Abstract
3-Alkyl pyridinium alkaloids (3-APAs) are common secondary metabolites in marine sponges of the order Haplosclerida. In recent years, our laboratory has isolated and synthesized several new members of this family such as haliclamines C–F, viscosamine, viscosaline and a cyclic monomer. All of them were isolated from the Arctic sponge Haliclona viscosa collected in Spitsbergen, Norway. In this article we report the syntheses of these secondary metabolites from Haliclona viscosa and related compounds and give a short overview of the bioactivity.
1. Introduction
The marine sponge Haliclona viscosa inhabits Arctic waters and the North Sea. In the European region it is most common around the British Isles up to Spitsbergen, Norway, but can also be found in some regions of the French and Belgian coasts. Secondary metabolites of this sponge are active in biological tests for antibacterial [1], antifungal [2], cytotoxic [2], and feeding deterrent [3] compounds.
2. Natural Products from Haliclona viscosa
A large number of 3-APAs have been isolated from marine organisms, especially from sponges of the order Haplosclerida (mainly from the genus Haliclona). Although 3-APAs look structurally quite simple, the structure elucidation by NMR spectroscopy is complicated by the fact that most of the methylene groups in the alkyl chains show the same chemical shift. Therefore, the 3-APAs are an ideal test case for a combined approach of NMR spectroscopy and mass spectrometry. In the NMR spectrum only the positions 1, 2, n−1, and n of the alkyl chain can be differentiated. Information about the length of the alkyl chain is only available from MS/MS spectra.
In samples of Haliclona viscosa, which were collected between 1999 and 2003, several new secondary metabolites – viscosaline (1), haliclamines C–F (2–5), the known cyclostellettamine C (Figure 4, 23), a cyclic monomer (6) and the trimer viscosamine (7) (all Figure 1) – were isolated and identified by NMR and MS methods.
Figure 4.
Chemical structures of cyclic 3-APAs.
Figure 1.
Structures of new natural products 1–7 isolated from Haliclona viscosa.
All of these compounds are characterised by six-membered azacycles, which are connected to alkyl chains at position 1 and/or 3. Regardless of the oxidation state of the six-membered ring, we classify these compounds as 3-APAs since most of the rings possess a pyridine or pyridinium structure. The 3-APAs can be divided into two main groups: (a) linear (Section 2.1) and (b) cyclic compounds (Section 2.2). These groups can be further distinguished by the number of six-membered azacycles in one molecule, e.g., monomer, dimer, trimer and so on.
2.1. Linear 3-APAs
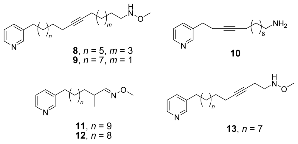
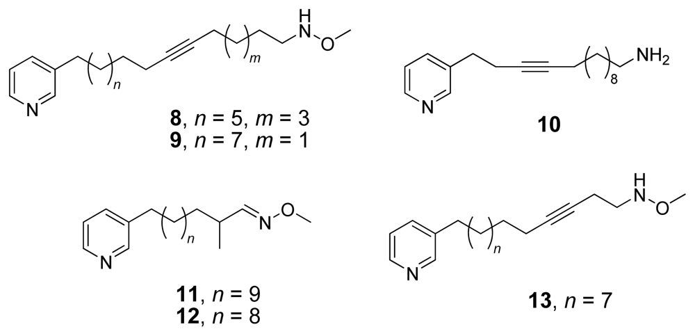
The majority of the isolated compounds of the 3-APA family belong to the group of the linear monomers. In comparison with other groups the linear monomers exhibit a broader constitutional variety. Their alkyl chain length varies from twelve to eighteen methylene units; double and triple bonds as well as a nitrogen based functional group are common features. Examples of linear 3-APAs are: niphatynes A (8) and B (9) [4], niphatesins A (10) and G (11) [5,6] (all isolated from Niphates sp.) and ikimines A (12) and D (13) [7] isolated from an unidentified sponge from Micronesia (see Figure 2).
Figure 2.
Linear and monomeric 3-alkyl pyridinium alkaloids 8–13.
With the increasing number of monomeric units within the 3-APAs, the chemical diversity and the size of the attached functional groups decreases. Examples include pachychalines A (14) and C (15) [8], both isolated from Pachychalina sp., niphatoxins A (16) and B (17) [9], and viscosaline (1, Figure 1) isolated from Haliclona viscosa [10]. Even larger members are the halitoxins (18) [11], isolated from a Haliclona species and the synthetic linear oligomer 19 [12] (see Figure 3). The dimer viscosaline (1) was the first 3-APA linked to an amino acid moiety isolated from natural sources.
Figure 3.
Chemical structures of linear and oligomeric 3-APAs 14–19.
The connectivity of the monomeric units within the di- and trimers is not necessarily head/tail (as in the natural products from Haliclona viscosa), as head/head and tail/tail linked dimers are known. The linear 3-APAs that are shown in Figure 3 are either purely head/tail linked [e.g., pachychaline A (14) or the halitoxins (18)] or a mixture of head/tail and tail/tail connected units [e.g., pachychaline C (15) and niphatoxins A (16) or B (17)]. The synthetic isocyclostellettamines (see Scheme 7) can be regarded as head/head and tail/tail linked isomers of the naturally occuring cyclostellettamines.
Scheme 7.
Synthesis of isoscyclostellettamines.
2.2. Cyclic 3-APAs
The above-mentioned simplification of the chemical structure is also observed for cyclic 3-APAs. Next to the azacycles, double bonds are the only functionality observed in cyclic 3-APAs. A secondary metabolite isolated from Haliclona viscosa is the only naturally occuring cyclic monomer (6) which represents the smallest member of the cyclic 3-APAs macrocycles [13–15]. Prior to its isolation these molecules have been observed as side products in the synthesis of cyclostellettamines [13,14].
Dimeric macrocycles dominate the group of the cyclic 3-APAs. They lack side chains and the azacycles share the same oxidation state, but the length of the alkyl chains as well as the number of double bonds in one chain may vary. Most pyridinium salts or cyclostellettamines (A–F, 21–26) [16] carry no double bonds with the exception of the dehydrocyclostellettamines D and E isolated by Fusetani et al. [17]. Further cyclostellettamines (G–L) were isolated from sponges of the genera Xestospongia [17] and Pachychalina [18]. The corresponding tetrahydropyridine compounds are called haliclamines (2–5 and 27, 28) [2,19–22]. Haliclamines A (27) and B (28) have two and three double bonds within the alkyl chains [2], respectively, whereas haliclamines C–F (2–5) lack unsaturation in the alkyl chains.
There are only two reports of 3-APA macrocycles with three or more monomeric units from natural sources. Teruya et al. isolated a mixture of di- to hexamers of 3-dec-3-enpyridines and named them cyclohaliclonamines [23]. Our group isolated and synthesized the cyclic trimer viscosamine (7) [24]. The other macrocycles are synthetic compounds such as the tetrapyridinium macrocycle (29) [25] or even larger macrocycles (i.e., 30) [14]. Representatives are shown in Figure 4.
3. Biological Activity
Our interest in the sponge Haliclona viscosa was raised some years ago during a general investigation on invertebrates from Spitsbergen in which 18 abundant sessile or slow-moving species were studied with respect to their feeding deterrence and antimicrobial activity [3,10,26–28]. The feeding deterrence was tested against the amphipod Anonyx nugax (a common predator in Spitsbergen) and the starfish Asterias rubens from the North Sea [3,26,27]. Only two of the 18 crude extracts (Haliclona viscosa and the actinian Hormathia nodosa) showed significant activity in the feeding deterrence assay. After fractionation of the crude extract of Haliclona viscosa only the n-hexane (P = 0.02) and n-butanol fractions (P < 0.01) were significantly deterrent against Anonyx nugax. The remaining water fraction caused no effect. Testing of the pure compounds revealed that only one compound from the n-hexane fraction (P < 0.01) and one compound from the n-butanol fraction (P < 0.01) were active. The n-butanol fraction contains the 3-APAs. The active component was identified as viscosaline (1) whereas haliclamine C (2, P = 0.58) and haliclamine D (3, P = 0.24) were not active. In the star fish assay only the crude extract of the sponge Haliclona viscosa was feeding deterrent, whereas no activity was observed for the other crude extracts.
For the investigation of the antimicrobial activity five bacterial strains were isolated from the vicinity of the sponge. The crude extract of Haliclona viscosa showed a very strong activity against all five bacteria [28]. Three crude extracts from the soft coral Gersemia rubiformis, the bryozoan Alcyonidium gelatinosum, and the nudibranch Flabellina salmonacea inhibited the growth of two bacterial strains whereas the extract of Hormathia nodosa showed no activity at all. The n-butanol fraction of Haliclona viscosa still showed a strong activity against all five bacteria. No activity was observed for the n-hexane and water fractions. The pure compounds affected only two to four out of the five bacteria. Viscosaline (1) showed a moderate activity against four bacterial strains whereas the halicamines C and D (2 and 3) showed a very strong activity against two bacteria. Haliclamine D (3) also showed a weak inhibition against one further bacterial strain.
The crude extracts and the four fractions (n-hexane, ethyl acetate, n-butanol, and water) of Haliclona viscosa (2000 and 2001) were also tested against 17 microorganisms [10]. Strong activities were only observed for the ethyl acetate and the n-butanol fractions from the specimen collected in 2000. From the 2001 specimen, crude extracts were strongly active against four bacterial strains (Aquaspirillum psychrophilum, Microbacterium barkeri, Micrococcus sp., and Roseobacter litoralis), and bioactivity was principally due to the n-butanol fraction.
Several pure compounds synthesized in our laboratory were further tested in antimicrobial assays against Escherichia coli tolC and Staphylococcus aureus and for their cytotoxicity against mouse fibroblasts L929 [15]. Monomeric linear compounds without functional groups were not active at all, whereas linear molecules with functional groups showed a moderate activity. The strongest activity was observed for cyclic compounds in all three assays.
4. Synthesis
The main focus of our synthetic work was the preparation of cyclic 3-APAs. The combination of different known methods generated a synthesis scheme which allowed a module-like preparation of many different structures from one alkyl pyridine precursor. The syntheses of monomeric, dimeric and trimeric cyclic 3-APAs are conducted in three steps [29]:
- synthesis of the monomers,
- functionalisation of the monomers, and
- coupling and/or cyclisation.
As monomeric units we synthesized 3-ω-hydroxy alkyl pyridines with varying chain lengths. The synthesis commenced with a dicarboxylic acid 1-I, a diol 1-II or a bromo alcohol 1-III, depending on their commercial availability.
Scheme 1 shows the synthetic strategy with the formation of the protected 3-alkyl pyridine 1-V and the target molecule after cleavage of the protecting group 1-VI [30,31]. The next step in the synthesis was the functionalisation of the monomers prior to coupling and/or cyclisation. To prepare monomeric cyclic 3-APAs, alcohol 1-VI was converted to a 3-ω-bromo alkyl pyridine 2-Ia (see Scheme 3). This molecule reacted intramolecularly to form the target molecules (6 and 20) as shown in Scheme 2. The identical reaction conditions explain the fact that monomeric cyclic 3-APAs also occur as side products within the synthesis of higher oligomeric and cyclic 3-APAs (Scheme 4, first step, reaction to 4-I) when the ring nitrogen atom is not protected [32].
Scheme 1.
Synthesis of different 3-ω-hydroxyalkyl pyridines with n = 3–11.
Scheme 3.
Functionalisation of 3-ω-hydroxyalkyl pyridines with n = 3–11 and X = Br (a) or X = Cl (b).
Scheme 2.
Synthesis of monomeric cyclic 3-APAs 6 and 20.
Scheme 4.
Synthesis of cyclostellettamines and haliclamines (X = Cl or Br, n = 3–11, m = n − 1).
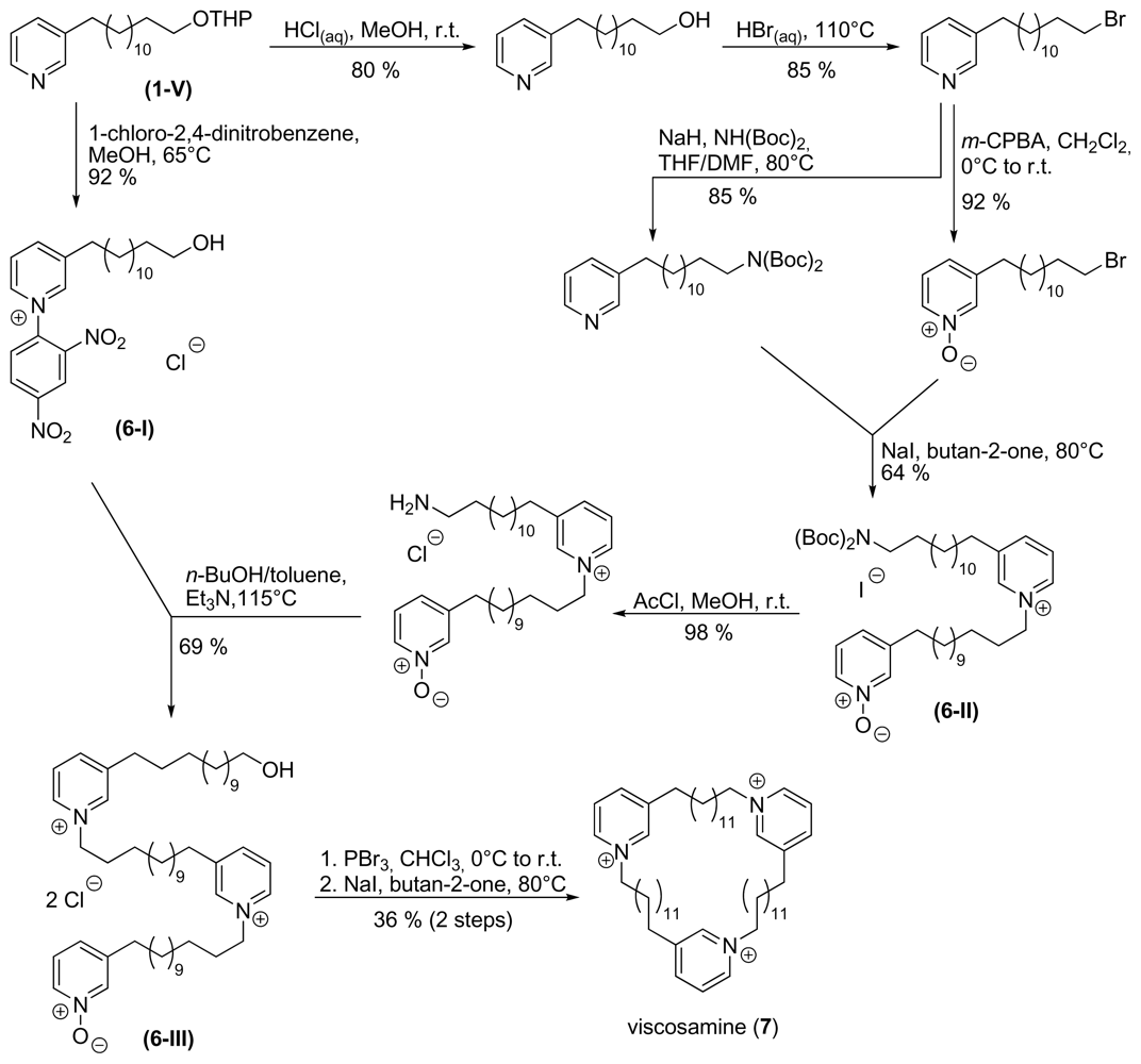
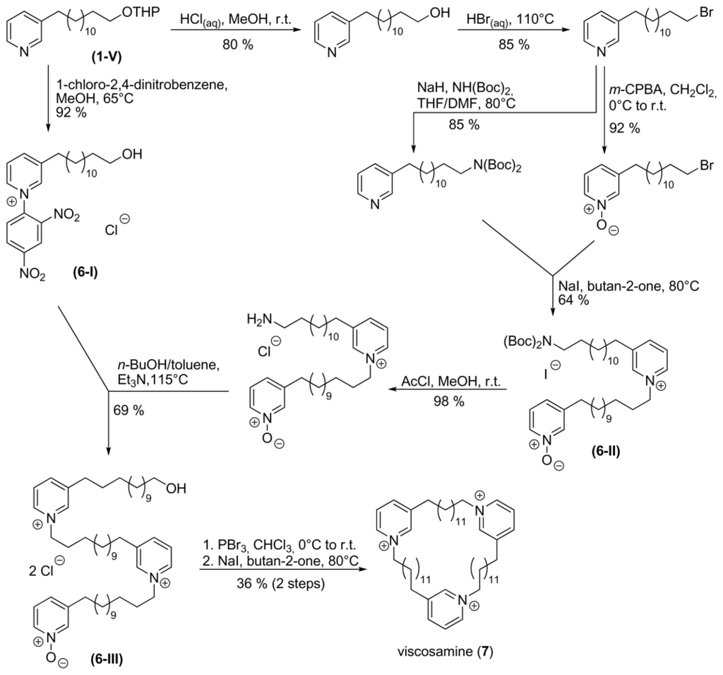
The syntheses of haliclamines and cyclostellettamines were carried out according to a method introduced by Baldwin and co-workers [32]. The monomer was activated by the conversion of the hydroxyl group to a halogenide (2-Ia, bromide or 2-Ib, chloride) and protected by oxidation of the ring nitrogen atom to form N-oxide 3-Ia/b, as shown in Scheme 3.
In the next step, the activated and protected molecule 3-Ia/b was coupled with another 3-ω-hydroxyalkyl pyridine 1–VI. To enhance coupling effiency during the dimerisation 3-Ia/b was further activated by conversion to an iodide in an in situ Finkelstein substitution of chloride or bromide. Deprotection and activation of the resulting dimer took place in a single step prior to cyclisation. Cyclisation to form the cyclostellettamines 4-II was carried out under pseudo high dilution conditions and required no further isolation or purification of the activated dimer. In the last step the corresponding haliclamines 4-III were obtained by reduction with sodium borohydride (Scheme 4).
In the synthesis of 3-APA dimers and trimers, the key step is the coupling of the monomers, which must be functionalised depending on the chosen method. The most straightforward approach is the use of the pyridine nitrogen as a nucleophile in a substitution reaction, which requires an electrophilic terminal carbon of the partner monomer. Its activation was achieved via introduction of a good leaving group. To prevent intramolecular reactions or uncontrolled oligomerisation, a suitable protecting group for the ring nitrogen of the electrophile had to be introduced.
Faulkner et al. [25] reported a small scale one step/pot synthesis of cyclic 3-APAs without protecting groups using in situ activation of the monomers (Scheme 5). They were able to isolate monomers, dimers, trimers, and even higher oligomers via HPLC. In our group an analogous synthetic approach failed. We could only isolate very small quantities of dimeric 3-APAs.
Scheme 5.
Synthesis of 3-alkyl pyridinium macrocycles by Faulkner et al. (n = 1, 2, or 3).
Besides the nucleophilic substitution approach, Marazano et al. [33] used the Zincke reaction of an amine and a dinitrophenyl pyridinium salt to generate oligomeric 3-APAs. His group also reported a biomimetic synthesis in which coupling was achieved via a pyridine ring formation [34]. Olefin metathesis as applied by Balando and co-workers [35] and the optimized synthesis with other strategies of protection and deprotection [36] open further avenues for the generation of pyridinium macrocycles.
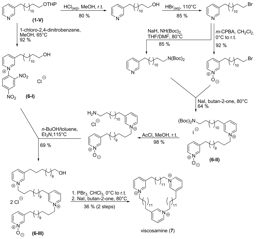
In order to increase the number of monomeric units within the macrocycles, the previously described synthesis of cyclostellettamines was expanded as shown in Scheme 6.
Scheme 6.
Synthesis of viscosamine (7).
Activation and deprotection in one step prior to cyclisation limits the synthesis by Baldwin et al. [32] to dimers. By using an orthogonally activated monomer, it was possible to use the advantages of the dimer synthesis and insert an additional monomeric unit. Dimer 6-II was prepared from N-oxide 3-Ib and a bis-protected alkylpyridineamine like Baldwin’s cyclostellettamine precursors (4-I). Unlike these dimers, the amino dimer 6-II can – after cleavage of the Boc-protection group – react with hydroxy Zincke-salt 6-I, which was prepared in one step from protected 3-ω-hydroxyalkyl pyridine 1-V. The linear trimer 6-III was then deprotected, activated and cyclised to provide the target molecule viscosamine (7). By combining the approaches of Baldwin et al. [32] and Marazano et al. [33] we were able to prepare viscosamine (7) as a trimer and save one step compared to Marazano’s method. It also reduced the number of steps with charged oligomers, thus facilitating the purification.
For the synthesis of isocyclostellettamines (Scheme 7), the synthetic strategy had to be modified. Two variants for the preparation of isocyclostellettamines were established. Variant A starts with an ω-aminocarbonic acid 7-I that was first reduced to the alcohol 7-II and then protected to give 7-III. By reacting 7-III with an 1, ω-dipyridine alkane 7-IV, an unsymmetric and mono-alkylated 1, ω-dipyridine alkane 7-V was formed. Cyclisation to the target molecule was achieved via Zincke-salt 7-VI. Variant B started with 1, ω-dipyridine alkane 7-IV that was directly alkylated with 11-bromoundecanol to form 1, ω-dipyridine alkane 7-VII, from which the target molecule was directly accessed. Scheme 7 shows the difference of the synthetic strategies via a Zincke-salt or via a nucleophilic substitution by the pyridine nitrogen.
Variant B has the advantage that it is shorter than variant A and the bromoalcohol for the first alkylation is commercially available. Furthermore the overall yield through both variants is in variant B (10% over 4 steps) almost three times higher than in variant A (4% over 7 steps). But variant A underlines the good applicability of the Zincke-salt for the synthesis with the disadvantage of an additional step and lower yields.
The synthesis of viscosaline (1) as a functionalized linear 3-APA was previously discussed as a module-like synthesis in order to prepare various analogs with different amino acid residues in the terminal position. This approach failed in numerous ways. Neither reductive amination of β-Ala derivatives [37] nor their alkylation with halogenalkyl pyridines [38] led to the desired molecules in sufficient yields. Further experiments lead to a single synthesis for a β-alanine moiety. Similar to the synthesis of viscosaline (1) by Baldwin et al. [39], the amino acid moiety is introduced via an aza- Michael reaction. A 3-ω-aminoalkyl pyridine 8-I was treated with acrylonitrile and Hünig’s base and subsequently protected to form the alkylated and protected amine 8-II. Since 8-II is prepared from amino alkyl pyridine 8-I, the utilisation of 1-chloro-2,4-dinitrobenzene was an adequate and advantageous way to activate the pyridine ring by conversion to Zincke-salt 8-III, which was coupled to 3-ω-aminoalkyl pyridine 8-I at the ring nitrogen to form salt 8-IV. Finally, the remaining protecting group was removed and the nitrile moiety was oxidized and immediately esterified in the presence of methanol to the viscosaline esters (32), as shown in Scheme 8.
Scheme 8.
Synthesis of viscosaline esters 32 with m, n = 9–11.
5. Conclusions
During our project a series of natural compounds and related derivatives were synthesized. Our synthetic effort started with the synthesis of cyclostellettamines and haliclamines according to a methodology described by Baldwin and co-workers. In the synthesis of viscosamine (7) we had to overcome the limitation to dimeric structures of Baldwin’s approach by combining it with Marazano’s application of the Zincke reaction. Cyclic 3-APAs with one (6, 20) or three (33) monomeric units with alkyl chains of different length can thus be prepared, opening a way to a library of different 3-APAs for further experiments. The synthesis of isoscyclostellettamines 31 provides access to material which can be used to deepen the understanding of the biological activities of 3-APAs. In the synthesis of viscosaline (1), we experienced unexpected problems in the preparation of the amino acid bearing alkyl pyridine. Further experiments should lead to a more general synthesis which shall provide 3-APAs with various amino acid functionalities. Figure 5 summarizes the general structures of the compounds we have synthesized so far and originally isolated from the Arctic sponge Haliclona viscosa.
Figure 5.
Chemical structures of the synthesized compounds (no anions shown).
Acknowledgements
We would like to thank all co-workers who were involved in the Haliclona project over the past years (C. Volk, A. Grube, G. Schmidt, E. Lichte, H. Lippert). This project was initiated many years ago within a BMBF program (Verbundprojekt V-258 “Marine Naturstofforschung”, 03F0254A) involving the research groups of M. Köck (AWI), T. Lindel (TU Braunschweig, Germany), H.-P. Pörtner (AWI) and E. Rachor (AWI) as well as the BASF AG (Ludwigshafen, Germany) as industrial partner. The careful reading of the manuscript by P. Krug (California State University, Los Angeles) and I. B. Seiple (The Scripps Research Institute, La Jolla) is gratefully acknowledged.
- Sample Availability: Available from the authors.
References
- Kelman, D; Kashman, Y; Rosenberg, E; Ilan, M; Ifrach, I; Loya, Y. Antimicrobial activity of the reef sponge Amphimedon viridis from the Red Sea: evidence for selective toxicity. Aquat Microb Ecol 2001, 24, 9–16. [Google Scholar]
- Fusetani, N; Yasumuro, K; Matsunaga, S; Hirota, H. Haliclamines A and B, cytotoxic macrocyclic alkaloids from a sponge of the genus Haliclona. Tetrahedron Lett 1989, 30, 6891–6894. [Google Scholar]
- Lippert, H; Iken, K; Volk, C; Köck, M; Rachor, E. Chemical defence against predators in a sub-Arctic fjord. J Exp Mar Biol Ecol 2004, 310, 131–146. [Google Scholar]
- Quinoà, E; Crews, P. Niphatynes, methoxylamine pyridines from the marine sponge, Niphates sp. Tetrahedron Lett 1987, 28, 2467–2468. [Google Scholar]
- Kobayashi, J; Murayama, T; Kosuge, S; Kanda, F; Ishibashi, M; Kobayashi, H; Ohizumi, Y; Ohta, T; Nozoe, S; Sasaki, T. Niphatesines A–D, new antineoplastic pyridine alkaloids from the Okinawan marine sponge Niphates sp. J Chem Soc, Perk Trans 1990, 1, 3301–3303. [Google Scholar]
- Kobayashi, J; Zeng, C-m; Ishibashi, M; Shigemori, H; Sasaki, T; Mikami, Y. Niphatesines E–H, new pyridine alkaloids from the Okinawan marine sponge Niphates sp. J Chem Soc, Perk Trans 1992, 1, 1291–1294. [Google Scholar]
- Carroll, AR; Scheuer, PJ. Four beta-alkylpyridines from a sponge. Tetrahedron 1990, 46, 6637–6644. [Google Scholar]
- Laville, R; Thomas, OP; Berrue, F; Reyes, F; Amade, P. Pachychalines A–C: Novel 3-alkylpyridinium salts from the marine sponge Pachychalina sp. Eur J Org Chem 2008, 121–125. [Google Scholar]
- Talpir, R; Rudi, A; Ilan, M; Kashman, Y. Niphatoxin A and B; two new ichthyo- and cytotoxic tripyridine alkaloids from a marine sponge. Tetrahedron Lett 1992, 33, 3033–3034. [Google Scholar]
- Volk, CA; Köck, M. Viscosaline: new 3-alkyl pyridinium alkaloid from Arctic sponge Haliclona viscosa. Org Biomol Chem 2004, 2, 1827–1830. [Google Scholar]
- Schmitz, FJ; Hollenbeak, KH; Campbell, DC. Marine natural products: halitoxin, toxic complex of several marine sponges of the genus. Haliclona J Org Chem 1978, 43, 3916–3922. [Google Scholar]
- Mancini, I; Sicurelli, A; Guella, G; Turk, T; Maček, P; Sepčić, K. Synthesis and bioactivity of linear oligomers related to polymeric alkylpyridinium metabolites from the Mediterranean sponge Reniera sarai. Org Biomol Chem 2004, 2, 1368–1375. [Google Scholar]
- Anan, H; Seki, N; Noshiro, O; Honda, K; Yasumuro, K; Ozasa, T; Fusetani, N. Total synthesis of cyclostellettamines C, a bispyridinium macrocycle alkaloid having muscarinic acetylcholine receptor antagonistic activity. Tetrahedron 1996, 52, 10849–10860. [Google Scholar]
- Kaiser, A; Billot, X; Gateau-Olesker, A; Marazano, C; Das, BC. Selective entry to the dimeric or oligomeric pyridinium sponge macrocycles via aminopentadienal derivatives. Possible biogenetic relevance with manzamine alkaloids. J Am Chem Soc 1998, 120, 8026–8034. [Google Scholar]
- Timm, C; Volk, C; Sasse, F; Köck, M. The first cyclic monomeric 3-alkylpyridinium alkaloid from natural sources: identification, synthesis, and biological activity. Org Biomol Chem 2008, 6, 4036–4040. [Google Scholar]
- Fusetani, N; Asai, N; Matsunaga, S; Honda, K; Yasumuro, K. Cyclostellettamines A–F, pyridine alkaloids which inhibit binding of methyl quinuclidinyl benzilate (QNB) to muscarinic acetylcholine receptors, from the marine sponge Stelletta maxima. Tetrahedron Lett 1994, 35, 3967–3970. [Google Scholar]
- Oku, N; Nagai, K; Shindoh, N; Terada, Y; van Soest, RWM; Matsunaga, S; Fusetani, N. Three new cyclostellettamines, which inhibit histone deacetylase, from a marine sponge of the genus Xestospongia. Bioorg Med Chem Lett 2004, 14, 2617–2620. [Google Scholar]
- de Oliveira, JHHL; Grube, A; Köck, M; Berlinck, RGS; Macedo, ML; Ferreira, AG; Hajdu, E. Ingenamine G and cyclostellettamines G–I, K and L from the new Brazilian species of marine sponge Pachychalina sp. J Nat Prod 2004, 67, 1685–1689. [Google Scholar]
- Morimoto, Y; Yokoe, C. Total synthesis of haliclamine A, a macrocyclic marine alkaloid related to the key biogenetic intermediate of manzamines. Tetrahedron Lett 1997, 52, 8981–8984. [Google Scholar]
- Morimoto, Y; Yokoe, C; Kurihara, H; Kinoshita, T. Total syntheses of macrocyclic marine alkaloids, haliclamines A and B: a convenient and expeditious assembly of 3-substituted pyridine derivatives with different alkyl chains to the bispyridinium macrocycle. Tetrahedron 1998, 54, 12197–12214. [Google Scholar]
- Volk, CA; Lippert, H; Lichte, E; Köck, M. Two new haliclamines from the Arctic sponge Haliclona viscosa. Eur J Org Chem 2004, 3154–3158. [Google Scholar]
- Schmidt, G; Timm, C; Köck, M. New haliclamines E and F from the Arctic sponge Haliclona viscosa. Org Biomol Chem 2009, 7, 3061–3064. [Google Scholar]
- Teruya, T; Kobayashi, K; Suenaga, K; Kigoshi, H. Cyclohaliclonamines A–E: dimeric, trimeric, tetrameric, pentameric, and hexameric 3-alkyl pyridinium alkaloids from a marine sponge Haliclona sp. J Nat Prod 2006, 69, 135–137. [Google Scholar]
- Volk, CA; Köck, M. Viscosamine: the first naturally occurring trimeric 3-alkyl pyridinium alkaloid. Org Lett 2003, 5, 3567–3569. [Google Scholar]
- Davies-Coleman, MT; Faulkner, DJ; Dubowchik, GM; Roth, GP; Polson, C; Fairchild, C. A new EGF-active polymeric pyridinium alkaloid from the sponge Callyspongia fibrosa. J Org Chem 1993, 58, 5925–5930. [Google Scholar]
- Lippert, H; Iken, K. Palatability and nutritional quality of marine invertebrates in a sub-Arctic fjord. J Mar Biol Ass UK 2003, 83, 1215–1219. [Google Scholar]
- Lippert, H. Chemical ecology and palatability of marine invertebrates in the sub-Arctic Kongsfjord (Spitsbergen). Ber Polarforsch Meeresforsch 2004, 465, 1–109. [Google Scholar]
- Lippert, H; Brinkmeyer, R; Mülhaupt, T; Iken, K. Antimicrobial activity in sub-Arctic marine invertebrates. Polar Biol 2003, 26, 591–600. [Google Scholar]
- Grube, A; Timm, C; Köck, M. Synthesis and mass spectrometric analysis of cyclostellettamines H, I, K and L. Eur J Org Chem 2006, 1285–1295. [Google Scholar]
- Chong, JM; Heuft, MA; Rabbat, P. Solvent effects on the monobromination ofα, ω-diols: a convenient preparation of ω-bromoalkanols. J Org Chem 2000, 65, 5837–5838. [Google Scholar]
- Brown, HC; Choi, YM; Narasimhan, S. Selective reductions. 29. A simple technique to achieve an enhanced rate of reduction of representative organic compounds by borane-dimethyl sulfide. J Org Chem 1982, 47, 3153–3163. [Google Scholar]
- Baldwin, JE; Spring, DR; Atkinson, CE; Lee, V. Efficient synthesis of the sponge alkaloids cyclostellettamines A–F. Tetrahedron 1998, 54, 13655–13680. [Google Scholar]
- Gil, L; Gateau-Olesker, A; Wong, Y.-S; Chernatova, L; Marazano, C; Das, BC. Synthesis of macrocyclic or linear pyridinium oligomers from 3-substituted pyridines. Model synthetic studies toward macrocyclic marine alkaloids. Tetrahedron Lett 1995, 36, 2059–2062. [Google Scholar]
- Michelliza, S; Al-Mourabit, A; Gateau-Olesker, A; Marazano, C. Synthesis of the cytotoxic sponge metabolite haliclamine A. J Org Chem 2002, 67, 6474–6478. [Google Scholar]
- Pérez-Balado, C; Nebbioso, A; Rodríguez-Grana, P; Minichiello, A; Miceli, M; Altucci, L; de Lera, AR. Bispyridinium dienes: histone deacetylase inhibitors with selective activities. J Med Chem 2007, 50, 2497–2505. [Google Scholar]
- Wanner, MJ; Koomen, G.-J. Synthesis of the cyclostellettamines A–F and related bis(3-alkyl pyridinium) macrocycles. Eur J Org Chem 1998, 889–895. [Google Scholar]
- Mori, M; Chiba, K; Okita, M; Kayo, I; Ban, Y. New synthesis of β-lactams. Tetrahedron 1985, 41, 375–385. [Google Scholar]
- Cachoux, F; Schaal, F; Teichert, A; Wagner, T; Altmann, K.-H. Synthesis of 4-aza analogs of epothilone D. Synlett 2004, 2709–2712. [Google Scholar]
- Shorey, BJ; Lee, V; Baldwin, JE. Synthesis of the Arctic sponge alkaloid viscosaline and the marine sponge alkaloid theonelladin C. Tetrahedron 2007, 63, 5587–5592. [Google Scholar]
© 2010 by the authors; licensee Molecular Diversity Preservation International, Basel, Switzerland This article is an open-access article distributed under the terms and conditions of the Creative Commons Attribution license (http://creativecommons.org/licenses/by/3.0/).












