Next Article in Journal
Effects and Interactions of Medium Components on Laccase from a Marine-Derived Fungus Using Response Surface Methodology
Next Article in Special Issue
A Submarine Journey: The Pyrrole-Imidazole Alkaloids
Previous Article in Journal
Antiplasmodial Activities of Homogentisic Acid Derivative Protein Kinase Inhibitors Isolated from a Vanuatu Marine Sponge Pseudoceratina sp.
Previous Article in Special Issue
Recent Synthetic Studies Leading to Structural Revisions of Marine Natural Products
 
 
Font Type:
Arial Georgia Verdana
Font Size:
Aa Aa Aa
Line Spacing:
Column Width:
Background:
Article

Total Synthesis and Absolute Configuration of the Marine Norditerpenoid Xestenone

School of Pharmacy, Tokyo University of Pharmacy and Life Sciences, 1432-1 Horinouchi, Hachioji, Tokyo 192-0392, Japan
*
Author to whom correspondence should be addressed.
Mar. Drugs 2009, 7(4), 654-671; https://doi.org/10.3390/md7040654
Submission received: 2 November 2009 / Revised: 19 November 2009 / Accepted: 23 November 2009 / Published: 24 November 2009
(This article belongs to the Special Issue Synthesis around Marine Natural Products)

Abstract

:
Xestenone is a marine norditerpenoid found in the northeastern Pacific sponge Xestospongia vanilla. The relative configuration of C-3 and C-7 in xestenone was determined by NOESY spectral analysis. However the relative configuration of C-12 and the absolute configuration of this compound were not determined. The authors have now achieved the total synthesis of xestenone using their developed one-pot synthesis of cyclopentane derivatives employing allyl phenyl sulfone and an epoxy iodide as a key step. The relative and absolute configurations of xestenone were thus successfully determined by this synthesis.

Graphical Abstract

1. Introduction

The norditerpenoid xestenone (Figure 1) was first isolated from the marine sponge Xestospongia vanilla in 1988 [1]. Its planar structure was determined by 1H- and 13C-NMR and mass spectral analysis. The stereochemistry comprises two cis fused cyclopentane rings, as determined by the NOE correlation between the methyl protons at C-17 and the methine proton at C-3, although the relative configuration of C-12 and the absolute configuration were not determined. Moreover, no biological activity has been reported for xestenone, although various bioactive compounds that have been isolated from several Xestospongia sponges [2].
The authors recently reported a stereocontrolled one-pot synthesis of cyclopentane derivatives possessing a quaternary carbon, which involved: 1) reaction of an anion derived from allyl phenyl sulfone with epoxy iodide I to give epoxysulfone II; 2) in situ deprotonation of II to generate an epoxysulfone anion III and 3) intramolecular cyclization to give cyclopentane derivative IV (Scheme 1) [3]. This one-pot synthesis of cyclopentane derivatives has now been applied to the total synthesis of xestenone, and in this paper the authors wish to report on the successful total synthesis of xestenone and its complete structural determination.

2. Results and Discussion

2.1. Retrosynthetic analysis

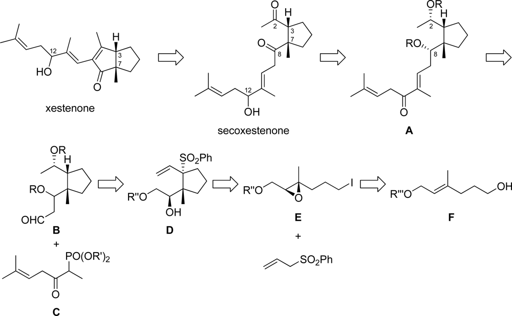
The authors planned to synthesize both xestenone and 12-epi-xestenone, since the relative configuration at C-12 of xestenone was unknown at the onset (Scheme 2). Xestenone was obtained from secoxestenone by intramolecular aldol condensation [4]. Secoxestenone would be obtained from α,β-unsaturated ketone A by 1,2-reduction of α,β-unsaturated ketone at C-12 and oxidation of the hydroxy group at C-2 and C-8. The α,β-unsaturated ketone A would be obtained from aldehyde B by the Horner-Wadsworth-Emmons reaction using known phosphonate C [5]. For the right hand fragment of xestenone, aldehyde B would be synthesized from cyclopentane D through various chemical functionalizations. Cyclopentane D would be constructed by our developed stereocontrolled one-pot synthesis of cyclopentane derivatives using trisubstituted epoxy iodide E and allyl phenyl sulfone [3]. Epoxy iodide E would be obtained from alcohol F.

2.2. Synthesis of xestenone

Geraniol was converted to alcohol 1 by known procedures [6]. Alcohol 1 was treated with p-TsCl and pyridine to give the corresponding tosylate (90%), which was deacetylated with K2CO3 in MeOH to furnish allylic alcohol 2 (94%; Scheme 3). Allylic alcohol 2 was converted to chiral β-epoxyalcohol using Sharpless asymmetric epoxidation under standard conditions [7] (94% ee). Iodination of the epoxy alcohol with NaI and NaHCO3 furnished epoxy iodide 3 (90%, 2 steps). Protection of the primary hydroxy group in 3 as the TBS ether gave the desired chiral epoxy iodide 4 (95%).
The sulfonyl carbanion prepared from allyl phenyl sulfone (2.3 eq.) and nBuLi (2.2 eq.) was reacted with epoxy iodide 4 at −20 °C. Following confirmation of the disappearance of 4 by TLC, nBuLi (1.2 eq.) and Me3Al (1.5 eq.) were added at −78 °C to give cyclopentane 5 as the sole product (98%; Scheme 4). The trans-configuration of the vinyl and 1-hydroxy-2-silyloxyethyl groups in cyclopentane 5 was determined by NOE correlation between the vinyl proton at C-2 and methyl protons at C-17. The stereoselectivity of this reaction is presumably the result of steric hindrance between the phenyl sulfonyl group and the 1-hydroxy-2-silyloxyethyl group in the intermediate sulfonyl carbanion.
Protection of the secondary hydroxy group of 5 with TBSOTf and 2,6-lutidine (Scheme 5) furnished bis-silyl ether 6 (quant.). The phenylsulfonyl group in 6 was removed by treatment with Na(Hg) and Na2HPO4 to give trisubstituted (E)-olefin 7 as a sole product (quant.). The E-configuration of the trisubstituted olefin in 7 was determined by NOE correlation between the vinyl proton at C-2 and methyl protons at C-17, and the vinyl proton at C-2 and methylene protons at C-9. Diastereoselective hydroboration-oxidation of E-olefin 7 with catecholborane furnished a mixture of diol 8 and triol 8a. The stereochemistry of diol 8 was elucidated by NOESY spectral analysis. The NOE correlation between the methyl protons at C-17 and methine proton at C-3, and the methine proton at C-2 and methine proton at C-8 in diol 8 suggested that the methyl group and methine proton of cyclopentane were oriented in the same β-configuration. The mixture of diol 8 and triol 8a was treated with p-TsOH·H2O in acetone to give acetonide 9 (95%, 2 steps). Subsequent deprotection of the acetonide group in 9 and oxidative cleavage of the 1,2-diol with HIO4·2H2O afforded hemiacetal 10, which was converted to homoallylic alcohols 11a (50%, 2 steps) and 11b (36%, 2 steps). These alcohols were easily separated by silica gel chromatography. The relative configurations of these homoallylic alcohols 11a and 11b were determined by chemical conversion and NOESY spectral analysis. Compounds 11a and 11b were converted to tetrahydrofurans 12a and 12b by treatment with p-TsCl, DMAP and Et3N (Scheme 6). The NOE correlations of 12a between the methylene protons at C-9 and methyl protons at C-17, and one of the methylene protons at C-4 and methyl protons at C-1 suggested that the C-1 methyl group and allyl group were oriented on different faces of the tetrahydrofuran ring, therefore, the stereochemistry of the hydroxy group at C-8 in homoallylic alcohol 11a was found to adopt a β-configuration. The NOE correlations of 12b between the methine proton at C-2 and methine proton at C-3, the methine proton at C-2 and methine proton at C-8, the methine proton at C-8 and methyl protons at C-17, the methine proton at C-3 and methyl protons at C-17, and the methyl protons at C-1 and one of the methylene protons at C-4 were observed. The results suggested that the C-1 methyl group and allyl group were oriented on the same face of the tetrahydrofuran ring. Therefore, the stereochemistry of the hydroxy group at C-8 in homoallylic alcohol 11b was found to adopt an α-configuration. Both homoallylic alcohols 11a and 11b could be converted to xestenone. However, the chemical yield of the later steps in this synthesis from α-alcohol 11b was low. Therefore, α-alcohol 11b was converted into β-alcohol 11a by inversion of the C-8 stereocenter. The hydroxy group at C-2 in α-alcohol 11b was protected with TBDPSCl and imidazole to give TBDPS ether, which was oxidized with IBX [8] to afford the ketone. Diastereoselective reduction of the ketone with NaBH4 to the alcohol, followed by deprotection of the TBDPS group with TBAF furnished a mixture of the desired β-alcohol 11a (69%, 4 steps) and α-alcohol 11b (14%, 4 steps).
β-Alcohol 11a was converted to bis-silyl ether 13 by treatment with TBSOTf and 2,6-lutidine (99%), and was followed by ozonolysis to give aldehyde 14 (quant.), thereby completing the synthesis of the right hand fragment of xestenone in 14 steps from known alcohol 1 [6] (Scheme 7). Treatment of aldehyde 14 with the anion of phosphonate 15 [5] in THF at r.t. provided α,β-unsaturated ketone 16 (49%). 1,2-Reduction of the α,β-unsaturated ketone 16 with NaBH4 in the presence of CeCl3·7H2O in MeOH [9] furnished allylic alcohol 17 as an inseparable mixture (99%, 1:1). Protection of the hydroxy group in allylic alcohol 17 with TrCl and DMAP in pyridine provided the trityl ether, and was followed by desilylation with TBAF to give diol 18 (quant., 2 steps). Oxidation of two hydroxy groups in diol 18 with TFAA, DMSO and Et3N generated diketone 19 (95%). Lewis acid-mediated deprotection of the trityl group in diketone 19 with Yb(OTf)3 furnished diketone 20 as an inseparable diastereomeric mixture of the hydroxy group at C-12 (79%). Diketone 20 corresponds to secoxestenone.
Finally, intramolecular aldol condensation of diketone 20 was achieved by treatment with 0.1 M NaOH aq. to furnish a diastereomeric mixture of xestenone 21 and 12-epi-21 (88%; Scheme 8). Separation of the diastereomeric mixture using a chiral HPLC column gave 21 {[α]D25 +2.2° (c 0.08, MeOH)}, and 12-epi-21 {[α]D25 −113.7° (c 0.09, MeOH)}. The optical rotation of synthetic 21 is not identical, but very close to the value obtained for the natural product {[α]D 0° (c 1.00, MeOH)} [1]. Moreover, the CD spectrum of the synthetic 21 matched that of the natural product [1]. The CD spectrum of the synthetic 21 showed a positive Cotton effect at 323 nm and a negative Cotton effect at 258 nm. The absolute configuration of the hydroxy group at C-12 in 21 was determined by comparing the 1H-NMR data of the two diastereomeric esters (MPA esters) [10]. The absolute configuration of the hydroxy group at C-12 in 12-epi-21 was determined by the same method. As a result, the absolute stereochemistry of the three chiral centers in xestenone was determined to be 3S, 7S and 12R. 12-epi-xestenone (12-epi-21) was converted to xestenone (21) by a Mitsunobu reaction.

3. Experimental Section

3.1. General

Optical rotations were measured using a Jasco P-1030 polarimeter. Melting points (mp) were measured using a Yazawa melting point apparatus BY-2 and are uncorrected. IR spectra were recorded using a Jasco FT-IR/620 spectrometer. UV spectra were recorded using a Jasco V-550 spectrophotometer. Circular dichroism (CD) spectra were measured with a Jasco J-720 spectropolarimeter. 1H- and 13C-NMR spectra were recorded on a Bruker DRX-400 or a Bruker Biospin AV-600 spectrometer. Chemical shifts are given on the δ (ppm) scale using tetramethylsilane (TMS) as the internal standard (s, singlet; d, doublet; t, triplet; q, quartet; quint, quintet; m, multiplet; br, broad). High resolution ESIMS (HRESIMS) spectra were obtained using a Micromass LCT spectrometer. Elemental analysis data were obtained using an Elemental Vavio EL. Flash column chromatography was performed using Kanto Chemical Silica Gel 60N (spherical, neutral) 40–50 μm.

3.2. (E)-6-Hydroxy-4-methylhex-4-enyl 4-methylbenzenesulfonate (2)

To a solution of (E)-6-hydroxy-3-methylhex-2-enyl acetate [6] (1, 530 mg, 3.08 mmol) in CH2Cl2 (10.3 mL) were added pyridine (374 μL, 4.62 mmol) and p-toluenesulfonyl chloride (705 mg, 3.70 mmol) at 0 °C. After stirring for 5 hr at r.t., the mixture was diluted with Et2O, washed with H2O and brine, and then dried. Removal of the solvent gave a residue which was then purified by silica gel column chromatography (hexane/AcOEt = 2:1) to generate tosylate (905 mg, 90% yield) as a colorless oil. IR (neat) 2924, 1733, 1359 cm−1; 1H-NMR (400 MHz, CDCl3) δ ppm: 7.77 (2H, d, J = 8.2 Hz), 7.33 (2H, d, J = 8.2 Hz), 5.25 (1H, m), 4.52 (2H, d, J = 7.2 Hz), 4.01 (2H, t, J = 6.4 Hz), 2.44 (3H, s), 2.05 (2H, t, J = 7.2 Hz), 2.03 (3H, s), 1.77 (2H, m), 1.64 (3H, s); 13C-NMR (100 MHz, CDCl3) δ ppm: 170.9, 144.7, 133.3, 129.8, 127.8, 119.6, 69.8, 61.0, 35.0, 26.8, 21.5, 20.9, 16.2; HRESIMS (m/z) calcd. for C16H23O5S (M+H)+ 349.1086, found 349.1086; Anal. Calcd. for C16H22O5S: C, 58.87; H, 6.79. Found: C, 58.94; H, 6.75.
To a solution of the above tosylate (9.47 g, 29.0 mmol) in MeOH (290 mL) was added K2CO3 (4.81 g, 34.8 mmol) at r.t. After stirring for 30 min at the same temperature, the mixture was diluted with Et2O and then filtered through a silica gel pad. Removal of the solvent gave a residue which was then purified by silica gel column chromatography (hexane/AcOEt = 2:1) to generate allylic alcohol 2 (7.74 g, 94% yield) as a colorless oil. IR (neat) 3387, 2923, 1354 cm−1; 1H-NMR (400 MHz, CDCl3) δ ppm: 7.75 (2H, d, J = 8.2 Hz), 7.32 (2H, d, J = 8.2 Hz), 5.31 (1H, m), 4.07 (2H, d, J = 6.5 Hz), 4.00 (2H, t, J = 6.5 Hz), 2.42 (3H, s), 2.02 (2H, t, J = 7.8 Hz), 1.76 (2H, m), 1.59 (3H, s), 1.52 (1H, br s); 13C-NMR (100 MHz, CDCl3) δ ppm: 144.7, 137.2, 133.2, 129.8, 127.8, 124.7, 69.8, 59.0, 35.0, 26.6, 21.5, 15.9; HRESIMS (m/z) calcd. for C14H21O4S (M+H)+ 307.0980, found 307.0994; Anal. Calcd. for C14H20O4S: C, 59.13; H, 7.09. Found: C, 59.07; H, 7.06.

3.3. ((2S,3S)-3-(3-Iodopropyl)-3-methyloxiran-2-yl)methanol (3)

To a cold (−20 °C) suspension of 4Å molecular sieves (114 mg) in CH2Cl2 (1.6 mL) were added L-(+)-DIPT (5.2 μL, 24.8 μmol), Ti(OiPr)4 (6.2 μL, 21.0 μmol) and TBHP (164 μL, 101 mmol, 6.17 M in CH2Cl2 solution). After stirring for 30 min at the same temperature, a solution of allylic alcohol 2 (54.4 mg, 191 μmol) in CH2Cl2 (500 μL) was added over 5 min. After stirring at −20 °C for 15 min, NaOH (13.0 μL, 30% in saturated aqueous NaCl) was added. The mixture was diluted with Et2O, warmed to r.t. and stirred for 10 min. MgSO4 (11.6 mg) and Celite (1.4 mg) were then added and after stirring for 15 min, the mixture was filtered through a Celite pad and the filtrate was concentrated under reduced pressure to afford the crude epoxide. To a solution of the crude epoxide in acetone (1.9 mL) were added NaHCO3 (17.7 mg, 210 μmol) and NaI (286 mg, 1.91 mmol) at r.t. After stirring for 8 hr at the same temperature, the mixture was diluted with Et2O and then filtered through a silica gel pad. Removal of the solvent gave a residue which was then purified by silica gel column chromatography (hexane/AcOEt = 1:2) to generate epoxy iodide 3 (44.0 mg, 90% yield) as a yellow oil. [α]D28 −10.0 (c 1.03, CHCl3); IR (neat) 3418, 2929 cm−1; 1H-NMR (400 MHz, CDCl3) δ ppm: 3.79 (1H, m), 3.68 (1H, m), 3.18 (2H, m), 2.97 (2H, t, J = 5.4 Hz), 1.99 (1H, br s), 1.93 (2H, m), 1.64 (2H, m), 1.29 (3H, s); 13C-NMR (100 MHz, CDCl3) δ ppm: 62.6, 61.2, 60.3, 39.0, 29.0, 16.8, 5.8; HRESIMS (m/z) calcd. for C7H12IO (M-OH)+ 238.9933, found 238.9930; Anal. Calcd. for C7H13IO2: C, 32.83; H, 5.12. Found: C, 33.06; H, 5.26.

3.4. tert-Butyl(((2S,3S)-3-(3-iodopropyl)-3-methyloxiran-2-yl)methoxy)dimethylsilane (4)

To a solution of epoxy iodide 3 (387 mg, 1.51 mmol) in CH2Cl2 (1.5 mL) were added Et3N (253 mg, 1.82 mmol), DMAP (185 mg, 1.51 mmol) and TBSCl (251 mg, 1.82 mmol) and the mixture was stirred at r.t. for 30 min. The mixture was diluted with Et2O, washed with saturated aqueous NaHCO3 solution, H2O and brine, and then dried. Removal of the solvent gave a residue which was then purified by silica gel column chromatography (hexane/AcOEt = 7:1) to generate epoxy iodide 4 (530 mg, 95% yield) as a colorless oil. [α]D25 +6.9 (c 1.06, CHCl3); IR (neat) 2929 cm−1; 1H-NMR (400 MHz, CDCl3) δ ppm: 3.76 (1H, dd, J = 11.5, 5.5 Hz), 3.69 (1H, dd, J = 11.5, 5.5 Hz), 3.19 (2H, t, J = 7.0 Hz), 2.91 (1H, t, J = 5.5 Hz), 1.95 (2H, m), 1.64 (2H, m), 1.26 (3H, s), 0.91 (9H, s), 0.07 (6H, s); 13C-NMR (100 MHz, CDCl3) δ ppm: 62.8, 62.0, 59.5, 39.0, 29.2, 25.9, 18.3, 16.7, 5.8, −5.2, −5.4; HRESIMS (m/z) calcd. for C13H28IO2Si (M+H)+ 371.0903, found 371.0921; Anal. Calcd. for C13H27IO2Si: C, 42.16; H, 7.35. Found: C, 42.37; H, 7.23.

3.5. (R)-1-[(1R,2S)-2-Benzenesulfonyl-1-methyl-2-vinylcyclopentyl]-2-(tert-butyldimethylsiloxy) ethanol (5)

To a solution of allyl phenyl sulfone (95.2 mg, 0.552 mmol) in THF (3.0 mL) was added nBuLi (317 μL, 0.500 mmol, 1.58 M in hexane solution) at −78 °C and the mixture was warmed to 0 °C. The mixture was stirred for 30 min at the same temperature. After cooling to −78 °C, a solution of epoxy iodide 4 (84.1 mg, 0.227 mmol) in THF (1.6 mL) was added and the mixture was warmed to −20 °C. The mixture was stirred for 30 min at the same temperature. After cooling to −78 °C, nBuLi (173 μL, 0.273 mmol, 1.58 M in hexane solution) was added and the mixture was warmed to −20 °C. The mixture was stirred for 30 min at the same temperature. After cooling to −78 °C, Me3Al (331 μL, 0.341 mmol, 1.03 M in hexane) was added. After stirring for 1 hr at the same temperature, the mixture was diluted with Et2O, washed with saturated aqueous NH4Cl solution, H2O and brine, and then dried. Removal of the solvent gave a residue which was then purified by silica gel column chromatography (hexane/AcOEt = 10:1) to generate cyclopentane 5 (94.4 mg, 98% yield) as a white solid. mp 125–126 °C; [α]D25 −114 (c 0.81, CHCl3); IR (KBr) 3560, 2952 cm−1; 1H-NMR (400 MHz, CDCl3) δ ppm: 7.78 (2H, m), 7.57 (1H, m), 7.45 (2H, m), 6.19 (1H, dd, J = 17.4, 10.9 Hz), 5.25 (1H, d, J = 10.9 Hz), 4.73 (1H, d, J = 17.4 Hz), 4.56 (1H, dt, J = 6.2, 2.9 Hz), 4.29 (1H, dd, J = 9.5, 3.5 Hz), 3.67 (1H, t, J = 8.8 Hz), 3.23 (1H, d, J = 2.9 Hz), 2.57 (1H, m), 2.06 (3H, m), 1.73 (2H, m), 0.99 (3H, s), 0.93 (9H, s), 0.14 (6H, s); 13C-NMR (100 MHz, CDCl3) δ ppm: 137.4, 135.3, 133.3, 130.6, 127.9, 120.3, 81.0, 74.3, 64.2, 54.6, 37.2, 30.8, 25.9, 20.0, 19.6, 18.2, −5.1, −5.3; HRESIMS (m/z) calcd. for C22H37O4SSi (M+H)+ 425.2182, found 425.2179; Anal. Calcd. for C22H36O4SSi: C, 62.22; H, 8.54. Found: C, 62.11; H, 8.41.

3.6. {(1S,2R)-2-[(R)-1,2-Bis(tert-butyldimethylsiloxy)ethyl]-2-methyl-1-vinylcyclopentanesulfonyl} benzene (6)

To a solution of cyclopentane 5 (7.01 g, 16.5 mmol) in CH2Cl2 (16.5 mL) were added 2,6-lutidine (17.7 g, 165 mmol) and TBSOTf (7.02 g, 26.6 mmol) and the mixture was stirred at 0 °C for 30 min. The mixture was diluted with Et2O, washed with saturated aqueous NaHCO3 solution, H2O and brine, and then dried. Removal of the solvent gave a residue which was then purified by silica gel column chromatography (hexane/AcOEt = 5:1) to generate bis-silyl ether 6 (8.89 g, quantitative yield) as a colorless oil. [α]D25 −77.9 (c 1.62, CHCl3); IR (neat) 2954, 1133 cm−1; 1H-NMR (400 MHz, CDCl3) δ ppm: 7.78 (2H, m), 7.57 (1H, m), 7.45 (2H, m), 6.37 (1H, dd, J = 17.4, 10.9 Hz), 5.27 (1H, d, J = 10.9), 4.72 (1H, d, J = 17.4 Hz), 4.63 (1H, dd, J = 5.9, 1.8 Hz), 4.15 (1H, dd, J = 10.5, 1.8 Hz), 3.87 (1H, dd, J = 10.5, 5.9), 2.51 (1H, m), 2.12 (1H, m), 2.01 (1H, m), 1.90 (3H, m), 0.92 (21H, m), 0.16 (12H, m); 13C-NMR (100 MHz, CDCl3) δ ppm: 137.3, 135.3, 133.2, 130.7, 127.9, 120.7, 81.1, 77.2, 66.5, 56.3, 40.0, 31.6, 26.3, 26.2, 19.8, 19.0, 18.5, −3.3, −4.6, −5.1, −5.4; HRESIMS (m/z) calcd. for C28H51O4SSi2 (M+H)+ 539.3047, found 539.3086; Anal. Calcd. for C28H50O4SSi2: C, 62.40; H, 9.35. Found: C, 62.37; H, 9.11.

3.7. (S)-1-[(R)-1,2-Bis(tert-butyldimethylsiloxy)ethyl]-2-ethylidene-1-methylcyclopentane (7)

To a solution of bis-silyl ether 6 (9.29 g, 17.2 mmol) in MeOH (344 mL) were added Na2HPO4 (17.1 g, 120.5 mmol) and 5% Na(Hg) (31.6 g). After stirring for 1 hr at r.t., the mixture was diluted with Et2O and filtered through silica gel. The filtrate was then concentrated under reduced pressure. The resultant residue was then purified by silica gel column chromatography (hexane only) to generate E-olefin 7 (6.86 g, quantitative yield) as a colorless oil. [α]D25 +19.0 (c 1.35, CHCl3); IR (neat) 2955 cm−1; 1H-NMR (400 MHz, CDCl3) δ ppm: 5.17 (1H, m), 3.78 (1H, dd, J = 10.3, 2.8 Hz), 3.52 (1H, dd, J = 9.2, 1.8 Hz), 3.46 (1H, dd, J = 10.3, 5.8 Hz), 2.35 (1H, m), 2.08 (2H, m), 1.67 (1H, m), 1.58 (3H, d, J = 6.7 Hz), 1.53 (2H, m), 1.22 (1H, m), 0.97 (3H, s), 0.88 (9H, s), 0.86 (9H, s), 0.07 (3H, s), 0.03 (3H, s), 0.03 (3H, s), 0.00 (3H, s); 13C-NMR (100 MHz, CDCl3) δ ppm: 150.2, 114.1, 79.1, 66.3, 49.5, 35.7, 30.0, 26.1, 26.0, 23.9, 22.5, 18.4, 18.3, 14.7, −3.9, −5.0, −5.3; HRESIMS (m/z) calcd. for C22H46O2Si2Na (M+Na)+ 421.2934, found 421.2914; Anal. Calcd. for C22H46O2Si2: C, 66.26; H, 11.63. Found: C, 66.36; H, 11.50.

3.8. (S)-1-{(1R,2S)-2-[(R)-2,2-Dimethyl-[1,3]dioxolan-4-yl]-2-methylcyclopentyl}ethanol (9)

To a solution of E-olefin 7 (3.86 g, 9.69 mmol) in THF (19.4 mL) was added catecholborane (6.40 mL, 60.1 mmol) dropwise at 0 °C. After stirring for 12 hr at the same temperature, 1M NaOH solution (12.9 mL) and 35% aqueous H2O2 solution (36.9 mL) were added to the mixture at r.t. After stirring for 2 hr, the resultant mixture was diluted with CHCl3, washed with H2O and brine, dried and then concentrated to afford a mixture of diol 8 and triol 8a. To a solution of the crude alcohols in acetone (96.9 mL) was added p-TsOH·H2O (735 mg, 3.88 mmol) at r.t. After stirring for 2 hr at the same temperature, the mixture was diluted with Et2O, washed with saturated aqueous NaHCO3 solution, H2O and brine, and then dried. Removal of the solvent gave a residue which was then purified by silica gel column chromatography (hexane/acetone = 4:1) to generate acetonide 9 (2.11 g, 95% yield) as a colorless oil. [α]D25 +4.0 (c 0.58, CHCl3); IR (neat) 3443, 2956 cm−1; 1H-NMR (400 MHz, CDCl3) δ ppm: 4.42 (1H, dd, J = 8.5, 6.5 Hz), 4.01 (1H, m), 3.96 (1H, dd, J = 7.8, 6.5 Hz), 3.66 (1H, t, J = 8.2 Hz), 2.07 (1H, s), 1.89 (1H, m), 1.69–1.50 (4H, m), 1.41 (3H, s), 1.35 (3H, s), 1.37–1.33 (2H, m), 1.20 (3H, d, J = 6.2 Hz), 1.07 (3H, s); 13C-NMR (100 MHz, CDCl3) δ ppm: 108.5, 79.9, 69.3, 66.9, 59.1, 45.1, 35.0, 31.2, 27.8, 26.5, 25.3, 24.2, 23.3; HRESIMS (m/z) calcd. for C13H25O3 (M+H)+ 229.1804, found 229.1810; Anal. Calcd. for C13H24O3: C, 68.38; H, 10.59. Found: C, 68.43; H, 10.59.

3.9. (R)-1-[(1S,2R)-2-((S)-1-Hydroxyethyl)-1-methylcyclopentyl]but-3-en-1-ol (11a) and (S)-1-[(1S,2R)-2-((S)-1-hydroxyethyl)-1-methylcyclopentyl]but-3-en-1-ol (11b)

To a solution of acetonide 9 (2.11 g, 9.24 mmol) in THF was added a solution of HIO42H2O (12.6 g, 55.4 mmol) in H2O (93.0 mL) at r.t. After stirring for 3 hr at 45 °C, the mixture was diluted with Et2O, washed with H2O and brine, dried and then concentrated to afford crude hemiacetal 10. To a solution of crude hemiacetal 10 in Et2O (93.0 mL) was added allyl magnesium bromide (33.0 mL, 32.3 mmol, 1.0 M in Et2O solution) at −78 °C. After stirring for 1 hr at 0 °C, the mixture was diluted with Et2O, washed with saturated aqueous NH4Cl solution, H2O and brine, and then dried. Removal of the solvent gave a residue which was then purified by silica gel column chromatography (hexane/AcOEt = 8:1) to generate diol 11a (914 mg, 50% yield) as a colorless oil and diol 11b (650 mg, 36 % yield) as a white solid. Compound 11a: [α]D25 −5.0 (c 0.39, CHCl3); IR (neat) 3306, 2955 cm−1; 1H-NMR (400 MHz, CDCl3) δ ppm: 5.87 (1H, m), 5.19 (1H, d, J = 10.4 Hz), 5.18 (1H, d, J = 16.8 Hz), 3.86 (1H, m), 3.68 (1H, dd, J =10.5, 2.3 Hz), 3.18 (2H, br s), 2.34 (1H, m), 2.13 (1H, m), 1.80 (1H, m), 1.62–1.34 (5H, m), 1.22 (1H, m), 1.17 (3H, d, J = 6.2 Hz), 1.09 (3H, s); 13C-NMR (100 MHz, CDCl3) δ ppm: 136.1, 118.7, 72.5, 69.2, 58.8, 47.8, 39.5, 37.1, 30.2, 22.7, 22.5, 22.4; HRESIMS (m/z) calcd. for C12H23O2 (M+H)+ 199.1698, found 199.1713; Anal. Calcd. for C12H22O2: C, 72.68; H, 11.18. Found: C, 72.40; H, 10.99. Compound 11b: mp 93–95 °C; [α]D25 −35.0 (c 0.20, CHCl3); IR (KBr) 3351, 2953 cm−1; 1H-NMR (400 MHz, CDCl3) δ ppm: 5.30 (1H, m), 5.18 (1H, d, J = 10.2 Hz), 5.17 (1H, d, J = 16.9 Hz), 4.11 (1H, m), 3.76 (1H, dd, J = 10.8, 2.1 Hz), 2.48 (1H, m), 2.27 (2H, br s), 2.13 (1H, m), 1.85 (1H, m), 1.67 (2H, m), 1.60 (2H, m), 1.45 (2H, m,), 1.22 (3H, d, J = 6.2 Hz), 1.19 (3H, s); 13C-NMR (100 MHz, CDCl3) δ ppm: 136.2, 118.6, 75.7, 69.5, 59.5, 47.5, 37.8, 36.5, 32.0, 29.5, 23.9, 23.4; HRESIMS (m/z) calcd. for C12H23O2 (M+H)+ 199.1698, found 199.1681; Anal. Calcd. for C12H22O2: C, 72.68; H, 11.18. Found: C, 72.65; H, 10.91.

3.10. (1R,2R,3aS,3R)-3-Allyl-1,3a-dimethylhexahydrocyclopenta[c]furan (12a)

To a solution of diol 11a (34.4 mg, 0.174 mmol) in CH2Cl2 (1.7 mL) were added Et3N (105 mg, 1.04 mmol), DMAP (106 mg, 0.868 mmol) and p-toluenesulfonyl chloride (132 mg, 0.694 mmol) at r.t. The mixture was stirred for two days at the same temperature. The mixture was diluted with Et2O, washed with saturated aqueous NH4Cl solution, H2O and brine, and then dried. Removal of the solvent gave a residue which was then purified by silica gel column chromatography (hexane/AcOEt = 10:1) to generate tetrahydrofuran 12a (24.1 mg, 77% yield) as a colorless oil. [α]D26 +21.5 (c 1.58, CHCl3); IR (neat) 2953, 2870 cm−1; 1H-NMR (400 MHz, CDCl3) δ ppm: 5.84 (1H, m), 5.09 (1H, m), 5.03 (1H, m), 4.25 (1H, quint., J = 6.5 Hz), 3.64 (1H, dd, J = 9.0, 4.8 Hz), 2.30–2.15 (2H, m), 2.07 (1H, m), 1.68–1.59 (5H, m), 1.46 (1H, m), 1.16 (3H, d, J = 6.5 Hz), 1.07 (3H, s); NOESY correlations (H/H): H-1/H-4; H-3/H-17; H-9/H-17; 13C-NMR (100 MHz, CDCl3) δ ppm: 136.7, 116.4, 85.0, 74.5, 57.0, 39.1, 35.4, 27.3, 26.5, 22.1, 17.3; HRESIMS (m/z) calcd. for C12H21O (M+H)+ 181.1592, found 181.1590; Anal. Calcd. for C12H20O: C, 79.94; H, 11.18. Found: C, 80.11; H, 11.10.

3.11. (1R,2R,3aS,3S)-3-Allyl-1,3a-dimethylhexahydrocyclopenta[c]furan (12b)

To a solution of diol 11b (32.4 mg, 0.163 mmol) in CH2Cl2 (1.6 mL) were added Et3N (82.8 mg, 0.817 mmol), DMAP (79.9 mg, 0.654 mmol) and p-toluenesulfonyl chloride (93.5 mg, 0.490 mmol) at r.t. The mixture was stirred for 2 days at the same temperature. The mixture was diluted with Et2O, washed with saturated aqueous NH4Cl solution, H2O and brine, and then dried. Removal of the solvent gave a residue which was then purified by silica gel column chromatography (hexane/AcOEt = 5:1) to generate tetrahydrofuran 12b (27.1 mg, 93% yield) as a colorless oil. [α]D26 −35.1 (c 1.14, CHCl3); IR (neat) 2951, 2866 cm−1; 1H-NMR (400 MHz, CDCl3) δ ppm: 5.87 (1H, m), 5.12 (1H, m), 5.04 (1H, m), 3.84 (1H, quint., J = 6.4 Hz), 3.32 (1H, dd, J = 8.4, 4.9 Hz), 2.36–2.23 (2H, m), 1.97 (1H, m), 1.63–1.59 (6H, m), 1.19 (3H, d, J = 6.5 Hz), 1.07 (3H, s); NOESY correlations (H/H): H-1/H-4; H-2/H-3; H-2/H-8; H-3/H-17; H-8/H-17; 13C-NMR (100 MHz, CDCl3) δ ppm: 136.1, 116.3, 86.9, 75.4, 56.1, 35.1, 34.7, 30.0, 27.7, 26.8, 25.9, 15.5; HRESIMS (m/z) calcd. for C12H21O (M+H)+ 181.1592, found 181.1577; Anal. Calcd. for C12H20O: C, 79.94; H, 11.18. Found: C, 79.91; H, 11.14.

3.12. Conversion from diol 11b to diol 11a

To a solution of diol 11b (50.0 mg, 0.252 mmol) in DMF (252 μL) were added imidazole (21.0 mg, 0.308 mmol) and TBDPSCl (83.5 mg, 0.304 mmol) and the mixture was stirred at r.t. for 1 hr. The mixture was diluted with Et2O, washed with saturated aqueous NaHCO3 solution, H2O and brine and then dried. The crude mixture was diluted with Et2O and filtered through a silica gel pad. The filtrate was concentrated to afford the crude alcohol. To a solution of the crude alcohol in CH3CN (2.5 mL) was added IBX (212 mg, 0.757 mmol) at r.t. After stirring for 30 min at 80 °C, the mixture was diluted with Et2O and then filtered through a Celite pad. Removal of the solvent gave a residue which was filtered through a silica gel pad to afford the crude ketone. To a solution of the crude ketone in MeOH (2.5 mL) was added NaBH4 (28.6 mg, 0.756 mmol) at r.t. After stirring for 2 hr under reflux, the mixture was diluted with Et2O, washed with H2O and brine and then dried. Removal of the solvent gave a residue which was then filtered through a silica gel pad to afford the crude alcohols. To a solution of the crude alcohols in THF (2.5 mL) was added TBAF (760 μL, 0.760 mmol, 1.0 M in THF solution) at r.t. After stirring for 12 hr at 40 °C, the mixture was diluted with Et2O, washed with H2O and brine and then dried. Removal of the solvent gave a residue which was then purified by silica gel column chromatography (hexane/AcOEt = 4:1) to generate diol 11a (34.6 mg, 69%) and diol 11b (6.9 mg, 14 %).

3.13. (1S,2R)-1-[(R)-1-(tert-Butyldimethylsiloxy)but-3-enyl]-2-[(S)-1-(tert-butyldimethylsiloxy)ethyl]-1-methylcyclopentane (13)

To a solution of diol 11a (988 mg, 4.98 mmol) in CH2Cl2 (2.7 mL) were added 2,6-lutidine (2.67 g, 24.9 mmol) and TBSOTf (3.95 g, 14.9 mmol) and the mixture was stirred at 0 °C for 30 min. The mixture was diluted with Et2O, washed with saturated aqueous NaHCO3 solution, H2O and brine, and then dried. Removal of the solvent gave a residue which was then purified by silica gel column chromatography (hexane only) to generate bis-silyl ether 13 (2.11 g, 99% yield) as a colorless oil. [α]D25 +0.97 (c 1.07, CHCl3); IR (neat) 2956, 2885, 1471 cm−1; 1H-NMR (400 MHz, CDCl3) δ ppm: 5.90 (1H, m), 5.00 (2H, m), 4.13 (1H, quint, J = 6.1 Hz), 3.80 (1H, dd, J = 6.5, 3.7 Hz), 2.38 (1H, m), 2.22 (1H, m), 1.85–1.57 (6H, m), 1.19 (1H, m), 1.09 (3H, d, J = 6.1 Hz), 1.04 (3H, s), 0.89 (9H, s), 0.88 (9H, s), 0.06 (12H, m); 13C-NMR (100 MHz, CDCl3) δ ppm: 137.7, 115.8, 77.2, 76.8, 69.1, 56.6, 50.1, 40.3, 35.1, 27.4, 27.1, 26.2, 26.0, 22.5, 18.4, 18.1, −3.0, −3.4, −3.6, −4.0; HRESIMS (m/z) calcd. for C24H51O2Si2 (M+H)+ 427.3428, found 427.3437; Anal. Calcd. for C24H50O2Si2: C, 67.54; H, 11.81. Found: C, 67.44; H, 11.66.

3.14. (R)-3-(tert-Butyldimethylsiloxy)-3-{(1S,2R)-2-[(S)-1-(tert-butyldimethylsiloxy)ethyl]-1-methyl-cyclopentyl}propionaldehyde (14)

A cold (−78 °C) solution of bis-silyl ether 13 (482 mg, 1.13 mmol) in CH2Cl2 (56.5 mL) was treated with ozone until the blue color generated persisted for more than 15 min. Excess ozone was removed using an argon flow. To the mixture were then added MeOH (56.5 mL), Zn powder (739 mg, 11.3 mmol), KI (1.88 g, 11.3 mmol) and AcOH (682 mg, 11.4 mmol). The mixture was allowed to warm to r.t., stirred for 1 hr at the same temperature and then concentrated under reduced pressure. The resultant residue was diluted with Et2O, washed with saturated aqueous NaHCO3 solution, H2O and brine and then dried. Removal of the solvent gave a residue which was then purified by silica gel column chromatography (hexane/AcOEt = 20:1) to generate aldehyde 14 (484 mg, quantitative yield) as a colorless oil. [α]D25 −0.56 (c 1.08, CHCl3); IR (neat) 2955, 2857, 1727 cm−1; 1H-NMR (400 MHz, CDCl3) δ ppm: 9.85 (1H, dd, J = 2.7, 1.3 Hz), 4.42 (1H, dd, J = 6.0, 4.1 Hz), 4.10 (1H, quint, J = 6.1 Hz), 2.67 (2H, m), 1.84 (1H, m), 1.74 (2H, m), 1.61 (3H, m), 1.23 (1H, m), 1.12 (3H, d, J = 6.1 Hz), 1.05 (3H, s), 0.88 (9H, s), 0.88 (9H, s), 0.06 (12H, m); 13C-NMR (100 MHz, CDCl3) δ ppm: 201.9, 70.9, 69.0, 56.3, 50.5, 49.6, 35.4, 27.3, 26.7, 26.0, 22.4, 22.3, −3.4, −3.7, −4.0, −4.1; HRESIMS (m/z) calcd. for C23H48O3Si2Na (M+Na)+ 451.3040, found 451.3052; Anal. Calcd. for C23H48O3Si2: C, 64.42; H, 11.28. Found: C, 64.40; H, 11.10.

3.15. (6E,9R)-9-(tert-Butyldimethylsiloxy)-9-{(1R,2S)-2-[(S)-1-(tert-butyldimethylsiloxy)ethyl]-1-methylcyclopentyl}-2,6-dimethylnona-2,6-dien-5-one (16)

To a solution of phosphonate 15 [5] (306 mg, 1.17 mmol) in THF (700 μL) was added nBuLi (591 μL, 0.935 mmol, 1.58 M in hexane solution) at 0 °C. The mixture was stirred for 1 hr at the same temperature and a solution of aldehyde 14 (200 mg, 0.467 mmol) in THF (4.0 mL) was added dropwise at r.t. After stirring for 5 hr, the mixture was diluted with Et2O, washed with saturated aqueous NH4Cl solution, H2O and brine, and then dried. Removal of the solvent gave a residue which was then purified by silica gel column chromatography (hexane/benzene = 4:1) to generate α,β-unsaturated ketone 16 (123 mg, 49% yield) as a white solid and recovered aldehyde 14 (36.5 mg, 18% yield). Compound 16: mp 55–58 °C; [α]D25 +11.2 (c 0.57, CHCl3); UV (MeOH) λmax (ɛ) nm: 234 (18800); IR (KBr) 2956, 2931, 2856, 1674 cm−1; 1H-NMR (400 MHz, CDCl3) δ ppm: 6.83 (1H, t, J = 6.1 Hz), 5.34 (1H, m), 4.10 (1H, quint, J = 6.2 Hz), 3.97 (1H, t, J = 5.6 Hz), 3.38 (2H, d, J = 7.0 Hz), 2.49 (2H, m), 1.85 (1H, m), 1.78 (3H, s), 1.74 (3H, s), 1.80–1.74 (2H, m), 1.64 (3H, s), 1.64–1.57 (4H, m), 1.11 (3H, d, J = 6.1 Hz), 1.06 (3H, s), 0.90 (9H, s), 0.88 (9H, s), 0.08 (6H, d, J = 12.6 Hz), 0.06 (6H, d, J = 6.5 Hz); 13C-NMR (100 MHz, CDCl3) δ ppm: 199.9, 141.5, 136.9, 134.6, 117.1, 77.2, 75.9, 69.1, 56.5, 50.1, 37.1, 35.6, 35.1, 27.2, 27.1, 26.1, 26.0, 25.7, 22.5, 22.4, 18.3, 18.1, 11.9, −3.2, −3.4, −3.8, −3.9; HRESIMS (m/z) calcd. for C31H61O3Si2 (M+H)+ 537.4159, found 537.4168; Anal. Calcd. for C31H60O3Si2: C, 69.34; H, 11.26. Found: C, 69.40; H, 11.05.

3.16. (5R,6E,9R)-9-(tert-Butyldimethylsiloxy)-9-{(1R,2S)-2-[(S)-1-(tert-butyldimethylsiloxy)ethyl]-1-methylcyclopentyl}-2,6-dimethylnona-2,6-dien-5-ol and (5S,6E,9R)-9-(tert-butyldimethylsiloxy)-9-{(1R,2S)-2-[(S)-1-(tert-butyldimethylsiloxy)ethyl]-1-methylcyclopentyl}-2,6-dimethylnona-2,6-dien-5-ol (17)

To a solution of CeCl3·7H2O (144 mg, 0.386 mmol) in MeOH (9.3 mL) was added NaBH4 (11.0 mg, 0.290 mmol) at 0 °C. The mixture was then added to a solution of α,β-unsaturated ketone 16 (104 mg, 0.193 mmol) in MeOH (10.0 mL) at 0 °C and stirred for 30 min at the same temperature. The mixture was diluted with Et2O, washed with H2O and brine, and then dried. Removal of the solvent gave a residue which was then purified by silica gel column chromatography (CHCl3 only) to generate a diastereomeric mixture of allylic alcohol 17 (103 mg, 99% yield) as a colorless oil. IR (neat) 3353, 2957 cm−1; 1H-NMR (400 MHz, CDCl3) δ ppm: 5.54 (1H, m), 5.11 (1H, m), 4.14 (1H, m), 4.00 (1H, m), 3.80 (1H, m), 2.42–2.14 (4H, m), 1.86 (1H, m), 1.80–1.57 (5H, m), 1.72 (3H, s), 1.64 (3H, s), 1.62 (3H, s), 1.15 (1H, m), 1.09 (3H, d, J = 6.1 Hz), 1.02 (1.5 H, s), 1.02 (1.5H, s), 0.88 (9H, d, J = 6.9 Hz), 0.88 (9H, d, J = 5.4 Hz), 0.06 (12H, m); 13C-NMR (100 MHz, CDCl3) δ ppm: 136.6, 136.5, 134.8, 134.7, 125.6, 125.5, 120.2, 120.2, 77.2, 77.2, 68.9, 68.9, 56.2, 56.2, 50.2, 50.2, 35.1, 35.0, 34.1, 34.0, 26.7, 26.6, 26.5, 26.3, 26.2, 26.0, 25.9, 22.5, 22.1, 22.1, 22.1, 18.4, 18.1, 18.0, 12.1, 12.1, −3.1, −3.2, −3.4, −3.5, −3.7, −3.7, −4.0, −4.0; HRESIMS (m/z) calcd. for C31H62O3Si2Na (M+Na)+ 561.4135, found 561.4156; Anal. Calcd. for C31H62O3Si2: C, 69.08; H, 11.59. Found: C, 68.92; H, 11.30.

3.17. (1R,3E,5R)-1-[(1S,2R)-2-((S)-1-Hydroxyethyl)-1-methylcyclopentyl]-4,8-dimethyl-5-trityloxy-nona-3,7-dien-1-ol and (1R,3E,5S)-1-[(1S,2R)-2-((S)-1-hydroxyethyl)-1-methylcyclopentyl]-4,8-dimethyl-5-trityloxynona-3,7-dien-1-ol (18)

To a solution of the diastereomeric mixture of allylic alcohol 17 (40.0 mg, 0.074 mmol) in pyridine (740 μL) were added DMAP (5.0 mg, 0.041 mmol) and TrCl (103 mg, 0.395 mmol) at r.t. After stirring for 4 days at 80 °C, the mixture was diluted with Et2O, washed with H2O and brine, and then dried. Removal of the solvent gave a residue which was filtered through a short-path silica gel pad (hexane/AcOEt = 20:1). The filtrate was then concentrated to afford the crude trityl ether. To a solution of the crude trityl ether in DMF (1.5 mL) was added TBAF (1.5 mL, 0.150 mmol, 1.0 M in THF solution) at r.t. After stirring for 2 days at 50 °C, the mixture was diluted with Et2O, washed with H2O and brine and then dried. Removal of the solvent gave a residue which was then purified by silica gel column chromatography (hexane/AcOEt = 10:1) to generate a diastereomeric mixture of diol 18 (40.9 mg, quantitative yield) as a colorless oil. IR (neat) 3344, 2961 cm−1; 1H-NMR (400 MHz, CDCl3) δ ppm: 7.51 (6H, m), 7.30–7.20 (9H, m), 4.93 (1H, t, J = 6.6 Hz), 4.77 (0.5H, dd, J = 6.7, 6.7 Hz), 4.68 (0.5H, dd, J = 9.0, 5.5 Hz), 4.00 (1H, dd, J = 5.7, 5.7 Hz), 3.79 (0.5H, m), 3.73 (0.5H, m), 3.47–3.36 (1H, m), 2.31 (0.5H, m), 2.12–1.88 (3.5 H, m), 1.82–1.73 (2.5H, m), 1.63 (3H, m), 1.54 (3H, m), 1.48 (3H, m), 1.57–1.43 (2.5H, m), 1.41–1.31 (2H, m), 1.17 (1.5H, m), 1.14 (1.5H, m), 1.07 (3H, m); 13C-NMR (100 MHz, CDCl3) δ ppm: 145.1, 140.4, 140.3, 133.7, 133.2, 129.0, 127.5, 127.5, 126.9, 126.9, 122.1, 121.4, 120.6, 120.4, 87.2, 87.2, 79.5, 78.5, 77.2, 72.6, 72.3, 69.0, 68.9, 59.1, 47.3, 47.2, 39.6, 33.1, 33.0, 30.3, 30.1, 30.1, 29.6, 29.2, 26.1, 25.8, 25.7, 22.4, 22.4, 22.3, 22.3, 22.2, 17.7, 12.7, 11.6; HRESIMS (m/z) calcd. for C38H48O3Na (M+Na)+ 575.3501, found 575.3522; Anal. Calcd. for C38H48O3: C, 82.56; H, 8.75. Found: C, 82.52; H, 8.60.

3.18. (3E,5R)-1-((1S,2R)-2-Acetyl-1-methylcyclopentyl)-4,8-dimethyl-5-trityloxynona-3,7-dien-1-one and (3E,5S)-1-((1S,2R)-2-acetyl-1-methylcyclopentyl)-4,8-dimethyl-5-trityloxynona-3,7-dien-1-one (19)

To a cold (−78 °C) solution of TFAA (67.6 mg, 0.322 mmol) in CH2Cl2 (100 μL) was added DMSO (33.6 mg, 0.430 mmol) in CH2Cl2 (100 μL). The mixture was stirred at 78 °C for 30 min, treated with a solution of the diastereomeric mixture of diol 18 (29.6 mg, 0.054 mmol) in CH2Cl2 (340 μL), stirred for 2 hr and then Et3N (54.3 mg, 0.537 mmol) was added. The mixture was warmed to r.t. and stirred for 30 min. The mixture was diluted with Et2O, washed with saturated aqueous NaHCO3 solution, H2O and brine and then dried. Removal of the solvent gave a residue which was then purified by silica gel column chromatography (hexane/AcOEt = 6:1) to generate a diastereomeric mixture of diketone 19 (27.9 mg, 95% yield) as a colorless oil. IR (neat) 2965, 1705 cm−1; 1H-NMR (400 MHz, CDCl3) δ ppm: 7.49 (6H, m), 7.26–7.16 (9H, m), 4.95 (1H, t, J = 6.1 Hz), 4.81 (1H, t, J = 7.3 Hz), 3.92 (1H, dd, J = 8.8, 4.7 Hz), 2.92 (2H, m), 2.78 (1H, dd, J = 8.6, 5.0 Hz), 2.23–1.72 (6H, m), 2.15 (3H, s), 1.63–1.55 (2H, m), 1.58 (3H, s), 1.48 (3H, s), 1.42 (3H, s), 1.21 (3H, s); 13C-NMR (100 MHz, CDCl3) δ ppm: 212.2, 210.7, 145.2, 137.6, 132.4, 129.2, 127.5, 126.8, 120.5, 118.7, 87.2, 79.3, 77.2, 60.9, 59.8, 37.9, 35.4, 33.5, 29.9, 27.6, 25.8, 25.2, 22.4, 17.8, 12.1; HRESIMS (m/z) calcd. for C38H44O3Na (M+Na)+ 571.3188, found 571.3196. Anal. Calcd. for C38H44O3: C, 83.17; H, 8.08. Found: C, 83.12; H, 8.21.

3.19. Diastereomeric mixture of secoxestenone (20)

To a solution of the diastereomeric mixture of diketone 19 (76.2 mg, 0.139 mmol) in CH2Cl2 (14 mL) was added Yb(OTf)3 (172 mg, 0.277 mmol) at r.t. After stirring for 30 min, the mixture was diluted with Et2O. To this was added NaHCO3 and the mixture was then filtered through a silica gel pad. Removal of the solvent gave a residue which was then purified by silica gel column chromatography (hexane/AcOEt = 1:1) to generate a diastereomeric mixture of secoxestenone 20 (33.5 mg, 79% yield) as a colorless oil. IR (neat) 3448, 2965, 1706 cm−1; 1H-NMR (400 MHz, CDCl3) δ ppm: 5.60 (1H, m), 5.10 (1H, m), 4.05 (1H, m), 3.27 (2H, m), 2.85 (1H, m), 2.27 (3H, m), 2.16 (3H, m), 2.09 (1H, m), 1.91–1.75 (3H, m), 1.71 (3H, s), 1.66 (1H, m), 1.63 (3H, s), 1.63 (3H, s), 1.28 (3H m); 13C-NMR (100 MHz, CDCl3) δ ppm: 212.8, 210.8, 148.5, 141.9, 134.7, 120.8, 120.1, 118.2, 77.2, 76.9, 61.3, 60.4, 59.7, 37.8, 35.9, 35.5, 34.0, 30.2, 29.8, 27.8, 27.7, 25.9, 25.7, 25.6, 25.3, 22.4, 18.0, 12.3, 12.1; HRESIMS (m/z) calcd. for C19H30O3Na (M+Na)+ 329.2093, found 329.2085. Anal. Calcd. for C19H30O3: C, 74.47; H, 9.87. Found: C, 74.29; H, 9.85.

3.20. Xestenone (21) and 12-epi-xestenone (12-epi-21)

To a solution of the diastereomeric mixture of secoxestenone 20 (26.5 mg, 0.087 mmol) in MeOH (6.7 mL) was added 0.1 M NaOH aqueous solution (21.6 mL) at r.t. The mixture was stirred for 30 min, neutralized with 1.0 M HCl aqueous solution, diluted with Et2O, washed with H2O and brine, dried and then concentrated under reduced pressure. The resultant residue was purified by silica gel column chromatography (hexane/AcOEt = 4:1) to give a mixture of 21 and 12-epi-21 (22.0 mg, 88% yield) as a colorless oil. The above mixture was subjected to HPLC (CHIRALPAK IA, 1.0 cm × 25 cm, hexane/EtOH = 95:5, flow rate: 1.0 mL/min) to give xestenone 21 (tR = 12.0 min) and 12-epi-21 (tR = 15.0 min); 21: [α]D25 +2.2 (c 0.075, MeOH); UV (sh, MeOH) λmax nm (ɛ): 257 (6100); CD (MeOH) λext nm [θ]: 323 (+87,000), 258 (−129,000); IR (neat) 3419, 1685 cm−1; 1H-NMR (600 MHz, CDCl3) δ ppm: 5.93 (1H, s), 5.18 (1H, br t, J = 6.9 Hz), 4.18 (1H, t, J = 6.4 Hz), 2.71 (1H, d, J = 9.1 Hz), 2.35 (2H, m), 1.96 (3H, s), 1.93 (1H, m), 1.90 (1H, br s), 1.82 (1H, m), 1.75 (3H, s), 1.69 (1H, m), 1.67 (3H, s), 1.64 (1H, m), 1.55 (3H, s), 1.35 (1H, m), 1.25 (1H, m), 1.21 (3H, s); 13C-NMR (150 MHz, CDCl3) δ ppm: 212.7, 172.2, 144.3, 137.4, 134.9, 119.9, 115.6, 76.4, 56.7, 54.8, 37.5, 34.2, 28.9, 25.9, 24.8, 22.5, 18.0, 16.7, 14.4; HRESIMS (m/z) calcd. for C19H28O2Na (M+Na)+ 311.1987, found 311.1981. Anal. Calcd. for C19H28O2: C, 79.12; H, 9.78. Found: C, 78.97; H, 9.74. 12-epi-21: [α]D25 −113.7 (c 0.085, MeOH); UV (sh, MeOH) λmax nm (ɛ): 254 (2,100); CD (MeOH) λext nm [θ]: 320 (+116,000), 256 (−104,000); IR (neat) 3418, 1686 cm−1; 1H-NMR (600 MHz, CDCl3) δ ppm: 5.92 (1H, s), 5.16 (1H, t, J = 7.2 Hz), 4.19 (1H, t, J = 6.3 Hz), 2.71 (1H, d, J = 9.1 Hz), 2.35 (2H, m), 1.96 (3H, s), 1.93 (1H, m), 1.81 (1H, m), 1.74 (3H, s), 1.69 (1H, m), 1.67 (3H, s), 1.62 (1H, m), 1.55 (3H, s), 1.35 (1H, m), 1.25 (1H, m), 1.22 (3H, s); 13C-NMR (150 MHz, CDCl3) δ ppm: 212.8, 172.2, 144.3, 137.4, 134.8, 119.9, 115.9, 76.5, 56.7, 54.7, 37.5, 34.1, 28.9, 25.9, 24.8, 22.5, 18.0, 16.7, 14.1; HRESIMS (m/z) calcd. for C19H28O2Na (M+Na)+ 311.1987, found 311.1975. Anal. Calcd. for C19H28O2: C, 79.12; H, 9.78. Found: C, 79.03; H, 9.88.

3.21. General procedure for the synthesis of MPA ester

To a solution of xestenone (21) in CH2Cl2 were added DCC, DMAP and (S)-(+)- or (R)-(−)-α-methoxyphenylacetic acid at r.t. After stirring for 30 min at 40 °C the mixture was concentrated. Removal of the solvent gave a residue which was then purified by silica gel column chromatography (hexane/AcOEt = 6:1) to generate (S)- or (R)-MPA ester. (S)-MPA ester: 1H-NMR (400 MHz, CDCl3) δ ppm: 7.44–7.27 (5H, m), 5.66 (1H, s), 5.26 (1H, dd, J = 7.9, 5.7 Hz), 5.06 (1H, m), 4.75 (1H, s), 3.43 (3H, s), 2.62 (1H, d, J = 9.2 Hz), 2.39 (2H, m), 1.88 (1H, m), 1.76 (1H, m), 1.70 (3H, s), 1.68 (3H, s), 1.61 (3H, s), 1.59 (2H, m), 1.30 (1H, m), 1.26 (3H, br s), 1.19 (1H, m), 1.15 (3H, s); 13C-NMR (150 MHz, CDCl3) δ ppm: 211.9, 169.8, 139.2, 137.0, 134.6, 128.8, 128.5, 128.2, 127.2, 119.0, 118.1, 117.8, 82.6, 79.0, 56.6, 54.7, 37.4, 31.8, 29.7, 28.8, 25.8, 24.7, 22.5, 18.0, 16.5, 14.4; HRESIMS (m/z) calcd. for C28H36O4Na (M+Na)+ 459.2511, found 459.2521; (R)-MPA ester: 1H-NMR (400 MHz, CDCl3) δ ppm: 7.45–7.29 (5H, m), 5.88 (1H, s), 5.24 (1H, dd, J = 7.7, 5.7 Hz), 4.80 (1H, m), 4.77 (1H, s), 3.43 (3H, s), 2.67 (1H, d, J = 9.0 Hz), 2.28 (2H, m), 1.91 (1H, m), 1.85 (3H, s), 1.81–1.59 (3H, m), 1.53 (3H, s), 1.48 (3H, br s), 1.47 (3H, s), 1.33 (1H, m), 1.22 (1H, m), 1.19 (3H, s); 13C-NMR (150 MHz, CDCl3) δ ppm: 212.1, 170.0, 139.5, 137.0, 134.4, 128.8, 128.5, 128.2, 127.2, 119.0, 118.7, 117.8, 82.6, 79.0, 56.7, 54.7, 37.5, 31.9, 29.7, 28.9, 25.6, 24.8, 22.5, 17.8, 16.6, 16.5; HRESIMS (m/z) calcd. for C28H36O4Na (M+Na)+ 459.2511, found 459.2501.

3.22. Conversion of 12-epi-21 to 21

To a solution of 12-epi-21 (1.7 mg, 0.006 mmol) in THF (59 μL) were added Ph3P (2.3 mg, 0.009 mmol) and p-NO2BzOH (1.5 mg, 0.009 mmol) at r.t. After stirring for 10 min, DIAD (1.8 mg, 0.009 mmol) was added and the mixture was stirred for an additional 2 hr. The crude mixture was diluted with Et2O and filtered through a silica gel pad. The filtrate was then concentrated to afford the crude ester. To a solution of the crude ester in MeOH (200 μL) was added K2CO3 (12.2 mg, 0.088 mmol) at r.t. After stirring for 30 min at the same temperature, the mixture was diluted with Et2O and then filtered through a silica gel pad. Removal of the solvent gave a residue which was then purified by silica gel column chromatography (hexane/AcOEt = 2:1) to generate xestenone (21, 1.6 mg, 95% yield).

4. Conclusions

The first total synthesis of xestenone has been accomplished via the stereocontrolled one-pot synthesis of cyclopentane derivatives using allyl phenyl sulfone as the key step. Moreover, the authors have determined that the absolute configuration of xestenone is 3S, 7S and 12R.

Acknowledgments

The authors are grateful to Prof. Raymond J. Andersen of the University of British Columbia for providing the NMR spectra of xestenone.

References and Notes

  1. Andersen, RJ; Northcote, PT. Xestenone, a new bicyclic C19 terpenoid from the marine sponge. Xestospongia vanilla Tetrahedron Lett 1988, 29, 4357–4360. [Google Scholar]
  2. Sipkema, D; Franssen, MCR; Osinga, R; Tramper, J; Wijffels, RH. Marine sponges as pharmacy. Mar Biotechnol 2005, 7, 142–162. [Google Scholar]
  3. Ota, K; Kurokawa, T; Kawashima, E; Miyaoka, H. Stereocontrolled one-pot synthesis of cycloalkane derivatives possessing a quaternary carbon using allyl phenyl sulfone. Tetrahedron 2009, 65, 8668–8676. [Google Scholar]
  4. Andersen, RJ; Northcote, PT. Xestolide and secoxestenone, degraded triterpenoids from the sponge. Xestospongia vanilla Can J Chem 1989, 67, 1359–1362. [Google Scholar]
  5. Boeckman, RK, Jr; Walters, MA; Koyano, H. Regiocontrolled metalation of diethyl β-dialkylaminovinylphosphonates: A new synthesis of substituted β-ketophosphonates. Tetrahedron Lett 1989, 30, 4787–4790. [Google Scholar]
  6. Tago, K; Arai, M; Kogen, H. A practical total synthesis of plaunotol via highly Z-selective Wittig olefination of α-acetal ketones. J Chem Soc, Perkin Trans I 2000, 2073–2078. [Google Scholar]
  7. Katsuki, T; Sharpless, KB. The first practical method for asymmetric epoxidation. J Am Chem Soc 1980, 102, 5974–5976. [Google Scholar]
  8. Hartmann, C; Meyer, V. Iodobenzoic acids. Chem Ber 1893, 26, 1727–1732. [Google Scholar]
  9. Luche, JL. Lanthanides in organic chemistry. 1. Selective 1,2 reductions of conjugated ketones. J Am Chem Soc 1978, 100, 2226–2227. [Google Scholar]
  10. Trost, BM; Belletire, JL; Godleski, S; McDougal, PG; Balkovec, JM. On the use of the O-methylmandelate ester for establishment of absolute configuration of secondary alcohols. J Org Chem 1986, 51, 2370–2374. [Google Scholar]
  11. Mitsunobu, O. The use of diethyl azodicarboxylate and triphenylphosphine in synthesis and transformation of natural products. Synthesis 1981, 1–28. [Google Scholar]
Figure 1. Structure of xestenone.
Figure 1. Structure of xestenone.
Marinedrugs 07 00654f1
Scheme 1. One-pot synthesis of cyclopentane derivatives.
Scheme 1. One-pot synthesis of cyclopentane derivatives.
Marinedrugs 07 00654f2
Scheme 2. Retrosynthetic analysis of xestenone.
Scheme 2. Retrosynthetic analysis of xestenone.
Marinedrugs 07 00654f3
Scheme 3. Synthesis of epoxy iodide 4.
Scheme 3. Synthesis of epoxy iodide 4.
Marinedrugs 07 00654f4
Scheme 4. Synthesis of intermediate 5.
Scheme 4. Synthesis of intermediate 5.
Marinedrugs 07 00654f5
Scheme 5. Synthesis of diols 11a and 11b.
Scheme 5. Synthesis of diols 11a and 11b.
Marinedrugs 07 00654f6
Scheme 6. Determination of the relative configuration of 11a and 11b.
Scheme 6. Determination of the relative configuration of 11a and 11b.
Marinedrugs 07 00654f7
Scheme 7. Synthesis of diketone 20.
Scheme 7. Synthesis of diketone 20.
Marinedrugs 07 00654f8
Scheme 8. Synthesis of xestenone (21).
Scheme 8. Synthesis of xestenone (21).
Marinedrugs 07 00654f9

Share and Cite

MDPI and ACS Style

Ota, K.; Kurokawa, T.; Kawashima, E.; Miyaoka, H. Total Synthesis and Absolute Configuration of the Marine Norditerpenoid Xestenone. Mar. Drugs 2009, 7, 654-671. https://doi.org/10.3390/md7040654

AMA Style

Ota K, Kurokawa T, Kawashima E, Miyaoka H. Total Synthesis and Absolute Configuration of the Marine Norditerpenoid Xestenone. Marine Drugs. 2009; 7(4):654-671. https://doi.org/10.3390/md7040654

Chicago/Turabian Style

Ota, Koichiro, Takao Kurokawa, Etsuko Kawashima, and Hiroaki Miyaoka. 2009. "Total Synthesis and Absolute Configuration of the Marine Norditerpenoid Xestenone" Marine Drugs 7, no. 4: 654-671. https://doi.org/10.3390/md7040654

APA Style

Ota, K., Kurokawa, T., Kawashima, E., & Miyaoka, H. (2009). Total Synthesis and Absolute Configuration of the Marine Norditerpenoid Xestenone. Marine Drugs, 7(4), 654-671. https://doi.org/10.3390/md7040654

Article Metrics

Back to TopTop