Diverse and Bioactive Lactones from the Sri Lankan Mangrove-Derived Fungus Talaromyces sp. SCSIO41445
Abstract
1. Introduction
2. Results and Discussion
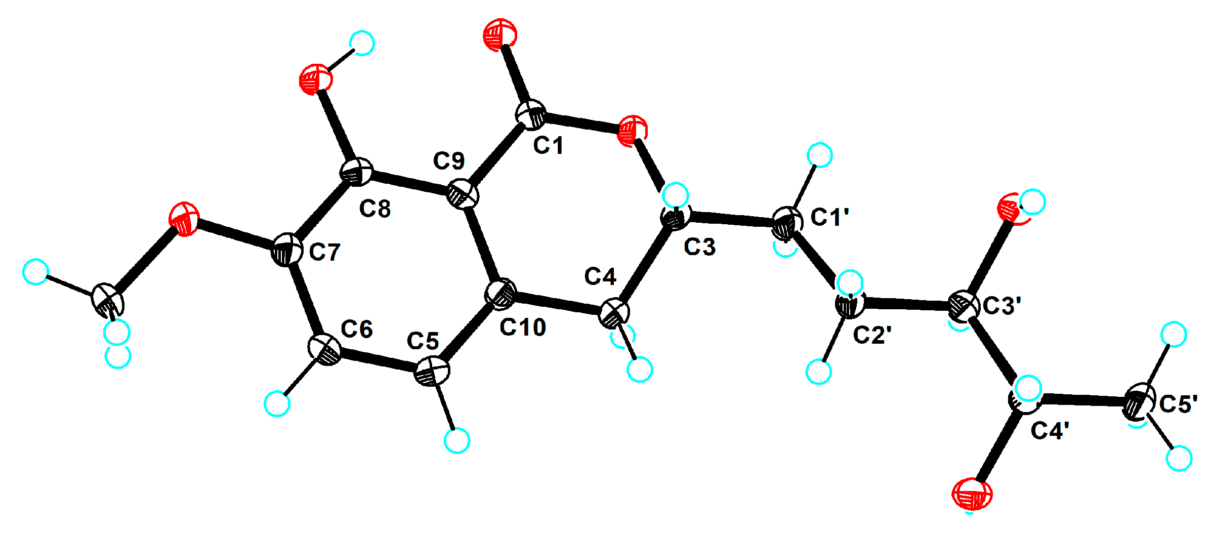
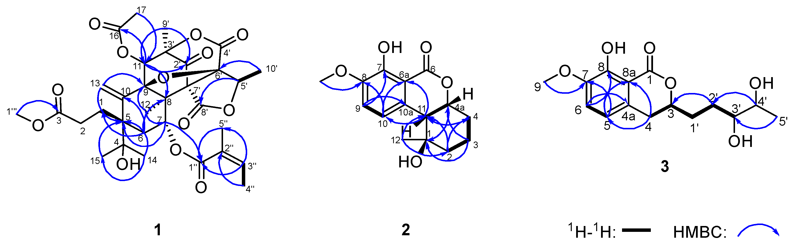
2.1. Structural Determination
2.2. Bioactivity Assay
3. Materials and Methods
3.1. Standardized Experimental Procedures
3.2. Fungal Material
3.3. Fermentation and Extraction
3.4. Isolation and Purification
3.5. Spectroscopic Data of Compounds
3.6. Bioassays
- (1)
- Preparation of the standard curve:
- A measure of 70 µL of NA assay buffer was dispensed into each well of a 96-well fluorescent microplate.
- Neuraminidase (0, 1, 2, 5, 7.5, or 10 µL) was added to the respective wells.
- Milli-Q water (0–20 µL) was supplemented to adjust the total volume in each well to 90 µL.
- (2)
- Preparation of sample testing:
- A measure of 70 µL of NA assay buffer was dispensed into each well.
- A measure of 10 µL of neuraminidase was added to each well.
- A measure of 0–10 µL of the tested NA inhibitor sample was added.
- Milli-Q water (0–10 µL) was added to bring the total volume in each well to 90 µL.
- (3)
- Detection procedure:
- The loaded 96-well plate was shaken for approximately 1 min to mix thoroughly.
- The plate was incubated at 37 °C for 2 min to allow full interaction between the inhibitor and neuraminidase (standard-curve wells were incubated simultaneously).
- A measure of 10 µL of the fluorogenic NA substrate was added to each well.
- The plate was shaken again for about 1 min.
- After incubation at 37 °C for 30 min, fluorescence was measured with excitation at 322 nm and emission at 450 nm.
3.7. Molecular Docking Analysis
3.8. X-Ray Crystallographic Analysis
4. Conclusions
Supplementary Materials
Author Contributions
Funding
Institutional Review Board Statement
Data Availability Statement
Acknowledgments
Conflicts of Interest
References
- Thatoi, H.; Behera, B.C.; Mishra, R.R.; Dutta, S.K. Biodiversity and biotechnological potential of microorganisms from mangrove ecosystems: A review. Ann. Microbiol. 2012, 63, 1–19. [Google Scholar] [CrossRef]
- Wu, M.J.; Xu, B.; Guo, Y.W. Unusual secondary metabolites from the mangrove ecosystems: Structures, bioactivities, chemical, and biosynthesis. Mar. Drugs 2022, 20, 535. [Google Scholar] [CrossRef]
- Wijerathna, P.; Chen, X.; Qiu, R.; Wijethilake, P.V.J.S.; Chen, Y.; Madushanka, N.; Perera, I.J.J.U.N.; Cai, J.; Jayasinghe, L.; Liu, Y.; et al. Advances in Natural Products from Mangrove-Associated Fungi Along the Indian Ocean Coast. Molecules 2026, 31, 261. [Google Scholar] [CrossRef]
- Lei, L.R.; Gong, L.Q.; Jin, M.Y.; Wang, R.; Liu, R.; Gao, J.; Liu, M.D.; Huang, L.; Wang, G.Z.; Wang, D.; et al. Research advances in the structures and biological activities of secondary metabolites from Talaromyces. Front. Microbiol. 2022, 13, 984801. [Google Scholar] [CrossRef]
- Ren, X.T.; Li, S.; Ruan, Y.; Wang, L. Three new species of Talaromyces sect. Talaromyces discovered in China. PeerJ 2024, 12, e18253. [Google Scholar] [CrossRef]
- Lan, D.; Wu, B. Chemistry and bioactivities of secondary metabolites from the genus Talaromyces. Chem. Biodivers. 2020, 17, e2000229. [Google Scholar] [CrossRef] [PubMed]
- Chen, Y.; He, Y.; Pang, X.; Zhou, X.; Liu, Y.; Yang, B. Secondary metabolites from the coral-derived fungus Aspergillus austwickii SCSIO41227 with pancreatic lipase and neuraminidase inhibitory activities. Mar. Drugs 2023, 21, 567. [Google Scholar] [CrossRef] [PubMed]
- Miao, F.P.; Fang, S.T.; Shi, Z.Z.; Song, Y.P.; Ji, N.Y. Penicianstinoids F-K, six undescribed meroterpenoids from the marine algicolous fungus Penicillium sp. RR-DL-1-7. Fitoterapia 2024, 177, 106110. [Google Scholar] [CrossRef] [PubMed]
- Huang, G.L.; Zhou, X.M.; Bai, M.; Liu, Y.X.; Zhao, Y.L.; Luo, Y.P.; Niu, Y.Y.; Zheng, C.J.; Chen, G.Y. Dihydroisocoumarins from the mangrove-derived fungus Penicillium citrinum. Mar. Drugs 2016, 14, 177. [Google Scholar] [CrossRef]
- Mei, R.Q.; Wang, B.; Zeng, W.N.; Huang, G.L.; Chen, G.Y.; Zheng, C.J. Bioactive isocoumarins isolated from a mangrove-derived fungus Penicillium sp. MGP11. Nat. Prod. Res. 2022, 36, 1260–1265. [Google Scholar] [CrossRef]
- Chen, S.; Liu, Y.; Liu, Z.; Cai, R.; Lu, Y.; Huang, X.; She, Z. Isocoumarins and benzofurans from the mangrove endophytic fungus Talaromyces amestolkiae possess α-glucosidase inhibitory and antibacterial activities. RSC Adv. 2016, 6, 26412–26420. [Google Scholar] [CrossRef]
- Ma, M.; Yi, W.; Qin, L.; Lian, X.Y.; Zhang, Z. Talaromydien A and talaroisocoumarin A, new metabolites from the marine-sourced fungus Talaromyces sp. ZZ1616. Nat. Prod. Res. 2021, 36, 460–465. [Google Scholar] [CrossRef]
- Cai, J.; Zhu, X.C.; Zeng, W.N.; Wang, B.; Luo, Y.P.; Liu, J.; Chen, M.J.; Li, G.Y.; Huang, G.L.; Chen, G.Y.; et al. Talaromarins A–F: Six new isocoumarins from mangrove-derived fungus Talaromyces flavus TGGP35. Mar. Drugs 2022, 20, 361. [Google Scholar] [CrossRef] [PubMed]
- Zeng, W.N.; Cai, J.; Wang, B.; Chen, L.Y.; Pan, C.X.; Chen, S.J.; Huang, G.L.; Zheng, C.J. A new bioactive isocoumarin from the mangrove-derived fungus Penicillium sp. TGM112. J. Asian Nat. Prod. Res. 2022, 24, 679–684. [Google Scholar] [CrossRef] [PubMed]
- Mei, R.; Huang, G.; Wang, B.; Bai, M.; Luo, Y.; Chen, G.; Zheng, C. Two new isocoumarins isolated from a mangrove-derived fungus Penicillium citrinum HL-5126. Chin. J. Org. Chem. 2019, 39, 1479–1482. [Google Scholar] [CrossRef]
- Bai, M.; Zheng, C.J.; Huang, G.L.; Mei, R.Q.; Wang, B.; Luo, Y.P.; Zheng, C.; Niu, Z.G.; Chen, G.Y. Bioactive meroterpenoids and isocoumarins from the mangrove-derived fungus Penicillium sp. TGM112. J. Nat. Prod. 2019, 82, 1155–1164. [Google Scholar] [CrossRef]
- Mo, S.; Yin, J.; Ye, Z.; Li, F.; Lin, S.; Zhang, S.; Yang, B.; Yao, J.; Wang, J.; Hu, Z.; et al. Asperanstinoids A–E: Undescribed 3,5-dimethylorsellinic acid-based meroterpenoids from Aspergillus calidoustus. Phytochem 2021, 190, 112892. [Google Scholar] [CrossRef]
- Lo, H.C.; Entwistle, R.; Guo, C.J.; Ahuja, M.; Szewczyk, E.; Hung, J.H.; Chiang, Y.M.; Oakley, B.R.; Wang, C.C. Two separate gene clusters encode the biosynthetic pathway for the meroterpenoids austinol and dehydroaustinol in Aspergillus nidulans. J. Am. Chem. Soc. 2012, 134, 4709–4720. [Google Scholar] [CrossRef]
- Xie, J.; Wu, Y.Y.; Zhang, T.Y.; Zhang, M.Y.; Peng, F.; Lin, B.; Zhang, Y.X. New antimicrobial compounds produced by endophytic Penicillium janthinellum isolated from Panax notoginseng as potential inhibitors of FtsZ. Fitoterapia 2018, 131, 35–43. [Google Scholar] [CrossRef]
- Atwood, J.J.; Buck, W.R.; Brinda, J.C. Recent literature on bryophytes—128(4). Bryologist 2025, 12, 871–894. [Google Scholar] [CrossRef]
- Long, Y.; Cui, H.; Liu, X.; Xiao, Z.E.; Wen, S.; She, Z.; Huang, X. Acetylcholinesterase inhibitory meroterpenoid from a mangrove endophytic fungus Aspergillus sp. 16-5c. Molecules 2017, 22, 727. [Google Scholar] [CrossRef]
- Huang, X.; Huang, H.; Li, H.; Sun, X.; Huang, H.; Lu, Y.; Lin, Y.; Long, Y.; She, Z. Asperterpenoid A, a new sesterterpenoid as an inhibitor of Mycobacterium tuberculosis protein tyrosine phosphatase B from Aspergillus sp. 16-5c. Org. Lett. 2013, 15, 721–723. [Google Scholar] [CrossRef]
- Wang, Z.; Liu, B.; Wang, X.; Zhang, D.; Zhang, X.; Kang, Y.; Sun, Y. Bioactive secondary metabolites from Talaromyces sp. TP21, an endophytic fungus of Stellera chamaejasme. Chin. J. Exp. Tradit. Med. Formulae 2024, 30, 205–213. [Google Scholar]
- Hui, Z.; Baocong, H.; Yaoyao, Z.; Jinqiu, M.; Xiahao, Z.; Chengyun, W. Secondary metabolites and antibacterial activity of the marine-derived fungus Talaromyces sp. HK1-18. Chin. Mar. Med. 2022, 42, 67–72. [Google Scholar]
- Kang, H.H.; Zhang, H.B.; Zhong, M.J.; Ma, L.Y.; Liu, D.S.; Liu, W.Z.; Ren, H. Potential Antiviral Xanthones from a Coastal Saline Soil Fungus Aspergillus iizukae. Mar. Drugs 2018, 16, 449. [Google Scholar] [CrossRef]
- Cai, J.; Zhou, X.; Wang, B.; Zhang, X.; Luo, M.; Huang, L.; Wang, R.; Chen, Y.; Li, X.; Luo, Y.; et al. Bioactive polyketides and meroterpenoids from the mangrove-derived fungus Talaromyces flavus TGGP35. Front. Microbiol. 2024, 15, 1342843. [Google Scholar] [CrossRef] [PubMed]
- Chapla, V.M.; Honório, A.E.; Gubiani, J.R.; Vilela, A.F.; Young, M.C.; Cardoso, C.L.; Pavan, F.R.; Cicarelli, R.M.; Ferreira, P.M.P.; Bolzani, V.D.S.; et al. Acetylcholinesterase inhibition and antifungal activity of cyclohexanoids from the endophytic fungus Saccharicola sp. Phytochem. Lett. 2020, 39, 116–123. [Google Scholar] [CrossRef]
- Seo, C.; Ahn, E.K.; Lee, J.A.; Kang, J.S.; Byun, H.W.; Hong, S.S. Phenolic constituents of the stems of Dipterocarpus intricatus. Chem. Nat. Compd. 2020, 56, 920–922. [Google Scholar] [CrossRef]
- Ren, Q.Q.; Zhou, H.C.; He, S.; Bai, S.P. Chemical constituents and antitumor activity of Isodon japonicus var. glaucocalyx. J. Xinxiang Med. Univ. 2016, 33, 261–266. [Google Scholar]
- Hl’asová, Z.; Košík, I.; Ondrejovič, M.; Miertuš, S.; Katrlík, J. Methods and current trends in determination of neuraminidase activity and evaluation of neuraminidase inhibitors. Crit. Rev. Anal. Chem. 2018, 49, 350–367. [Google Scholar] [CrossRef]
- Chen, Z.Y.; Picaud, S.; Filippakopoulos, P.; D’Angiolella, V.; Bullock, A.N. Structural basis for recruitment of DAPK1 to the KLHL20 E3 ligase. Structure 2019, 27, 1395–1404. Available online: https://www.sciencedirect.com/science/article/pii/S0969212619302047 (accessed on 1 December 2025). [CrossRef] [PubMed]





| 1 | |||||
|---|---|---|---|---|---|
| Pos | δC, Type | δH, (J in Hz) | Pos | δC, Type | δH, (J in Hz) |
| 1 | 36.25 (CH2) | 1.77 (m, 2H) | 17 | 20.48 (CH3) | 2.05 (s, 3H) |
| 2 | 30.34 (CH2) | 2.63 (m, 2H) | 2′ | 191.25 (C) | |
| 3 | 173.54 (C) | 3′ | 82.79 (C) | ||
| 4 | 75.47 (C) | 4′ | 164.37(C) | ||
| 5 | 48.43 (C) | 5′ | 75.72 (CH) | 5.01 (q, J = 6.9 Hz, 1H) | |
| 6 | 33.29 (CH) | 1.54 (dd, J = 14.1, 4.7 Hz, 1H) | 6′ | 84.33 (C) | |
| 7 | 69.72 (CH) | 5.11 (dd, J = 12.0, 4.7 Hz, 1H) | 7′ | 65.84 (C) | |
| 8 | 59.51 (C) | 8′ | 164.63 (C) | ||
| 9 | 91.40 (C) | 9′ | 15.84 (CH3) | 1.31 (s, 3H) | |
| 10 | 140.24 (C) | 10′ | 12.79 (CH3) | 1.43 (d, J = 7.0 Hz, 3H) | |
| 11 | 76.84 (CH) | 5.73 (s, 1H) | 1″ | 166.14 (C) | |
| 12 | 11.69 (CH3) | 1.45 (s, 3H) | 2″ | 127.23 (C) | |
| 13 | 124.42 (CH2) | 5.71 (s, 1H) | 3″ | 138.99 (CH) | 6.75 (dddd, J = 8.8, 7.3, 5.9,1.6 Hz, 1H) |
| 14 | 26.34 (CH3) | 1.09 (s, 3H) | 4″ | 14.31 (CH3) | 1.77(m, 3H) |
| 15 | 26.55 (CH3) | 1.12 (s, 3H) | 5″ | 11.75 (CH3) | 1.73 (m, 3H) |
| 16 | 168.93 (C) | 1‴ | 51.40 (CH3) | 3.58 (s, 3H) | |
| Pos | 2 | Pos | 3 | ||
|---|---|---|---|---|---|
| δC, Type | δH, (J in Hz) | δC, Type | δH, (J in Hz) | ||
| 1 | 70.4 (C) | 1 | 169.8 (C) | ||
| 2 | 40.6 (CH2) | 1.71 (m,1H), 1.57 (m,1H) | 3 | 80.3 (CH) | 4.64 (s, 1H) |
| 3 | 18.9 (CH2) | 1.64 (m,1H), 1.57 (m,1H) | 4 | 31.5 (CH2) | 2.98 (dd, J = 16.3, 3.3 Hz, 1H) 2.85 (dd, J = 16.2, 11.2 Hz, 1H) |
| 4 | 29.2 (CH2) | 1.96 (m,1H), 1.64 (m,1H) | 4a | 130.6 (C) | |
| 4a | 79.0 (CH) | 4.86 (d, J = 3.2 Hz, 1H) | 5 | 117.1 (CH) | 6.76 (d, J = 8.1 Hz, 1H) |
| 6 | 170.8 (C) | 6 | 118.2 (CH) | 7.21 (d, J = 8.1 Hz, 1H) | |
| 6a | 108.8 (C) | 7 | 146.6 (C) | ||
| 7 | 150.8 (C) | 8 | 151.4 (C) | ||
| 8 | 146.6 (C) | 8a | 108.3 (C) | ||
| 9 | 117.7 (CH) | 7.24 (d, J = 8.2 Hz, 1H) | 9 | 56.0 (CH3) | 3.78 (s, 3H) |
| 10 | 119.8 (CH) | 6.84 (d, J = 8.2 Hz, 1H) | 1′ | 30.7(CH2) | 1.71 (m, 1H), 1.95 (qd, J = 10.7, 4.5 Hz, 1H) |
| 10a | 132.1 (C) | 2′ | 27.9 (CH2) | 1.40 (dt, J = 12.8, 6.3 Hz, 1H) 1.71 (m, 1H) | |
| 11 | 47.0 (CH) | 2.83 (d, J = 3.4 Hz, 1H) | 3′ | 74.4 (CH) | 3.10 (m,1H) |
| 12 | 22.8 (CH3) | 0.71 (s, 3H) | 4′ | 69.7 (CH) | 3.37 (m, 1H) |
| 8-OCH3 | 56.0 (OCH3) | 3.80 (s, 3H) | 5′ | 19.5 (CH3) | 1.05 (d, J = 6.2 Hz, 3H) |
Disclaimer/Publisher’s Note: The statements, opinions and data contained in all publications are solely those of the individual author(s) and contributor(s) and not of MDPI and/or the editor(s). MDPI and/or the editor(s) disclaim responsibility for any injury to people or property resulting from any ideas, methods, instructions or products referred to in the content. |
© 2026 by the authors. Licensee MDPI, Basel, Switzerland. This article is an open access article distributed under the terms and conditions of the Creative Commons Attribution (CC BY) license.
Share and Cite
Wijerathna, P.; Chen, X.; Chen, Y.; Zhang, Y.; Cai, J.; Cong, M.; Liu, Y.; Jayasinghe, L.; Liu, Y.; Ratnasekera, D.; et al. Diverse and Bioactive Lactones from the Sri Lankan Mangrove-Derived Fungus Talaromyces sp. SCSIO41445. Mar. Drugs 2026, 24, 80. https://doi.org/10.3390/md24020080
Wijerathna P, Chen X, Chen Y, Zhang Y, Cai J, Cong M, Liu Y, Jayasinghe L, Liu Y, Ratnasekera D, et al. Diverse and Bioactive Lactones from the Sri Lankan Mangrove-Derived Fungus Talaromyces sp. SCSIO41445. Marine Drugs. 2026; 24(2):80. https://doi.org/10.3390/md24020080
Chicago/Turabian StyleWijerathna, Parakkrama, Xinqi Chen, Yi Chen, Yufan Zhang, Jian Cai, Mengjing Cong, Ying Liu, Lalith Jayasinghe, Yonghong Liu, Disna Ratnasekera, and et al. 2026. "Diverse and Bioactive Lactones from the Sri Lankan Mangrove-Derived Fungus Talaromyces sp. SCSIO41445" Marine Drugs 24, no. 2: 80. https://doi.org/10.3390/md24020080
APA StyleWijerathna, P., Chen, X., Chen, Y., Zhang, Y., Cai, J., Cong, M., Liu, Y., Jayasinghe, L., Liu, Y., Ratnasekera, D., & Zhou, X. (2026). Diverse and Bioactive Lactones from the Sri Lankan Mangrove-Derived Fungus Talaromyces sp. SCSIO41445. Marine Drugs, 24(2), 80. https://doi.org/10.3390/md24020080

