Abstract
Polymeric 3-alkylpyridinium salts (poly-APS) present in the marine sponge Reniera sarai show a broad spectrum of biological activities. They are lytic to erythrocytes and various other mammalian cells, enabling the transfection of the latter with alien DNA. Furthermore, they show inhibitory effects to marine bacteria and can inhibit fouling of micro- and macroorganisms to submerged surfaces. Finally, poly-APS act as potent cholinesterase inhibitors. The kinetics of acetylcholinesterase inhibition by poly-APS in vitro is complex and comprises several successive phases ending in irreversible inhibition of the enzyme. The latter is accounted for by aggregation and precipitation of the enzyme-inhibitor complexes. Poly-APS are lethal to rats in concentrations above 2.7 mg/kg. Monitoring of the basic vital functions and histopathological analysis showed that the effects directly ascribable to acetylcholinesterase inhibition are only observed after application of lower concentrations of poly-APS. At higher concentrations, such effects were masked by other, more pronounced and faster developing lethal effects of the toxin, such as haemolysis and platelet aggregation.
1. Introduction
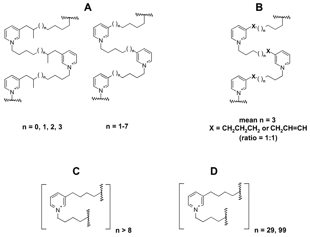
Monomeric, oligomeric and polymeric 3-alkylpyridiniums and 3-alkylpyridines comprise a group of biologically active compounds found in several sponges of the order Haplosclerida [1–4]. In general, the variety and potency of the biological effects of these compounds increase with their degree of polymerisation, resulting in complex and unprecedented mechanisms of action and/or toxicity. 3-Alkylpyridinium polymers isolated so far from haplosclerid marine sponges are shown in Figure 1. Among them, polymeric 3-alkylpyridinium salts (poly-APS), isolated from crude extracts of the Mediterranean marine sponge Reniera sarai, show the highest degree of polymerisation.
Figure 1.
Chemical structures of 3-alkylpyridinium polymers isolated from haplosclerid marine sponges. A, halitoxins [10,12]; B, amphitoxins [13]; C, EGF-active factors [14]; D, poly-APS [5].
Matrix-assisted laser desorption/ionization time-of-flight (MALDI-TOF) mass spectrometry has shown that poly-APS are a mixture of two main polymers with molecular weights of 5520 and 18900 Da, corresponding to polymers composed of 29 and 99 covalently head-to-tail linked N-butyl-3-butyl pyridinium units, respectively (Figure 1D). Poly-APS are highly water-soluble (up to a concentration of 50 mg/mL), and have only limited solubility in other less polar organic solvents like methanol and ethanol. At concentrations of more than 0.23 mg/mL they form large supramolecular aggregates with an average hydrodynamic radius of 23 ± 2 nm [5]. This behaviour resembles that of other structurally related cationic detergents like cetylpyridinium chloride (CPC) and cetyltrimethylammonium bromide (CTAB) [6]. Similarly, the biological effects exerted by poly-APS reflect, at least in part, their surfactant-like nature. At concentrations below 0.5 μg/mL, poly-APS act as antifouling compounds [7], are strong inhibitors of acetylcholinesterase (AChE) [5], and show moderate haemolytic and cytotoxic activity [6,8] that allows stable transfection of living cells with double-stranded DNA [9]. The concentrations of poly-APS that produce biological effects are far below their aggregation point, strongly suggesting that the observed activities are properties of the monomolecular form of the compounds. In higher concentrations (above 1 mg/mL), poly-APS can be toxic and lethal to experimental animals after intravenous (i.v.) application. The aim of this review is to summarize current knowledge on the biological activity and toxicity of poly-APS, with particular emphasis on mechanisms of poly-APS toxicity in vivo, and to correlate their structural characteristics and behaviour in aqueous solution with their observed biological effects.
2. Biological activity and toxicity of 3-alkylpyridinium compounds – an overview
To date, around 30 and 50 structurally different 3-alkylpyridinium and 3-alkylpyridine compounds have been isolated, respectively, from marine sponges. They occur mainly in sponges belonging to the order Haplosclerida, and can therefore also be used as chemical markers for the determination of haplosclerid sponges. 3-Alkylpyridinium and 3-alkylpyridine compounds and their biological activities have been described in detail in several reviews [1–4]. The majority of these compounds are monomeric and display mainly cytotoxic and/or antibacterial activities at concentrations of a few micrograms per mL [3,4]. A smaller number of oligomeric and polymeric 3-alkylpyridinium salts have also been isolated and partially characterized. Linear and cyclic 3-alkylpyridinium dimers and trimers are reported to be cytotoxic, antimitotic and inhibitory to muscarinic acetylcholine receptors and to some enzymes like histone deacetylase [reviewed in 3,4]. Polymeric compounds on the other hand, like halitoxins [10–12], amphitoxins [13], natural and synthetic epidermal growth factor (EGF)-active factors [14,15] and poly-APS [5] (Figure 1), show many more diverse and potent biological activities. Halitoxin was reported to be haemolytic and cytotoxic towards transformed cells, toxic to fish and mice, inhibitory to some Gram positive bacteria, antimitotic and neurotoxic [10,11], and amphitoxin shows antifeedant activity against fish [13]. A mixture of these two toxins, isolated from the haplosclerid sponge Amphimedon viridis, was found to selectively inhibit the growth of marine and sponge-associated bacteria [16]. EGF-active factors are cytotoxic and inhibitory to the EGF receptor that is overexpressed in several tumour cells [14]. Finally, poly-APS possess a broad range of potent biological activities, the most prominent being cytolytic, haemolytic, acetylcholinesterase-inhibitory and antifouling, that are reviewed in detail in the following sections.
In general, several biological activities of 3-alkylpyridinium compounds, as well as their potency, increase with the degree of polymerisation. This phenomenon is most prominent in one of the most studied 3-alkylpyridinium polymers, poly-APS, whose polycationic nature and surfactant-like behaviour in aqueous solution are responsible not only for the high potency of the biological activities, but also for the complex and unprecedented mechanisms by which the latter are achieved.
3. Biological activities of polymeric 3-alkylpyridinium salts (poly-APS) from the marine sponge Reniera sarai
3.1. Membrane activity
The ability of poly-APS to form lesions in biological membranes can be explained, at least partially, by their surfactant-like characteristics. Despite their polymeric nature and considerably shorter alkyl tail, poly-APS are structurally related to cationic pyridinium detergents like CPC and CTAB [6]. In aqueous solution poly-APS display surfactant-like properties; for example, at 0.23 mg/mL, they form large micelle-like non-covalently bound aggregates [5]. Poly-APS are lytic to erythrocytes and different cell lines in sub-micromolar concentrations [8]. In erythrocytes, they induce the formation of discrete lesions in the membrane (5.8 nm in diameter) by a colloid-osmotic type of lysis [6]. Haemolysis can be attenuated or prevented by various divalent cations [6], and is surprisingly much more effective at lower temperatures (Sepčić and Turk, unpublished observation). Further electrophysiological studies on different cell lines showed that poly-APS display dose-dependent interactions with cell membranes [17]. At low concentrations (around 0.5 μg/mL), these can be reversible and can enable transfection of HEK293 cells with alien DNA for enhanced green fluorescent protein, pBABE and TNF receptor type 2 [9,18]. Although being four-fold less efficient than the transfection agent lipofectamine, compounds like poly-APS have been proposed as new tools for stable cell transfection [19]. The mechanism of poly-APS-induced transfection differs from that induced by lipofectamine [18] and still remains to be explained. It comprises both the formation of reversible membrane lesions and binding to DNA [18], and is (like haemolysis) more effective at lower temperatures (7–12°C), suggesting that temperature-dependent alterations of the physical properties of the membrane can be key events in poly-APS membrane activity. Furthermore, the degree of polymerisation appears to play an important role in this event, since monomeric CPC and CTAB failed to transfect cells [17]. Recent studies, using surface plasmon resonance [20], suggest that the mechanism of poly-APS-induced membrane activity comprises sequential binding of these molecules to lipid membranes. Poly-APS molecules that are present within the membrane at sub-lytic concentrations might provide either cooperative support for further poly-APS – membrane interactions, or could produce sites of membrane vulnerability, leading to its disruption.
3.2. Antifouling activity
Sponges are sessile animals that breathe and that feed by filtering the water. Production of biologically active compounds that prevent other micro- and macroorganisms from settling on their surface is therefore extremely important for their survival. Indeed, we found that the surface of Reniera sarai is almost never fouled by other marine organisms. It is veiled by a greasy coating incorporating large amounts of poly-APS, which appear to be responsible for the observed effective antisettlement activity. The antimicro- and antimacrofouling activity of poly-APS was studied in details under in vitro conditions, and compared to booster biocides like Zinc Omadine® and Copper Omadine®, compounds showing irreversible antifouling properties that are due to their toxicity towards marine biota [7].
Poly-APS inhibit the settlement of Balanus amphitrite cypris larvae with an EC50 of 0.27 μg/mL – about ten fold less effective than the booster biocides. However, in contrast to the latter, the antisettlement activity of poly-APS was almost non-toxic and reversible. A similar phenomenon was also observed in the swimming inhibition assay against B. amphitrite nauplii, as well as in toxicity tests against other relevant representatives of the phyto- and zooplankton (e.g. microalga Tetraselmis suecica and larvae of the edible mussel Mytilus galloprovincialis). Besides their antimacrofouling properties, poly-APS, in the range of 0.1–1 μg/mL, also inhibit fouling by bacteria, fungi, and microalgae [21], and show considerable antibacterial activity against marine biofilm bacteria [22]. All these features suggest poly-APS (or their synthetic analogues) as good candidates for new biocides in the development of antifouling paints. The poly-APS inhibition of settlement of cyprids can be partially explained in terms of their surfactant properties. In aqueous solution, they behave similarly to cationic detergents [6] and are lytic to different cell lines [8], so the detergent-induced prevention of adhesion and lysis of microorganisms could be possible mechanisms of their antifouling action. On the other hand, acetylcholine was suggested to be involved in the settlement of B. amphitrite cyprids [23], and AChE activity has been detected in the setae of the antennules, which play an important role in the process of settlement of this organism [24]. The application of AChE inhibitors clearly inhibited larval settlement [23], so another mechanism of poly-APS - induced antifouling activity could derive from their potent AChE-inhibitory properties [25,26].
3.3. Inhibition of acetylcholinesterase
The most prominent biological activity attributed to poly-APS is probably the inhibition of acetylcholinesterase (AChE), the enzyme that hydrolyses the neurotransmitter acetylcholine (ACh) in nervous system synapses. The hydrolysis of ACh takes place at the bottom of a 20 Å deep enzyme active gorge, which bears the anionic site responsible for the recognition of choline, and the catalytic site with the active serine (responsible for cleaving the substrate). At the rim of the gorge is another choline binding site – the peripheral anionic site [27]. This site is responsible for the inhibition by excess substrate, and for binding of the AChE inhibitor propidium. Only a few natural AChE inhibitors have been isolated from marine organisms [5, 28-31] and, of these, poly-APS are the most potent, with unprecedented inhibition kinetics. Simple synthetic mono-, di- and tetrameric alkylpyridinium compounds have also been described as anti-cholinesterase agents that act in micromolar concentrations [25, 32, 33]. All these compounds show reversible and competitive, non-competitive or mixed type inhibition kinetics following their binding to the anionic site inside the active gorge, to the peripheral anionic site, or to both, respectively. In contrast, poly-APS strongly inhibits AChEs and butyrylcholinesterases (BuChEs) from different sources at nanomolar concentrations [5, 25], showing a non-linear, time-dependent course of inhibition. These types of inhibition curves often reflect the presence of a slow-binding and/or irreversible component in the inhibition, the latter being confirmed by the fact that the activity of the enzyme could never be completely restored after dilution of the enzyme-inhibitor mixture [25]. By analysing the different phases of AChE inhibition by poly-APS, we found that the first interaction between the two molecules is reversible and non-competitive, with a Ki of 11±3 nM. This finding, together with the ability of poly-APS to compete with the binding of propidium or with substrate inhibition (at high concentrations of substrate), suggests that the first binding of the inhibitor occurs at the peripheral anionic site of AChE [25]. This binding is followed by a slow-binding component showing a Ki (krec/kbind) of 3.23 μM, and finally by irreversible inactivation of the enzyme, following pseudo-first order kinetics and showing a ki of 388±47 mmol-1Lmin-1 [25]. The observed complex inhibition kinetics result from the high degree of polymerisation of poly-APS. Indeed, the inhibitor does not induce significant changes of the enzyme conformation, but extensively quenches its intrinsic tryptophan fluorescence, suggesting that the first, reversible binding to the peripheral anionic site is followed by successive binding of different poly-APS pyridinium units to several sites on the AChE molecule [26]. This multisite binding between the two molecules results in aggregation and precipitation of the enzyme-inhibitor complexes, that can be followed by sodium dodecyl sulfate polyacrylamide gel electrophoresis (SDS-PAGE) analysis of the sediment obtained after AChE – poly-APS incubation and centrifuging, as well as by eye [26]. It is interesting that poly-APS appear to interact specifically with AChE, since they do not inhibit other enzymes like trypsin and alkaline phosphatase [26], and are only slightly inhibitory to human protein phosphatase 2A [33]. It must however be stressed that the polycationic nature of poly-APS can result in binding to other proteins that is less specific, as demonstrated for serum proteins [34].
The AChE-inhibitory activity appears to be related to the antitumoral activity of poly-APS towards non-small cell lung cancer cells (NSCLC). These cells are responsible for the most common form of lung cancer, and have been shown to express molecules belonging to the cholinergic system, such as cholinoacetyltransferase, vesicular ACh transporter and AChE. Poly-APS, in non-toxic concentrations, show a significant selective cytotoxicity towards NSCLC cells, with no significant effects on normal cells in vitro and normal tissues in vivo [35]. Based on observations that some drugs used in lung cancer treatment and therapy, such as Irinotecan, can also inhibit AChE activity [36,37], our results suggest that the selective cytotoxicity of poly-APS against NSCLC cells derives from the interruption of the NSCLC cells’ cholinergic system through AChE inhibition, resulting in their apoptosis.
4. Toxicity of 3-alkylpyridinium compounds – an overview
The toxic effects of 3-alkylpyridinium compounds, commonly expressed as an EC50 or LD50 dose, have been quantified using different plant and animal species. These effects include toxicity and/or antifeeding activity against different marine organisms (fish, starfish and amphipods), which were observed for a mixture of polymeric halitoxins [10], amphitoxins [13], and for oligomeric haliclamines [38]. A recent report on the activity of cyclohaliclonamines A-E from an unidentified sponge of the genus Haliclona [39] demonstrated the toxicity of these compounds in a brine shrimp assay, with an LD50 of 65 μg/mL. The toxic effects of polymeric alkylpyridinium salts (poly-APS) from the marine sponge Reniera sarai were also studied on various target organisms, and are discussed in detail below.
5. Toxicity of polymeric 3-alkylpyridinium salts (poly-APS) from the marine sponge R. sarai
5. 1. Toxicity of poly-APS to non-mammals
During the evaluation of their antifouling potential, polymeric 3-alkylpyridinium salts (poly-APS) from the sponge Reniera sarai were found to be slightly toxic to the naupliar larvae of Balanus amphitrite (LC50 = 30.01 μg/mL in a 24-h assay), to the microalga Tetraselmis suecica (LC50 = 10.66 μg/mL in a 72-h assay), and to trocophora and veliger larvae of the edible mussel Mytillus galloprovincialis (LC50 = 2.42 and 2.73 μg/mL in a 24 h assay, respectively) [7]. Interestingly, in contrast to amphitoxins [13], poly-APS were not ichtyotoxic towards freshwater and sea fish at a concentration of 0.1 μg/mL (unpublished observation).
5. 2. Toxicity of poly-APS to mammals
The ability of poly-APS to strongly inhibit AChE in vitro has resulted in further studies of their effects in experimental rodents in vivo [34, 40, 41]. In sublethal doses, poly-APS produce pharmacological effects characteristic of AChE inhibition, including bradicardia, low blood pressure and prolonged expiratory phase of breathing. However, the lethality, following the injection of rats with a lethal dose of poly-APS, appears not to derive just from AChE inhibition, but also seems to reflect their highly polycationic nature and surfactant-like behaviour.
In vivo experiments with poly-APS were performed on male Wistar rats. Different doses of the toxin (dissolved in physiological solution) were applied slowly for 20–40 s through the cannulated jugular vein. Electrocardiograms (ECG), blood pressure and breathing patterns were monitored, followed by histological post-mortem analysis of vital organs. At sublethal doses (below 1 mg/kg) poly-APS induced a transient fall in blood pressure, bradycardia and prolongation of expirium [40,41]. These signs probably derive from the inhibition of AChE. The consequent accumulation of ACh and its peripheral action could readily result in the observed effects like bradycardia and fall in cardiac output. However, at lethal doses (above 2.7 mg/kg), the signs were not completely typical of AChE inhibition, and were masked by other, more pronounced and faster developing lethal effects produced by the toxin. Reduction of the arterial blood pressure to a mid-circulatory pressure was observed, which could reflect a peripheral effect of ACh on the heart, and probably the central action of poly-APS (acting as anti-AChE agents) on the medullary vasomotor and cardiac centres of the central nervous system. Furthermore, the observed cessation of breathing after a few breaths, with cyanosis and an increase of the residual volume, may also be induced by the AChE-inhibitory activity of poly-APS, resulting in contraction of smooth muscle fibres of the bronchioles. The resulting hypoxemia can both intensify sympathetic tone and trigger ACh-evoked epinephrine release from the adrenal medulla. For these reasons, it is not surprising that normal or even increased heart rate was observed in experimental animals receiving lethal doses of poly-APS. These signs are similar to those induced by a related sponge-derived compound, halitoxin [10,11] which was lethal to mice, with an i.v. LD50 of 1.4 mg/kg. The intoxicated mice were cyanotic and died of respiratory arrest.
Autopsy of the experimental animals that died due to the effects of poly-APS revealed that the lumen of the mid- and small-sized blood vessels in the heart and lungs were filled with granular brownish material with inclusions of fibrin, red blood cells and platelets. Perivascular and intra-alveolar haemorrhages were also regularly observed that could also contribute to the diffusion abnormalities and result in hypoxemia. Data obtained on blood samples from animals treated with poly-APS showed numerous thrombocyte aggregates [40,41]. Further in vitro studies have revealed that poly-APS do not affect the coagulation rate, but rather induce thrombocyte aggregation in a dose-dependent manner. Aggregation of thrombocytes could be followed, up to a poly-APS concentration of 100 ng/mL [34,41]. This fact, together with the finding that they can bind directly and non-specifically to plasma serum proteins [34], has been proposed as the underlying mechanism of poly-APS lethality.
The different effects observed after intravenous applications of different doses of poly-APS could derive from their ability to form large, non-covalently bound supramolecular aggregates, a process that occurs in water solutions at around 0.23 mg/mL [5]. Thus, at lower doses, the greater part of the poly-APS injected into the experimental animal probably exists in the monomolecular form, which allows passage through the capillary walls and action as AChE inhibitors on neuromuscular junctions. Therefore, higher concentrations of poly-APS in their monomolecular form might block neuromuscular transmission and produce respiratory arrest. At higher doses, in which the majority of poly-APS exist in the form of spherically shaped aggregates with a diameter of 46 nm [5], crossing of capillary walls is less reasonable, so that other toxic mechanisms, including the aggregation of poly-APS with thrombocytes and serum proteins, leading to the formation of large intravascular plugs, are more pronounced. The ability of poly-APS to permeabilize the membranes of erythrocytes and other cells [6,8] is an additional factor that could produce toxic effects through direct cytolysis of endothelial cells. Indeed, microscope examination of blood smears obtained from poly-APS-treated experimental animals revealed several lysed erythrocytes which could, in the case of severe lysis, produce hyperkalaemia and reduce oxygen transport capacity. Blood samples of halitoxin-treated experimental animals also showed partial haemolysis, and lethal effects were therefore attributed to the haemolytic action of the toxin [11].
In conclusion, the observed in vivo toxic effects of poly-APS (and probably of other polymerised 3-alkylpyridinium salts like halitoxins [10,11]) reflect their polycationic nature and behaviour in aqueous solution. While at lower concentrations poly-APS can act as AChE inhibitors, at higher doses other mechanisms producing haematological and vascular effects dominate and mask these effects. Besides the membrane-permeabilizing activity on erythrocytes and other tissue cells, which is probably also responsible for arrhythmia and thrombocyte aggregation, the non-specific binding of poly-APS to different serum proteins and membrane-bound proteins on platelets induces the formation of large plugs that could block the small blood vessels and stop the lung and heart blood flow.
Acknowledgements
The authors would like to acknowledge the Slovenian Research Agency (ARRS) for their financial support, and Prof. Roger Pain for critically reading the manuscript.
- Sample Availability: Available from the authors.
References
- Almeida, AMP; Berlinck, RGS. Alcalóides alquilpiridínicos de esponjas marinhas. Quim Nova 1997, 20, 170–185. [Google Scholar]
- Sepčić, K. Bioactive alkylpyridinium compounds from marine sponges. J Toxicol , Toxin Rev 2000, 19, 139–160. [Google Scholar]
- Sepčić, K; Turk, T. Fusetani, N, Clare, AC, Eds.; 3-alkylpyridinium compounds as potential non-toxic antifouling agents. In Antifouling Compounds, Progress in Molecular and Subcellular Biology, Subseries Marine Molecular Biotechnology; Springer-Verlag: Berlin, Heidelberg, 2006; pp. 105–124. [Google Scholar]
- Turk, T; Sepčić, K; Mancini, I; Guella, G. 3-alkylpyridinium and 3-alkylpyridine compounds from marine sponges, their synthesis, biological activities and potential use. In Stud Nat Prod Chem 2007, in press. [Google Scholar]
- Sepčić, K; Guella, G; Mancini, I; Pietra, F; Dalla Serra, M; Menestrina, G; Tubbs, K; Maček, P; Turk, T. Characterization of anticholinesterase-active 3-alkylpyridinium polymers from the marine sponge Reniera sarai in aqueous solutions. J Nat Prod 1997a, 60, 991–996. [Google Scholar]
- Malovrh, P; Sepčić, K; Turk, T; Maček, P. Characterization of haemolytic activity of 3-alkylpyridinium polymers from the marine sponge Reniera sarai. Comp Biochem Physiol 1999, 124C, 221–226. [Google Scholar]
- Faimali, M; Sepčić, K; Turk, T; Geraci, S. Non-toxic antifouling activity of polymeric 3-alkylpyridium salts from the Mediterranean sponge Reniera sarai (Pulitzer-Finali). Biofouling 2003a, 19, 47–56. [Google Scholar]
- Sepčić, K; Batista, U; Vacelet, J; Maček, P; Turk, T. Biological activities of aqueous extracts from marine sponges and cytotoxic effects of 3-alkylpyridinium polymers from Reniera sarai. Comp Biochem Physiol 1997b, 117C, 47–53. [Google Scholar]
- Tucker, SJ; McClelland, D; Jaspars, M; Sepčić, K; MacEwan, DJ; Scott, RH. The influence of alkyl pyridinium sponge toxins on membrane properties, cytotoxicity, transfection and protein expression in mammalian cells. Biochim Biophys Acta 2003, 1614, 171–181. [Google Scholar]
- Schmitz, FJ; Hollenbeak, KH; Campbell, DC. Marine natural products: halitoxin, toxic complex of several marine sponges of the genus Haliclona. J Org Chem 1978, 43, 3916–3922. [Google Scholar]
- Berlinck, RGS; Ogawa, CA; Almeida, AMP; Sanchez, MAA; Malpezzi, ELA; Costa, LV; Hajdu, E; de Freitas, JC. Chemical and pharmacological characterization of halitoxin from Amphimedon viridis (Porifera) from the southeastern Brazilian coast. Comp Biochem Physiol 1996, 115C, 155–163. [Google Scholar]
- Scott, RH; Whyment, AD; Foster, A; Gordon, KH; Milne, BF; Jaspars, M. Analysis of the structure and electrophysiological actions of halitoxins: 1,3 alkyl-pyridinium salts from Callyspongia ridleyi. J Membrane Biol 2000, 176, 119–131. [Google Scholar]
- Albrizio, S; Ciminiello, P; Fattorusso, E; Magno, S; Pawlik, JR. Amphitoxin, a new high molecular weight antifeedant pyridinium salt from the Caribbean sponge Amphimedon compressa. J Nat Prod 1995, 58, 647–652. [Google Scholar]
- Davies-Coleman, MT; Faulkner, DJ; Dubowchik, GM; Roth, GP; Polson, C; Fairchild, C. A new EGF-active polymeric pyridinium alkaloid from the sponge Callyspongia fibrosa. J Org Chem 1993, 58, 5925–5930. [Google Scholar]
- Gil, L; Gateau-Olesker, A; Wong, YS; Chernatova, L; Marazano, C; Das, BC. Synthesis of macrocyclic or linear pyridinium oligomers from 3-substituted pyridines. Model synthetic studies toward macrocyclic marine alkaloids. Tetrahedron Lett 1995, 36, 2059–2062. [Google Scholar]
- Kelman, D; Kashman, Y; Rosenberg, E; Ilan, M; Ifrach, I; Loya, Y. Antimicrobial activity of the reef sponge Amphimedon viridis from the Red Sea: evidence for selective toxicity. Aquat Microb Ecol 2001, 24, 9–16. [Google Scholar]
- McClelland, D; Evans, RM; Abidin, I; Sharma, S; Choudry, FZ; Jaspars, M; Sepčić, K; Scott, RH. Irreversible and reversible pore formation by polymeric alkylpyridinium salts (poly-APS) from the sponge Reniera sarai. Brit J Pharmacol 2003, 139, 1399–1408. [Google Scholar]
- McLaggan, D; Adjimatera, N; Sepčić, K; Jaspars, M; MacEwan, DJ; Blagbrough, IS; Scott, RH. Pore forming polyalkylpyridinium salts from marine sponges versus synthetic lipofection systems: distinct tools for intracellular delivery of cDNA and siRNA. BMC Biotechnol 2006, 6, 6. [Google Scholar]
- Scott, RH; Jaspars, M; Platt, B; Reidel, G; Sepčić, K; McLaggan, D. Sponge toxins. Patent WO 2004–GB 2659 20040621 International Application No. PCT/GB2004/002659. 2004. [Google Scholar]
- Koss, DJ; Hindley, KP; David, KC; Mancini, I; Guella, G; Sepčić, K; Turk, T; Rebolj, K; Riedel, G; Platt, B; Scott, RH. A comparative study of the actions of alkylpyridinium salts from a marine sponge and related synthetic compounds in rat cultured hippocampal neurons. BMC Pharmacol 2007, 7, 1. [Google Scholar]
- Garaventa, F; Faimali, M; Sepčić, K; Geraci, S. Laboratory analysis of antimicrofouling activity of Poly-APS extracted from Reniera sarai (Porifera: Demospongiae). Biol Mar Mediterr 2003, 10 , 565–567. [Google Scholar]
- Chelossi, E; Mancini, I; Sepčić, K; Turk, T; Faimali, M. Comparative antibacterial activity of polymeric 3-alkylpyridinium salts isolated from the Mediterranean sponge Reniera sarai and their synthetic analogues. Biomol Eng 2006, 23, 317–323. [Google Scholar]
- Faimali, M; Falugi, C; Gallus, L; Piazza, V; Tagliafierro, G. Involvement of acetyl choline in settlement of Balanus amphitrite. Biofouling 2003b, 19 (Suppl), 213–220. [Google Scholar]
- Clare, AS; Freet, RK; McClary, MJ. On the. antennular secretion of the cyprid of Balanus amphitrite. amphitrite, and its role as a settlement feromone. J Mar Biol Assoc UK 1994, 74, 243–250. [Google Scholar]
- Sepčić, K; Marcel, V; Klaebe, A; Turk, T; Šuput, D; Fournier, D. Inhibition of acetylcholinesterase by an alkyl pyridinium polymer from the marine sponge, Reniera sarai. Biochem Biophys Acta 1998, 1387, 217–225. [Google Scholar]
- Sepčić, K; Poklar, N; Vesnaver, G; Fournier, D; Turk, T; Maček, P. Interaction of 3-alkylpyridinium polymers from the sea sponge Reniera sarai with insect acetylcholinesterase. J Protein Chem 1999, 18, 251–257. [Google Scholar]
- Quinn, DM. Acetylcholinesterase: enzyme structure, reaction dynamics, and virtual transition-states. Chem Rev 1987, 87, 955–979. [Google Scholar]
- Abramson, SN; Radic, Z; Manker, D; Faulkner, J; Taylor, P. Onchidal: a naturally occurring irreversible inhibitor of acetylcholinesterase with a novel mechanism of action. Mol Pharmacol 1989, 36, 349–354. [Google Scholar]
- Turk, T; Maček, P; Šuput, T. Inhibition of acetylcholinesterase by a pseudozoanthoxanthin-like compound isolated from the zoanthid Parazoanthus axinellae (O.Schmidt). Toxicon 1995, 33, 133–142. [Google Scholar]
- Sepčić, K; Mancini, I; Vidic, I; Jovan, U; Frassanito, R; Pietra, F; Maček, P; Turk, T. Antibacterial and anticholinesterase activities of aplysamine-4, a bromotyrosine-derived metabolite of a Red Sea marine sponge. J Nat Toxins 2001, 10, 181–191. [Google Scholar]
- Choi, BW; Ryu, G; Park, SH; Kim, ES; Shin, J; Roh, SS; Shin, HC; Lee, BH. Anticholinesterase activity of plastoquinones from Sargassum sagamianum: lead compounds for Alzheimer’s disease therapy. Phytother Res 2007, 21, 423–426. [Google Scholar]
- Whiteley, CG; Ngwenya, DS. Protein ligand interactions: alkylated pyridinium salts as inhibitors of acetylcholinesterase from Electrophorus electricus. Biochem Biophys Res Commun 1995, 211, 1083–1090. [Google Scholar]
- Mancini, I; Sicurelli, A; Guella, G; Turk, T; Maček, P; Sepčić, K. Synthesis and bioactivity of linear oligomers related to polymeric alkylpyridinium metabolites from the Mediterranean sponge Reniera sarai. Org Biomol Chem 2004, 2, 1368–1375. [Google Scholar]
- Bunc, M; Šarc, L; Rozman, J; Turk, T; Sepčić, K; Šuput, D. Intravascular plug formation induced by poly-APS is the principal mechanism of the toxin’s lethality in rats/rat tissues. Cell Mol Biol Lett 2002a, 7, 106–108. [Google Scholar]
- Paleari, L; Trombino, S; Falugi, C; Gallus, L; Carlone, S; Angelini, C; Sepčić, K; Turk, T; Faimali, M; Noonan, DM; Albini, A. Marine sponge-derived polymeric alkylpyridinium salts as a novel tumor chaemotherapeutic targeting the cholinergic system in lung tumors. Int J Oncol 2006, 29, 1381–1388. [Google Scholar]
- Doods, HM; Hanrhan, J; Rivory, LR. The inhibition of acetylcholinesterase by irinotecan and related camptothecins: key structural properties and experimental variables. Anticancer Drugs Des 2001, 16, 239–246. [Google Scholar]
- Fukuda, M; Oka, M; Soda, H; Kinoshita, A; Fukuda, M; Nagashima, S; Kuba, M; Takatani, H; Tsurutani, J; Nakamura, Y; Kasai, T; Inoue, Y; Soejima, Y; Kohno, S. Phase II study of irinotecan combined with carboplatin in previously untreated non-small-cell lung cancer. Cancer Chemother Pharmacol 2004, 54, 573–577. [Google Scholar]
- Volk, CA; Lippert, H; Lichte, E; Köck, M. Two new haliclamines from the arctic sponge Haliclona viscosa. Eur J Org Chem 2004, 14, 3154–3158. [Google Scholar]
- Teruya, T; Kobayashi, K; Suenaga, K; Kigoshi, H. Cyclohaliclonamines A-E: dimeric, trimeric, tetrameric, pentameric, and hexameric 3-alkyl pyridinium alkaloids from a marine sponge Haliclona sp. J Nat Prod 2006, 69, 135–137. [Google Scholar]
- Bunc, M; Sepčić, K; Turk, T; Šuput, D. In vivo effects of head-to-tail 3-alkylpiridium polymers isolated from the marine sponge Reniera sarai. Pflügers Arch 2000, 440, R173–R174. [Google Scholar]
- Bunc, M; Strupi-Šuput, J; Vodovnik, A; Šuput, D. Toxic effects of head-to-tail 3-alkylpyridinium polymers isolated from the marine sponge Reniera sarai in rat. Toxicon 2002b, 40 , 843–849. [Google Scholar]
