 717.4186 (calcd for C38H62O11Na, 717.4190).
3.4. Human Neutrophil Superoxide Anion Generation and Elastase Release
Human neutrophils were obtained by means of dextran sedimentation and Ficoll centrifugation. Superoxide anion generation was carried out according to procedures described previously [10,11]. Briefly, superoxide anion production was assayed by monitoring the superoxide dismutase-inhibitable reduction of ferricytochrome c. Elastase release experiments were performed using MeO-Suc-Ala-Ala-Pro-Val-p-nitroanilide as the elastase substrate.
3.5. Cytotoxicity Testing
The cytotoxicity of tested compound 1 was assayed using a modification of the MTT [3-(4,5-dimethylthiazol-2-yl)-2,5-diphenyltetrazolium bromide] colorimetric method. Cytotoxicity assays were carried out according to the procedures described previously [12,13].
Acknowledgements
This research work was supported by grants from the NMMBA (Grant No. 99200321 and 99200322); APORC, NSYSU (96C031702); and NSTPBP, National Science Council (NSC 98-2323-B-291-001 and 98-2320-B-291-001-MY3), Taiwan, awarded to P.-J.S.
- Samples Availability: Not available.
References and Notes
- Liyanage, GK; Schmitz, FJ. Cytotoxic amides from the octocoral Telesto riisei. J. Nat. Prod 1996, 59, 148–151. [Google Scholar]
- Dorta, E; Díaz-Marrero, AR; Cueto, M; D’Croz, L; Maté, JL; San-Martín, A; Darias, J. Unusual chlorinated pregnanes from the eastern Pacific octocoral Carijoa multiflora. Tetrahedron Lett 2004, 45, 915–918. [Google Scholar]
- Ciavatta, ML; Gresa, MPL; Manzo, E; Gavagnin, M; Wahidulla, S; Cimino, G. New C21 Δ20 pregnanes, inhibitors of mitochondrial respiratory chain, from Indopacific octocoral Carijoa sp. Tetrahedron Lett 2004, 45, 7745–7748. [Google Scholar]
- Maia, LF; Epifanio, RA; Fenical, W. New cytotoxic sterol glycosides from the octocoral Carijoa (Telesto) riisei. J. Nat. Prod 2000, 63, 1427–1430. [Google Scholar]
- Dorta, E; Díaz-Marrero, AR; Cueto, M; D’Croz, L; Maté, JL; Darias, J. Carijenone, a novel class of bicyclic prostanoid from the eastern Pacific octocoral Carijoa multiflora. Org. Lett 2004, 6, 2229–2232. [Google Scholar]
- Diphenylene indonium (DPI) was used as a positive control in anti-inflammatory activity testing. This compound displayed inhibitory effect on superoxide anion generation by human neutrophils (IC50 = 0.8 μM).
- Elastatinal was used as a positive control in anti-inflammatory activity testing. This compound displayed inhibitory effects on elastase release by human neutrophils (IC50 = 30.8 μM).
- Doxorubicin was used as a positive control in cytotoxicity testing. This compound exhibited cytotoxicity toward DLD-1, P388D1, HL-60, and CCRF-CEM tumor cells (ED50 = 0.06, 0.37, 0.08, and 0.02 μg/mL), respectively.
- Fabricius, K; Alderslade, P. Soft Corals and Sea Fans-A Comprehensive Guide to the Tropical Shallow-Water Genera of the Central-West Pacific, the Indian Ocean and the Red Sea, 1st ed; Australian Institute of Marine Science: Queensland, Australia, 2001; pp. 70–71. [Google Scholar]
- Hwang, T-L; Li, G-L; Lan, Y-H; Chia, Y-C; Hsieh, P-W; Wu, Y-H; Wu, Y-C. Potent inhibitors of superoxide anion production in activated human neutrophils by isopedicin, a bioactive component of the Chinese medicinal herb Fissistigma oldhamii. Free Radic. Biol. Med 2009, 46, 520–528. [Google Scholar]
- Hwang, T-L; Su, Y-C; Chang, H-L; Leu, Y-L; Chung, P-J; Kuo, L-M; Chang, Y-J. Suppression of superoxide anion and elastase release by C18 unsaturated fatty acids in human neutrophils. J. Lipid Res 2009, 50, 1395–1408. [Google Scholar]
- Alley, MC; Scudiero, DA; Monks, A; Hursey, ML; Czerwinski, MJ; Fine, DL; Abbott, BJ; Mayo, JG; Shoemaker, RH; Boyd, MR. Feasibility of drug screening with panels of human tumor cell lines using a microculture tetrazolium assay. Cancer Res 1988, 48, 589–601. [Google Scholar]
- Scudiero, DA; Shoemaker, RH; Paull, KD; Monks, A; Tierney, S; Nofziger, TH; Currens, MJ; Seniff, D; Boyd, MR. Evaluation of a soluble tetrazolium/formazan assay for cell growth and drug sensitivity in culture using human and other tumor cell lines. Cancer Res 1988, 48, 4827–4833. [Google Scholar]
© 2010 by the authors; licensee Molecular Diversity Preservation International, Basel, Switzerland This article is an open-access article distributed under the terms and conditions of the Creative Commons Attribution license (http://creativecommons.org/licenses/by/3.0/).

