Abstract
Marine Aspergillus fungi, adapted to extreme marine environments (e.g., sediments, corals, mangroves), are prolific producers of structurally diverse secondary metabolites with significant bioactivities. This review comprehensively analyzes 340 novel natural products reported from 81 marine-derived Aspergillus strains over the past three years, classifying them into six major categories: alkaloids (31.2%), polyketides (29.4%), terpenoids, lignans, cyclopeptides, and others. Bioactivity assessments reveal broad therapeutic potential, including antitumor, antimicrobial, anti-inflammatory, and antiviral effects. Notably, marine sediments constitute the primary source (25.9% of strains), followed by sponges and corals. The predominance of alkaloids and polyketides underscores their pharmacological relevance. These findings highlight marine Aspergillus as a critical resource for drug discovery, offering promising scaffolds for developing treatments against human diseases and agricultural pathogens.
1. Introduction
Aspergillus sp., a representative group of marine fungal ecosystems, primarily thrives in typical marine habitats such as mangrove humus substrates, coral reef symbiotic systems, and deep-sea sediments []. Its adaptation mechanisms involve systematic responses to extreme physical and chemical conditions, including high osmotic pressure, high hydrostatic pressure, and low dissolved oxygen concentration []. Under such selective pressures, marine Aspergillus has evolved secondary metabolic pathways distinct from those of its terrestrial relatives through horizontal gene transfer and metabolic network reconstruction, leading to the production of unique natural products []. Statistics show that Aspergillus fungi are the most studied species among marine microbial-derived new natural products, accounting for 31% of new natural products from marine fungi []. These marine natural products exhibit rich chemical diversity, thus facilitating the discovery of drug lead compounds.
The natural products of marine Aspergillus show remarkable potential in drug development. Although cases of direct drug approval remain limited, many natural products have advanced the pharmaceutical and agricultural sectors as drug precursors or candidate molecules. The study of the lovastatin metabolic pathway in Aspergillus terreus has provided a technical basis for engineering modifications []. Currently, candidate drugs have entered the clinical stage: Plinabulin, derived from marine Aspergillus, has demonstrated significant efficacy in phase III clinical trials for metastatic non-small cell lung cancer by inhibiting tubulin polymerization and activating immune responses []. In agriculture, the novel phenolic aldehyde dimer Stromemycin B from marine Aspergillus exhibits potent inhibitory activity against Ralstonia solanacearum by inhibiting succinate dehydrogenase activity and disrupting bacterial morphology, significantly reducing disease incidence in a tomato bacterial wilt model []. These cases illustrate that although direct drug development based on natural products derived from marine Aspergillus still awaits breakthroughs, their core value as lead molecules and semi-synthetic precursors, coupled with the continuous advancement of synthetic biology technologies, is offering innovative solutions for the treatment of major diseases and the development of green agriculture.
Against this backdrop, this study reviews the literature on new natural products derived from marine Aspergillus over the past three years, collating 340 new natural products from 81 articles that were first reported to originate from marine Aspergillus. In subsequent chapters, these 340 compounds are classified into six categories based on their structural characteristics: alkaloids, polyketides, terpenoids, lignans, cyclopeptides, and other types of compounds. The proportion of each type of compound is shown in Figure 1.

Figure 1.
Proportions of compounds with different structures.
2. Compounds
2.1. Alkaloids
Alkaloids, nitrogen-containing organic compounds widely distributed in nature, have been increasingly identified from marine-derived Aspergillus, in addition to plants, animals, and other microorganisms. Their structures typically feature nitrogen-containing cyclic cores—a characteristic that contributes to remarkable structural diversity, particularly among those isolated from marine Aspergillus []. Owing to their unique architecures shaped by the extreme marine environment, marine Aspergillus-derived alkaloids exhibit prominent and diverse biological activities with significant pharmaceutical and agricultural potential [,,]. Such distinctive properties make marine Aspergillus-derived alkaloids a focal point in natural product chemistry and drug development.
Wei-Chen Chen et al. isolated 16 undescribed pyranopyridone alkaloids, aculeapyridones A–P (1–16), from the co-culture extract of the mangrove-derived fungus Aspergillus aculeatinus WHUF0198 and the mangrove-associated Penicillium sp. DM27 through bioactivity-guided fractionation. Among them, compounds 12–15 with unique N-methoxy groups were identified as activated products of fungal co-culture. The hepatoprotective activity of these compounds against acetaminophen-induced acute liver injury was evaluated in vitro. Results showed that compounds 1–7, 9, 10, and 12–15 significantly increased cell viability and reduced alanine aminotransferase (ALT) levels in acetaminophen-treated mouse hepatocytes at 5.0 μM or 10.0 μM []. Additionally, Lai-Hui Dai et al. reported four new alkaloids (17–20) isolated from the culture of marine-derived Aspergillus fumigatus AF1 []. The structures of compounds 1–20 are shown in Figure 2.

Figure 2.
Structural diagrams of compounds 1–20.
Jingshuai Wu et al. investigated the deep-sea sediment-derived fungus Aspergillus puulaauensis F77 and successfully isolated 19 undescribed austamide-type diketopiperazines, named versicoines A–S (21–39). Compound 34 effectively reduced NO production and the expression of iNOS and COX-2 proteins in LPS-induced BV2 cells, suppressed LPS-triggered NF-κB signaling pathway and subsequent NLRP3 inflammasome activation. Compounds 22, 23, 36, and 37 exhibited mild cytotoxicity with cell viability rates of 70.0–75.0% [].
Philomina Panin Edjah et al. isolated two new paralectins (PHQ), aculeaquamides B and C (40–41), from the co-culture of mangrove-derived Aspergillus aculeatinus WHUF0198 and mangrove-associated Penicillium sp. DM27 []. Yao-Yao Zheng et al. studied the sea hare-derived fungus Aspergillus terreus RA2905 and identified two alkaloids, azasperones E and F (42–43) []. Sarani Kankanamge et al. cultured the Australian marine sediment-derived fungus Aspergillus noonimiae CMB-M0339 and obtained rare 2,6-diketopiperazine alkaloids noonazines A–C (44–46) []. Zheng-Biao Zou et al. isolated a rare stephacidin-asperochratide hybrid, stephaochratidin A (47), from deep-sea Aspergillus ochraceus. Activity assays showed that stephaochratidin A (47) significantly inhibited ferroptosis with an EC50 value of 15.4 μM, acting by downregulating heme oxygenase 1 (HMOX-1) expression and suppressing lipid peroxidation []. The structures of compounds 21–47 are shown in Figure 3.

Figure 3.
Structural diagrams of compounds 21–47.
Zhibo Hu et al. isolated four diketomorpholine alkaloids (48–51) and one indole diketopiperazine alkaloid (52) from the seagrass-derived Aspergillus alabamensis SYSU-6778. Compounds 48 and 49 exhibited potent inhibitory activity against the fish pathogen Edwardsiella ictalurid, with minimum inhibitory concentrations (MICs) of 10.0 μM []. Yura Ha et al. obtained phthalimidinic acid A (53) and phthalimidinic acid B (54) from the marine sediment-derived Aspergillus sp. ZZ1861. Both compounds showed antifungal activity against Candida albicans, with MIC values of 1.6 and 3.1 μM, respectively [].
Geng-Si Zhang et al. isolated the new natural products secofumitremorgins C (55) and D (56) from the salt pan-derived Aspergillus fumigatus GXIMD00544. Activity assays showed that compound 55 exhibited antifungal spore germination activity against Fusarium sacchari-related plant pathogenic fungi, with a 53.0% inhibition rate at 100.0 μM. Additionally, compound 55 demonstrated antifouling potential against Balanus amphitrite larval settlement, achieving a 96% inhibition rate at 100.0 μM []. Harol Ricardo Arias Cardona et al. reported an undescribed isoprenylated indole derivative, hydroxyhomamide (57), from the marine sponge-associated fungus Aspergillus fischeri MMERU 23 []. Bingying Tang et al. isolated a new ascandinine T (58) from the Antarctic sponge-derived fungus Aspergillus candidus HDN15-152 []. The structures of compounds 48–58 are shown in Figure 4.

Figure 4.
Structural diagrams of compounds 48–58.
Xiaomei Huang et al. isolated three dimeric nitrobenzyl trans-epoxyamides (59–61) from the culture of deep-sea-derived Aspergillus terreus MCCC M28183. Activity assays showed that compound 59 exhibited moderate inhibitory activity against human gastric cancer cell line MKN28 with an IC50 value below 10.0 μM []. Hao-Yu Yu et al. reported three new oxyindole diterpenoid alkaloids, emeniveol B–D (62–64), from the marine sediment-derived Aspergillus sp. MCCC 3A00392 []. Elisa Doro-Goldsmith et al. isolated a novel tryptophan derivative, 12S-deoxynorquinoline (65), from the marine ascidian-derived fungus Aspergillus clavatus AS-107 [].
Dina H El-Kashef et al. isolated a new isoprenylated indole diketopiperazine alkaloid, rubrumline P (66), from the fermented culture of Aspergillus chevalieri, a marine sediment-derived fungus collected at a depth of 15 m near the Lighthouse of Dahab, Red Sea, Egypt. Compound rubrumline P (66) was confirmed to exhibit cytotoxic activity against PANC-1 cancer cells with an IC50 value of 25.8 μM. Although the underlying mechanism remains elusive, cell cycle analysis showed a slight increase in the sub-G1 peak following treatment with compound 66 []. Cangzhu Sun et al. emphasized the importance of fungi as a source of novel bioactive natural products and isolated asperindopiperazines A–C (67–69) from Mariana Trench-associated Aspergillus sp. SY2601 []. Yi-Hao Che et al. isolated a novel diketopiperazine derivative, 8R-methoxy-9R-hydroxy-fumigaclavine C (70), from Aspergillus fumigatus CYH-5 collected from a seahorse cold seep [].
Yu Chen et al. isolated and identified a new derivative, aspertaichamide A (71), from the endophytic fungus Aspergillus taichungensis 299 derived from the marine red alga Gelidium amansii. In vitro cytotoxicity assays showed that new compound 71 reduced AGS cell viability in a concentration-dependent manner, with an IC50 value of 1.7 μM. Further studies indicated that 71 might induce programmed cell death in AGS cells via an apoptotic pathway []. Zhu Chen et al. obtained a new alkaloid, pyripyropene U (72), from the marine sponge-derived Aspergillus sp. SCSIO41420 []. The structures of compounds 59–72 are shown in Figure 5.

Figure 5.
Structural diagrams of compounds 59–72.
Mangaladoss Fredimoses et al. isolated two new alkaloids, chaetominines A (73) and B (74), from the marine sponge-derived fungus Aspergillus versicolor SCSIO XWS04 F52. Activity assays showed that compounds 73 and 74 exhibited cytotoxic activity against leukemia K562 and colon cancer SW1116 cells, with half-maximal inhibitory concentration (IC50) values ranging from 7.5 to 12.5 μM []. Shui-Hua Lin et al. conducted a systematic chemical study on the deep-sea-derived fungus Aspergillus versicolor 170217, isolating three new alkaloids: citriquinolinone A–B (75–76) and N-(3-((2′S,3′S)-2′,3′,5′-trimethyl-1,3-dioxolan-2-yl)propyl)acetamide (77) [].
Fei Zhang et al. isolated and identified the fungus Aspergillus sp. ZF-104 from marine soft corals collected in Haikou Bay, China. Eight undescribed indole-diterpenoid alkaloids, penerpenes O–V (78–85), were isolated and characterized from this strain. The inhibitory activity of these compounds against protein tyrosine phosphatase 1B (PTP1B) was evaluated. In the PTP1B inhibition assay, compounds 78, 79, and 84 showed activities comparable to that of the positive control []. The structures of compounds 73–85 are shown in Figure 6.

Figure 6.
Structural diagrams of compounds 73–85.
Ying-Jie Zhao et al. obtained two pairs of new dimeric diketopiperazine alkaloids, (±)-dibrevianamides Q1 and Q2 ((±)-1 and (±)-2) (86–89), from marine-derived Aspergillus sp. Activity assays showed that compounds 86 and 89 exhibited resistance to H1N1 virus with half-maximal inhibitory concentration (IC50) values of 12.6 and 19.5 μM, respectively. Compound 86 also demonstrated significant activity against Mycobacterium tuberculosis with a minimum inhibitory concentration (MIC) of 10.2 μM []. Qi Hong et al. conducted a secondary metabolite study on the filamentous fungus Aspergillus puniceus FAHY0085 isolated from a South China Sea coral sample, isolating four undescribed alkaloids, including an oxyepin-containing diketopiperazine-type alkaloid (90) and three 4-quinazolone alkaloids (91–93). The transcriptional activation of liver X receptor α (LXRα) by the isolated compounds was evaluated. Results showed that the new diketopiperazine puniceloid F (92) exhibited significant transcriptional activation activity against LXRα with half-maximal effective concentration (EC50) values ranging from 2.0 to 15.0 μM []. The structures of compounds 86–93 are shown in Figure 7.

Figure 7.
Structural diagrams of compounds 86–93.
Komal Anjum et al. isolated a novel alkaloid with a pyridoindole hydroxymethylpiperazine dione structure, aspergill alkaloid A (94), from the deep-sea-derived fungus Aspergillus sp. HDN20-1401. Antibacterial assays showed that aspergill alkaloid A (94) exhibited inhibitory activity against Bacillus cereus with a minimum inhibitory concentration (MIC) of 12.5 μM []. Yu-Liang Dong et al. isolated multiple compounds from Aspergillus versicolor AS-212, an endophyte derived from the deep-sea coral Hemicorallium cf. imperiale collected from the Magellan Seamounts in the Western Pacific. The isolation yielded four new oxazine-based pyrimidine alkaloids, versicoxepines A–D (95–98), and two quinolinone analogs: 3-hydroxy-6-methoxy-4-phenylquinolin-2(1H)-one (99) and 3-methoxy-6-hydroxy-4-phenylquinolin-2(1H)-one (100). Activity tests showed that compound 99 exhibited antibacterial activity against aquatic pathogens Vibrio harveyi and V. alginolyticus with an MIC of 8.0 μM [].
Yu-Liang Dong et al. isolated and identified two new quinazoline diketopiperazine alkaloids, versicomide E (101) and cottoquinazoline H (102), from the endophytic fungus Aspergillus versicolor AS-212 associated with deep-sea corals. In antibacterial assays, compound 102 exhibited inhibitory effects against Vibrio harveyi and Vibrio parahaemolyticus with an MIC of 9.0 μM [].
Jun-Qiu Mao et al. studied the marine-derived fungus Aspergillus sclerotiorum ST0501 from the South China Sea, from which three new alkaloids, sclerotioloids A–C (103–105), were obtained. Sclerotioloid B (104) showed inhibition of LPS-induced NO production, with an inhibition rate 28.9% higher than that of dexamethasone (25.9%) []. Jin-Shan Hu et al. isolated two new indolediketopiperazine alkaloids (IDAs), namely (+)-19-epi-sclerotiamide (106) and (−)-19-epi-sclerotiamide (107), from the epiphytic fungus Aspergillus versicolor CGF9-1-2 associated with soft corals []. The structures of compounds 94–107 are shown in Figure 8.

Figure 8.
Structural diagrams of compounds 94–107.
Li-Hong Yan et al. isolated and characterized five new antibacterial indolediketopiperazine alkaloids from a deep-sea cold seep-derived Aspergillus chevalieri, namely 24,25-dihydroxyvariecolorin G (108), 25-hydroxyrubrumazine B (109), 22-chloro-25-hydroxyrubrumazine B (110), 25-hydroxyvariecolorin F (111), and 27-epi-aspechinulin D (112). Activity assays showed that compounds 108–112 exhibited inhibitory activity against various pathogens with minimum inhibitory concentration (MIC) values ranging from 4.0 to 32.0 μM []. Zhibo Hu et al. isolated and identified six new benzoic acid-containing alkaloids from seagrass-derived Aspergillus candidus, namely asperalins A–D (113–116), asperaluhalazine A (117), and N-(3-acetamidopropyl)-3,4-dihydroxybenzamide (118). Compounds 115 and 116 showed strong activity against Staphylococcus aureus, Streptococcus iniae, and Streptococcus parauberis, with MIC values of 10.1, 5.0 and 10.1 μM, respectively [].
Florent Magot et al. isolated 77 microbial strains from the seafloor at a depth of 2454 m in the Fram Strait, Arctic Ocean. Using the one-strain-many-compounds (OSMAC) cultivation method, they isolated a new polyketide synthase-nonribosomal peptide synthetase (PKS-NRPS) hybrid macrolide, heteroamidin A (119), and a new quinazoline, (−)-isocarbonolide A (120) []. Xinyang Li et al. isolated two new dimeric diketopiperazine stereoisomers (121–122) from the culture broth of an Aspergillus strain derived from the intestine of Lip Tarico []. Zhong-Hui Huang et al. isolated one previously undescribed compound, punicesterones A (123), from the deep-sea-derived fungal strain Aspergillus puniceus SCSIO z021 [].
Yao-Yao Zheng et al. conducted a chemical study on the marine sediment-derived fungus Aspergillus terreus PPS1, successfully isolating and identifying seven previously undescribed alkaloids, namely asperspiroids A and B (124–125), astepyrazinol C (126); two luhalazine peptides, scytalols C and D (127–128); and scytalols E and F (129–130). Activity evaluation results showed that astepyrazinol C (126) exhibited significant inhibitory activity against lipopolysaccharide (LPS)-induced nitric oxide (NO) production in RAW264.7 macrophages, with an inhibition rate of 37.4% at 20.0 μM []. The structures of compounds 108–130 are shown in Figure 9.

Figure 9.
Structural diagrams of compounds 108–130.
The sources and biological activities of compounds 1–130 are summarized in Table 1.

Table 1.
The sources and biological activities of compounds 1–130.
2.2. Polyketides
Polyketide compounds are a family of natural products synthesized by polyketide synthases (PKSs). Their carbon skeletons are formed through modular extension of acetyl/malonyl units []. Depending on the type of PKS (Type I, II, or III), these compounds can form linear, cyclic, or highly modified complex structures, including macrolides (e.g., erythromycin), aromatic polyketides (e.g., tetracycline), and polyethers (e.g., amphotericin B). Their structural diversity arises from combinations of post-modification reactions such as ketone reduction, cyclization, and methylation. These compounds exhibit broad-spectrum biological activities.
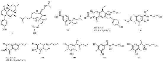
Wei-Chen Chen et al. isolated one undescribed polyketide, aculeapyridones Q (131), from the co-culture extract of mangrove-derived fungus Aspergillus aculeatinus WHUF0198 and mangrove-associated fungal Penicillium sp. DM27 via bioactivity-guided fractionation []. Yue Jiang et al. isolated asperhydrindane A (132) from the mangrove-derived fungus Aspergillus terreus GXIMD 03,158 []. Xu-Meng Ren et al. isolated (7R,10R)-11-dehydroxy-iso-10-hydroxysydowic acid (133) from the deep-sea-derived fungus Aspergillus sydowii DFFSCS007 []. Yao-Yao Zheng et al. conducted a study on the sea hare-derived fungus Aspergillus terreus RA2905, identifying nine new polyketide compounds, namely azasperones C–D, G–J (134–139) and preazasperones A–C (140–142) []. The structures of compounds 131–142 are shown in Figure 10.

Figure 10.
Structural diagrams of compounds 131–142.
Yu-Pei He et al. conducted a study on the marine fungus Aspergillus versicolor CGF9-1-2, aiming to discover undescribed compounds. They successfully isolated four new polyketides, including decumbenone E (143), decumbenone F (144), 2′-epi-8-O-methylnidurufin (145), and (−)-phomoindene A (146). In vitro screening for TDP1 inhibitory activity of all isolated compounds showed that compound 145 exhibited weak inhibitory activity against TDP1 with an IC50 value of 33.00±5.10 μM []. Ailiman Abulaizi et al. isolated a marine-derived fungal strain Aspergillus sp. ITBBc1 from corals collected in the South China Sea, Hainan Province. In-depth chemical investigation of the fermented extract of this strain yielded four new secondary metabolites (147–150), named megastigmanones A-C and prenylterphenyllin H []. Sarani Kankanamge et al. performed culture analysis on Aspergillus noonimiae CMB-M0339, a fungus derived from Australian marine sediments, obtaining a new aza-nonaketide, noonaphilone A (151) [].
Zhibo Hu et al. isolated one chromone (152) and one benzoic acid derivative (153) from the seagrass-derived Aspergillus alabamensis SYSU-6778 []. Yura Ha et al. obtained emericelactones F and G (154–155), 20R,25S-preshamixanthone (156), 20R,25R-preshamixanthone (157), aspergilol G (158), and 2-hydroxyemodic amide (159) from the marine sediment-derived Aspergillus sp. ZZ1861. Aspergilol G (158) and 2-hydroxyemodic amide (159) exhibited antifungal activity against Candida albicans with minimum inhibitory concentration (MIC) values of 1.6 and 3.1 μM, respectively []. Guang-Yu Zhang et al. identified terreins A and B (160–161) from the coral-derived fungus Aspergillus terreus []. The structures of compounds 143–161 are shown in Figure 11.

Figure 11.
Structural diagrams of compounds 143–161.
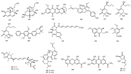
Yi-Hao Che et al. isolated seven new phenol derivatives, namely subversins A–E (162–166), subversic acid A (167), and epi-wortmannine G (168), as well as one new natural product 4-hydroxy-7-methoxyphthalide (169), from the fungus Aspergillus subversicolor CYH-17 collected from a seahorse cold seep []. Chun-Ju Lu et al. isolated six benzophenone derivatives, carneusones A–F (170–175), from the marine sponge-derived fungal strain Aspergillus carneus GXIMD00543. Using lipopolysaccharide (LPS)-induced RAW 264.7 cells, they evaluated the effect of these compounds on nitric oxide (NO) secretion. The results showed that compounds 174 and 175 exhibited moderate anti-inflammatory activity with half-maximal effective concentration (EC50) values of 34.6 ± 0.9 and 20.2 ± 1.8 μM, respectively []. Hao-Yu Yu et al. isolated two new polyketides, hamavellone C and (+)-Stagonospone A (176-177), from the marine sediment-derived Aspergillus sp. MCCC 3A00392. Highlighting the importance of fungi as a source of novel bioactive natural products []. Cangzhu Sun et al. isolated 5-methoxy-8,9-dihydroxy-8,9-deoxyaspyrone (178) from the Mariana Trench-related Aspergillus sp. SY2601 [].
Yanbo Zeng et al. obtained two undescribed compounds, asperterphenylcins A–B (179–180), and another two undescribed compounds, asperdiphenylcins A–B (181–182), from the marine-derived fungus Aspergillus candidus HM5-4 isolated from a South China Sea sponge. Activity assays showed that compound 179 exhibited strong inhibitory activity against Neoscytalidium dimidiatum, with an inhibition zone diameter of 31.7 ± 2.6 mm at a concentration of 10.0 μg/disk; compound 180 displayed potent inhibitory activity against α-glucosidase, with an IC50 value of 1.3 ± 0.2 μM []. The structures of compounds 162–182 are shown in Figure 12.

Figure 12.
Structural diagrams of compounds 162–182.
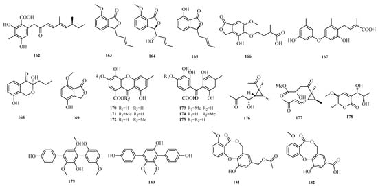
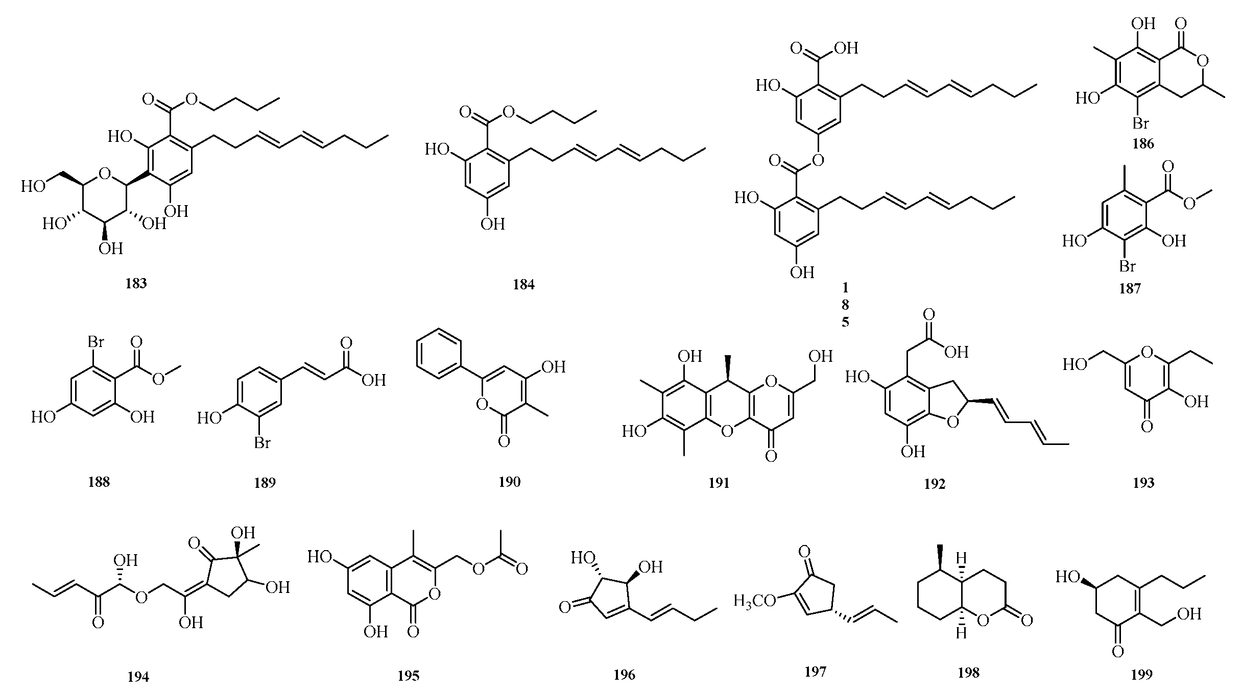
Jingjing Xue et al. successfully isolated three phenolic compounds, namely carnemycin H–I (183–184) and stromemycin B (185), from secondary metabolites of a marine-derived Aspergillus strain. Antibacterial activity evaluation of the isolated compounds against Ralstonia solanacearum (bacterial wilt pathogen) showed that compound 185 exhibited excellent inhibitory activity with a minimum inhibitory concentration (MIC) of 3.0 μM, which was comparable to that of streptomycin sulfate. Furthermore, compound 185 significantly altered the morphology of R. solanacearum and inhibited the activity of succinate dehydrogenase (SDH), thereby interfering with the growth of R. solanacearum [].
Chao Li et al. conducted a study on the starfish-derived fungus Aspergillus sp. WXF1904, isolating one new brominated isocoumarin, namely 5-bromo-6,8-dihydroxy-3,7-dimethylisocoumarin (186), as well as four new natural products: methyl 3-bromo-2,4-dihydroxy-6-methylbenzoate (187), methyl 2-bromo-4,6-dihydroxybenzoate (188), (E)-3-(3-bromo-4-hydroxyphenyl)acrylic acid (189), and 4-hydroxy-3-methyl-6-phenyl-2H-pyran-2-one (190). Evaluation of the acetylcholinesterase and pancreatic lipase inhibitory activities of these compounds showed that the new compound 186 exhibited weak inhibitory activity against acetylcholinesterase, while compounds 187 and 190 displayed weak inhibitory activity against pancreatic lipase [].
Ying Chen et al. conducted a study on the coral-derived fungus Aspergillus austwickii SCSIO41227 from the Beibu Gulf, obtaining three previously uncharacterized compounds, asperpentenones C–E (191–193). Bioassay results showed that compound 191 exhibited significant NA inhibitory activity with a half-maximal inhibitory concentration (IC50) of 31.3 μM, while compound 192 displayed weak inhibitory activity against PL []. Mangaladoss Fredimoses et al. isolated a new oxytetracycline derivative (194) from the marine sponge-derived fungus Aspergillus versicolor SCSIO XWS04 F52 []. Shui-Hua Lin et al. performed a systematic chemical investigation on the deep-sea-derived fungus Aspergillus versicolor 170217, isolating (6,8-dihydroxy-4-methyl-1-oxo-1H-isochromen-3-yl)methyl (195) [].
Youmin Ying et al. isolated the fungus Aspergillus terreus F6-3 from the body surface of Johnius belangerii collected from the coastal waters of Hainan Province, China. From this fungal strain, they identified two previously undescribed compounds, asperterreinones A–B (196–197), and one new compound, (±)-asperterreinin A (198) []. Zhibo Hu et al. isolated a new cyclohexanone derivative, insuetone A (199), from the seagrass-derived fungus Aspergillus insuetus SYSU6925. Activity assays showed that compound 199 exhibited weak to moderate antifungal activity against four phytopathogenic fungi, with minimum inhibitory concentration (MIC) values in the range of 50.0 μM []. The structures of compounds 183–199 are shown in Figure 13.

Figure 13.
Structural diagrams of compounds 183–199.
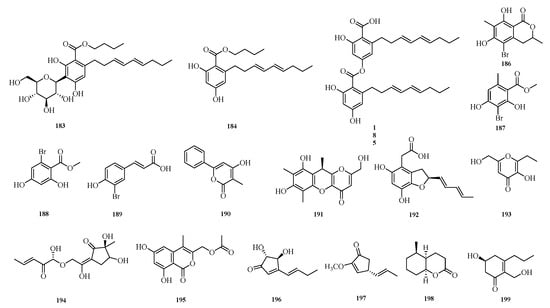
Weibo Zhao et al. isolated three new phenolic compounds, namely epicocconigrones C–D (200–201) and flavimycin C (202), from the fermentation culture of a deep-sea sediment-derived fungus Aspergillus insulicola. Evaluation of their α-glucosidase inhibitory activity showed that compound 200 exhibited strong inhibitory effect on α-glucosidase with a half-maximal inhibitory concentration (IC50) of 17.0 μM, which was significantly higher than that of the positive control acarbose (IC50 = 823.0 μM). This indicates that compound 200 has the potential to be a promising lead compound for new hypoglycemic drugs []. Jun Wu et al. isolated five new dimeric tetrahydroanthraquinones, aculeaxanthones A–E (203–207), from the fungus Aspergillus aculeatinus WHUF0198. Compound 205 showed cytotoxicity against the Bel-7402 cell line (IC50 = 2.0 μM) [].
Yuanli Li et al. successfully obtained seven new phenolic bisabolane sesquiterpenoids (208–214) from the deep-sea-derived fungus Aspergillus versicolor YPH93. Evaluation of the effects of all compounds on ferroptosis showed that compound 214 exerted an inhibitory effect on erastin/RSL3-induced ferroptosis, with a half-maximal effective concentration (EC50) in the range of 2.0 to 4.0 μM []. The structures of compounds 200–214 are shown in Figure 14.

Figure 14.
Structural diagrams of compounds 200–214.
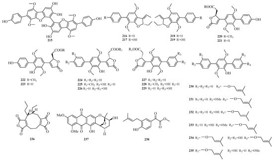
Xin Qi et al. conducted a study on the sponge-derived fungus Aspergillus sp. SCSIO41315, from which they isolated 21 new terphenyl derivatives, namely asperterphenyls A-N and the enantiomers of asperterphenyls B–H (215–235). Activity assays revealed that asperterphenyl A (215) exhibited neuraminidase inhibitory activity with a half-maximal inhibitory concentration (IC50) of 1.8 ± 0.5 μM, and it could effectively inhibit infections by various H1N1 virus strains with IC50 values ranging from 0.7 ± 0.3 to 1.5 ± 0.6 μM. Its mechanism of action involves reducing virus plaque formation in a dose-dependent manner, indicating that asperterphenyl A (215) holds potential as a promising antiviral compound in the pharmaceutical field [].
Baiq Nila Sari Ningsih et al. isolated a new nonapeptide enantiomer, ent-epiheveadride (236), from the marine-derived fungus Aspergillus chevalieri PSU-AMF79. Activity assays showed that compound 236 exhibited antifungal activity against Cryptococcus neoformans ATCC90113 (flucytosine-resistant) and Candida albicans NCPF3153, with minimum inhibitory concentration (MIC) values of 128.0 μM and 200.0 μM, respectively []. Ze’en Xiao et al. isolated a new anthraquinone, asperquinone A (237), from the mangrove endophytic fungus Aspergillus sp. 16-5C []. Xin Qi et al. isolated a new glyoxylate-containing benzene derivative, 2-(4-hydroxy-3-(3′-methyl-2′-butenyl)phenyl)-2-oxoacetate (238), from the marine alga-derived fungus Aspergillus sp. SCSIO 41,304 []. The structures of compounds 215–238 are shown in Figure 15.

Figure 15.
Structural diagrams of compounds 215–238.
The sources and biological activities of compounds 131–238 are summarized in Table 2.

Table 2.
The sources and biological activities of compounds 131–238.
2.3. Terpenoids
Terpenoids are naturally occurring organic compounds widely distributed in nature. Composed of covalently linked isoprene units, they form unique molecular skeletons with remarkable structural diversity; they are further classified by the number of isoprene units into categories such as monoterpenes, sesquiterpenes, and diterpenes. These compounds are primarily derived from plants, though some are also biosynthesized by microorganisms and marine organisms. Endowed with unique properties and broad application prospects, terpenoids have become a research hotspot across multiple fields and are expected to drive the advancement of future pharmaceuticals [].
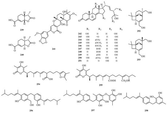
Xu-Meng Ren et al. isolated two new terpenoid derivatives, (1S,6R,7S)-hydrobenzosydowic acid (239) and (1R,6S,7S)-hydrobenzosydowic acid (240), from the deep-sea-derived fungus Aspergillus sydowii DFFSCS007 []. Guang-Ping Cao et al. identified a new compound, millmerranones G (241), from the mangrove-derived fungus Aspergillus sp. GXIMD 03004. This fungus was isolated from the leaves of the mangrove plant Acanthus ilicifolius L. collected from the Beibu Gulf, China. Evaluation of anti-Vibrio activity showed that compound 241 exhibited weak activity against Vibrio harveyi [].
Zhen Zhang et al. isolated 10 new ergot derivatives (242–251) from the deep-sea-derived fungus Aspergillus terreus YPGA10. Compound 242 exhibited cytotoxicity against the human colon cancer SW620 cell line with an IC50 value of 8.4 μM. It also showed cytotoxicity against five human leukemia cell lines (CCRF-CEM, Jurkat, THP-1, U937, and K562) with IC50 values ranging from 5.0 to 9.0 μM. Compound 250 displayed weak inhibitory activity against RSL3-induced ferroptosis in U937 cells, with an EC50 value of 30.0 μM []. Jun Zhang et al. discovered two new compounds with a very rare structural skeleton, asperporonins A (252) and B (253), from the deep-sea fungus Aspergillus terreus SCSIO 41,202 [].
Yiwei Hu et al. isolated two new 6-alkenyl pyrone polyketides, alternapyrones G-H (254–255), from the marine-derived fungal strain Arthrinium arundinis. Activity assays revealed that alternapyrone G (254) not only inhibited M1 polarization in lipopolysaccharide (LPS)-stimulated BV2 microglia but also promoted dendritic regeneration and neuronal survival after Aβ treatment. This indicates that compound 254 has the potential to serve as a privileged scaffold for the development of anti-Alzheimer’s disease drugs []. Hao-Yu Yu et al. isolated a rare dimeric aromatic bisabolane sesquiterpenoid, aspergol A (256), and two undescribed phenolic bisabolane sesquiterpenoids, expansol H and aspergol B (257–258), from the marine sediment-derived Aspergillus sp. MCCC 3A00392 []. The structures of compounds 239–258 are shown in Figure 16.

Figure 16.
Structural diagrams of compounds 239–258.
Cangzhu Sun et al. focusing on the significance of fungi as a source of novel bioactive natural products, isolated 12S-aspertetranone D (259) from the Mariana Trench-related Aspergillus sp. SY2601. The new compound 259 exhibited antibacterial activity against both methicillin-resistant Staphylococcus aureus and Escherichia coli, with MIC values of 3.8 μM and 5.0 μM, respectively []. Hui Cui et al. isolated six previously undescribed salinene-type terpenoids, aspertermeroterpenes A–F (260–265), from the marine-derived fungus Aspergillus terreus GZU-31-1. During the bioactivity assay, it was found that aspertermeroterpene B (261) effectively inhibited the activation of hepatic stellate cells at a concentration of 5.0 μM by targeting the Nrf2 signaling pathway. This is the first report that aspertermeroterpene B, as a newly discovered carbon skeleton of meroterpenoids, possesses anti-hepatic fibrosis activity [].
Ying Chen et al. conducted a study on the coral-derived fungus Aspergillus austwickii SCSIO41227 from the Beibu Gulf, obtaining asperpentenone B (266) []. Shui-Hua Lin et al. performed a systematic chemical investigation on the deep-sea-derived fungus Aspergillus versicolor 170217, isolating two new dimeric citrinin analogs, dicitrinones K–L (267–268) []. Hui-Min Wen et al. isolated a new compound, 3β-hydroxy-5α,6β-methoxyergosta-7,22-dien-15-one (269), from the crude extract of a marine sponge-derived Aspergillus sp. Antibacterial activity evaluation showed that compound 269 exhibited antibacterial activity against Staphylococcus aureus [].
Sheng-Tao Fang et al. conducted a chemical investigation on the marine alga-derived strain Aspergillus sp. RR-YLW-12, identifying six new terpenoids: 21-Deoxo-21-hydroxyophiobolin U (270) and ustusolates K–O (271–275). The growth inhibitory effects of all compounds against five species of harmful marine microalgae were evaluated. The new compounds exhibited significant to moderate inhibitory effects on all tested microalgal species, with IC50 values ranging from 5.8 to 54.5 μM []. The structures of compounds 259–275 are shown in Figure 17.

Figure 17.
Structural diagrams of compounds 259–275.
Xinjun Zhang et al. identified a new bisabolane-type sesquiterpenoid, named (+)-8-dehydroxylaustrosene (276), from the fungus Aspergillus sydowii (BTBU20213012) isolated from marine sediment samples in the Western Pacific Ocean []. Mohamed S. Elnaggar et al. isolated a new thioterpenoid, austalide Z (277), from a soft coral-associated fungus. In vitro cytotoxicity evaluation against the Caco-2 cancer cell line using the MTT assay showed that compound 277 exhibited weak to moderate activity, with a half-maximal inhibitory concentration (IC50) of 51.6 μM [].
Siwen Niu et al. isolated a new sesquiterpenoid, malfilanol C (278), from the deep-sea-derived fungus Aspergillus puniceus A2. Compound 278 exhibited weak antibacterial activity against Staphylococcus aureus ATCC 29,213 []. Zhong-Hui Huang et al. isolated six previously undescribed compounds, punicesterones B–G (279–284), from the deep-sea-derived fungal strain Aspergillus puniceus SCSIO z021. Punicesterones B and C (279–280) showed cytotoxicity and could reduce intracellular lipid accumulation. Additionally, antibacterial activity assays indicated that compounds 279–280 exhibited moderate antibacterial activity against five bacterial strains [].
Xiuli Xu et al. isolated a new compound, aspergillusneoic acid (285), from the marine-derived fungus Aspergillus brunneoviolaceus MF180246. Antibacterial activity testing against Staphylococcus aureus showed that compound 285 exhibited antibacterial activity, with a minimum inhibitory concentration (MIC) of 200.0 μM []. The structures of compounds 276–285 are shown in Figure 18.

Figure 18.
Structural diagrams of compounds 276–285.
The sources and biological activities of compounds 239–285 are summarized in Table 3.

Table 3.
The sources and biological activities of compounds 239–285.
2.4. Lignan-like Compounds
Lignan-like compounds are a class of natural organic compounds formed by the linkage of two phenylpropanoid derivatives through the β-carbon atoms of their side chains. They feature uniquely diverse structures and are widely distributed in plants including Schisandra chinensis and Forsythia suspensa []. Notably, their distinctive dibenzocyclooctene core structure endows them with a spectrum of biological and pharmacological activitie.
Zheng-Biao Zou et al. isolated 13 new minor furanones, including 5 pairs of enantiomers, namely (±)-nigenolides A–E (286–295) and racemic nigenolides F–H (296–298), from the deep-sea-derived Aspergillus niger 3A00562. Activity assays revealed that compounds 288, 292–293, and 297 could inhibit RSL3-induced ferroptosis. Among them, compound 297 exhibited half-maximal effective concentrations (EC50) of 0.8 μM and 0.7 μM against ferroptosis in A375 and 786-O cells, respectively. Studies indicated that compound 297 is a potential iron chelator and free radical-scavenging antioxidant, and it exerts its ferroptosis-inhibiting effect by downregulating the expression of the TXNIP gene [].
Xinwan Zhang et al. investigated the secondary metabolites of the marine-derived fungal strain Aspergillus terreus BTBU20211037, which was isolated from the coastal area of Qinhuangdao. A new compound, butyrolactone J (299), was isolated and identified therefrom. Activity testing against Staphylococcus aureus ATCC 25,923 showed that compound 299 exerted an inhibitory effect on it, with a minimum inhibitory concentration of 12.5 μM []. Guang-Yu Zhang et al. identified asperteretals L and M (300–301) from the coral-derived fungus Aspergillus terreus. Asperteretal M (301) exhibited cytotoxic activity against HCT-116 cells with an IC50 value of 30 μM []. Yufeng Jiang et al. isolated asperbutenolide A (302) from the marine fungus Aspergillus terreus. The results of its bioactivity assay showed that asperbutenolide A (302) had a MIC of 4.0–8.0 μM against methicillin-resistant Staphylococcus aureus (MRSA), indicating its potential as a novel antibacterial agent []. The structures of compounds 286–302 are shown in Figure 19.

Figure 19.
Structural diagrams of compounds 286–302.
Hao Fan et al. isolated aspergteroids G–H (303–304) and aspergteroids I–J (305–306) from the fermented extract of the soft coral-associated fungus Aspergillus terreus EGF7-0-1. In myocardial protection assays, compounds 303 and 304 exhibited protective effects against tert-butyl hydroperoxide (TBHP)-induced apoptosis in H9c2 (rat cardiomyocyte) cells at low concentrations. Based on protein–protein interaction (PPI) network and Western blotting analyses, compound 303 may inhibit apoptosis and inflammatory responses in cardiomyocytes induced by TBHP, while enhancing the antioxidant capacity of cardiomyocytes [].
Yuwei Zhou et al. successfully discovered two new butyrolactone derivatives (307–308) from Aspergillus terreus GZU-31-1. The researchers tested all the isolated compounds for their anti-inflammatory effects on lipopolysaccharide-induced nitric oxide production in microglial cells (RAW 264.7 cells). The results showed that compound 307 exhibited potent anti-inflammatory activity with a half-maximal inhibitory concentration (IC50) of 16.3 μM, which was superior to that of the positive control indomethacin (IC50 = 24.0 μM) []. The structures of compounds 303–308 are shown in Figure 20.

Figure 20.
Structural diagrams of compounds 303–308.
The sources and biological activities of compounds 268–308 are summarized in Table 4.

Table 4.
The sources and biological activities of compounds 286–308.
2.5. Cyclopeptides
Cyclopeptides are cyclic molecules formed by amino acids linked end-to-end through peptide bonds and are characterized by structural stability and diverse bioactivities. Widely distributed across animals, plants, and microorganisms, these compounds owe their unique properties to their cyclic framework: notably, this structure endows them with resistance to protease degradation and confers upon them a range of pharmacological activities.
Maokun Zheng et al. isolated a new cyclopentapeptide, cotteslosin D (309), from the culture of the sponge-derived fungus Aspergillus versicolor 2-18. Antibacterial activity testing of compound 309 showed that it exhibited weak antibacterial activity against Escherichia coli and Staphylococcus aureus [].
Yu Wang et al. isolated four new cyclic pentapeptides, avellanins D–G (310–313), from the mangrove-derived fungus Aspergillus fumigatus GXIMD 03099. Activity screening results showed that compound 311 exhibited insecticidal activity against newly hatched Culex quinquefasciatus larvae, with a half-lethal concentration (LC50) of 86.6 μM; compound 313 showed weak activity against Vibrio harveyi, with a minimum inhibitory concentration (MIC) of 5.9 μM [].
Qin Li et al. identified four new cyclic tetrapeptides, violaceotides B–E (314–317), from the sponge-associated fungus Aspergillus insulicola IMB18-072. Activity assay results showed that compounds 315 and 316 exhibited selective antibacterial activity against aquatic pathogens Edwardsiella tarda and E. ictaluri (Edwardsiella ictaluri). Furthermore, at a concentration of 10.0 μM, compounds 314–317 inhibited the expression of the inflammatory mediator interleukin-6 (IL-6) in lipopolysaccharide (LPS)-induced RAW264.7 cells [].
Lu-Ping Chi et al. isolated the pentapeptides aspertides A–E (318–322) from the marine fungi Aspergillus tamarii MA-21 and Aspergillus insuetus SD-512. In bioactivity assays, compounds 321 and 322 exhibited antibacterial activity against various aquatic pathogens, including Edwardsiella tarda, Vibrio alginolyticus, Vibrio anguillarum, Vibrio vulnificus, and Staphylococcus aureus, with minimum inhibitory concentrations (MICs) ranging from 8.0 to 32.0 μM [].
Wenjuan Ding et al. discovered seven new cyclopentapeptides, namely pseudoviridinutans A–F (323–329), from the marine-derived fungus Aspergillus pseudoviridinutans TW58-5. Bioassays revealed that compounds 323–329 possess anti-inflammatory potential; in particular, compound 328 can inhibit the production of nitric oxide (NO), a key inflammatory mediator, in lipopolysaccharide (LPS)-induced RAW264.7 murine macrophage cells by regulating the expression levels of NLRP3 and inducible nitric oxide synthase (iNOS) []. The structures of compounds 309–329 are shown in Figure 21.

Figure 21.
Structural diagrams of compounds 309–329.
The sources and biological activities of compounds 309–329 are summarized in Table 5.

Table 5.
The sources and biological activities of compounds 309-329.
2.6. Other Types of Compounds
Sulfur-containing compounds and chlorine-containing compounds are two important classes of bioactive molecules. Sulfur-containing compounds exert antibacterial, antitumor, and other activities through their reactive sulfur atoms; chlorine-containing compounds, due to their unique polarity, exhibit prominent effects in antimalarial, antifungal, and related applications. These compounds have significant applications in fields such as biology, medicine, chemical industry, and materials science.
Muhammad Hasan Bashari et al. successfully isolated and identified two new compounds, Unguisol A and Unguisol B (330–331), from the endophytic fungal strain Aspergillus unguis derived from a marine sponge. These two new compounds can induce apoptosis in MDA-MB-231 breast cancer cells by downregulating BCL2L1 mRNA and cause cell cycle arrest at the S phase by downregulating AKT1 mRNA []. Lai-Hui Dai et al. isolated fumianthrogliotoxin (332) from the culture of the seawater-derived fungus Aspergillus fumigatus AF1 [].
Nguyen Thi Hoang Anh et al. isolated an undescribed depsidone (333) from the marine sponge-derived fungus Aspergillus nidulans M256. Compound 333 exhibited selective biological activity against Gram-positive bacteria (MICs: 2.0–4.0 μM) and yeast (MICs: 8.0 μM) []. Xiao Yang et al. isolated a new sulfoxide-containing dibornyl sesquiterpenoid, aspersydosulfoxide A (334), from the marine-derived fungus Aspergillus sydowii LW09 []. Jia-Xin Li et al. isolated four new chlorinated biphenyls, aspergetherins A–D (335–338), from the rice fermentation product of the marine sponge-associated fungus Aspergillus terreus 164018. Antibacterial activity evaluation showed that compounds 335 and 337 exhibited anti-MRSA activity with minimum inhibitory concentrations (MICs) ranging from 1.0 to 128.0 μM []. Hu Zhibo et al. isolated and identified asperelines E and F (339–340) from the seagrass-derived fungus Aspergillus alabamensis. As a new natural fungicide, compound 340 exhibited moderate to potent inhibitory activity against all tested strains, including one Gram-negative bacterium Edwardsiella ictalurid (MIC, 10.9 μM) and four Gram-positive bacteria: Streptococcus iniae (MIC, 43.6 μM), Staphylococcus aureus (MIC, 21.8 μM), Streptococcus parauberis (MIC, 87.3 μM), and Bacillus subtilis (MIC, 21.8 μM) []. The structures of compounds 330–340 are shown in Figure 22.

Figure 22.
Structural diagrams of compounds 330–340.
The sources and biological activities of compounds 330–340 are summarized in Table 6.

Table 6.
The sources and biological activities of compounds 330–340.
3. Results and Discussion
Natural products represent a vital repository of bioactive substances, encompassing a diverse array of active components with distinct functions. In the research on marine Aspergillus species, our focus has centered on novel compounds derived from Aspergillus strains. This study counted 340 natural products produced by 81 Aspergillus strains. Analysis of the environmental sources of these strains (see Figure 23) revealed that marine sediments constitute the primary source of marine Aspergillus; among the total 81 strains, 21 were isolated from marine sediments. Additionally, sponges, corals, mangroves, and marine animals are also important sources of marine Aspergillus, with a relatively balanced distribution in the number of strains obtained from these sources. In summary, Aspergillus exhibits a widespread distribution in marine environments.

Figure 23.
Source categories of environmental samples of marine Aspergillus.
Of the 340 compounds, only 100 exhibit bioactivity, and Figure 24 is a statistical chart showing the classification of the bioactivities of these 100 compounds. Antibacterial activity is dominant at 40%, followed by antitumor activity and “enhancing cell viability & reducing ALT in mouse hepatocytes” (each 13%). Medium-proportion types include anti-inflammatory (9%), cytotoxicity (8%), microalgae inhibition (6%), and diabetes-related (5%) activities. Low-proportion ones are cytoprotection/NA inhibitory activity (each 2%) and insecticidal/PL inhibitory activity (each 1%), reflecting a focus on antibacterial functions alongside diverse research in disease treatment, cell protection, and ecological regulation.

Figure 24.
Statistical chart of compound bioactivities.
Based on the statistical results mentioned above, among the various compounds produced by marine Aspergillus in recent years, alkaloids and polyketides have shown the most prominent yields, accounting for nearly two-thirds of the total number of compounds. It can thus be inferred that Aspergillus is highly likely to have advantages in producing alkaloids and polyketides, although this inference requires further verification. In subsequent studies on specific strains, it was found that most of the compounds they produce belong to polyketides, which initially aligns with the previous inference.
Inflammation is essential for the body’s defense yet causes tissue damage when uncontrolled and it acts as a key manifestation of diseases such as arthritis, asthma, and cardiovascular conditions []. While existing anti-inflammatory drugs (e.g., NSAIDs, glucocorticoids) alleviate symptoms, they have limitations like gastrointestinal or renal side effects—driving the search for safer alternatives [], with fungal-derived natural products emerging as a promising resource []. However, among 81 analyzed studies, only 8 assessed the anti-inflammatory properties of 50 new Aspergillus-derived compounds, and merely 9 showed potential for development into inflammation-targeted drugs. These 9 promising compounds, along with their structural types, sources, and structural characteristics, are summarized in Table 7. This underscores that the exploration of anti-inflammatory active small molecules (including those from fungal and other sources like deep-sea sediments or sponges) remains insufficient; further in-depth efforts are needed to identify such active small molecules. These molecules will provide more lead compounds for anti-inflammatory drug development, ultimately advancing the progress of the anti-inflammatory drug field.

Table 7.
The sources and structures of compounds with inflammation-related activity.
Author Contributions
Z.W. drafted the manuscript; M.Z., C.L. (Chenglin Li) and Y.Y. collected the data; Z.G., F.K. and C.L. (Chengzhi Li) conceived, guided, and revised the manuscript. All authors have read and agreed to the published version of the manuscript.
Funding
This work was supported by the Talent Scientific Research Initiation Project of Guangxi Minzu University (2021KJQD09), the Key Project of Faculty of Chinese Medicine Science Guangxi University of Chinese Medicine (2022CX002) and the Xiangsi Lake Youth Innovation Team Project of Guangxi Minzu University (2021RSCXSHQN01).
Institutional Review Board Statement
Not applicable.
Data Availability Statement
No new data were created in this study.
Conflicts of Interest
The authors declare no conflicts of interest.
References
- Jiang, J.P.; Liu, X.; Liao, Y.F.; Shan, J.; Zhu, Y.P.; Liu, C.H. Genomic insights into Aspergillus sydowii 29R-4-F02: Unraveling adaptive mechanisms in subseafloor coal-bearing sediment environments. Front. Microbiol. 2023, 14, 1216714. [Google Scholar] [CrossRef] [PubMed]
- Zhong, M.; Li, Y.; Deng, L.; Fang, J.; Yu, X. Insight into the adaptation mechanisms of high hydrostatic pressure in physiology and metabolism of hadal fungi from the deepest ocean sediment. mSystems 2024, 9, e0108523. [Google Scholar] [CrossRef] [PubMed]
- de Reus, E.; Nielsen, M.R.; Frandsen, R.J.N. Metabolic and regulatory insights from the experimental horizontal gene transfer of the aurofusarin and bikaverin gene clusters to Aspergillus nidulans. Mol. Microbiol. 2019, 112, 1684–1700. [Google Scholar] [CrossRef] [PubMed]
- Zhao, C.Y.; Liu, H.L.; Zhu, W.M. New natural products from marine Aspergillus. Acta Microbiol. Sin. 2016, 56, 331–362. [Google Scholar]
- Sun, B.; Luo, C.; Bills, G.F.; Li, J.; Huang, P.; Wang, L.; Jiang, X.; Chen, A.J. Four New Species of Aspergillus Subgenus Nidulantes from China. J. Fungi 2022, 8, 1205. [Google Scholar] [CrossRef]
- Hong, X.; Wu, T.; Chen, C.K.; He, R.N. Research progress on antibacterial active substances of marine Aspergillus. Biol. Resour. 2020, 42, 382–387. [Google Scholar]
- Xue, J.; Guo, X.; Xu, G.; Chen, X.; Jiao, L.; Tang, X. Discovery, Identification, and Mode of Action of Phenolics from Marine-Derived Fungus Aspergillus ustus as Antibacterial Wilt Agents. J. Agric. Food Chem. 2024, 72, 2989–2996. [Google Scholar] [CrossRef]
- Gutiérrez-Grijalva, E.P.; López-Martínez, L.X.; Contreras-Angulo, L.A.; Elizalde-Romero, C.A.; Heredia, J.B. Plant Alkaloids: Structures and Bioactive Properties. In Plant-Derived Bioactives; Springer: Berlin/Heidelberg, Germany, 2020; Volume 85, p. 117. [Google Scholar]
- Dai, L.H.; Zhang, G.R.; Ou, Y.H.; Liu, X.J.; Yao, H.L.; Hu, W.H.; Li, H.J.; Lan, W.J. Five New Indole Alkaloid Derivatives from Deep-Sea Fungus Aspergillus fumigatus AF1. Mar. Drugs 2024, 23, 4. [Google Scholar] [CrossRef]
- Capon, R.J.; Ratnayake, R.; Stewart, M.; Lacey, E.; Tennant, S.; Gill, J.H. Aspergillazines A-E: Novel heterocyclic dipeptides from an Australian strain of Aspergillus unilateralis. Org. Biomol. Chem. 2005, 3, 123–129. [Google Scholar] [CrossRef]
- Song, F.; Liu, X.; Guo, H.; Ren, B.; Chen, C.; Piggott, A.M.; Yu, K.; Gao, H.; Wang, Q.; Liu, M.; et al. Brevianamides with antitubercular potential from a marine-derived isolate of Aspergillus versicolor. Org. Lett. 2012, 14, 4770–4773. [Google Scholar] [CrossRef]
- Chen, W.C.; Song, X.; Wu, J.; Zhong, Y.T.; Edjah, P.P.; Zhang, Q.Y.; Li, M.; Zhu, K.K.; Tian, C.; Yuan, R.Y.; et al. Aculeapyridones A-Q, Pyranopyridone Alkaloids with Protective Effects against Acetaminophen-Induced Acute Liver Injury Discovered from a Coculture of Aspergillus aculeatinus WHUF0198 and a Penicillium sp. J. Nat. Prod. 2025, 88, 336–348. [Google Scholar] [CrossRef]
- Wu, J.; Kang, Y.; Meng, Q.; Jia, H.; Liu, D.; Huang, J.; Fan, A.; Lin, W. Targeted isolation of diketopiperazines from a deep-sea derived fungus with anti-neuroinflammatory effects. Bioorg. Chem. 2025, 154, 108099. [Google Scholar] [CrossRef]
- Edjah, P.P.; Lu, M.F.; Chen, W.C.; Wu, J.; Zhong, Y.T.; Li, M.; Chen, Q.; Zhu, K.K.; Yuan, R.Y.; Tao, W.X.; et al. Aculeaquamides B and C, two new paraherquamides from the co-culture of Aspergillus aculeatinus WHUF0198 and Penicillium sp. DM27. Fitoterapia 2024, 179, 106251. [Google Scholar] [CrossRef]
- Zheng, Y.Y.; Mao, J.Q.; Liu, Y.; Han, N.; Lv, L.; Zhang, Y.H.; Chen, M.; Liu, Z.Q.; Shao, C.L.; Yao, G.S.; et al. Pleiotropically activation of azaphilone biosynthesis by overexpressing a pathway-specific transcription factor in marine-derived Aspergillus terreus RA2905. Bioorg. Chem. 2024, 153, 107832. [Google Scholar] [CrossRef] [PubMed]
- Kankanamge, S.; Bernhardt, P.V.; Khalil, Z.G.; Capon, R.J. Miniaturized Cultivation Profiling (MATRIX)-Facilitated Discovery of Noonazines A-C and Noonaphilone A from an Australian Marine-Derived Fungus, Aspergillus noonimiae CMB-M0339. Mar. Drugs 2024, 22, 243. [Google Scholar] [CrossRef]
- Zou, Z.B.; Li, Y.; Wang, Y.; Xie, C.L.; Li, Z.Q.; Nie, S.S.; Li, Y.; Fang, S.Y.; Zhong, T.H.; Li, L.S.; et al. Stephaochratidin A, a Rare Stephacidin-Asperochratide Hybrid with Ferroptosis Inhibitory Activity from the Deep-Sea-Derived Aspergillus ochraceus. Org. Lett. 2024, 26, 5695–5699. [Google Scholar] [CrossRef] [PubMed]
- Hu, Z.; Cui, H.; Wang, Q.; Li, C.; Chen, S.; Gao, Z.; Liu, L.; Peng, B.; Li, J. Induced production of defensive secondary metabolites from Aspergillus fumigatiaffinis by co-culture with Aspergillus alabamensis. Phytochemistry 2024, 225, 114187. [Google Scholar] [CrossRef] [PubMed]
- Ha, Y.; Zhou, Y.; Ma, M.; Wang, N.; Wang, P.; Zhang, Z. Antimicrobial metabolites from the marine-derived fungus Aspergillus sp. ZZ1861. Phytochemistry 2024, 224, 114164. [Google Scholar] [CrossRef]
- Zhang, G.S.; Li, H.Y.; Liang, L.F.; Fu, C.Q.; Yu, Q.; Liu, K.; Su, Z.W.; Zhou, D.M.; Gao, C.H.; Xu, X.Y.; et al. Secofumitremorgins C and D, a pair of atropisomers from saltern-derived fungus Aspergillus fumigatus GXIMD00544. J. Asian Nat. Prod. Res. 2024, 26, 1049–1056. [Google Scholar] [CrossRef]
- Arias Cardona, H.R.; Cerqueira da Silva, B.; de Lima, F.O.; Andrade Leite, F.H.; de Souza, B.C.; Brandão, H.N.; David, J.M.; Alves, C.Q.; Kijjoa, A. Hydroxytakakiamide and Other Constituents from a Marine Sponge-Associated Fungus Aspergillus fischeri MMERU23, and Antinociceptive Activity of Ergosterol Acetate, Acetylaszonalenin and Helvolic Acid. Mar. Drugs 2024, 22, 97. [Google Scholar] [CrossRef]
- Tang, B.; Zhang, R.; Zhang, F.; Zhu, T.; Che, Q.; Li, D.; Zhang, G. Antiviral and cytotoxic indole diterpenoids from the antarctic sponge-derived fungus Aspergillus candidus HDN15-152. Nat. Prod. Res. 2025, 39, 3194–3201. [Google Scholar] [CrossRef]
- Huang, X.; Wang, Y.; Li, G.; Shao, Z.; Xia, J.; Qin, J.J.; Wang, W. Secondary metabolites from the deep-sea derived fungus Aspergillus terreus MCCC M28183. Front. Microbiol. 2024, 15, 1361550. [Google Scholar] [CrossRef] [PubMed]
- Yu, H.Y.; Chen, Y.S.; Wang, Y.; Zou, Z.B.; Xie, M.M.; Li, Y.; Li, L.S.; Meng, D.L.; Wu, L.Q.; Yang, X.W. Anti-necroptosis and anti-ferroptosis compounds from the Deep-Sea-Derived fungus Aspergillus sp. MCCC 3A00392. Bioorg. Chem. 2024, 144, 107175. [Google Scholar] [CrossRef] [PubMed]
- Doro-Goldsmith, E.; Song, Q.; Li, X.L.; Li, X.M.; Hu, X.Y.; Li, H.L.; Liu, H.R.; Wang, B.G.; Sun, H. Absolute Configuration of 12S-Deoxynortryptoquivaline from Ascidian-Derived Fungus Aspergillus clavatus Determined by Anisotropic NMR and Chiroptical Spectroscopy. J. Nat. Prod. 2024, 87, 381–387. [Google Scholar] [CrossRef] [PubMed]
- El-Kashef, D.H.; Obidake, D.D.; Schiedlauske, K.; Deipenbrock, A.; Scharf, S.; Wang, H.; Naumann, D.; Friedrich, D.; Miljanovic, S.; Haj Hassani Sohi, T.; et al. Indole Diketopiperazine Alkaloids from the Marine Sediment-Derived Fungus Aspergillus chevalieri against Pancreatic Ductal Adenocarcinoma. Mar. Drugs 2023, 22, 5. [Google Scholar] [CrossRef]
- Sun, C.; Ha, Y.; Liu, X.; Wang, N.; Lian, X.Y.; Zhang, Z. Isolation and Structure Elucidation of New Metabolites from the Mariana-Trench-Associated Fungus Aspergillus sp. SY2601. Molecules 2024, 29, 459. [Google Scholar] [CrossRef]
- Che, Y.H.; Wang, J.F.; Shi, X.F.; Ding, W.P.; Xiao, Z.H.; Wu, J.M.; Wang, F.Z.; Zhang, S. 8R-methoxy-9R-hydroxyl-fumitremorgin C, a new diketopiperazine alkaloid from Haima cold seep-derived fungus Aspergillus fumigatus CYH-5. Nat. Prod. Res. 2025, 39, 2197–2202. [Google Scholar] [CrossRef]
- Chen, Y.; Wang, S.P.; Xu, L.C.; Liang, C.; Liu, G.D.; Ji, X.; Luo, W.H.; Liu, S.; Zhang, Z.X.; Cao, G.Y. Aspertaichamide a, a novel cytotoxic prenylated indole alkaloid possessing a bicyclo [2.2.2]diazaoctane framework from a marine algal-derived endophytic fungus aspergillus taichungensis 299. Fitoterapia 2024, 172, 105763. [Google Scholar] [CrossRef]
- Chen, Z.; She, J.; Liu, J.; Peng, B.; Yuan, Z.; Zhou, X. Pyripyropene U, a new alkaloid from the sponge-derived fungus Aspergillus sp. SCSIO41420. Nat. Prod. Res. 2025, 39, 1939–1944. [Google Scholar] [CrossRef]
- Fredimoses, M.; Ai, W.; Lin, X.; Zhou, X.; Liao, S.; Pan, L.; Liu, Y. Two new Aspera chaetominines A and B, and a new derivative of terrein, isolated from marine sponge associated fungus Aspergillus versicolour SCSIO XWS04 F52. Nat. Prod. Res. 2025, 39, 566–578. [Google Scholar] [CrossRef]
- Lin, S.H.; Yan, Q.X.; Zhang, Y.; Wu, T.Z.; Zou, Z.B.; Liu, Q.M.; Jiang, J.Y.; Xie, M.M.; Xu, L.; Hao, Y.J.; et al. Citriquinolinones A and B: Rare Isoquinolinone-Embedded Citrinin Analogues and Related Metabolites from the Deep-Sea-Derived Aspergillus versicolor 170217. Mar. Drugs 2023, 21, 504. [Google Scholar] [CrossRef] [PubMed]
- Zhang, F.; Yang, L.; Xie, Q.Y.; Guo, J.C.; Ma, Q.Y.; Dai, L.T.; Zhou, L.M.; Dai, H.F.; Kong, F.D.; Luo, D.Q.; et al. Diverse indole-diterpenoids with protein tyrosine phosphatase 1B inhibitory activities from the marine coral-derived fungus Aspergillus sp. ZF-104. Phytochemistry 2023, 216, 113888. [Google Scholar] [CrossRef] [PubMed]
- Zhao, Y.J.; Li, L.; Zhang, Y.H.; Yang, Y.Y.; Li, L.F.; Yang, K.; Liu, Y.F.; Cao, F. (±)-Dibrevianamides Q1 and Q2, the key precursors of asperginulin A from a marine-derived fungus. Appl. Microbiol. Biotechnol. 2023, 107, 6459–6467. [Google Scholar] [CrossRef] [PubMed]
- Hong, Q.; Guo, M.M.; Yang, J.; Wei, X.; Liao, L.; Xin, X.J.; Zhang, D.; An, F.L. Four previously undescribed diketopiperazines from marine fungus Aspergillus puniceus FAHY0085 and their effects on liver X receptor α. Phytochemistry 2023, 214, 113816. [Google Scholar] [CrossRef]
- Anjum, K.; Huang, X.; Zhou, L.; Zhu, T.; Che, Q.; Zhang, G.; Li, D. New cyclic dipeptide discovered from deep-sea derived Aspergillus sp. HDN20-1401. Nat. Prod. Res. 2024, 38, 3231–3236. [Google Scholar] [CrossRef]
- Dong, Y.L.; Li, X.M.; Wang, Y.R.; Shi, X.S.; Wang, B.G.; Meng, L.H. Oxepine-containing pyrazinopyrimidine alkaloids and quinolinone derivatives produced by Aspergillus versicolor AS-212, a deep-sea-derived endozoic fungus. Fitoterapia 2023, 168, 105559. [Google Scholar] [CrossRef]
- Dong, Y.L.; Li, X.M.; Shi, X.S.; Wang, Y.R.; Wang, B.G.; Meng, L.H. Diketopiperazine Alkaloids and Bisabolene Sesquiterpenoids from Aspergillus versicolor AS-212, an Endozoic Fungus Associated with Deep-Sea Coral of Magellan Seamounts. Mar. Drugs 2023, 21, 293. [Google Scholar] [CrossRef]
- Mao, J.Q.; Zheng, Y.Y.; Wang, C.Y.; Liu, Y.; Yao, G.S. Sclerotioloids A-C: Three New Alkaloids from the Marine-Derived Fungus Aspergillus sclerotiorum ST0501. Mar. Drugs 2023, 21, 219. [Google Scholar] [CrossRef]
- Hu, J.S.; He, Y.P.; Zhou, F.G.; Wu, P.P.; Chen, L.Y.; Ni, C.; Zhang, Z.K.; Xiao, X.J.; An, L.K.; He, X.X.; et al. New Indole Diketopiperazine Alkaloids from Soft Coral-Associated Epiphytic Fungus Aspergillus versicolor CGF 9-1-2. Chem. Biodivers. 2023, 20, e202300301. [Google Scholar] [CrossRef]
- Yan, L.H.; Du, F.Y.; Li, X.M.; Yang, S.Q.; Wang, B.G.; Li, X. Antibacterial Indole Diketopiperazine Alkaloids from the Deep-Sea Cold Seep-Derived Fungus Aspergillus chevalieri. Mar. Drugs 2023, 21, 195. [Google Scholar] [CrossRef]
- Hu, Z.; Zhu, Y.; Chen, J.; Chen, J.; Li, C.; Gao, Z.; Li, J.; Liu, L. Discovery of Novel Bactericides from Aspergillus alabamensis and Their Antibacterial Activity against Fish Pathogens. J. Agric. Food Chem. 2023, 71, 4298–4305. [Google Scholar] [CrossRef]
- Magot, F.; Van Soen, G.; Buedenbender, L.; Li, F.; Soltwedel, T.; Grauso, L.; Mangoni, A.; Blümel, M.; Tasdemir, D. Bioactivity and Metabolome Mining of Deep-Sea Sediment-Derived Microorganisms Reveal New Hybrid PKS-NRPS Macrolactone from Aspergillus versicolor PS108-62. Mar. Drugs 2023, 21, 95. [Google Scholar] [CrossRef] [PubMed]
- Li, X.; Xu, J.; Wang, P.; Ding, W. Novel indole diketopiperazine stereoisomers from a marine-derived fungus Aspergillus sp. Mycology 2022, 14, 1–10. [Google Scholar] [CrossRef] [PubMed]
- Huang, Z.H.; Liang, X.; Gu, Q.; Ma, X.; Qi, S.H. Punicesterones A-G, polyhydroxylated mycoecdysteroids from the deep-sea-derived fungus Aspergillus puniceus SCSIO z021. Phytochemistry 2023, 205, 113511. [Google Scholar] [CrossRef] [PubMed]
- Zheng, Y.Y.; Yao, G.S.; Li, J.J.; Han, N.; Mao, J.Q.; Zhang, Y.H.; Lv, L.; Liu, Y.; Wang, C.Y. Undescribed alkaloids, peptides and polyketides from marine sediment-derived fungus Aspergillus terreus PPS1. Phytochemistry 2025, 234, 114423. [Google Scholar] [CrossRef]
- Chen, X.; Xu, M.; Feng, C.; Hu, C. Progress in fungal polyketide biosynthesis. Chin. J. Biotechnol. 2018, 34, 151–164. [Google Scholar]
- Jiang, Y.; An, F.; Gan, Y.M.; Liu, K.; Liu, Y.H.; Gao, C.H.; Cao, P.; Yi, X.X.; Bai, M. Asperhydrindane A, a new hydrindane derivate isolated from a mangrove-derived fungi Aspergillus terreus GXIMD 03158. Nat. Prod. Res. 2025, 25, 1–7. [Google Scholar] [CrossRef]
- Ren, X.M.; Wu, K.Y.; Qi, S.H. Three new terpenoid derivatives from the deep-sea-derived fungus Aspergillus sydowii DFFSCS007. J. Asian Nat. Prod. Res. 2024, 27, 1005–1012. [Google Scholar] [CrossRef]
- He, Y.P.; Zhang, Z.K.; Li, Z.J.; Wu, P.P.; Hu, J.S.; Fan, H.; Zhang, C.X. Two new types of structures from soft coral-associated epiphytic fungus Aspergillus versicolor CGF9-1-2. Fitoterapia 2024, 177, 106136. [Google Scholar] [CrossRef]
- Abulaizi, A.; Wang, R.; Xiong, Z.; Zhang, S.; Li, Y.; Ge, H.; Guo, Z. Secondary Metabolites with Agricultural Antagonistic Potential from Aspergillus sp. ITBBc1, a Coral-Associated Marine Fungus. Mar. Drugs 2024, 22, 270. [Google Scholar] [CrossRef]
- Zhang, G.Y.; Liu, B.J.; Pan, H.L.; Li, H.J.; Huang, Z.F.; Mahmud, T.; Ma, W.Z.; Lan, W.J. Four sulfur-containing compounds with anti-colon cancer effect from marine-derived fungus Aspergillus terreus. Fitoterapia 2024, 175, 105967. [Google Scholar] [CrossRef]
- Che, Y.H.; Ding, W.P.; Xiao, Z.H.; Wu, J.M.; Yin, H.; Wang, F.Z.; Zhang, S. New Phenol Derivatives from the Haima Cold Seep-Derived Fungus Aspergillus subversicolor CYH-17. Mar. Drugs 2024, 22, 117. [Google Scholar] [CrossRef]
- Lu, C.J.; Liang, L.F.; Zhang, G.S.; Li, H.Y.; Fu, C.Q.; Yu, Q.; Zhou, D.M.; Su, Z.W.; Liu, K.; Gao, C.H.; et al. Carneusones A-F, Benzophenone Derivatives from Sponge-Derived Fungus Aspergillus carneus GXIMD00543. Mar. Drugs 2024, 22, 63. [Google Scholar] [CrossRef]
- Zeng, Y.; Wang, S.; Peng, H.; Zhao, W.; Chang, W.; Wang, H.; Chen, H.; Dai, H. p-Terphenyl and Diphenyl Ether Derivatives from the Marine-Derived Fungus Aspergillus candidus HM5-4. Mar. Drugs 2023, 22, 13. [Google Scholar] [CrossRef]
- Li, C.; Lin, X.; Wang, S.; Guan, D.; Wang, X.; Yang, B.; Zhou, X.; Li, J.; Xiong, B.; Liu, Y.; et al. A New Brominated Isocoumarin from the Marine Starfish-Associated Fungus Aspergillus sp. WXF1904. Chem. Biodivers. 2024, 21, e202301706. [Google Scholar] [CrossRef] [PubMed]
- Chen, Y.; He, Y.; Pang, X.; Zhou, X.; Liu, Y.; Yang, B. Secondary Metabolites from the Coral-Derived Fungus Aspergillus austwickii SCSIO41227 with Pancreatic Lipase and Neuraminidase Inhibitory Activities. Mar. Drugs 2023, 21, 567. [Google Scholar] [CrossRef] [PubMed]
- Ying, Y.; Tu, S.; Ni, J.; Lu, X.; Hu, X.; Lei, P.; Li, X.; Wang, Y.; Jin, G.; Wang, H. Secondary metabolites from Aspergillus terreus F6-3, a marine fungus associated with Johnius belengerii. Fitoterapia 2023, 170, 105662. [Google Scholar] [CrossRef] [PubMed]
- Hu, Z.; Chen, J.; Liu, Q.; Wu, Q.; Chen, S.; Wang, J.; Li, J.; Liu, L.; Gao, Z. Cyclohexenone Derivative and Drimane Sesquiterpenes from the Seagrass-Derived Fungus Aspergillus insuetus. Chem. Biodivers. 2023, 20, e202300424. [Google Scholar] [CrossRef]
- Zhao, W.; Zeng, Y.; Chang, W.; Chen, H.; Wang, H.; Dai, H.; Lv, F. Potential α-Glucosidase Inhibitors from the Deep-Sea Sediment-Derived Fungus Aspergillus insulicola. Mar. Drugs 2023, 21, 157. [Google Scholar] [CrossRef]
- Wu, J.; Shui, H.; Zhang, M.; Zeng, Y.; Zheng, M.; Zhu, K.K.; Wang, S.B.; Bi, H.; Hong, K.; Cai, Y.S. Aculeaxanthones A-E, new xanthones from the marine-derived fungus Aspergillus aculeatinus WHUF0198. Front. Microbiol. 2023, 14, 1138830. [Google Scholar] [CrossRef]
- Li, Y.; Shi, J.; Liu, R.; Liu, Y.; Liu, R.; Wu, Z.; Xu, W.; Ma, H.; Luo, H.B.; Cheng, Z. Structure Revisions of Phenolic Bisabolane Sesquiterpenes and a Ferroptosis Inhibitor from the Marine-Derived Fungus Aspergillus versicolor YPH93. J. Nat. Prod. 2023, 86, 830–841. [Google Scholar] [CrossRef] [PubMed]
- Qi, X.; Chen, W.; Chen, L.; Hu, Y.; Wang, X.; Han, W.; Xiao, J.; Pang, X.; Yao, X.; Liu, S.; et al. Structurally various p-terphenyls with neuraminidase inhibitory from a sponge derived fungus Aspergillus sp. SCSIO41315. Bioorg. Chem. 2023, 132, 106357. [Google Scholar] [CrossRef] [PubMed]
- Ningsih, B.N.S.; Rukachaisirikul, V.; Phongpaichit, S.; Preedanon, S.; Sakayaroj, J.; Muanprasat, C. A nonadride derivative from the marine-derived fungus Aspergillus chevalieri PSU-AMF79. Nat. Prod. Res. 2023, 37, 2311–2318. [Google Scholar] [CrossRef] [PubMed]
- Xiao, Z.; Lin, S.; She, Z.; Lu, Y.; Tan, Z.; Liu, Y. A new anthraquinone from mangrove endophytic fungus Aspergillus sp. 16-5C. Nat. Prod. Res. 2023, 37, 1271–1276. [Google Scholar] [CrossRef]
- Qi, X.; Chen, W.H.; Lin, X.P.; Liao, S.R.; Yang, B.; Zhou, X.F.; Liu, Y.H.; Wang, J.F.; Li, Y. A glyoxylate-containing benzene derivative and butenolides from a marine algicolous fungus Aspergillus sp. SCSIO 41304. Nat. Prod. Res. 2023, 37, 441–448. [Google Scholar] [CrossRef]
- Masyita, A.; Mustika Sari, R.; Dwi Astuti, A.; Yasir, B.; Rahma Rumata, N.; Emran, T.B.; Nainu, F.; Simal-Gandara, J. Terpenes and terpenoids as main bioactive compounds of essential oils, their roles in human health and potential application as natural food preservatives. Food Chem. X 2022, 13, 100217. [Google Scholar] [CrossRef]
- Cao, G.P.; Huang, G.Q.; Chen, G.Y.; Yi, X.X.; Wang, X.S.; Wei, F.J.; Zhu, C.Q.; Gao, C.H.; Liu, Y.H.; Bai, M. Millmerranones G, a meroterpene isolated from a mangrove-derived fungus Aspergillus sp. GXIMD 03004. Nat. Prod. Res. 2024, 17, 1–7. [Google Scholar] [CrossRef]
- Zhang, Z.; Li, Y.; Wang, H.; Xu, W.; Wang, C.; Ma, H.; Zhong, F.; Ou, J.; Luo, Z.; Luo, H.B.; et al. Ergone Derivatives from the Deep-Sea-Derived Fungus Aspergillus terreus YPGA10 and 25,28-Dihydroxyergone-Induced Apoptosis in Human Colon Cancer SW620 Cells. J. Nat. Prod. 2024, 87, 1563–1573. [Google Scholar] [CrossRef]
- Zhang, J.; Gao, L.; Lin, H.; Liang, Y.; You, M.; Ding, L.; Feng, F.; Yang, B.; Liu, Y. Discovery of Antibacterial Compounds against Xanthomonas citri subsp. citri from a Marine Fungus Aspergillus terreus SCSIO 41202 and the Mode of Action. J. Agric. Food Chem. 2024, 72, 12596–12606. [Google Scholar] [CrossRef]
- Hu, Y.; Zhao, X.; Song, Y.; Jiang, J.; Long, T.; Cong, M.; Miao, Y.; Liu, Y.; Yang, Z.; Zhu, Y.; et al. Anti-inflammatory and Neuroprotective α-Pyrones from a Marine-Derived Strain of the Fungus Arthrinium arundinis and Their Heterologous Expression. J. Nat. Prod. 2024, 87, 1975–1982. [Google Scholar] [CrossRef]
- Cui, H.; Tang, Y.; Yang, C.; Deng, H.; Chen, L.; Fan, X.; Zhu, L.; Liu, Y.; Zhao, Z.; Su, T. Meroterpenoids from the marine-derived fungus Aspergillus terreus GZU-31-1 exerts anti-liver fibrosis effects by targeting the Nrf2 signaling in vitro. Phytochemistry 2024, 219, 113983. [Google Scholar] [CrossRef]
- Wen, H.M.; Zhang, Y.W.; Feng, F.J.; Huang, G.B.; Lv, Y.H.; Zhang, Z.Y.; Ding, L.J. Antibacterial oxygenated ergostane-type steroids produced by the marine sponge-derived fungus Aspergillus sp. J. Asian Nat. Prod. Res. 2024, 26, 548–554. [Google Scholar] [CrossRef]
- Fang, S.T.; Shi, Z.Z.; Song, Y.P.; Yin, X.L.; Ji, N.Y. New ophiobolin sesterterpenoid and drimane sesquiterpenoids from a marine-alga-derived fungus Aspergillus sp. Fitoterapia 2023, 170, 105659. [Google Scholar] [CrossRef] [PubMed]
- Zhang, X.; Dong, Y.; Liu, X.; Wang, R.; Lu, J.; Song, F. New bisabolane-type sesquiterpenoid from Aspergillus sydowii BTBU20213012. Nat. Prod. Res. 2024, 38, 2792–2799. [Google Scholar] [CrossRef] [PubMed]
- Elnaggar, M.S.; Elissawy, A.M.; Youssef, F.S.; Kicsák, M.; Kurtán, T.; Singab, A.N.B.; Kalscheuer, R. Austalide derivative from marine-derived Aspergillus sp. and evaluation of its cytotoxic and ADME/TOPKAT properties. RSC Adv. 2023, 13, 16480–16487. [Google Scholar] [CrossRef]
- Niu, S.; Huang, S.; Wang, J.; He, J.; Chen, M.; Zhang, G.; Hong, B. Malfilanol C, a new sesquiterpenoid isolated from the deep-sea-derived Aspergillus puniceus A2 fungus. Nat. Prod. Res. 2024, 38, 1362–1368. [Google Scholar] [CrossRef]
- Xu, X.; Han, J.; Zhang, X.; Xu, W.; Yang, J.; Song, F. Investigation on the chemical constituents of the marine-derived fungus strain Aspergillus brunneoviolaceus MF180246. Nat. Prod. Res. 2024, 38, 1369–1374. [Google Scholar] [CrossRef]
- Ward, R.S. Lignans, neolignans, and related compounds. Nat. Prod. Rep. 1995, 12, 183–205. [Google Scholar] [CrossRef]
- Zou, Z.B.; Li, J.Y.; Wang, Y.; Xie, C.L.; Dong, H.Y.; Zhang, M.; Li, Y.; Li, L.S.; Yang, X.W. Nigenolides A-H, 13 new microperfuranones with ferroptosis inhibitory activity from the deep-sea-derived Aspergillus niger. Bioorg. Chem. 2024, 153, 107919. [Google Scholar] [CrossRef]
- Zhang, X.; Jia, R.; Yang, J.; Song, Z.; Xu, X.; Song, F. A butyrolactone derivative from marine-derived fungal strain Aspergillus terreus BTBU20211037. Nat. Prod. Res. 2024, 2, 1–7. [Google Scholar] [CrossRef]
- Jiang, Y.; Wang, J.; Zhang, H.; Tian, X.; Liang, Z.; Xu, X.; Bao, J.; Chen, B. Biological Activity and Sterilization Mechanism of Marine Fungi-derived Aromatic Butenolide Asperbutenolide A Against Staphylococcus aureus. Chem. Biodivers. 2024, 21, e202301826. [Google Scholar] [CrossRef]
- Fan, H.; Wang, L.; Zhang, Z.K.; Wu, P.P.; He, Y.P.; Chen, L.Y.; Wang, Q.; Zhang, C.X. Bioactive Aspergteroids G-J from Soft-Coral-Associated Symbiotic and Epiphytic Fungus Aspergillus terreus EGF7-0-1. Bioengineering 2023, 10, 805. [Google Scholar] [CrossRef]
- Zhou, Y.; Chen, X.; Tang, Y.; Liu, Y.; Zhao, Z.; Cui, H. New butanolide derivatives from the marine derived fungus Aspergillus terreus GZU-31-1 by chemical epigenetic manipulation. Nat. Prod. Res. 2024, 38, 1334–1340. [Google Scholar] [CrossRef]
- Zheng, M.; Huang, Z.; Zheng, Y.; Tang, Y.; Wang, J.; Yang, S. Cotteslosin D, a new cyclopentapeptide from a sponge-derived fungus Aspergillus versicolour 2-18. Nat. Prod. Res. 2024, 14, 1–6. [Google Scholar] [CrossRef]
- Wang, Y.; Cao, G.; Gan, Y.; Lin, X.; Yi, X.; Zhao, L.; Liu, Y.; Gao, C.; Bai, M. New Cyclic Pentapeptides from the Mangrove-Derived Aspergillus fumigatus GXIMD 03099. Mar. Drugs 2024, 22, 282. [Google Scholar] [CrossRef]
- Li, Q.; Li, S.; Li, S.; Hao, X.; Wang, A.; Si, S.; Xu, Y.; Shu, J.; Gan, M. Antimicrobial and Anti-inflammatory Cyclic Tetrapeptides from the Co-cultures of Two Marine-Derived Fungi. J. Nat. Prod. 2024, 87, 365–370. [Google Scholar] [CrossRef]
- Chi, L.P.; Liu, D.; Li, X.M.; Wan, Y.; Wang, B.G.; Li, X. Aspertides A-E: Antimicrobial Pentadepsipeptides with a Unique p-Methoxycinnamoyl Amide Group from the Marine Isolates Aspergillus tamarii MA-21 and Aspergillus insuetus SD-512. J. Agric. Food Chem. 2023, 71, 13316–13324. [Google Scholar] [CrossRef]
- Ding, W.; Tian, D.; Chen, M.; Xia, Z.; Tang, X.; Zhang, S.; Wei, J.; Li, X.; Yao, X.; Wu, B.; et al. Molecular Networking-Guided Isolation of Cyclopentapeptides from the Hydrothermal Vent Sediment Derived Fungus Aspergillus pseudoviridinutans TW58-5 and Their Anti-inflammatory Effects. J. Nat. Prod. 2023, 86, 1919–1930. [Google Scholar] [CrossRef]
- Bashari, M.H.; Agung, M.U.K.; Ariyanto, E.F.; Al Muqarrabun, L.M.R.; Salsabila, S.; Chahyadi, A.; Rosandy, A.R.; Afifah, E.; Afni, M.; Atmaja, H.E.; et al. Two Novel Compounds Isolated from the Marine Fungal Symbiont of Aspergillus unguis Induce Apoptosis and Cell Cycle Arrest in Breast Cancer Cells: In vitro Study. J. Exp. Pharmacol. 2025, 17, 37–50. [Google Scholar] [CrossRef]
- Thi Hoang Anh, N.; Mai Anh, N.; Thi Thu Huyen, V.; Thi Dao, P.; Thi Mai Huong, D.; Van Cuong, P.; Thanh Xuan, D.; Huu Tai, B.; Thi Hong Minh, L.; Van Kiem, P. Antimicrobial Activity of Depsidones and Macrocyclic Peptides Isolated from Marine Sponge-Derived Fungus Aspergillus nidulans M256. Chem. Biodivers. 2023, 20, e202301660. [Google Scholar] [CrossRef]
- Yang, X.; Yu, H.; Ren, J.; Cai, L.; Xu, L.; Liu, L. Sulfoxide-Containing Bisabolane Sesquiterpenoids with Antimicrobial and Nematicidal Activities from the Marine-Derived Fungus Aspergillus sydowii LW09. J. Fungi 2023, 9, 347. [Google Scholar] [CrossRef] [PubMed]
- Li, J.X.; Xu, Q.H.; Shang, R.Y.; Liu, Q.; Luo, X.C.; Lin, H.W.; Jiao, W.H. Aspergetherins A-D, New Chlorinated Biphenyls with anti-MRSA Activity from the Marine Sponge Symbiotic Fungus Aspergillus terreus 164018. Chem. Biodivers. 2023, 20, e202300010. [Google Scholar] [CrossRef] [PubMed]
- Strowig, T.; Henao-Mejia, J.; Elinav, E.; Flavell, R. Inflammasomes in health and disease. Nature 2012, 481, 278–286. [Google Scholar] [CrossRef]
- Fernández-Ruiz, I. Gut bacteria can break down cholesterol. Nat. Rev. Cardiol. 2024, 21, 357. [Google Scholar] [CrossRef] [PubMed]
- Saleem, M.; Ali, M.S.; Hussain, S.; Jabbar, A.; Ashraf, M.; Lee, Y.S. Marine natural products of fungal origin. Nat. Prod. Rep. 2007, 24, 1142–1152. [Google Scholar] [CrossRef]
Disclaimer/Publisher’s Note: The statements, opinions and data contained in all publications are solely those of the individual author(s) and contributor(s) and not of MDPI and/or the editor(s). MDPI and/or the editor(s) disclaim responsibility for any injury to people or property resulting from any ideas, methods, instructions or products referred to in the content. |
© 2025 by the authors. Licensee MDPI, Basel, Switzerland. This article is an open access article distributed under the terms and conditions of the Creative Commons Attribution (CC BY) license (https://creativecommons.org/licenses/by/4.0/).