Exploring Antibacterial Properties of Marine Sponge-Derived Natural Compounds: A Systematic Review
Abstract
1. Introduction
2. Results and Discussion
| Ref. | Material Collection Location | Sponge Genus Subclass/Order/Family | Compounds Extracted |
|---|---|---|---|
| [30] | San Salvador Island, Bahamas | A. longissima Heteroscleromorpha/Agelasida/Argasidae | 3,7-Dimethylisoguanine and Longamide |
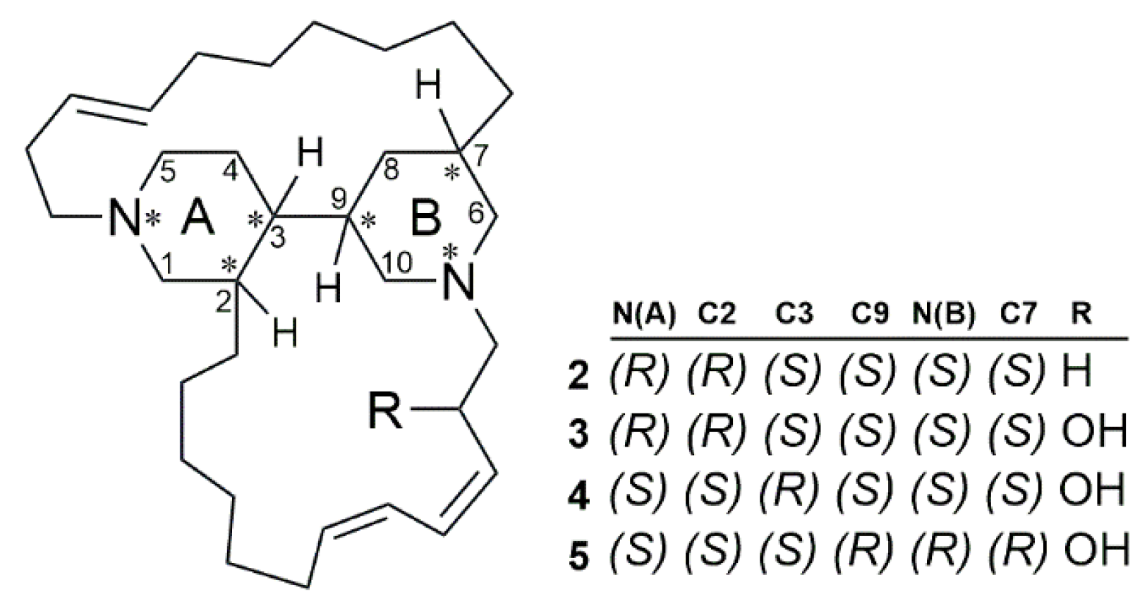
| [16] | João Fernandinho Beach, Brazil | A. brasiliensis Heteroscleromorpha/Haplosclerida/Callyspongiidae | Arenosclerins A–C and Haliclonacyclamine E |
| [22] | Mandapam, Tamil Nadu, India | P. purpurea Verongimorpha/Verongiida/Pseudoceratinidae | Purpurealidin A–H, Purealidin Q, 16-Debromoaplysamine-4 and Purpuramine I |
| [24] | Jeju Island, Korea | Spongosorites sp. Heteroscleromorpha/Suberitida/Halicondrídea | (R)-6″-Debromohamacanthin A; (R)-6′-Debromohamacanthin; (S)-6″-Debromohamacanthin B; Trans-3,4-Dihydrohamacanthin A: Cis-3,4-Dihydrohamacanthin B; Dibromodeoxytopsentin; Topsentin; Bromotopsentin; Eoxytopsentin; Bromodeoxytopsentin; Isobromodeoxytopsentin |
| [25] | Jeju Island, Korea | Spongosorites sp. Heteroscleromorpha/Suberitida/Halicondrídea | (S)-6′,6″-Didebromohamacanthin A; (R)-6′-Debromohamacanthin B; (R)-6′,6″-Didebromohamacanthin B; (R)-6″-Debromohamacanthin B (3S,5R)-6′,6″-Didebromo-3,4-dihydrohamacanthin B; Spongotine A; Spongotine B; Spongotine C; (S)-Hamacanthin A; (S)- Hamacanthin; (3S,5R)-6″-Debromo-3,4-dihydrohamacanthin B; (3S,6R)-6′-Debromo-3,4-dihydrohamacanthin A |
| [23] | Lakshadweep islands, India | D. granulosa Keratosa/Dictyoceratida/Dysidea | 2-(2′,4′-Dibromophenyl)-4,6-dibromophenol |
| [26] | Paracel Islands, China | A. mauritiana Heteroscleromorpha/Agelasida/Agelasidae | (−)-Ageloxime D; (−)-8′-Oxo-agelasine D; Ageloxime B; (+)-2-Ooxo-agelasidine C 4-Bromo-N-(butoxymethyl)-1H-pyrrole-2-carboxamide |
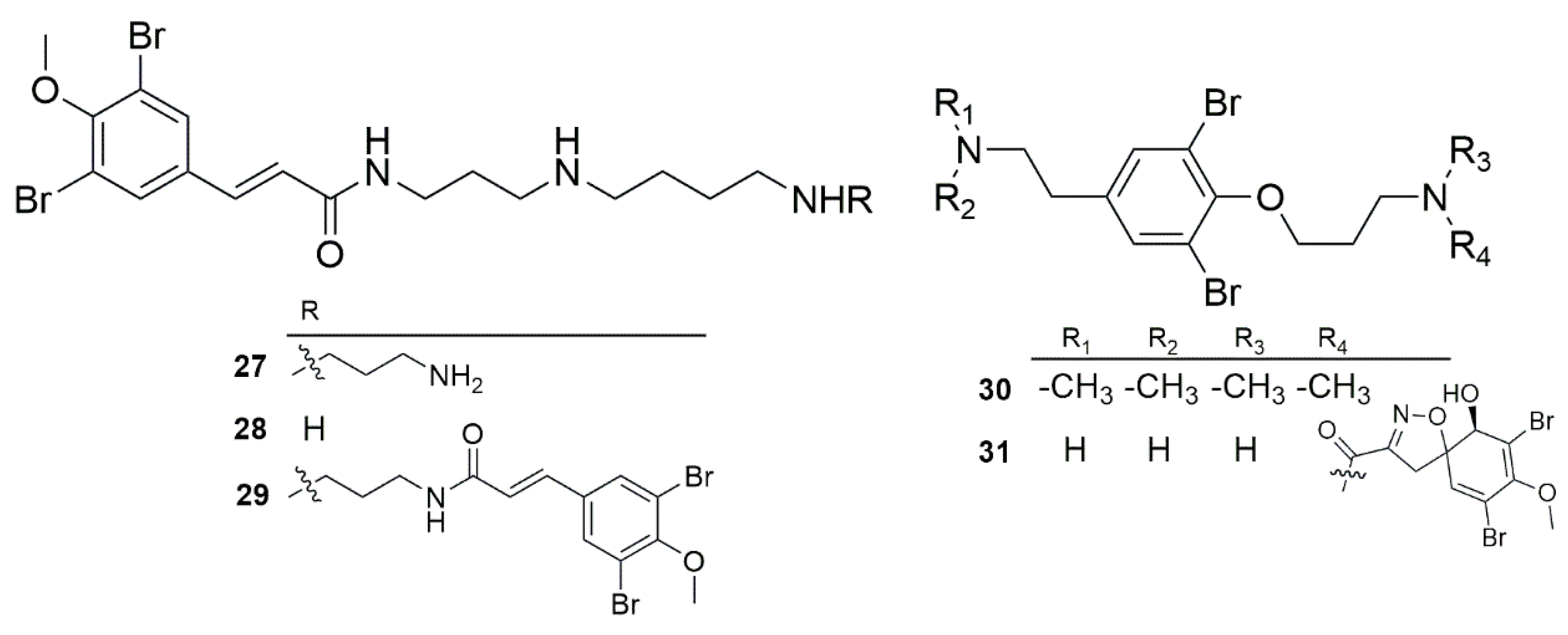
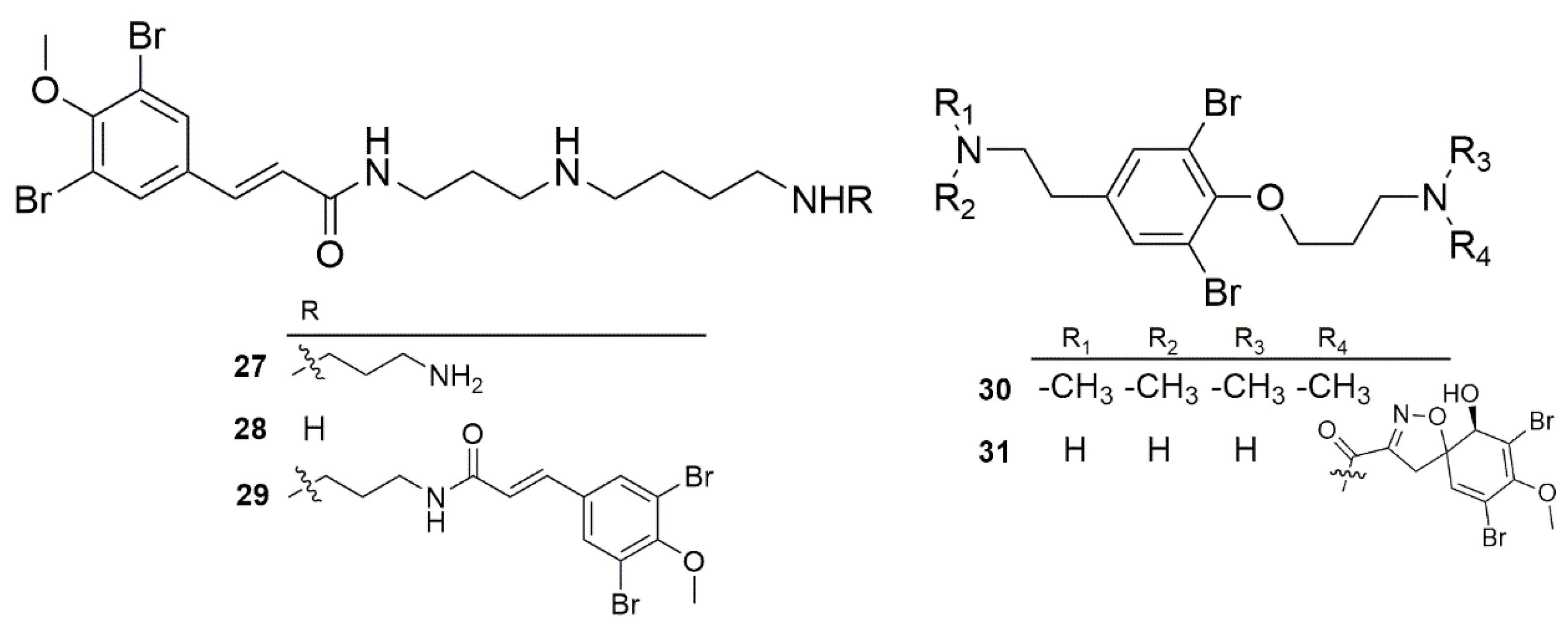
| [28] | Manta Ray Bommie, Austrália | S. ianthelliformis Verongimorpha/Verongiida/Aplysinellidae | Ianthelliformisamine A–C; Aplysamine 1; Araplysillin I; Tokaradine C; Spermatinamine |
| [19] | Quintina Roo, México | S. vesparia Heteroscleromorpha/Clionaida/Clionaidae | Svl1 and Svl2 |
| [31] | Naples, Italy | D. avara Keratosa/Dictyoceratida/Dysidea | Avarol |
| [17] | Xavier Island, Brazil | P. citrina Heteroscleromorpha/Bubarida/Bemanthudae | Halistanol sulfate and Halistanol sulfate C |
| [20] | Cozumel Island, México | A. dilatata Heteroscleromorpha/Agelasida/Agelasidae | Ageliferin; Bromoageliferin; Dibromoageliferin; Sceptrin; Nakamuric acid; 4-Bromo-1H-pyrrole-2-carboxylic acid; 4,5-Dibromopyrrole-2-carboxylic acid; 3,7-Dimethylisoguanine |
| [32] | Vinapor, Carmen, Philippines | Desmacella sp. Heteroscleromorpha/Desmacellida/Desmacellidea | Aaptamine, Isopentylamine, Tyramine |
| [21] | Cozumel Island, Mexico | A. citrina Heteroscleromorpha/Agelasida/Agelasidae | (+)-8-Epiagelasine T; (+)-10-Epiagelasine B; (+)-12-Hydroxyagelasidine C; (+)-Ent-agelasine F; (+)- Agelasine B; (+)-Agelasidine C. |
| [18] | Ilha do Meio, Brazil | A. dispar Heteroscleromorpha/Agelasida/Agelasidae | Disparamides A−C; Dispyrins B−F; H, H2 and H3 nagelamide; Citrinamine B; Ageliferin, Bromoageliferin, Dibromoageliferin |
| [27] | Woody Island, China | P. foliascens Keratosa/Dictyoceratida/Thorectidae | Phyllospongianes A−E and 12-Deacetylscalaradial |
| [29] | Manta Ray Bommie, Australia | S. ianthelliformis Verongimorpha/Verongiida/Aplysinellidae | Ianthelliformisamine A−C |
| Ref. | Compounds (Compounds Number) | MIC (%) | Bacteria Strains | Results |
|---|---|---|---|---|
| [30] | Longamide (1) | ND | ND | >60 μg/mL |
| [16] | Haliclonacyclamine E (2) Arenosclerins A (3) Arenosclerins B (4) Arenosclerins C (5) | ND | ND | 200 μg/mL 400 μg/mL 5 μg/mL 50 μg/mL |
| [22] | Purealidin Q (6) Purpurealidin B (7) 16-Debromoaplysamine-4 (8) Purpuramine I (9) * Steptomycin | ND | ND | NAA NAA NAA NAA 10 μg/mL |
| [24] | (R)-6″-Debromohamacanthin A (10) (R)-6′-Debromohamacanthin A (11) (S)-6″-Debromohamacanthin B (12) Trans-3,4-Dihydrohamacanthin A (13) Cis-3,4-Dihydrohamacanthin B (14) * Imipenem * Meropenem | ND | 1771 M | 25 μg/mL 25 μg/mL 25 μg/mL >25 μg/mL 25 μg/mL 0.098 μg/mL 0.098 μg/mL |
| [25] | (S)-6′,6″-Didebromohamacanthin A (15) (R)-6′-Debromohamacanthin B (16) (R)-6′,6″-Didebromohamacanthin B (17) (3S,5R)-6″-Debromo-3,4-dihydrohamacanthin B (18) (3S,6R)-6′-Debromo-3,4-dihydrohamacanthin A (19) Spongotine B (20) (3S,5R)-6′-Debromo-3,4-dihydrohamacanthin B (21) * Meropenem | ND | 1592 E; 1771; 1771 M; | 25/25/>25 μg/mL >25/25/25 μg/mL 25/25/25 μg/mL 25/25/25 μg/mL 25/25/25 μg/mL >25/>25/25 μg/mL >25/>25/25 μg/mL 0.098/0.391/0.049 |
| [23] | 2-(2′,4′-Dibromophenoxy)-4,6-dibromophenol (22) | 50 | ND | NAA |
| 90 | NAA | |||
| [26] | (−)-Ageloxime D (23) (−)-8′-Oxo-agelasine D (24) (−)- Ageloxime B (25) (+)-2-Oxo-agelasidine C (26) * Ciprofloxacin | 50 | ATCC 27853 | NAA NAA NAA NAA -- |
| [28] | Ianthelliformisamine A (27) Ianthelliformisamine B (28) Ianthelliformisamine C (29) Aplysamine 1 (30) Araplysillin I (31) * Ciproflaxacin | 50 | PAO1 | 6.8 μM NAA 8.9 μM NAA NAA 0.038 μM |
| Ianthelliformisamine A (27) Ianthelliformisamine B (28) Ianthelliformisamine C (29) Aplysamine 1 (30) Araplysillin I (31) | ND | PAO1 | 35 μM 87.5 μM 17.5 μM NAA 175 μM | |
| [19] | Svl 1 (32) Svl 2 (33) | 50 | ATCC 27853 | 3.90 μg/mL 3.90 μg/mL |
| [31] | Avarol (34) * Streptomycin * Ampicillin | ND | ATCC 27853 | 3 μg/mL 170 μg/mL 740 μg/mL |
| [17] | Halistanol sulfate (35) Halistanol sulfate C (36) * Ceftazidime | ND | ATCC 27853 | NAA NAA 30 μg |
| [20] | Ageliferin (37) Bromoageliferin (38) Dibromoageliferin (39) Sceptrin (40) Nakamuric acid (41) 4-Bromo-1H-pyrrole-2-carboxylic acid (42) 4,5-Dibromopyrrole-2-carboxylic acid (43) 3,7-Dimethylisoguanine (44) * Imipenem | Complete growth inhibition | ATCC 27853/PAO1 | 64/64 μg/mL 8/32 μg/mL 32/32 μg/mL NAA/NAA μg/mL NAA/NAA μg/mL 64/NAA μg/mL 64/NAA μg/mL 64/NAA μg/mL 2/2 μg/mL |
| [32] | Aaptamine (45) Isopentylamine (46) Tyramine (47) * Ciprofloxacin | Complete growth inhibition | BIOTECH 1335 | NAA 1.56 μg/mL 8.85 μg/mL 6.77 μg/mL |
| [21] | (+)-8-Epiagelasine T (48) (+)-10-Epiagelasine B (49) (+)-12-Hhydroxyagelasidine C (50) (+)-Ent-agelasine F (51) (+)-Agelasine B (52) (+)-Agelasidine C (53) * Imipemen | Complete growth inhibition | ATCC 27823 | NAA NAA NAA NAA 16 μg/mL NAA ND |
| [18] | Ageliferin A (37) Ageliferin B (38) Dibromoageliferin (39) | Complete growth inhibition | ATCC 27853 | 50 μM 12.5 μM 25 μM |
| [27] | Phyllospongiane A (54) Phyllospongiane B (55) Phyllospongiane C (56) Phyllospongiane D (57) Phyllospongiane E (58) * Levofloxacin | ND | ND | 4 μg/mL 4 μg/mL >64 μg/mL 4 μg/mL 32 μg/mL 0.25 μg/mL |
| [29] | Ianthelliformisamine A (27) Iantheliformisamine B (28) Ianthelliformisamine C (29) * Ciprofloxacin * Tobramycin * Meropenem | Complete growth inhibition | PAO1 | NAA NAA 53.1 μg/mL 0.25 μg/mL 2 μg/mL 0.375 μg/mL |
3. Materials and Methods
4. Conclusions
Supplementary Materials
Author Contributions
Funding
Institutional Review Board Statement
Data Availability Statement
Conflicts of Interest
References
- Muteeb, G.; Rehman, M.T.; Shahwan, M.; Aatif, M. Origin of Antibiotics and Antibiotic Resistance, and Their Impacts on Drug Development: A Narrative Review. Pharmaceuticals 2023, 16, 1615. [Google Scholar] [CrossRef]
- Santajit, S.; Indrawattana, N. Mechanisms of Antimicrobial Resistance in ESKAPE Pathogens. Biomed. Res. Int. 2016, 2016, 2475067. [Google Scholar] [CrossRef] [PubMed]
- Alamri, M.A.; Prinsa; Kawsar, S.M.A.; Saha, S. Exploring marine-derived bioactive compounds for dual inhibition of Pseudomonas aeruginosa LpxA and LpxD: Integrated bioinformatics and cheminformatics approaches. Mol. Divers. 2024; ahead of print. [Google Scholar] [CrossRef]
- Elfadadny, A.; Ragab, R.F.; AlHarbi, M.; Badshah, F.; Ibáñez-Arancibia, E.; Farag, A.; Hendawy, A.O.; De Los Ríos-Escalante, P.R.; Aboubakr, M.; Zakai, S.A.; et al. Antimicrobial resistance of Pseudomonas aeruginosa: Navigating clinical impacts, current resistance trends, and innovations in breaking therapies. Front. Microbiol. 2024, 15, 1374466. [Google Scholar] [CrossRef]
- Jordan, O.; Gan, B.H.; Alwan, S.; Perron, K.; Sublet, E.; Ducret, V.; Hua, Y.; Borchard, G.; Reymond, J.L.; Patrulea, V. Highly Potent Cationic Chitosan Derivatives Coupled to Antimicrobial Peptide Dendrimers to Combat Pseudomonas aeruginosa. Adv. Healthc. Mater. 2024, 13, e2304118. [Google Scholar] [CrossRef]
- Patrulea, V.; Gan, B.H.; Perron, K.; Cai, X.; Abdel-Sayed, P.; Sublet, E.; Ducret, V.; Norhot, N.P.; Applegate, L.A.; Borchard, G.; et al. Synergistic effects of antimicrobial peptide dendrimer-chitosan polymer conjugates against Pseudomonas aeruginosa. Carbohydr. Polym. 2022, 280, 119025. [Google Scholar] [CrossRef]
- Lindequist, U. Marine-derived pharmaceuticals—Challenges and opportunities. Biomol. Ther. 2016, 24, 561–571. [Google Scholar] [CrossRef] [PubMed]
- Gomes Filho, S.M.; Cardoso, J.D.; Anaya, K.; Do Nascimento, E.S.; De Lacerda, J.T.J.G.; Mioso, R.; Gadelha, T.S.; Gadelha, C.A.A. Marine sponge lectins: Actual status on properties and biological activities. Molecules 2015, 20, 348–357. [Google Scholar] [CrossRef]
- Barbosa, F.; Pinto, E.; Kijjoa, A.; Pinto, M.; Sousa, E. Targeting antimicrobial drug resistance with marine natural products. Int. J. Antimicrob. Agents 2020, 56, 106005. [Google Scholar] [CrossRef]
- Liang, X.; Luo, D.; Luesch, H. Advances in exploring the therapeutic potential of marine natural products. Pharmacol. Res. 2019, 147, 104373. [Google Scholar] [CrossRef]
- Mayer, A.M.S.; Mayer, V.A.; Swanson-Mungerson, M.; Pierce, M.L.; Rodríguez, A.D.; Nakamura, F. Marine Pharmacology in 2019–2021: Marine Compounds with Antibacterial, Antidiabetic, Antifungal, Anti-Inflammatory, Antiprotozoal, Antituberculosis and Antiviral Activities; Affecting the Immune and Nervous Systems, and Other Miscellaneous Mechanisms of Action. Mar. Drugs 2024, 22, 309. [Google Scholar] [CrossRef]
- Esposito, R.; Federico, S.; Bertolino, M.; Zupo, V.; Costantini, M. Marine Demospongiae: A Challenging Treasure of Bioactive Compounds. Mar. Drugs 2022, 20, 244. [Google Scholar] [CrossRef]
- Varijakzhan, D.; Loh, J.Y.; Yap, W.S.; Yusoff, K.; Seboussi, R.; Lim, S.H.E.; Lai, K.S.; Chong, C.M. Bioactive compounds from marine sponges: Fundamentals and applications. Mar. Drugs 2021, 19, 246. [Google Scholar] [CrossRef] [PubMed]
- Datta, D.; Nath Talapatra, S.; Swarnakar, S. Bioactive Compounds from Marine Invertebrates for Potential Medicines—An Overview. Int. Lett. Nat. Sci. 2015, 34, 42–61. [Google Scholar] [CrossRef]
- Martignago, C.C.S.; Soares-Silva, B.; Parisi, J.R.; Silva, L.C.S.; Granito, R.N.; Ribeiro, A.M.; Renno, A.C.M.; Sousa, L.R.F.; Aguiar, A.C.C. Terpenes extracted from marine sponges with antioxidant activity: A systematic review. Nat. Prod. Bioprospect. 2023, 13, 23. [Google Scholar] [CrossRef]
- Torres, Y.R.; Berlinck, R.G.S.; Nascimento, G.G.F.; Fortier, Â.C.; Pessoa, C.; De Moraes, M.O. Antibacterial activity against resistant bacteria and cytotoxicity of four alkaloid toxins isolated from the marine sponge Arenosclera brasiliensis. Toxicon 2002, 40, 885–891. [Google Scholar] [CrossRef]
- de Souza Constantino, L.; da Rosa Guimarães, T.; de Oliveira, S.Q.; Bianco, É.M.; de Souza Pessoa, L.G.; Michels, M.; Schenkel, E.P.; Dal Pizzol, F.; Reginatto, F.H. TSH fraction from Petromica citrina: A potential marine natural product for the treatment of sepsis by Methicillin-resistant Staphylococcus aureus (MRSA). Biomed. Pharmacother. 2018, 108, 1759–1766. [Google Scholar] [CrossRef] [PubMed]
- Freire, V.F.; Gubiani, J.R.; Spencer, T.M.; Hajdu, E.; Ferreira, A.G.; Ferreira, D.A.S.; Levatti, E.V.C.; Burdette, J.E.; Camargo, C.H.; Tempone, G.A.; et al. Feature-Based Molecular Networking Discovery of Bromopyrrole Alkaloids from the Marine Sponge Agelas dispar. J. Nat. Prod. 2022, 85, 1340–1350. [Google Scholar] [CrossRef] [PubMed]
- Fenton, B.; Arreguín, R.E.; Contreras, E.V.; Lozano, B.A.; Sánchez, N.; Hernámdez, E.G.; Galindo, E.Z. Purification and characterization of structural and functional properties of two lectins from a marine sponge Spheciospongia vesparia. Indian J. Biochem. Biophys. 2013, 50, 562–569. [Google Scholar] [PubMed]
- Pech-Puch, D.; Pérez-Povedano, M.; Martinez-Guitian, M.; Lasarte-Monterrubio, C.; Vázquez-Ucha, J.C.; Bou, G. In vitro and in vivo assessment of the efficacy of bromoageliferin, an alkaloid isolated from the sponge agelas dilatata, against Pseudomonas aeruginosa. Mar. Drugs 2020, 18, 326. [Google Scholar] [CrossRef]
- Pech-Puch, D.; Forero, A.M.; Fuentes-Monteverde, J.C.; Lasarte-Monterrubio, C.; Martinez-Guitian, M.; González-Salas, C.; Guillén-Hernámdez, S.; Villegas-Hernández, H.; Beceiro, A.; Griesinger, C.; et al. Antimicrobial Diterpene Alkaloids from an Agelas citrina Sponge Collected in the Yucatán Peninsula. Mar. Drugs 2022, 20, 298. [Google Scholar] [CrossRef]
- Tilvi, S.; Rodrigues, C.; Naik, C.G.; Parameswaran, P.S.; Wahidhulla, S. New bromotyrosine alkaloids from the marine sponge Psammaplysilla purpurea. Tetrahedron 2004, 60, 10207–10215. [Google Scholar] [CrossRef]
- Shridhar, D.M.P.; Mahajan, G.B.; Kamat, V.P.; Naik, C.G.; Parab, R.R.; Thakur, N.R.; Mishra, P.D. Antibacterial activity of 2-(2′,4′-dibromophenoxy)-4,6- dibromophenol from Dysidea granulosa. Mar. Drugs 2009, 7, 464–471. [Google Scholar] [CrossRef]
- Bao, B.; Sun, Q.; Yao, X.; Hong, J.; Lee, C.O.; Sim, C.J.; Im, K.S.; Jung, J.H. Cytotoxic bisindole alkaloids from a marine sponge Spongosorites sp. J. Nat. Prod. 2005, 68, 711–715. [Google Scholar] [CrossRef]
- Bao, Q.; Sun, Q.; Yao, X.; Hong, J.; Lee, C.O.; Hee, Y.C.; Cho, H.Y.; Jung, J.H. Bisindole alkaloids of the topsentin and hamacanthin classes from a marine sponge Spongosorites sp. J. Nat. Prod. 2007, 70, 2–8. [Google Scholar] [CrossRef] [PubMed]
- Yang, F.; Hamann, M.T.; Zou, Y.; Zhang, M.Y.; Gong, X.B.; Xiao, J.R.; Chen, W.S.; Lin, H.W. Antimicrobial metabolites from the paracel islands sponge Agelas mauritiana. J. Nat. Prod. 2012, 75, 774–778. [Google Scholar] [CrossRef]
- Yu, H.B.; Hu, B.; Wu, G.F.; Ning, Z.; He, Y.; Jiao, B.H.; Chen, W.S.; Lin, H.W. Phyllospongianes A-E, Dinorscalarane Sesterterpenes from the Marine Sponge Phyllospongia foliascens. J. Nat. Prod. 2023, 86, 1754–1760. [Google Scholar] [CrossRef]
- Xu, M.; Davis, R.A.; Feng, Y.; Sykes, M.L.; Shelper, T.; Avery, V.M.; Camp, D.; Quinn, R.J. Ianthelliformisamines A-C, antibacterial bromotyrosine-derived metabolites from the marine sponge Suberea ianthelliformis. J. Nat. Prod. 2012, 75, 1001–1005. [Google Scholar] [CrossRef] [PubMed]
- Tran, T.M.T.; Addison, R.S.; Davis, R.A.; Rehm, B.H.A. Bromotyrosine-Derived Metabolites from a Marine Sponge Inhibit Pseudomonas aeruginosa Biofilms. Int. J. Mol. Sci. 2023, 24, 204. [Google Scholar] [CrossRef]
- Cafieri, F.; Fattorusso, E.; Mangoni, A.; Taglialatela-Scafati, O. Longamide and 3,7-dimethylisoguanine, Two Novel Alkaloids from the Marine Sponge Ageh Zongissima. Tetrahedron Lett. 1995, 36, 7893–7896. [Google Scholar] [CrossRef]
- Pejin, B.; Iodice, C.; Tommonaro, G.; Stanimirovic, B.; Ciric, A.; Glamoclija, J.; Nikolic, M.; De Rosa, S.; Sokovic, M. Further in vitro Evaluation of Antimicrobial Activity of the Marine Sesquiterpene Hydroquinone Avarol. Curr. Pharm. Biotechnol. 2014, 15, 583–588. [Google Scholar] [CrossRef]
- Mazo, R.A.M.C.; Gelani, C.D.; Lavilla, C.A.; Uy, M.M.; Tabugo, S.R.M.; Ohta, E.; Ohta, S. Antibacterial, Anti-Inflammatory, and Antidiabetic Studies of the Amines Isolated from the Philippine Marine Sponge Desmacella sp. Curr. Bioact. Compd. 2022, 19, 52–61. [Google Scholar]
- Pieri, C.; Borselli, D.; Di Giorgio, C.; De Méo, M.; Bolla, J.-M.; Vidal, N.; Combes, S.; Brunel, J.M. New Ianthelliformisamine Derivatives as Antibiotic Enhancers against Resistant Gram-Negative Bacteria. J. Med. Chem. 2014, 57, 4263–4272. [Google Scholar] [CrossRef]
- Page, M.J.; McKenzie, J.E.; Bossuyt, P.M.; Boutron, I.; Hoffmann, T.C.; Mulrow, C.D.; Shamseer, L.; Tetzlaff, J.M.; Akl, E.A.; Brennan, S.E.; et al. The PRISMA 2020 statement: An updated guideline for reporting systematic reviews. BMJ 2021, 372, n71. [Google Scholar] [CrossRef]
- Schneider, K.; Schwarz, M.; Burkholder, I.; Kopp-Schneider, A.; Edler, L.; Kinsner-Ovaskainen, A.; Hartung, T.; Hoffmann, S. “ToxRTool”, a new tool to assess the reliability of toxicological data. Toxicol. Lett. 2009, 189, 138–144. [Google Scholar] [CrossRef]
- Balshem, H.; Helfand, M.; Schünemann, H.J.; Oxman, A.D.; Kunz, R.; Brozek, J.; Falck-Ytter, Y.; Meerpohl, J.; Norris, S.; Guyatt, G.H. GRADE guidelines: 3. Rating the quality of evidence. J. Clin. Epidemiol. 2011, 64, 401–406. [Google Scholar] [CrossRef]








| Ref. | Additional Assay (Compounds Tested) | Methodology | Results |
|---|---|---|---|
| [16] | Cytotoxicity (2–5) | HL-60, L929, B16 and U138 cells were evaluated for viability using the MTT. | All the compounds evaluated presented IC50 for the cells tested between the concentrations of 4.31–1.71 µg/mL. |
| [22] | Antifungal (6–9) | Were used strains of A. fumigatus, Fusarium spp., C. neofromans, A. niger, Rhodotorula sp., Norcardia sp., C. albicans for antifungal activity and Nystatin was used as a PC. | All of the compounds show absence of activity against all fungal strains. |
| [24] | Cytotoxicity (10–14) | A549; SK-OV-3; SK-MEL-2; XF498 and HCT15 cells were assessed. The cell culture was fixed with cold TCA and stained by sulfo-rhodamine B. | All the compounds evaluated presented IC50 for the cells tested between the concentrations of 30–2.83 µg/mL. |
| [25] | Cytotoxicity (15–21) | A549; SK-OV-3; SK-MEL-2: XF498 and HCT15 cells were harvested, counted, and inoculated. The culture was fixed with cold TCA and stained by sulfo-rhodamine B. | All the compounds evaluated presented IC50 for the cells tested between the concentrations of 30–3.71 µg/mL. |
| [26] | Antileishmanial (23–26) | Antileishmanial activity of the compounds was assessed in the culture of Leishmania donovani promastigotes and Pentamidine and amphotericin B were used as the PC. | Compounds 23 and 25 exhibited antileishmanial activity against L. donovani with IC50/IC90 values of 29.28/33.96 and 28.55/33.19 μg/mL, respectively. |
| [31] | Antifungal (34) | Strains of A. fumigatus, A. versicolor; A. ochraceus, A. niger, T. viride, P. funiculosum, P. ochrochloron, and P. verrucosum var. cyclopium were assayed for antifungal activity and ketoconazole was used as a PC. | The compound 34 exhibited antifungal activity against all fungi evaluated, with concentrations between 4 and 15 µg/mL. |
| [32] | Anti-inflammatory; Antidiabetic (45–47) | Anti-inflammatory activity was assessed using membrane stabilization and albumin denaturation inhibition tests. An antidiabetic assay was performed based on the starch-iodine test. | All the compounds inhibited the hemolysis of red blood cells and protein denaturation. Maximum inhibition was observed at 100 μg/mL. All compounds exhibited a meaningful α-amylase inhibitory effect. |
| [18] | Cytotoxicity Hemolytic Activity (37–39) | OVCAR3 cells were used for cytotoxicity assay. Erythrocytes were collected from BALB/c mice, and seeded at a 3% suspension for 2 h at 24 °C. The untreated erythrocytes were used as a negative control. | No compound showed cytotoxicity for the cell lines tested. No significant damage to the red blood cells could be observed after incubation at 100 μM. |
| [27] | Cytotoxicity (54–58) | MDA-MB-231, HepG2, C4−2-ENZ, MCF-7, H460, and HT-29 cells were evaluated for viability using the CCK-8. | All the evaluated compounds exhibited IC50 for the tested cells within the concentration range of 50–0.7 µM. |
| [29] | Cytotoxicity (27–29) | HEK293 cells were evaluated for viability using resazurin. | All the compounds induced low toxicity up to the highest testing concentrations |
| Inclusion | Exclusion |
|---|---|
| Tested on the bacteria P. aeruginosa | Compounds tested on bacteria other than P. aeruginosa |
| Compounds extracted from MS without any other associated microorganisms | Compounds extracted from microorganisms associated with MS |
| Analysis of AA with MIC | Not evaluating AA by MIC |
| In vitro studies and original | Review or in vivo articles |
| Published in English | Published in a language other than English |
| Articles published between 1993–2024 | Articles published before 1993 |
| Having a control group with or without treatment | No control groups (positive or negative) |
Disclaimer/Publisher’s Note: The statements, opinions and data contained in all publications are solely those of the individual author(s) and contributor(s) and not of MDPI and/or the editor(s). MDPI and/or the editor(s) disclaim responsibility for any injury to people or property resulting from any ideas, methods, instructions or products referred to in the content. |
© 2025 by the authors. Licensee MDPI, Basel, Switzerland. This article is an open access article distributed under the terms and conditions of the Creative Commons Attribution (CC BY) license (https://creativecommons.org/licenses/by/4.0/).
Share and Cite
Santi Martignago, C.C.; de Souza Barbosa, C.; Garcia Motta, H.; Soares-Silva, B.; Maso Lopes Peres, E.P.; Souza e Silva, L.C.; Bonifácio, M.; dos Santos Jorge Sousa, K.; Sardeli Alqualo, A.; Parisi, J.; et al. Exploring Antibacterial Properties of Marine Sponge-Derived Natural Compounds: A Systematic Review. Mar. Drugs 2025, 23, 43. https://doi.org/10.3390/md23010043
Santi Martignago CC, de Souza Barbosa C, Garcia Motta H, Soares-Silva B, Maso Lopes Peres EP, Souza e Silva LC, Bonifácio M, dos Santos Jorge Sousa K, Sardeli Alqualo A, Parisi J, et al. Exploring Antibacterial Properties of Marine Sponge-Derived Natural Compounds: A Systematic Review. Marine Drugs. 2025; 23(1):43. https://doi.org/10.3390/md23010043
Chicago/Turabian StyleSanti Martignago, Cintia Cristina, Camila de Souza Barbosa, Homero Garcia Motta, Beatriz Soares-Silva, Erica Paloma Maso Lopes Peres, Lais Caroline Souza e Silva, Mirian Bonifácio, Karolyne dos Santos Jorge Sousa, Amanda Sardeli Alqualo, Júlia Parisi, and et al. 2025. "Exploring Antibacterial Properties of Marine Sponge-Derived Natural Compounds: A Systematic Review" Marine Drugs 23, no. 1: 43. https://doi.org/10.3390/md23010043
APA StyleSanti Martignago, C. C., de Souza Barbosa, C., Garcia Motta, H., Soares-Silva, B., Maso Lopes Peres, E. P., Souza e Silva, L. C., Bonifácio, M., dos Santos Jorge Sousa, K., Sardeli Alqualo, A., Parisi, J., Jordan, O., Muniz Renno, A. C., Aguiar, A. C. C., & Patrulea, V. (2025). Exploring Antibacterial Properties of Marine Sponge-Derived Natural Compounds: A Systematic Review. Marine Drugs, 23(1), 43. https://doi.org/10.3390/md23010043

