An Overview of Secondary Metabolites from Soft Corals of the Genus Capnella over the Five Decades: Chemical Structures, Pharmacological Activities, NMR Data, and Chemical Synthesis
Abstract
1. Introduction
2. An Overview of Secondary Metabolites from Soft Corals of the Genus Capnella
3. Sesquiterpenes
3.1. Capnellane Sesquiterpenes
3.2. Precapnellane Sesquiterpene
3.3. Bicyclogermacrane Sesquiterpenes
3.4. Germacrane Sesquiterpenes
3.5. Aromadendrane Sesquiterpene
3.6. Cadinane Sesquiterpene
3.7. Farnesane Sesquiterpenes
3.8. Guaiane Sesquiterpene
4. Diterpenes
5. Steroids
6. Lipid
7. The Preliminary Summary of Structure-Activity Relationships of the Terpenes from Soft Corals of the Genus Capnella
7.1. Sesquiterpenes
7.1.1. Capnellane Sesquiterpenes
7.1.2. Bicyclogermacrane Sesquiterpenes
7.2. Diterpenes
8. The Characteristic 1H and 13C NMR Data of the Secondary Metabolites from Soft Corals of the Genus Capnella
8.1. Sesquiterpenes
8.1.1. Capnellane Sesquiterpenes
| No. | 1 [58] | 2 [58] | 3 [63] | 4 [58] |
|---|---|---|---|---|
| δC 1 | δC 1 | δC 2 | δC 1 | |
| 1 | 38.6 | 43.3 | 44.10 | 43.7 |
| 2 | 51.7 | 42.7 | 46.66 | 42.4 |
| 3 | 81.4 | 41.4 | 81.01 | 32.9 |
| 4 | 52.6 | 49.3 | 52.42 | 53.2 |
| 5 | 45.3 | 45.6 | 45.95 | 82.8 |
| 6 | 49.8 | 48.7 | 50.10 | 56.1 |
| 7 | 38.1 | 36.8 | 38.44 | 34.6 |
| 8 | 73.8 | 72.4 | 73.84 | 72.4 |
| 9 | 161.5 | 160.3 | 161.90 | 159.9 |
| 10 | 89.8 | 88.8 | 89.11 | 86.0 |
| 11 | 65.5 | 64.6 | 63.54 | 64.0 |
| 12 | 109.1 | 107.5 | 109.09 | 108.4 |
| 13 | 25.0 | 31.5 | 24.80 | 30.8 |
| 14 | 32.9 | 30.3 | 73.84 | 31.4 |
| 15 | 26.1 | 23.2 | 21.96 | 24.1 |
| No. | 5 [44] | 16 [67] | 17 [68] | |||
|---|---|---|---|---|---|---|
| δH 1 | δC 1 | δH 2 | δC 2 | δH 2 | δC 2 | |
| 1 | 46.9 | 43.94 | 47.15 | |||
| 2 | 4.03 dd (5.4, 5.4) | 82.2 | 1.55 m | 43.17 | 3.57 dd (5.0, 4.0) | 83.37 |
| 1.46m | ||||||
| 3 | 2.09 dd (13.8, 5.4) | 50.0 | 1.75 m | 41.98 | 2.11 m | 39.74 |
| 1.55 dd (13.8, 5.4) | 1.57 m | 2.15 m | ||||
| 4 | 47.6 | 49.94 | 50.91 | |||
| 5 | 1.48 m | 46.8 | 1.95 dd (9.0, 4.5) | 46.22 | 3.20 d (1.0) | 81.40 |
| 2.04 dd (13.8, 8.4) | 1.36 dd (7.4, 6.0) | |||||
| 6 | 2.34 m | 51.1 | 2.51 m | 49.61 | 2.35 m | 57.04 |
| 7 | 2.32 m | 38.1 | 1.48 ddd (15.2, 9.0, 4.8) | 37.88 | 1.40 m | 35.76 |
| 1.50 m | 2.35 ddd (10.0, 6.0, 2.6) | 2.28 m | ||||
| 8 | 4.74 m | 73.7 | 4.80 m | 73.51 | 4.62 m | 72.00 |
| 9 | 162.2 | 162.25 | 162.00 | |||
| 10 | 90.5 | 90.13 | 85.12 | |||
| 11 | 2.17 s | 64.7 | 1.46 m | 65.69 | 2.02 s | 62.05 |
| 12 | 5.34 d (1.8) | 110.3 | 5.32 d (2.0) | 109.51 | 5.15 m | 107.21 |
| 5.39 d (1.8) | 5.30 d (2.0) | |||||
| 13 | 1.27 s | 34.4 | 1.35 s | 32.71 | 1.03 s | 32.80 |
| 14 | 1.11 s | 24.2 | 1.09 s | 31.40 | 1.11 s | 25.33 |
| 15 | 1.27 s | 23.0 | 1.26 s | 24.08 | 1.10 s | 23.70 |
| No. | 18 [48] | 19 [48] | ||
|---|---|---|---|---|
| δH 1 | δC 1 | δH 1 | δC 1 | |
| 1 | 42.5 | 43.4 | ||
| 2 | 1.51 m | 41.5 | 1.68 dd (11.2, 5.6) | 43.8 |
| 1.55 t (11.2) | ||||
| 3 | 2.09 m | 40.5 | 5.08 dd (10.6, 5.6) | 82.1 |
| 1.45 m | ||||
| 4 | 53.3 | 51.4 | ||
| 5 | 1.79 dd (13.8, 8.4) | 48.9 | 2.25 m | 45.6 |
| 1.51 dd (13.8, 4.8) | 1.20 m | |||
| 6 | 2.22 ddt (7.6, 3.5, 4.2) | 42.1 | 2.52 m | 49.2 |
| 7 | 2.13 dd (8.4, 4.2) | 40.3 | 2.35 m | 38.3 |
| 1.39 m | 1.42 dt (14.4, 4.0) | |||
| 8 | 4.74 tt (8.0, 4.2) | 75.6 | 4.75 m | 73.5 |
| 9 | 160.6 | 161.8 | ||
| 10 | 2.36 ddd (4.6, 2.8, 1.6) | 49.5 | 87.9 | |
| 11 | 1.75 d (3.3) | 68.0 | 2.30 s | 64.9 |
| 12 | 5.05 t (2.5) | 105.4 | 5.30 t (2.5) | 109.7 |
| 4.96 t (2.4) | ||||
| 13 | 1.24 s | 32.1 | 0.82 s | 25.3 |
| 14 | 1.02 s | 30.8 | 3.55 d (9.4) | 74.1 |
| 3.42 d (9.4) | ||||
| 15 | 0.82 s | 26.1 | 1.31 s | 20.8 |
| COCH3 | 171.1 | |||
| COCH3 | 1.99 s | 21.0 | ||
| No. | 22 [51] | 23 [51] | 24 [51] | |||
|---|---|---|---|---|---|---|
| δH 1 | δC 1 | δH 1 | δC 1 | δH 1 | δC 1 | |
| 1 | 47.2 | 44.5 | 44.7 | |||
| 2 | 1.41 m | 36.2 | 1.46 m | 43.9 | 1.56 m | 42.3 |
| 1.58 m | 1.66 m | |||||
| 3 | 1.42 m | 39.8 | 1.69 m | 37.5 | 1.78 m | 40.4 |
| 4 | 53.6 | 55.5 | 55.2 | |||
| 5 | 1.49 m | 48.8 | 1.60 m | 41.5 | 1.03 dd (12.3, 4.5) | 46.2 |
| 1.80 dd (12.8, 8.1) | 1.88 dd (14.2, 10.1) | 2.09 dd (12.3, 8.0) | ||||
| 6 | 2.43 m | 41.6 | 2.67 m | 49.5 | 3.02 m | 44.1 |
| 7 | 1.39 m | 39.7 | 1.59 m | 38.2 | 2.05 dd (18.4, 2.0) | 42.2 |
| 2.25 m | 2.28 m | 2.64 dd (18.4, 6.5) | ||||
| 8 | 4.51 t (5.2) | 75.5 | 4.78 m | 74.2 | 211.3 | |
| 9 | 160.2 | 164.3 | 135.5 | |||
| 10 | 2.86 m | 49.1 | 90.6 | 186.7 | ||
| 11 | 1.89 d (3.2) | 65.2 | 2.02 s | 62.5 | 2.47 s | 61.9 |
| 12 | 5.00 s | 105.9 | 5.41 s | 111.8 | 4.32 dd (13.4, 1.7) | 56.8 |
| 5.14 s | 5.43 s | 4.37 dd (13.4, 1.7) | ||||
| 13 | 1.23 s | 31.6 | 3.35 m | 71.4 | 1.24 s | 30.1 |
| 14 | 1.15 s | 26.7 | 1.21 s | 30.7 | 1.21 s | 31.1 |
| 15 | 3.48 d (10.8) | 69.9 | 1.29 s | 23.8 | 0.87 s | 26.0 |
| 3.58 d (10.8) | ||||||
| No. | 25 [51] | 26 [51] | ||
|---|---|---|---|---|
| δH 1 | δC 1 | δH 1 | δC 1 | |
| 1 | 44.3 | 43.9 | ||
| 2 | 1.45 m | 43.6 | 1.44 m | 41.7 |
| 3 | 1.54 m | 41.7 | 1.53 m | 40.9 |
| 1.64 m | ||||
| 4 | 50.2 | 53.6 | ||
| 5 | 1.26 dd (9.5, 13.8) | 45.3 | 1.45 m | 48.4 |
| 1.83 dd (9.5, 13.8) | 1.77 m | |||
| 6 | 2.77 m | 48.1 | 2.48 m | 42.6 |
| 7 | 1.47 m | 35.6 | 1.54 m | 36.3 |
| 2.51 m | 2.25 m | |||
| 8 | 5.72 m | 75.4 | 5.53 t (3.4) | 76.2 |
| 9 | 151.5 | 156.3 | ||
| 10 | 95.7 | 2.71 m | 49.5 | |
| 11 | 2.34 s | 65.3 | 1.78 m | 67.7 |
| 12 | 5.45 d (2.2) | 116.4 | 4.99 s | 108.6 |
| 5.51 d (2.2) | 5.08 s | |||
| 13 | 1.09 s | 31.9 | 1.19 s | 31.6 |
| 14 | 1.11 s | 31.4 | 1.06 s | 30.2 |
| 15 | 1.12 s | 24.4 | 0.98 s | 25.5 |
| 8-COCH3 | 170.9 | 171.9 | ||
| 8-COCH3 | 2.07 s | 21.3 | 2.09 s | 21.4 |
| 10-COCH3 | 169.6 | |||
| 10-COCH3 | 1.95 s | 22.0 | ||
| No. | 27 [62] | 28 [44] | 29 [44] | |||
|---|---|---|---|---|---|---|
| δH 1 | δC 1 | δH 1 | δC 1 | δH 1 | δC 1 | |
| 1 | 49.9 | 42.1 | 44.2 | |||
| 2 | 1.77 dd (12.6, 6.6) | 38.3 | 1.47 m | 40.6 | 1.34 m | 41.0 |
| 1.41 dt (12.6, 7.2) | 2.05 m | |||||
| 3 | 1.65 m | 41.9 | 1.64 m | 41.3 | 1.71 dd (8.0, 2.5) | 42.4 |
| 1.62 m | 1.64 dd (8.0, 2.0) | |||||
| 4 | 49.8 | 49.8 | 47.7 | |||
| 5 | 1.37 dd (13.8, 8.4) | 46.1 | 2.04 d (13.5) | 55.4 | 1.83 d (13.5) | 52.1 |
| 1.93 dd (13.8, 9.0) | 1.79 d (13.5) | 1.97 d (13.5) | ||||
| 6 | 2.47 m | 49.4 | 88.0 | 72.7 | ||
| 7 | 2.36 dd (13.2, 8.4) | 37.6 | 2.26 dd (13.0, 7.5) | 48.3 | 2.33 dd (16.5, 8.0) | 43.6 |
| 1.53 dt (13.2, 6.0) | 1.83 dd (13.0, 10.0) | 1.91 dd (15.0, 8.0) | ||||
| 8 | 4.82 br s | 73.6 | 4.80 br s | 75.1 | 4.79 br s | 87.4 |
| 9 | 161.4 | 159.7 | 160.2 | |||
| 10 | 90.2 | 2.68 dd (7.0, 2.0) | 58.3 | 89.7 | ||
| 11 | 2.04 s | 65.4 | 1.62 m | 69.1 | 1.88 s | 67.0 |
| 12 | 5.40 d (1.8) | 110.5 | 4.99 t (2.0) | 107.8 | 5.38 d (2.0) | 112.5 |
| 5.43 d (1.8) | 5.17 t (2.0) | 5.42 d (2.0) | ||||
| 13 | 1.16 s | 32.7 | 1.21 s | 32.1 | 1.31 s | 33.4 |
| 14 | 1.17 s | 27.0 | 1.04 s | 30.0 | 1.03 s | 31.8 |
| 15 | 3.61 d (11.4) | 68.6 | 1.10 s | 26.6 | 1.38 s | 25.0 |
| 3.89 d (11.4) | ||||||
8.1.2. Precapnellane Sesquiterpene
8.1.3. Bicyclogermacrane Sesquiterpenes
8.1.4. Germacrane Sesquiterpene
8.1.5. Farnesane Sesquiterpenes
8.1.6. Guaiane Sesquiterpene
8.2. Diterpenes
8.3. Steroids
8.4. Lipid
9. Progress on the Chemical Synthesis of Sesquiterpenes from Soft Corals of the Genus Capnella
9.1. Capnellane Sesquiterpenes
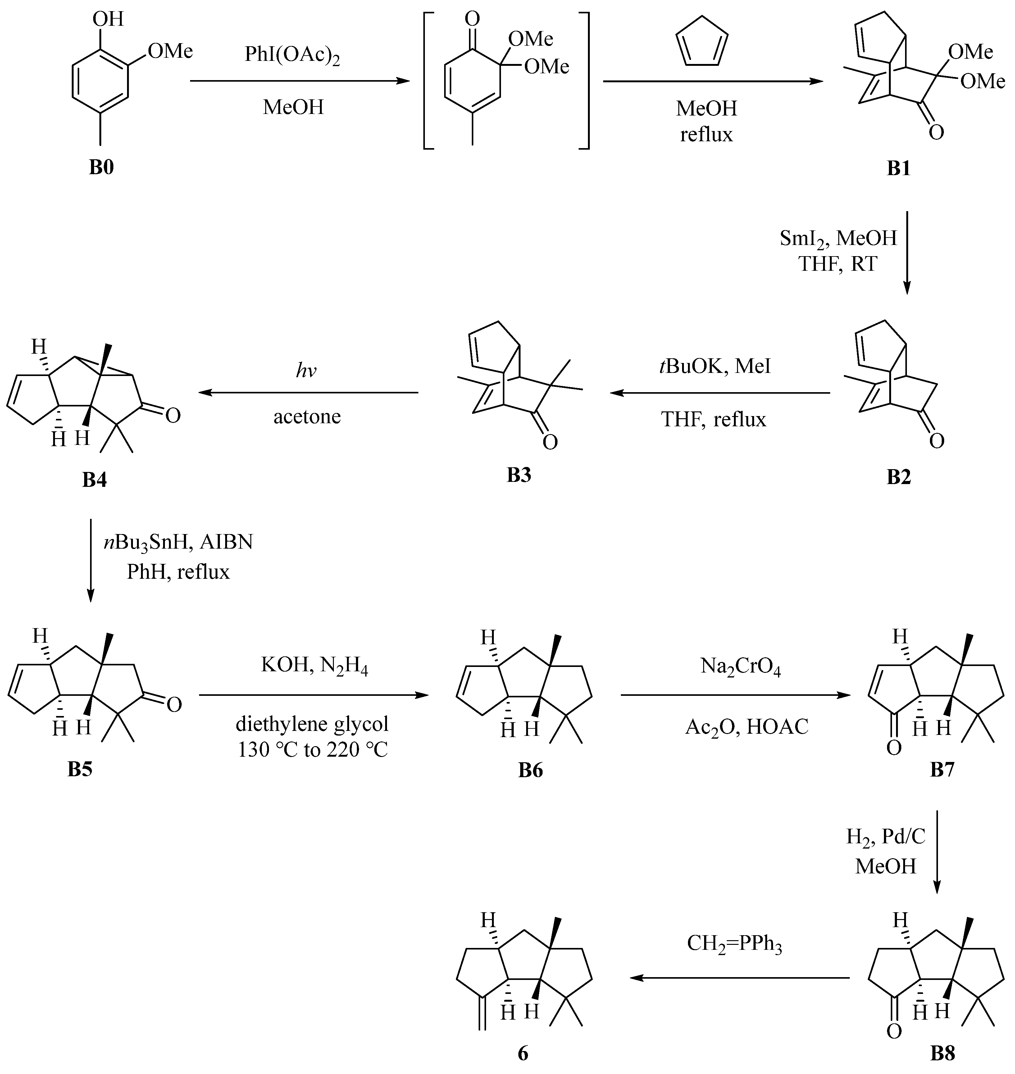
9.1.1. Δ9(12)-Capnellene (6)
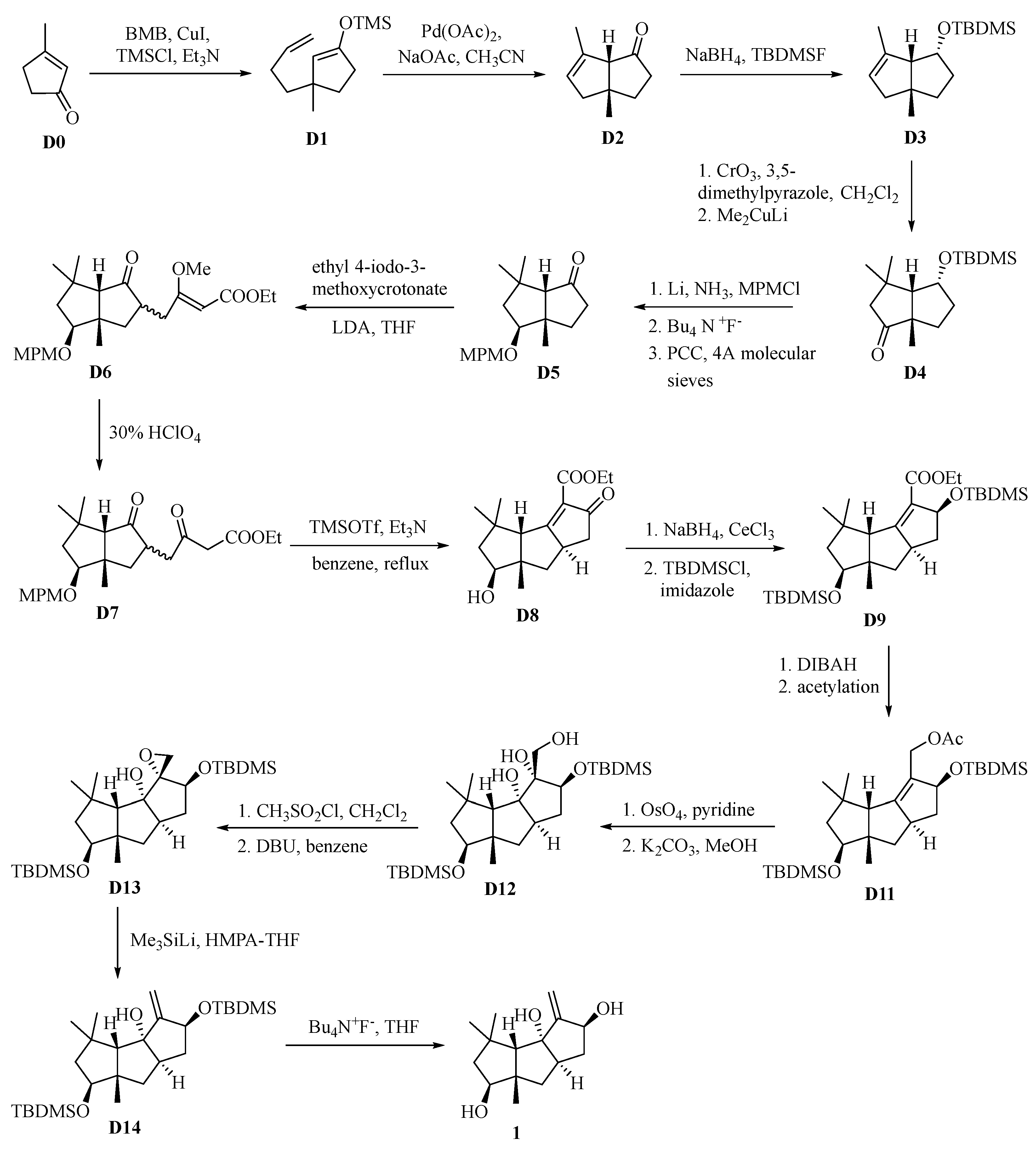
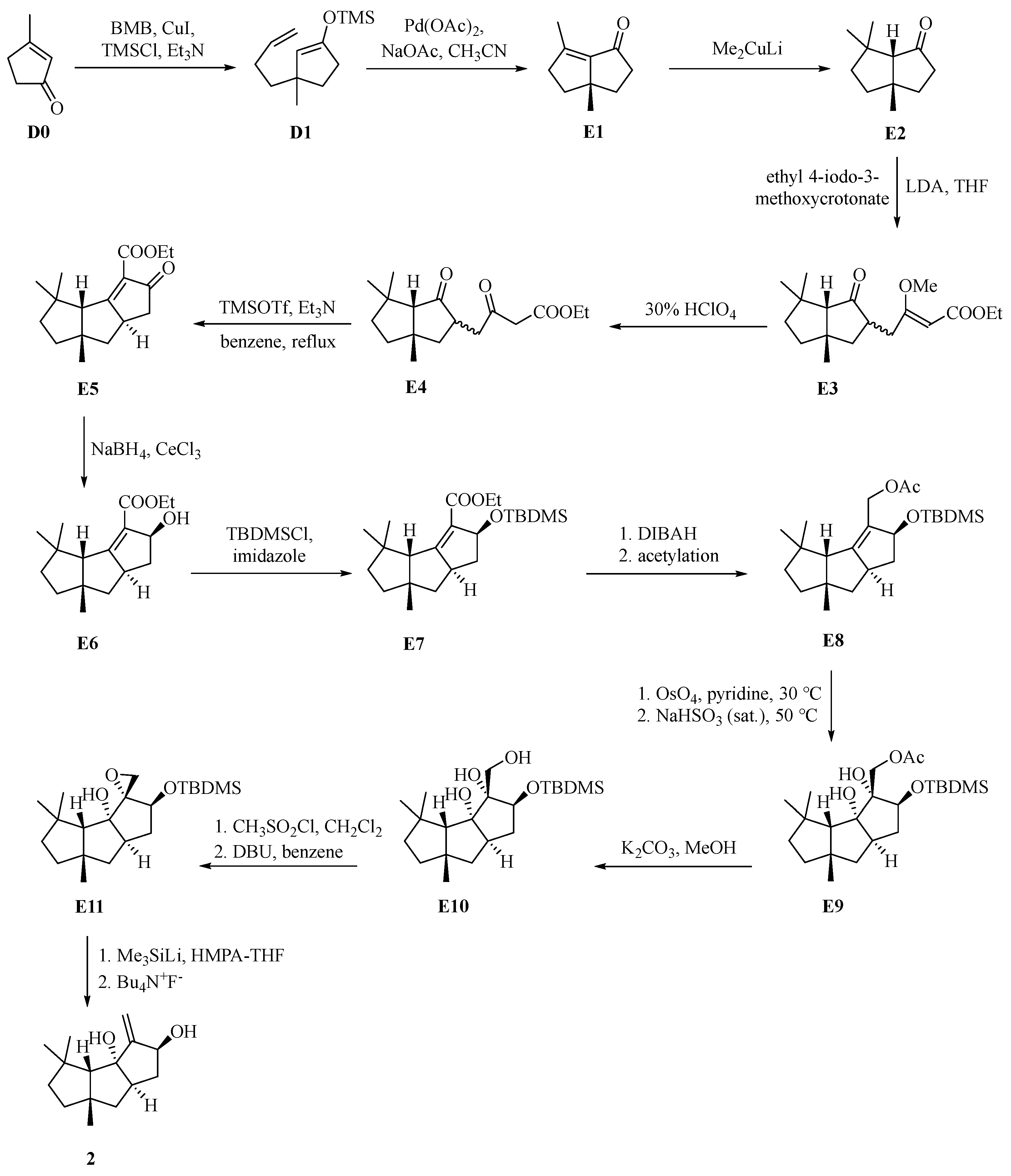
9.1.2. Δ9(12)-Capnellene-3β,8β,10α-Triol (1)
9.1.3. Δ9(12)-Capnellene-8β,10α-Diol (2) and Its 8-Epimer Δ9(12)-Capnellene-8α,10α-Diol (70)
9.1.4. Δ9(12)-Capnellene-3β,8β,10α,14-Tetrol (3)
9.2. Precapnellane Sesquiterpene
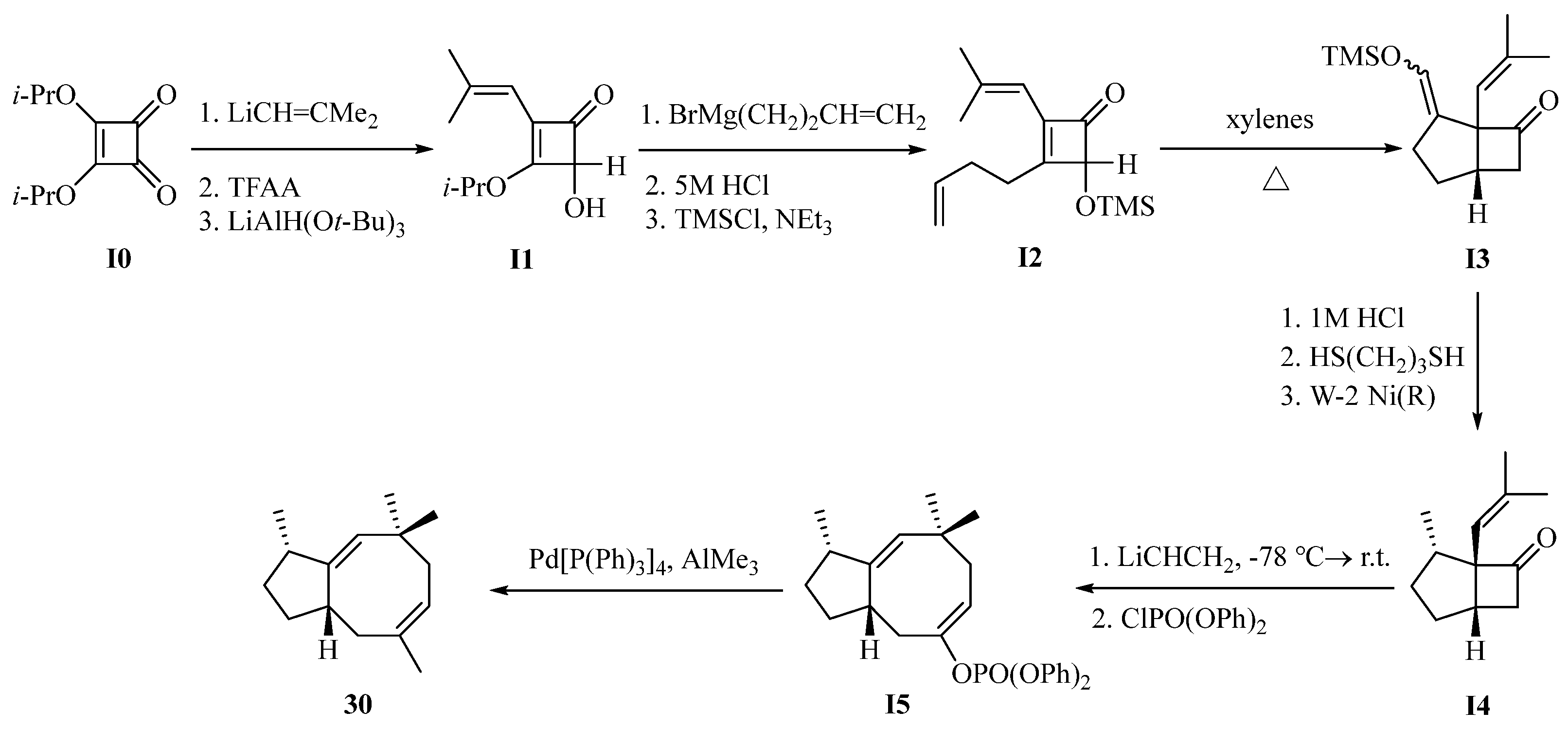
9.2.1. Precapnelladiene (30)
9.2.2. Epiprecapnelladiene (71)
9.3. Guaiane Sesquiterpene
Oxyfungiformin (44)
10. Conclusions
Author Contributions
Funding
Institutional Review Board Statement
Data Availability Statement
Conflicts of Interest
References
- Carroll, A.R.; Copp, B.R.; Grkovic, T.; Keyzers, R.A.; Prinsep, M.R. Marine natural products. Nat. Prod. Rep. 2024, 41, 162–207. [Google Scholar] [CrossRef] [PubMed]
- Savić, M.P.; Sakač, M.N.; Kuzminac, I.Z.; Ajduković, J.J. Structural diversity of bioactive steroid compounds isolated from soft corals in the period 2015–2020. J. Steroid Biochem. 2022, 218, 106061. [Google Scholar] [CrossRef]
- Nurrachma, M.Y.; Sakaraga, D.; Nugraha, A.Y.; Rahmawati, S.I.; Bayu, A.; Sukmarini, L.; Atikana, A.; Prasetyoputri, A.; Izzati, F.; Warsito, M.F.; et al. Cembranoids of soft corals: Recent updates and their biological activities. Nat. Prod. Bioprospect. 2021, 11, 243–306. [Google Scholar] [CrossRef]
- Sarma, N.S.; Krishna, M.S.; Pasha, S.G.; Rao, T.S.P.; Venkateswarlu, Y.; Parameswaran, P.S. Marine metabolites: The sterols of soft coral. Chem. Rev. 2009, 109, 2803–2828. [Google Scholar] [CrossRef]
- Liang, L.-F.; Guo, Y.-W. Terpenes from the soft corals of the genus Sarcophyton: Chemistry and biological activities. Chem. Biodivers. 2013, 10, 2161–2196. [Google Scholar] [CrossRef]
- Zubair, M.S.; Al-Footy, K.O.; Ayyad, S.-E.N.; Al-Lihaibi, S.S.; Alarif, W.M. A review of steroids from Sarcophyton species. Nat. Prod. Res. 2016, 30, 869–879. [Google Scholar] [CrossRef]
- Elkhawas, Y.A.; Elissawy, A.M.; Elnaggar, M.S.; Mostafa, N.M.; Al-Sayed, E.; Bishr, M.M.; Singab, A.N.B.; Salama, O.M. Chemical diversity in species belonging to soft coral genus Sacrophyton and its impact on biological activity: A review. Mar. Drugs 2020, 18, 41. [Google Scholar] [CrossRef]
- Lakshmi, V.; Kumar, R. Metabolites from Sinularia species. Nat. Prod. Res. 2009, 23, 801–850. [Google Scholar] [CrossRef]
- Chen, W.-T.; Li, Y.; Guo, Y.-W. Terpenoids of Sinularia soft corals: Chemistry and bioactivity. Acta Pharm. Sin. B 2012, 2, 227–237. [Google Scholar] [CrossRef]
- Liang, L.-F.; Li, Y.-F.; Liu, H.-L.; Guo, Y.-W. Chemistry and bioactivity of secondary metabolites from the soft corals of the genus Sinularia: Research advances. J. Int. Pharm. Res. 2013, 40, 643–649. [Google Scholar]
- Yan, X.; Liu, J.; Leng, X.; Ouyang, H. Chemical diversity and biological activity of secondary metabolites from soft coral genus Sinularia since 2013. Mar. Drugs 2021, 19, 335. [Google Scholar] [CrossRef] [PubMed]
- Rodrigues, I.G.; Miguel, M.G.; Mnif, W. A brief review on new naturally occurring cembranoid diterpene derivatives from the soft corals of the genera Sarcophyton, Sinularia, and Lobophytum since 2016. Molecules 2019, 24, 781. [Google Scholar] [CrossRef]
- Anjaneyulul, A.S.R.; Rao, G.V. The chemical constituents of the soft coral species of the genus Lobophytum (Alcyoniidae): A review. Nat. Prod. Sci. 1995, 1, 70–85. [Google Scholar]
- Du, Y.-Q.; Liang, L.-F.; Guo, Y.-W. Cladiella octocorals: Enormous sources of secondary metabolites with diverse structural and biological properties. Chem. Biodivers. 2023, 20, e202201065. [Google Scholar] [CrossRef] [PubMed]
- Yan, X.-Y.; Zhang, L.; Yang, Q.-B.; Ge, Z.-Y.; Liang, L.-F.; Guo, Y.-W. Genus Litophyton: A hidden treasure trove of structurally unique and diversely bioactive secondary metabolites. Mar. Drugs 2023, 21, 523. [Google Scholar] [CrossRef] [PubMed]
- Abdel-Lateff, A.; Alarif, W.M.; Alburae, N.A.; Algandaby, M.M. Alcyonium octocorals: Potential source of diverse bioactive terpenoids. Molecules 2019, 24, 1370. [Google Scholar] [CrossRef]
- Chen, Y.-H.; Chang, Y.-C.; Chen, Y.-H.; Zheng, L.-G.; Huang, P.-C.; Huynh, T.-H.; Peng, B.-R.; Chen, Y.-Y.; Wu, Y.-J.; Fang, L.-S.; et al. Natural products from octocorals of the genus Dendronephthya (family Nephtheidae). Molecules 2020, 25, 5957. [Google Scholar] [CrossRef]
- Ng, S.-Y.; Phan, C.-S.; Ishii, T.; Kamada, T.; Hamada, T.; Vairappan, C.S. Terpenoids from marine soft coral of the genus Xenia in 1977 to 2019. Molecules 2020, 25, 5386. [Google Scholar] [CrossRef]
- Wu, Y.-J.; Neoh, C.-A.; Tsai, Y.-C.; Lo, Y.-H.; Wu, Y.-C.; Wen, Z.-H.; Liaw, C.-C.; Sung, P.-J. Natural products from octocorals of the genus Verrucella (Milne Edwards & Haime, 1857). Mini-Rev. Org. Chem. 2022, 19, 686–694. [Google Scholar] [CrossRef]
- Elshamy, A.I.; Nassar, M.I.; Mohamed, T.A.; Hegazy, M.-E.F. Chemical and biological profile of Cespitularia species: A mini review. J. Adv. Res. 2016, 7, 209–224. [Google Scholar] [CrossRef]
- Wu, Q.; Sun, J.; Chen, J.; Zhang, H.; Guo, Y.-W.; Wang, H. Terpenoids from marine soft coral of the genus Lemnalia: Chemistry and biological activities. Mar. Drugs 2018, 16, 320. [Google Scholar] [CrossRef]
- Zhu, S.-H.; Chang, Y.-M.; Li, S.-W.; Su, M.-Z.; Yao, L.-G.; Liang, L.-F.; Wang, H.; Guo, Y.-W. Exploring the chemical diversity of sesquiterpenes from the rarely studied south China sea soft coral Sinularia tumulosa assisted by molecular networking strategy. Phytochemistry 2024, 222, 114110. [Google Scholar] [CrossRef] [PubMed]
- Mi, Y.; Yang, Y.; Tang, X.; Han, X.; Li, G. Sarcocinerenoids A—J, eight rare capnosane-type and two new cage-type cembranoids with promoting angiogenesis activity from the South China Sea soft coral Sarcophyton cinereum. Chin. J. Chem. 2024, 42, 815–822. [Google Scholar] [CrossRef]
- Cui, Y.-Y.; Jin, Y.; Sun, R.-N.; Wang, X.; Gao, C.-L.; Cui, X.-Y.; Chen, K.-X.; Sun, Y.-L.; Guo, Y.-W.; Li, J.; et al. The first discovery of marine polyoxygenated cembranolides as potential agents for the treatment of ulcerative colitis. J. Med. Chem. 2024, 67, 12248–12260. [Google Scholar] [CrossRef] [PubMed]
- Wang, K.; Liu, J.; Huang, J.; Leng, X.; Li, T.; Ouyang, H.; Lin, W.; Yan, X.; He, S. Discovery of uncommon terpenoids from the South China Sea soft coral Sinularia scabra. Phytochemistry 2023, 209, 113616. [Google Scholar] [CrossRef] [PubMed]
- Chen, Y.-J.; Chao, C.-H.; Huang, C.-Y.; Hwang, T.-L.; Chang, F.-R.; Dai, C.-F.; Sheu, J.-H. An unprecedented cembranoid with a novel tricyclo[9.3.0.02,12]tetradecane skeleton and related diterpenes from the soft coral Sarcophyton cinereum. Bull. Chem. Soc. Jpn. 2022, 95, 374–379. [Google Scholar] [CrossRef]
- Tai, C.-J.; Zhang, H.-W.; Wang, H.-C.; Chuang, Y.-T.; Chang, H.-W.; Chang, F.-R.; Sung, P.-J.; Sheu, J.-H. Flexibanone, the first cembranoid possessing an α-methylene-δ-lactone linking with a tetrahydronfuran ring by C-3/C-4 single bond, from the soft coral Sinularia flexibilis. Tetrahedron Lett. 2023, 129, 154753. [Google Scholar] [CrossRef]
- Welsch, J.T.; Smalley, T.B.; Matlack, J.K.; Avalon, N.E.; Binning, J.M.; Johnson, M.P.; Allcock, A.L.; Baker, B.J. Tuaimenals B–H, merosesquiterpenes from the Irish deep-sea soft coral Duva florida with bioactivity against cervical cancer cell lines. J. Nat. Prod. 2023, 86, 182–190. [Google Scholar] [CrossRef]
- Bu, Q.; Yang, M.; Yan, X.-Y.; Yao, L.-G.; Guo, Y.-W.; Liang, L.-F. New flexible cembrane-type macrocyclic diterpenes as TNF-α inhibitors from the South China Sea soft coral Sarcophyton mililatensis. Int. J. Biol. Macromol. 2022, 222, 880–886. [Google Scholar] [CrossRef]
- Avalon, N.E.; Nafie, J.; De Marco Verissimo, C.; Warrensford, L.C.; Dietrick, S.G.; Pittman, A.R.; Young, R.M.; Kearns, F.L.; Smalley, T.; Binning, J.M.; et al. Tuaimenal A, a meroterpene from the Irish deep-sea soft coral Duva florida, displays inhibition of the SARS-CoV-2 3CLpro enzyme. J. Nat. Prod. 2022, 85, 1315–1323. [Google Scholar] [CrossRef]
- Marrero, J.; Amador, L.A.; Novitskiy, I.M.; Kutateladze, A.G.; Rodríguez, A.D. Kallopterolides A–I, a new subclass of seco-diterpenes isolated from the southwestern Caribbean Sea plume Antillogorgia kallos. Molecules 2024, 29, 2493. [Google Scholar] [CrossRef] [PubMed]
- Serrano, R.; Boyko, Y.D.; Hernandez, L.W.; Lotuzas, A.; Sarlah, D. Total syntheses of scabrolide A and yonarolide. J. Am. Chem. Soc. 2023, 145, 8805–8809. [Google Scholar] [CrossRef] [PubMed]
- Zhang, Y.-P.; Du, S.; Ma, Y.; Zhan, W.; Chen, W.; Yang, X.; Zhang, H. Structure-unit-based total synthesis of (−)-sinulochmodin C. Angew. Chem. Int. Ed. 2023, 63, e202315481. [Google Scholar] [CrossRef]
- Bu, Q.; Yang, M.; Yan, X.-Y.; Li, S.-W.; Ge, Z.-Y.; Zhang, L.; Yao, L.-G.; Guo, Y.-W.; Liang, L.-F. Mililatensols A–C, new records of sarsolenane and capnosane diterpenes from soft coral Sarcophyton mililatensis. Mar. Drugs 2022, 20, 566. [Google Scholar] [CrossRef]
- Zhang, L.; Yang, M.; Chen, Z.-H.; Ge, Z.-Y.; Li, S.-W.; Yan, X.-Y.; Yao, L.-G.; Liang, L.-F.; Guo, Y.-W. Cembrane diterpenes possessing nonaromatic oxacycles from the Hainan soft coral Sarcophyton mililatensis. Int. J. Mol. Sci. 2023, 24, 1979. [Google Scholar] [CrossRef]
- Yang, M.; Liang, L.-F.; Li, H.; Tang, W.; Guo, Y.-W. A new 5α,8α-epidioxysterol with immunosuppressive activity from the South China Sea soft coral Sinularia sp. Nat. Prod. Res. 2020, 34, 1814–1819. [Google Scholar] [CrossRef] [PubMed]
- Yang, F.; Li, S.-W.; Zhang, J.; Liang, L.-F.; Lu, Y.-H.; Guo, Y.-W. Uncommon nornardosinane, seconeolemnane and related sesquiterpenoids from Xisha soft coral Litophyton nigrum. Bioorg. Chem. 2020, 96, 103636. [Google Scholar] [CrossRef]
- Zhang, Q.; Liang, L.-F.; Miao, Z.-H.; Wu, B.; Guo, Y.-W. Cytotoxic polyhydroxylated steroids from the South China Sea soft coral Lobophytum sp. Steroids 2019, 141, 76–80. [Google Scholar] [CrossRef]
- Yang, Q.-B.; Wu, Q.; Chen, J.-K.; Liang, L.-F. The soft coral Sarcophyton trocheliophorum: A warehouse of terpenoids with structural and pharmacological diversity. Mar. Drugs 2023, 21, 30. [Google Scholar] [CrossRef]
- Xu, M.-J.; Zhong, L.-J.; Chen, J.-K.; Bu, Q.; Liang, L.-F. Secondary metabolites from marine sponges of the genus Oceanapia: Chemistry and biological activities. Mar. Drugs 2022, 20, 144. [Google Scholar] [CrossRef]
- Yang, Q.-B.; Liang, L.-F. Spongia sponges: Unabated sources of novel secondary metabolites. Mar. Drugs 2024, 22, 213. [Google Scholar] [CrossRef]
- Hu, J.; Yang, B.; Lin, X.; Zhou, X.; Yang, X.; Long, L.; Liu, Y. Chemical and biological studies of soft corals of the Nephtheidae family. Chem. Biodivers. 2011, 8, 1011–1032. [Google Scholar] [CrossRef] [PubMed]
- McFadden, C.S.; van Ofwegen, L.P.; Quattrini, A.M. Revisionary systematics of Octocorallia (Cnidaria: Anthozoa) guided by phylogenomics. Bull. Soc. Syst. Biol. 2022, 1, 8735. [Google Scholar] [CrossRef]
- Lai, K.-H.; Fan, Y.-C.; Peng, B.-R.; Wen, Z.-H.; Chung, H.-M. Capnellenes from Capnella imbricata: Deciphering their anti-inflammatory-associated chemical features. Pharmaceuticals 2023, 16, 916. [Google Scholar] [CrossRef] [PubMed]
- Hooper, G.J.; Davies-Coleman, M.T. New metabolites from the South African soft coral Capnella thyrsoidea. Tetrahedron 1995, 51, 9973–9984. [Google Scholar] [CrossRef]
- Cheng, T.-Y.; Yang, C.-J.; Chen, P.-J.; Chen, Y.-L.; Peng, B.-R.; Kung, T.-A.; Wen, Z.-H.; Lai, K.-H.; Chung, H.-M. Capnesterones A and B, new steroids isolated from the soft coral Capnella imbricata. Phytochem. Lett. 2024, 61, 115–119. [Google Scholar] [CrossRef]
- Rahelivao, M.P.; Lübken, T.; Gruner, M.; Kataeva, O.; Ralambondrahety, R.; Andriamanantoanina, H.; Checinski, M.P.; Bauer, I.; Knölker, H.-J. Isolation and structure elucidation of natural products of three soft corals and a sponge from the coast of Madagascar. Org. Biomol. Chem. 2017, 15, 2593–2608. [Google Scholar] [CrossRef]
- Morris, L.A.; Jaspars, M.; Adamson, K.; Woods, S.; Wallace, H.M. The capnellenes revisited: New structures and new biological activity. Tetrahedron 1998, 54, 12953–12958. [Google Scholar] [CrossRef]
- Phan, C.-S.; Vairappan, C.S. Capgermacrenes D-G, new sesquiterpenoids from a Bornean soft coral, Capnella imbricata. Nat. Prod. Res. 2017, 31, 742–748. [Google Scholar] [CrossRef]
- Wright, A.D.; Goclik, E.; König, G.M. Oxygenated analogues of gorgosterol and ergosterol from the soft coral Capnella lacertiliensis. J. Nat. Prod. 2003, 66, 157–160. [Google Scholar] [CrossRef]
- Chang, C.-H.; Wen, Z.-H.; Wang, S.-K.; Duh, C.-Y. Capnellenes from the Formosan soft coral Capnella imbricata. J. Nat. Prod. 2008, 71, 619–621. [Google Scholar] [CrossRef] [PubMed]
- Kaisin, M.; Sheikh, Y.M.; Durham, L.J.; Djerassi, C.; Tursch, B.; Daloze, D.; Braekman, J.C.; Losman, D.; Karlsson, R. Capnellane—A new tricyclic sesquiterpene skeleton from the soft coral Capnella imbricata. Tetrahedron Lett. 1974, 15, 2239–2242. [Google Scholar] [CrossRef]
- Pattenden, G.; Teague, S.J. Total synthesis of Δ9(12)-capnellene-8α,10α-diol. Tetrahedron Lett. 1982, 23, 5471–5474. [Google Scholar] [CrossRef]
- Shibasaki, M.; Mase, T.; Ikegami, S. The first total syntheses of Δ9(12)-capnellene-8β,10α-diol and Δ9(12)-capnellene-3β,8β,10α-triol. J. Am. Chem. Soc. 1986, 108, 2090–2091. [Google Scholar] [CrossRef]
- Lemière, G.; Gandon, V.; Cariou, K.; Hours, A.; Fukuyama, T.; Dhimane, A.-L.; Fensterbank, L.; Malacria, M. Generation and trapping of cyclopentenylidene gold species: Four pathways to polycyclic compounds. J. Am. Chem. Soc. 2009, 131, 2993–3006. [Google Scholar] [CrossRef] [PubMed]
- Shen, S.-J.; Li, W.-D.Z. Formal homoiodo allylsilane annulations: Dual total syntheses of (±)-hirsutene and (±)-capnellene. J. Org. Chem. 2013, 78, 7112–7120. [Google Scholar] [CrossRef]
- Karlsson, R. The structure and absolute configuration of Δ9(12)-capnellene-3β,8β,10α-triol. Acta Crystallogr. Sect. B 1977, 33, 1143–1147. [Google Scholar] [CrossRef]
- Sheikh, Y.M.; Singy, G.; Kaisin, M.; Eggert, H.; Djerassi, C.; Tursch, B.; Daloze, D.; Braekman, J.C. Terpenoids—LXXI: Chemical studies of marine invertebrates—XIV. Four representatives of a novel sesquiterpene class—The capnellane skeleton. Tetrahedron 1976, 32, 1171–1178. [Google Scholar] [CrossRef]
- Jean, Y.-H.; Chen, W.-F.; Sung, C.-S.; Duh, C.-Y.; Huang, S.-Y.; Lin, C.-S.; Tai, M.-H.; Tzeng, S.-F.; Wen, Z.-H. Capnellene, a natural marine compound derived from soft coral, attenuates chronic constriction injury-induced neuropathic pain in rats. Br. J. Pharmacol. 2009, 158, 713–725. [Google Scholar] [CrossRef]
- Song, Y.-C.; Wu, B.-J.; Chiu, C.-C.; Chen, C.-L.; Zhou, J.-Q.; Liang, S.-R.; Duh, C.-Y.; Sung, P.-J.; Wen, Z.-H.; Wu, C.-Y. Coral-derived natural marine compound GB9 impairs vascular development in zebrafish. Int. J. Mol. Sci. 2017, 18, 1696. [Google Scholar] [CrossRef]
- Shen, Y.-C.; Tzeng, G.-L.; Kuo, Y.-H.; Khalil, A.T. Cytotoxic activity of capnellene-8β,10α-diol derivatives from a Taiwanese soft coral Capnella sp. J. Chin. Chem. Soc. 2008, 55, 828–833. [Google Scholar] [CrossRef]
- Wu, I.T.; Fan, Y.-C.; Lin, G.-Z.; Wang, Y.-L.; Hwang, T.-L.; Lai, K.-H.; Chung, H.-M. A new capnellene skeleton from the octocoral Capnella imbricata (Quoy & Gaimard, 1833). J. Mol. Struct. 2023, 1271, 133995. [Google Scholar] [CrossRef]
- Sheikh, Y.M.; Djerassi, C.; Braekman, J.C.; Daloze, D.; Kaisin, M.; Tursch, B.; Karlsson, R. Terpenoids—LXXII: Chemical studies of marine invertebrates—XXVI: Δ9(12)-capnellene-3β,8β,10α,14-tetrol, a novel polyoxygenated sesquiterpene from the alcyonarian Capnella imbricata. Tetrahedron 1977, 33, 2115–2117. [Google Scholar] [CrossRef]
- Ayanoglu, E.; Gebreyesus, T.; Beechan, C.M.; Djerassi, C.; Kaisin, M. Terpenoids LXXV. Δ9(12)-capnellene, a new sesquiterpene hydrocarbon from the soft coral Capnella imbricata. Tetrahedron Lett. 1978, 19, 1671–1674. [Google Scholar] [CrossRef]
- Kaisin, M.; Tursch, B.; Declercq, J.P.; Germain, G.; van Meerssche, M. Chemical studies of marine invertebrates. XL. Δ9(12)-Capnellene-2β,5α,8β,10α-tetrol, a new sesquiterpene alcohol from the soft coral Capnella imbricata. Bull. Soc. Chim. Belg. 1979, 88, 253–258. [Google Scholar] [CrossRef]
- Kaisin, M.; Braekman, J.C.; Daloze, D.; Tursch, B. Novel acetoxycapnellenes from the alcyonacean Capnella imbricata. Tetrahedron 1985, 41, 1067–1072. [Google Scholar] [CrossRef]
- Li, R.; Zhao, J.; Long, K.; Fang, Z.; Zhang, M. Studies on chemical constituents of the Chinese soft corals. Part 13. Isolation and identification of a new sesquiterpene compound from Capnella imbricata. Zhongshan Daxue Xuebao Ziran Kexueban 1985, 24, 50–55. [Google Scholar]
- Li, R.; Zhao, J.; Long, K.; Fang, Z.; Zhang, M. Studies on chemical constituents of the Chinese soft corals. A new tetrahydroxy tricyclic sesquiterpene alcohol from the soft coral Capnella imbricata. Zhongshan Daxue Xuebao Ziran Kexue Ban 1985, 24, 17–21. [Google Scholar]
- Ayanoglu, E.; Gebreyesus, T.; Beechan, C.M.; Djerassi, C. Terpenoids—LXXVI: Precapnelladiene, a possible biosynthetic precursor of the capnellane skeleton. Tetrahedron 1979, 35, 1035–1039. [Google Scholar] [CrossRef]
- Phan, C.-S.; Ng, S.-Y.; Kim, E.-A.; Jeon, Y.-J.; Palaniveloo, K.; Vairappan, C.S. Capgermacrenes A and B, bioactive secondary metabolites from a Bornean soft coral, Capnella sp. Mar. Drugs 2015, 13, 3103–3115. [Google Scholar] [CrossRef]
- Phan, C.-S.; Kamada, T.; Ishii, T.; Hamada, T.; Vairappan, C.S. Cytotoxic sesquiterpenoids from soft coral Capnella imbricata. Nat. Prod. Commun. 2019, 14, 1934578X19857494. [Google Scholar] [CrossRef]
- Ishii, T.; Phan, C.-S.; Kamada, T.; Vairappan, C.S. Capgermacrene C, a new sesquiterpenoid from a Bornean soft coral, Capnella sp. Nat. Prod. Commun. 2016, 11, 1065–1066. [Google Scholar] [CrossRef] [PubMed]
- Maquestiau, A.; Van Haverbeke, Y.; Flammang, R.; Mispreuve, H.; Kaisin, M.; Braekman, J.C.; Daloze, D.; Tursch, B. Study of complex marine sterol mixtures by mass-analyzed ion kinetic energy spectrometry. Steroids 1978, 31, 31–48. [Google Scholar] [CrossRef]
- Blackman, A.J.; Heaton, A.; Skelton, B.W.; White, A.H. Pregnane derivatives from two soft corals of the genus Capnella. Aust. J. Chem. 1985, 38, 565–573. [Google Scholar] [CrossRef]
- Musyoka, T.M.; Kanzi, A.M.; Lobb, K.A.; Tastan Bishop, Ö. Structure based docking and molecular dynamic studies of Plasmodial cysteine proteases against a South African natural compound and its analogs. Sci. Rep. 2016, 6, 23690. [Google Scholar] [CrossRef] [PubMed]
- Tsai, Z.-Z.; Hsu, C.-K.; Chen, P.-J.; Chen, Y.-L.; Chien, S.-Y.; Wen, Z.-H.; Sung, P.-J.; Lai, K.-H.; Chung, H.-M. A new sterol-related metabolite from the soft coral Capnella imbricata. Rec. Nat. Prod. 2024, 18, 357–362. [Google Scholar] [CrossRef]
- Grote, D.; Hänel, F.; Dahse, H.-M.; Seifert, K. Capnellenes from the soft coral Dendronephthya rubeola. Chem. Biodivers. 2008, 5, 1683–1693. [Google Scholar] [CrossRef] [PubMed]
- Zhuang, P.-Y.; Zhang, G.-J.; Wang, X.-J.; Zhang, Y.; Yu, S.-S.; Ma, S.-G.; Liu, Y.-B.; Qu, J.; Li, Y.; Chen, N.-H. Novel sesquiterpenoid glycosides and sesquiterpenes from the roots of Illicium henryi. Planta Med. 2013, 79, 1453–1460. [Google Scholar] [CrossRef]
- Zhang, H.-J.; Tan, G.T.; Santarsiero, B.D.; Mesecar, A.D.; Hung, N.V.; Cuong, N.M.; Doel Soejarto, D.; Pezzuto, J.M.; Fong, H.H.S. New sesquiterpenes from Litsea verticillata. J. Nat. Prod. 2003, 66, 609–615. [Google Scholar] [CrossRef]
- Xu, J.; Ni, G.; Yang, S.; Yue, J. Dysoxylumasins A–F: Six new limonoids from Dysoxylum mollissimum Bl. Chin. J. Chem. 2013, 31, 72–78. [Google Scholar] [CrossRef]
- Ninh, B.H.; Dung, D.T.; Tai, B.H.; Yen, P.H.; Nhiem, N.X.; Hien, T.T.T.; Trang, D.T.; Tuyen, N.V.; Anh, L.T.; Hoai, N.T.; et al. New isopropyl chromone and flavanone glucoside compounds from the leaves of Syzygium cerasiforme (Blume) Merr. & L.M.Perry and their inhibition of nitric oxide production. Chem. Biodivers. 2023, 20, e202201048. [Google Scholar] [CrossRef]
- Abdel-Lateff, A.; Alarif, W.M.; Ayyad, S.-E.N.; Al-Lihaibi, S.S.; Basaif, S.A. New cytotoxic isoprenoid derivatives from the Red Sea soft coral Sarcophyton glaucum. Nat. Prod. Res. 2015, 29, 24–30. [Google Scholar] [CrossRef] [PubMed]
- Al-Footy, K.O.; Alarif, W.M.; Asiri, F.; Aly, M.M.; Ayyad, S.-E.N. Rare pyrane-based cembranoids from the Red Sea soft coral Sarcophyton trocheliophorum as potential antimicrobial–antitumor agents. Med. Chem. Res. 2015, 24, 505–512. [Google Scholar] [CrossRef]
- Althagbi, H.I.; Budiyanto, F.; Abdel-Lateff, A.; Al-Footy, K.O.; Bawakid, N.O.; Ghandourah, M.A.; Alfaifi, M.Y.; Elbehairi, S.E.I.; Alarif, W.M. Antiproliferative isoprenoid derivatives from the Red Sea Alcyonacean Xenia umbellata. Molecules 2021, 26, 1311. [Google Scholar] [CrossRef]
- Zhigzhitzhapova, S.V.; Radnaeva, L.D.; Gao, Q.; Chen, S.; Zhang, F. Chemical composition of volatile organic compounds of Artemisia vulgaris L. (Asteraceae) from the Qinghai–Tibet Plateau. Ind. Crops Prod. 2016, 83, 462–469. [Google Scholar] [CrossRef]
- Suleimen, E.M.; Iskakova, Z.B.; Dudkin, R.V.; Gorovoi, P.G. Constituent composition and biological activity of essential oil from Turczaninowia fastigiata. Chem. Nat. Compd. 2018, 54, 597–599. [Google Scholar] [CrossRef]
- Estrella-Parra, E.A.; Nolasco-Ontiveros, E.; Alarcón-Enos, J.; Céspedes-Acuña, C.L.; García-Bores, A.M.; Peñalosa-Castro, I.; Espinosa-González, A.M.; Avila-Acevedo, J.G. Hyptis mociniana (Benth.) Epling aerial parts essential oil: Chemical composition and insecticidal activity against Cydia pomonella and Drosophila melanogaster larvae. J. Essent. Oil Bear. Plants 2021, 24, 786–791. [Google Scholar] [CrossRef]
- Franco, C.D.; Ferreira, O.O.; Cruz, J.N.; Varela, E.L.; de Moraes, Â.A.; Nascimento, L.D.; Cascaes, M.M.; Souza Filho, A.P.; Lima, R.R.; Percário, S.; et al. Phytochemical profile and herbicidal (phytotoxic), antioxidants potential of essential oils from Calycolpus goetheanus (Myrtaceae) specimens, and in silico study. Molecules 2022, 27, 4678. [Google Scholar] [CrossRef]
- Wawrzyniak, R.; Guzowska, M.; Wasiak, W.; Jasiewicz, B.; Bączkiewicz, A.; Buczkowska, K. Seasonal variability of volatile components in Calypogeia integristipula. Molecules 2023, 28, 7276. [Google Scholar] [CrossRef] [PubMed]
- Shaker, K.H.; Müller, M.; Ghani, M.A.; Dahse, H.-M.; Seifert, K. Terpenes from the soft corals Litophyton arboreum and Sarcophyton ehrenbergi. Chem. Biodivers. 2010, 7, 2007–2015. [Google Scholar] [CrossRef] [PubMed]
- Nagashima, F.; Asakawa, Y. Sesqui- and diterpenoids from two Japanese and three European liverworts. Phytochemistry 2001, 56, 347–352. [Google Scholar] [CrossRef] [PubMed]
- Roy, P.K.; Ashimine, R.; Miyazato, H.; Taira, J.; Ueda, K. Endoperoxy and hydroperoxy cadinane-type sesquiterpenoids from an Okinawan soft coral, Sinularia sp. Arch. Pharm. Res. 2016, 39, 778–784. [Google Scholar] [CrossRef] [PubMed]
- Coll, J.C.; Mitchell, S.J.; Stokie, G.J. Studies of Australian soft corals. V—A novel furano-sesquiterpene acid from the soft coral Sinularia gonatodes (Kolonko). Tetrahedron Lett. 1977, 18, 1539–1542. [Google Scholar] [CrossRef]
- Bowden, B.F.; Coll, J.C.; de Silva, E.D.; de Costa, M.S.L.; Djura, P.J.; Mahendran, M.; Tapiolas, D.M. Studies of Australian soft corals. XXXI. Novel furanosesquiterpenes from several sinularian soft corals (Coelenterata, Octocorallia, Alcyonacea). Aust. J. Chem. 1983, 36, 371–376. [Google Scholar] [CrossRef]
- Rajaram, S.; Ramulu, U.; Ramesh, D.; Srikanth, D.; Bhattacharya, P.; Prabhakar, P.; Kalivendi, S.V.; Babu, K.S.; Venkateswarlu, Y.; Navath, S. Anti-cancer evaluation of carboxamides of furano-sesquiterpene carboxylic acids from the soft coral Sinularia kavarattiensis. Bioorg. Med. Chem. Lett. 2013, 23, 6234–6238. [Google Scholar] [CrossRef]
- Rajaram, S.; Ramesh, D.; Ramulu, U.; Anjum, M.; Kumar, P.; Murthy, U.S.N.; Hussain, M.A.; Sastry, G.N.; Venkateswarlu, Y. Chemical examination of the soft coral Sinularia kavarattiensis and evaluation of anti-microbial activity. Indian J. Chem. 2014, 53B, 1086–1090. [Google Scholar]
- Rahelivao, M.P.; Bauer, I.; Lübken, T.; Kataeva, O.; Vehlow, A.; Cordes, N.; Knölker, H.-J. First synthesis, confirmation of stereochemistry, and cytotoxic activity of oxyfungiformin. Eur. J. Org. Chem. 2022, 2022, e202200809. [Google Scholar] [CrossRef]
- Kashman, Y.; Groweiss, A. New diterpenoids from the soft corals Xenia macrospiculata and Xenia obscuronata. J. Org. Chem. 1980, 45, 3814–3824. [Google Scholar] [CrossRef]
- Hooper, G.J.; Davies-Coleman, M.T.; Schleyer, M. New diterpenes from the South African soft coral Eleutherobia aurea. J. Nat. Prod. 1997, 60, 889–893. [Google Scholar] [CrossRef]
- Kaviya, M.; Balasubramanian, B.; Bharathi, K.; Malaisamy, A.; Al-Dhabi, N.A.; Mariadhas, V.A.; Anand, A.V.; Liu, W. Evaluation of nutritional substances and investigation of antioxidant and antimicrobial potentials of Boerhavia diffusa with in silico molecular docking. Molecules 2022, 27, 1280. [Google Scholar] [CrossRef]
- Chen, G.-Y.; Wei, M.-Y.; Tan, N.; Liu, Z.; Yang, R.-Y. 5α-Pregna-1,20-dien-3-one. Acta Crystallogr. Sect. E 2010, 66, o351. [Google Scholar] [CrossRef]
- Liang, L.-F.; Wang, X.-J.; Zhang, H.-Y.; Liu, H.-L.; Li, J.; Lan, L.-F.; Zhang, W.; Guo, Y.-W. Bioactive polyhydroxylated steroids from the Hainan soft coral Sinularia depressa Tixier-Durivault. Bioorg. Med. Chem. Lett. 2013, 23, 1334–1337. [Google Scholar] [CrossRef] [PubMed]
- Zeng, Z.-R.; Zhang, M.-M.; Wang, H.; Li, J.; Guo, Y.-W.; Su, M.-Z. Chemical constituents of Sinularia nanolobata from the South China Sea. Chin. J. Org. Chem. 2022, 42, 891–895. [Google Scholar] [CrossRef]
- Li, J.; Huan, X.-J.; Wu, M.-J.; Chen, Z.-H.; Chen, B.; Miao, Z.-H.; Guo, Y.-W.; Li, X.-W. Chemical constituents from the South China sea soft coral Sinularia humilis. Nat. Prod. Res. 2022, 36, 3324–3330. [Google Scholar] [CrossRef] [PubMed]
- Hawas, U.W.; Abou El-Kassem, L.T.; Fahmy, M.A.; Farghaly, A.A.; Hassan, Z.M. A new pseudoguaiane-type sesquiterpene and potential genotoxicity and antigenotoxicity effect of the soft coral Litophyton arboreum extract. Lett. Org. Chem. 2018, 15, 1060–1064. [Google Scholar] [CrossRef]
- Mohammed, R.; Radwan, M.M.; Ma, G.; Mohamed, T.A.; Seliem, M.A.; Thabet, M.; ElSohly, M.A. Bioactive sterols and sesquiterpenes from the Red Sea soft coral Sinularia terspilli. Med. Chem. Res. 2017, 26, 1647–1652. [Google Scholar] [CrossRef]
- Tsai, T.-C.; Huang, Y.-T.; Chou, S.-K.; Shih, M.-C.; Chiang, C.-Y.; Su, J.-H. Cytotoxic oxygenated steroids from the soft coral Nephthea erecta. Chem. Pharm. Bull. 2016, 64, 1519–1522. [Google Scholar] [CrossRef]
- Yu, S.; Deng, Z.; van Ofwegen, L.; Proksch, P.; Lin, W. 5,8-Epidioxysterols and related derivatives from a Chinese soft coral Sinularia flexibilis. Steroids 2006, 71, 955–959. [Google Scholar] [CrossRef]
- Shan, Z.; Li, P.-l.; Wang, B.; Qu, Y.-l.; Li, G.-q. Studies on chemical constituents of Dendronephthya sp. collected from the South China Sea. Chin. J. Mar. Drugs 2012, 31, 30–33. [Google Scholar] [CrossRef]
- Iguchi, K.; Saitoh, S.; Yamada, Y. Novel 19-oxygenated sterols from the Okinawan soft coral Litophyton viridis. Chem. Pharm. Bull. 1989, 37, 2553–2554. [Google Scholar] [CrossRef]
- Kobayashi, M.; Tomioka, A.; Mitsuhashi, H. Marine sterols. VIII. Isolation and structure of sarcosterol, a new sterol with a Δ17(20)-double bond from the soft coral Sarcophyton glaucum. Steroids 1979, 34, 273–284. [Google Scholar] [CrossRef] [PubMed]
- Shaaban, M.; Shaaban, K.A.; Abd-Alla, H.I.; Hanna, A.G.; Laatsch, H. Dendrophen, a novel glycyrrhetyl amino acid from Dendronephthya hemprichi. Z. Naturforsch. B—J. Chem. Sci. 2011, 66, 425–432. [Google Scholar] [CrossRef]
- Ulubelen, A.; Baytop, T. Hydrocarbons and triterpenes of the leaves of Euonymus latifolius. Phytochemistry 1973, 12, 1824. [Google Scholar] [CrossRef]
- Kowa, T.K.; Jansen, O.; Ledoux, A.; Mamede, L.; Wabo, H.K.; Tchinda, A.T.; Genta-Jouve, G.; Frédérich, M. Bioassay-guided isolation of vilasinin–type limonoids and phenyl alkene from the leaves of Trichilia gilgiana and their antiplasmodial activities. Nat. Prod. Res. 2022, 36, 5039–5047. [Google Scholar] [CrossRef]
- Feng, S.; Zeng, W.; Luo, F.; Zhao, J.; Yang, Z.; Sun, Q. Antibacterial activity of organic acids in aqueous extracts from pine needles (Pinus massoniana Lamb.). Food Sci. Biotechnol. 2010, 19, 35–41. [Google Scholar] [CrossRef]
- Valentão, P.; Trindade, P.; Gomes, D.; Guedes de Pinho, P.; Mouga, T.; Andrade, P.B. Codium tomentosum and Plocamium cartilagineum: Chemistry and antioxidant potential. Food Chem. 2010, 119, 1359–1368. [Google Scholar] [CrossRef]
- Kinney, W.A.; Coghlan, M.J.; Paquette, L.A. General approach to annulated 4-cyclooctenones by aliphatic Claisen rearrangement. Stereospecific total synthesis of (±)-precapnelladiene. J. Am. Chem. Soc. 1985, 107, 7352–7360. [Google Scholar] [CrossRef]
- Little, R.D.; Carroll, G.L. Intramolecular 1,3-diyl trapping reactions: Total synthesis of the marine natural product (d,l)-Δ9(12)-capnellene. Tetrahedron Lett. 1981, 22, 4389–4392. [Google Scholar] [CrossRef]
- Little, R.D.; Carroll, G.L.; Petersen, J.L. Total synthesis of the marine natural product Δ9(12)-capnellene. Reversal of regiochemistry in the intramolecular 1,3-diyl trapping reaction. J. Am. Chem. Soc. 1983, 105, 928–932. [Google Scholar] [CrossRef]
- Stevens, K.E.; Paquette, L.A. Stereocontrolled total synthesis of (±)-Δ9(12)-capnellene. Tetrahedron Lett. 1981, 22, 4393–4396. [Google Scholar] [CrossRef]
- Oppolzer, W.; Bättig, K. Total synthesis of (±)-Δ9(12)-capnellene via iterative intramolecular type-I-“Magnesium-ene” reactions. Tetrahedron Lett. 1982, 23, 4669–4672. [Google Scholar] [CrossRef]
- Mehta, G.; Reddy, D.S.; Murty, A.N. A total synthesis of (±)-Δ9(12)-capnellene. J. Chem. Soc. Chem. Commun. 1983, 824–825. [Google Scholar] [CrossRef]
- Crisp, G.T.; Scott, W.J.; Stille, J.K. Palladium-catalyzed carbonylative coupling of vinyl triflates with organostannanes. A total synthesis of (±)-Δ9(12)-capnellene. J. Am. Chem. Soc. 1984, 106, 7500–7506. [Google Scholar] [CrossRef]
- Liu, H.J.; Kulkarni, M.G. Total synthesis of (±)-Δ9(12)-capnellene. Tetrahedron Lett. 1985, 26, 4847–4850. [Google Scholar] [CrossRef]
- Curran, D.P.; Chen, M.-H. Radical-initiated polyolefinic cyclizations in condensed cyclopentanoid synthesis. Total synthesis of (±)-Δ9(12)-capnellene. Tetrahedron Lett. 1985, 26, 4991–4994. [Google Scholar] [CrossRef]
- Stille, J.R.; Grubbs, R.H. Synthesis of Δ9(12)-capnellene using titanium reagents. J. Am. Chem. Soc. 1986, 108, 855–856. [Google Scholar] [CrossRef]
- Mehta, G.; Murthy, A.N.; Reddy, D.S.; Reddy, A.V. A general approach to linearly fused triquinane natural products. Total syntheses of (±)-hirsutene, (±)-coriolin, and (±)-capnellene. J. Am. Chem. Soc. 1986, 108, 3443–3452. [Google Scholar] [CrossRef]
- Iyoda, M.; Kushida, T.; Kitami, S.; Oda, M. A short and efficient synthesis of capnellene. J. Chem. Soc. Chem. Commun. 1987, 1607–1608. [Google Scholar] [CrossRef]
- Piers, E.; Karunaratne, V. Organotin-based bifunctional reagents: 4-chloro-2-lithio-1-botene and related substances: Methylenecyclopentane annotations. Total synthesis of (±)-Δ9(12)-capnellene. Tetrahedron 1989, 45, 1089–1104. [Google Scholar] [CrossRef]
- Meyers, A.I.; Bienz, S. Asymmetric total synthesis of (+)-Δ9(12)-capnellene. J. Org. Chem. 1990, 55, 791–798. [Google Scholar] [CrossRef]
- Stille, J.R.; Santarsiero, B.D.; Grubbs, R.H. Rearrangement of bicyclo[2.2.1]heptane ring systems by titanocene alkylidene complexes to bicyclo[3.2.0]heptane enol ethers. Total synthesis of (±)-Δ9(12)-capnellene. J. Org. Chem. 1990, 55, 843–862. [Google Scholar] [CrossRef]
- Wang, Y.; Mukherjee, D.; Birney, D.; Houk, K.N. Synthesis and reactions of ester-substituted fulvenes. A new route to Δ9(12)-capnellene. J. Org. Chem. 1990, 55, 4504–4506. [Google Scholar] [CrossRef]
- Sonawane, H.R.; Nanjundiah, B.S.; Shah, V.G.; Kulkarni, D.G.; Ahuja, J.R. Synthesis of naturally-occurring (−)-Δ9(12)-capnellene and its antipode: An application of the photo-induced vinylcyclopropane-cyclopentene rearrangement. Tetrahedron Lett. 1991, 32, 1107–1108. [Google Scholar] [CrossRef]
- Asaoka, M.; Obuchi, K.; Takei, H. An enantioselective route to (−)-Δ9(12)-capnellene employing silyl group directed stereo control. Tetrahedron 1994, 50, 655–660. [Google Scholar] [CrossRef]
- Ohshima, T.; Kagechika, K.; Adachi, M.; Sodeoka, M.; Shibasaki, M. Asymmetric Heck reaction−carbanion capture process. Catalytic asymmetric total synthesis of (−)-Δ9(12)-capnellene. J. Am. Chem. Soc. 1996, 118, 7108–7116. [Google Scholar] [CrossRef]
- Tanaka, K.; Ogasawara, K. Stereocontrolled synthesis of natural (–)-Δ9(12)-capnellene from a (–)-oxodicyclopentadiene. Chem. Commun. 1996, 1839–1840. [Google Scholar] [CrossRef]
- Singh, V.; Prathap, S.; Porinchu, M. A novel, stereospecific total synthesis of (±)-Δ9(12)-capnellene from p-cresol. Tetrahedron Lett. 1997, 38, 2911–2914. [Google Scholar] [CrossRef]
- Singh, V.; Prathap, S.; Porinchu, M. Aromatics to triquinanes: p-cresol to (±)-Δ9(12)-capnellene. J. Org. Chem. 1998, 63, 4011–4017. [Google Scholar] [CrossRef]
- Samajdar, S.; Patra, D.; Ghosh, S. Stereocontrolled approach to highly substituted cyclopentanones. Application in a formal synthesis of Δ9(12)-capnellene. Tetrahedron 1998, 54, 1789–1800. [Google Scholar] [CrossRef]
- Hsu, D.-S.; Chou, Y.-Y.; Tung, Y.-S.; Liao, C.-C. Photochemistry of tricyclo[5.2.2.02,6]undeca-4,10-dien-8-ones: An efficient general route to substituted linear triquinanes from 2-methoxyphenols. Total synthesis of (±)-Δ9(12)-capnellene. Chem. Eur. J. 2010, 16, 3121–3131. [Google Scholar] [CrossRef]
- Kagechika, K.; Shibasaki, M. Asymmetric Heck reaction: A catalytic asymmetric synthesis of the key intermediate for Δ9(12)-capnellene-3β,8β,10α-triol and Δ9(12)-capnellene-3β,8β,10α,14-tetrol. J. Org. Chem. 1991, 56, 4093–4094. [Google Scholar] [CrossRef]
- Kagechika, K.; Ohshima, T.; Shibasaki, M. Asymmetric heck reaction-anion capture process. A catalytic asymmetric synthesis of the key intermediates for the capnellenols. Tetrahedron 1993, 49, 1773–1782. [Google Scholar] [CrossRef]
- Ladlow, M.; Pattenden, G.; Teague, S.J. Synthesis of Δ9(12)-capnellene-8β,10α-diol from soft coral Capnella imbricata. Tetrahedron Lett. 1986, 27, 3279–3280. [Google Scholar] [CrossRef]
- Pattenden, G.; Teague, S.J. Total synthesis of (±)-Δ9(12)-capnellene-8β,10α-diol. J. Chem. Soc. Perkin Trans. 1 1988, 1077–1083. [Google Scholar] [CrossRef]
- Mase, T.; Shibasaki, M. Synthetic studies on capnellol family: An improved synthesis of Δ9(12)-capnellene-3β,8β,10α-triol and the first total synthesis of Δ9(12)-capnellene-3β,8β,10α,14-tetrol. Tetrahedron Lett. 1986, 27, 5245–5248. [Google Scholar] [CrossRef]
- Mehta, G.; Murty, A.N. Total synthesis of the marine natural product (±)-precapnelladiene. J. Chem. Soc. Chem. Commun. 1984, 1058–1060. [Google Scholar] [CrossRef]
- Kinney, W.A.; Coghlan, M.J.; Paquette, L.A. Claisen rearrangement of 6-alkenyl-2-methylenetetrahydropyrans. A new approach to annulated 4-cyclooctenones and a stereospecific synthesis of precapnelladiene. J. Am. Chem. Soc. 1984, 106, 6868–6870. [Google Scholar] [CrossRef]
- Mehta, G.; Murthy, A.N. A general stereocontrolled approach to the 5-8 fused ring system. Application to the total synthesis of the marine natural product (±)-precapnelladiene. J. Org. Chem. 1987, 52, 2875–2881. [Google Scholar] [CrossRef]
- Petasis, N.A.; Patane, M.A. A claisen rearrangement strategy for the three-atom ring expansion of cyclic ketones. A total synthesis of (±) precapnelladiene. Tetrahedron Lett. 1990, 31, 6799–6802. [Google Scholar] [CrossRef]
- Inouye, Y.; Shirai, M.; Michino, T.; Kakisawa, H. Preparation of an 8-membered ring via intramolecular [2+2]photocycloaddition: Formal total synthesis of (±)-precapnelladiene. Bull. Chem. Soc. Jpn. 1993, 66, 324–326. [Google Scholar] [CrossRef]
- Maeda, K.; Inouye, Y. Preparation of (R)-(2-cyclopentenyl)methanol and the first total synthesis of (8R,11R)-precapnelladiene. Bull. Chem. Soc. Jpn. 1994, 67, 2880–2882. [Google Scholar] [CrossRef]
- MacDougall, J.M.; Turnbull, P.; Verma, S.K.; Moore, H.W. Synthesis of highly substituted bicyclo[3.2.0]heptanones from 3-homoallylcyclobutenones. A total synthesis of (±)-precapnelladiene. J. Org. Chem. 1997, 62, 3792–3793. [Google Scholar] [CrossRef]
- MacDougall, J.M.; Santora, V.J.; Verma, S.K.; Turnbull, P.; Hernandez, C.R.; Moore, H.W. Cyclobutenone-based syntheses of polyquinanes and bicyclo[6.3.0]undecanes by tandem anionic oxy-Cope reactions. Total synthesis of (±)-precapnelladiene. J. Org. Chem. 1998, 63, 6905–6913. [Google Scholar] [CrossRef] [PubMed]
- Takenaka, Y.; Ito, H.; Iguchi, K. Enantioselective formal synthesis of (+)-precapnelladiene by chiral copper-catalyzed asymmetric [2+2]-cycloaddition reaction. Tetrahedron 2007, 63, 510–513. [Google Scholar] [CrossRef]
- Birch, A.M.; Pattenden, G. Total synthesis of epi-precapnelladiene. J. Chem. Soc. Chem. Commun. 1980, 1195–1197. [Google Scholar] [CrossRef]
- Birch, A.M.; Pattenden, G. Capnellane sesquiterpenes. Total synthesis of epiprecapnelladiene and Δ8(9)-capnellene. J. Chem. Soc. Perkin Trans. 1983, 1, 1913–1917. [Google Scholar] [CrossRef]
- World List of Octocorallia. Capnella Gray, 1869. World Register of Marine Species. Available online: https://www.marinespecies.org/aphia.php?p=taxdetails&id=146763 (accessed on 30 July 2024).
- Burkhardt, I.; de Rond, T.; Chen, P.Y.-T.; Moore, B.S. Ancient plant-like terpene biosynthesis in corals. Nat. Chem. Biol. 2022, 18, 664–669. [Google Scholar] [CrossRef]


























| No. | Name | Class | Species | Locality | Bioassays | Ref. |
|---|---|---|---|---|---|---|
| 1 | Δ9(12)-capnellene-3β,8β,10α-triol | capnellane sesquiterpene | Capnella imbricata | Leti Island, Indonesia | – 1 | [52] |
| C. imbricata | Leti Island, Indonesia | – 1 | [57] | |||
| C. imbricata | Leti Island, Indonesia | – 1 | [58] | |||
| 2 | Δ9(12)-capnellene-8β,10α-diol | capnellane sesquiterpene | C. imbricata | Leti Island, Indonesia | – 1 | [58] |
| C. imbricata | Lakor Island, Indonesia | – 1 | [58] | |||
| C. imbricata | Mayu Island, Indonesia | cytotoxic against cell lines HL-60, K562, G402, MCF-7, HT115, and A2780 (IC50 51, 0.7, 42–51, 93, 63, and 9.7 μM, respectively) | [48] | |||
| C. imbricata | Green Island, China | significantly reduced the levels of iNOS and COX-2 proteins (1.2 ± 0.1% and 24.8 ± 7.5%, respectively) at a concentration of 10 µM | [51] | |||
| C. imbricata | Green Island, China | anti-neuroinflammatory and anti-nociceptive properties in IFN-γ-stimulated microglial cells and in neuropathic rats, respectively | [59] | |||
| C. imbricata | Green Island, China | impaired vascular development in zebrafish | [60] | |||
| Capnella sp. | Green Island, China | cytotoxic against cell lines Hela and KB (IC50 3.56 and 6.06 μg/mL) | [61] | |||
| C. imbricata | Orchid Island, China | Inactive against elastase release and superoxide generation by human neutrophils at a concentration of 10 μM | [62] | |||
| 3 | Δ9(12)-capnellene-3β,8β,10α,14-tetrol | capnellane sesquiterpene | C. imbricata | Leti Island, Indonesia | – 1 | [63] |
| 4 | Δ9(12)-capnellene-5α,8β,10α-triol | capnellane sesquiterpene | C. imbricata | Lakor Island, Indonesia | – 1 | [58] |
| C. imbricata | Orchid Island, China | Inactive against elastase release and superoxide generation by human neutrophils at a concentration of 10 μM | [62] | |||
| C. imbricata | Orchid Island, China | significant inhibition against COX-2 protein expression at a concentration of 10 µM | [44] | |||
| 5 | Δ9(12)-capnellene-2β,8β,10α-triol | capnellane sesquiterpene | C. imbricata | Lakor Island, Indonesia | – 1 | [58] |
| C. imbricata | Orchid Island, China | no obvious inhibition against COX-2 and iNOS expression at a concentration of 10 µM | [44] | |||
| 6 | Δ9(12)-capnellene | capnellane sesquiterpene | C. imbricata | Indonesia | – 1 | [64] |
| 7 | Δ9(12)-capnellene-2β,5α,8β,10α-tetrol | capnellane sesquiterpene | C. imbricata | Laing Island, Papua New Guinea | – 1 | [65] |
| 8 | 8β-acetoxy-Δ9(12)-capnellene-10α-ol | capnellane sesquiterpene | C. imbricata | Laing Island, Papua New Guinea | – 1 | [66] |
| 9 | 3β-acetoxy-Δ9(12)-capnellene-8β,10α-diol | capnellane sesquiterpene | C. imbricata | Laing Island, Papua New Guinea | – 1 | [66] |
| 10 | 3β,8β-diacetoxy-Δ9(12)-capnellene-10α-ol | capnellane sesquiterpene | C. imbricata | Laing Island, Papua New Guinea | – 1 | [66] |
| 11 | 5α-acetoxy-Δ9(12)-capnellene-8β,10α-diol | capnellane sesquiterpene | C. imbricata | Laing Island, Papua New Guinea | – 1 | [66] |
| 12 | 5α,8β-diacetoxy-Δ9(12)-capnellene-10α-ol | capnellane sesquiterpene | C. imbricata | Laing Island, Papua New Guinea | – 1 | [66] |
| 13 | 3β,14-diacetoxy-Δ9(12)-capnellene-8β,10α-diol | capnellane sesquiterpene | C. imbricata | Laing Island, Papua New Guinea | – 1 | [66] |
| 14 | 2β,5α-diacetoxy-Δ9(12)-capnellene-8β,10α-diol | capnellane sesquiterpene | C. imbricata | Laing Island, Papua New Guinea | – 1 | [66] |
| 15 | 2β,5α,8β-triacetoxy-Δ9(12)-capnellene-10α-ol | capnellane sesquiterpene | C. imbricata | Laing Island, Papua New Guinea | – 1 | [66] |
| 16 | Δ9(12)-capnellene-8α,10β-diol | capnellane sesquiterpene | C. imbricata | Xisha Islands, China | – 1 | [67] |
| 17 | Δ9(12)-capnellene-2α,5β,8α,10β-tetrol | capnellane sesquiterpene | C. imbricata | Xisha Islands, China | suppressive action on contracture of the removed ileums of the guinea pig and antitumor effects on EAC at 25 μg/mL with an inhibition rate of 43% | [68] |
| 18 | Δ9(12)-capnellene-8β-ol | capnellane sesquiterpene | C. imbricata | Mayu Island, Indonesia | cytotoxic against cell lines HL-60, K562 and A2780 (IC50 68, 4.6 and 6.6 μM, respectively) | [48] |
| C. imbricata | Green Island, China | inactive in the bioassays | [51] | |||
| C. imbricata | Orchid Island, China | no obvious inhibition against COX-2 and iNOS expression at a concentration of 10 µM | [44] | |||
| C. imbricata | Green Island, China | anti-neuroinflammatory and anti-nociceptive properties in IFN-γ-stimulated microglial cells and in neuropathic rats, respectively | [59] | |||
| 19 | 3β-acetoxy-Δ9(12)-capnellene-8β,10α,14β-triol | capnellane sesquiterpene | C. imbricata | Mayu Island, Indonesia | cytotoxic against cell lines HL-60, K562, G402, MCF-7, and A2780 (IC50 713, 24, 52, 1029, and 32 μM, respectively) | [48] |
| 20 | 8α-acetoxy-Δ9(12)-capnellene-10α-ol | capnellane sesquiterpene | C. imbricata | Green Island, China | significantly reduced the levels of iNOS and COX-2 proteins (54.4 ± 12.0% and 62.9 ± 13.7%, respectively) at a concentration of 10 µM | [51] |
| C. imbricata | Orchid Island, China | significant inhibition against iNOS and COX-2 protein expressions at a concentration of 10 µM | [44] | |||
| 21 | Δ9(12)-capnellene-10α-ol-8-one | capnellane sesquiterpene | C. imbricata | Green Island, China | significantly reduced the levels of iNOS protein (34.8 ± 10.2%) at a concentration of 10 µM | [51] |
| 22 | Δ9(12)-capnellene-8β,15-diol | capnellane sesquiterpene | C. imbricata | Green Island, China | inactive in the bioassays | [51] |
| 23 | Δ9(12)-capnellene-8β,10α,13- triol | capnellane sesquiterpene | C. imbricata | Green Island, China | inactive in the bioassays | [51] |
| 24 | Δ9(10)-capnellene-12-ol-8-one | capnellane sesquiterpene | C. imbricata | Green Island, China | inactive in the bioassays | [51] |
| 25 | 8β,10α-diacetoxy-Δ9(12)-capnellene | capnellane sesquiterpene | C. imbricata | Green Island, China | inactive in the bioassays | [51] |
| 26 | 8β-acetoxy-Δ9(12)-capnellene | capnellane sesquiterpene | C. imbricata | Green Island, China | inactive in the bioassays | [51] |
| 27 | Δ9(12)-capnellene-8β,10α,15-triol | capnellane sesquiterpene | C. imbricata | Orchid Island, China | significant inhibitory effects on elastase release and superoxide generation by human neutrophils with inhibition rate of 5.67% and 9.28%, respectively | [62] |
| C. imbricata | Orchid Island, China | no obvious inhibition against COX-2 and iNOS expression at a concentration of 10 µM | [44] | |||
| 28 | Δ9(12)-capnellene-6α,8β-diol | capnellane sesquiterpene | C. imbricata | Orchid Island, China | significant inhibition against COX-2 protein expression (12.57%) at a concentration of 10 µM | [44] |
| 29 | Δ9(12)-capnellene-6α,8β,10α-triol | capnellane sesquiterpene | C. imbricata | Orchid Island, China | remarkable decrease in iNOS level (27.73%) at a concentration of 10 µM | [44] |
| 30 | precapnelladiene | precapnellene sesquiterpene | C. imbricata | Indonesia | – 1 | [69] |
| 31 | capgermacrene A | bicyclogermacrane sesquiterpene | Capnella sp. | Mantanani Island, Malaysia | inhibited the accumulation of the LPS-induced pro-inflammatory IL-1β and NO production by down-regulating the expression of iNOS protein in RAW 264.7 macrophages | [70] |
| C. imbricata | Mantanani Island, Malaysia | cytotoxic against S1T cells (IC50 = 0.79 μg/mL) | [71] | |||
| 32 | capgermacrene B | bicyclogermacrane sesquiterpene | Capnella sp. | Mantanani Island, Malaysia | inactive in the bioassays | [70] |
| C. imbricata | Mantanani Island, Malaysia | cytotoxic against S1T cells (IC50 = 7.79 μg/mL) | [71] | |||
| 33 | capgermacrene C | bicyclogermacrane sesquiterpene | Capnella sp. | Mantanani Island, Malaysia | negligible inhibition against Escherichia coli and Staphylococcus aureus (MIC > 500 μg/mL) | [72] |
| C. imbricata | Mantanani Island, Malaysia | – 1 | [71] | |||
| 34 | capgermacrene D | bicyclogermacrane sesquiterpene | C. imbricata | Mantanani Island, Malaysia | bacteriostatic activity against S. aureus and MRSA | [49] |
| C. imbricata | Mantanani Island, Malaysia | cytotoxic against S1T cells (IC50 = 6.19 μg/mL) | [71] | |||
| 35 | capgermacrene E | bicyclogermacrane sesquiterpene | C. imbricata | Mantanani Island, Malaysia | bacteriostatic activity against S. aureus and MRSA | [49] |
| C. imbricata | Mantanani Island, Malaysia | cytotoxic against S1T cells (IC50 = 4.75 μg/mL) | [71] | |||
| 36 | capgermacrene F | bicyclogermacrane sesquiterpene | C. imbricata | Mantanani Island, Malaysia | bactericidal activity against S. aureus and MRSA | [49] |
| C. imbricata | Mantanani Island, Malaysia | cytotoxic against S1T cells (IC50 = 2.39 μg/mL) | [71] | |||
| 37 | capgermacrene G | bicyclogermacrane sesquiterpene | C. imbricata | Mantanani Island, Malaysia | bactericidal activity against S. aureus and MRSA | [49] |
| C. imbricata | Mantanani Island, Malaysia | cytotoxic against S1T cells (IC50 = 3.97 μg/mL) | [71] | |||
| 38 | litseagermacrane | germacrane sesquiterpene | Capnella sp. | Mantanani Island, Malaysia | inactive in the bioassays | [70] |
| 39 | capgermacrene H | germacrane sesquiterpene | C. imbricata | Mantanani Island, Malaysia | inactive against S1T cells (IC50 > 30.0 μg/mL) | [71] |
| 40 | palustrol | aromadendrane sesquiterpene | Capnella sp. | Mantanani Island, Malaysia | inactive in the bioassays | [70] |
| 41 | 1,4-peroxy-5-muurolene | cadinane sesquiterpene | Capnella sp. | Mantanani Island, Malaysia | negligible inhibition against E. coli and S. aureus (MIC > 500 μg/mL) | [72] |
| 42 | ethyl 5-[(1E,5Z)-2,6 dimthlocta-1,5,7-trienyl]furan-3-carboxylate | farnesane sesquiterpene | Capnella fungiformis | Mahambo, Madagascar | – 1 | [47] |
| 43 | ethyl 5-[(1E,5E)-2,6 dimthlocta-1,5,7-trienyl]furan-3-carboxylate | farnesane sesquiterpene | C. fungiformis | Mahambo, Madagascar | – 1 | [47] |
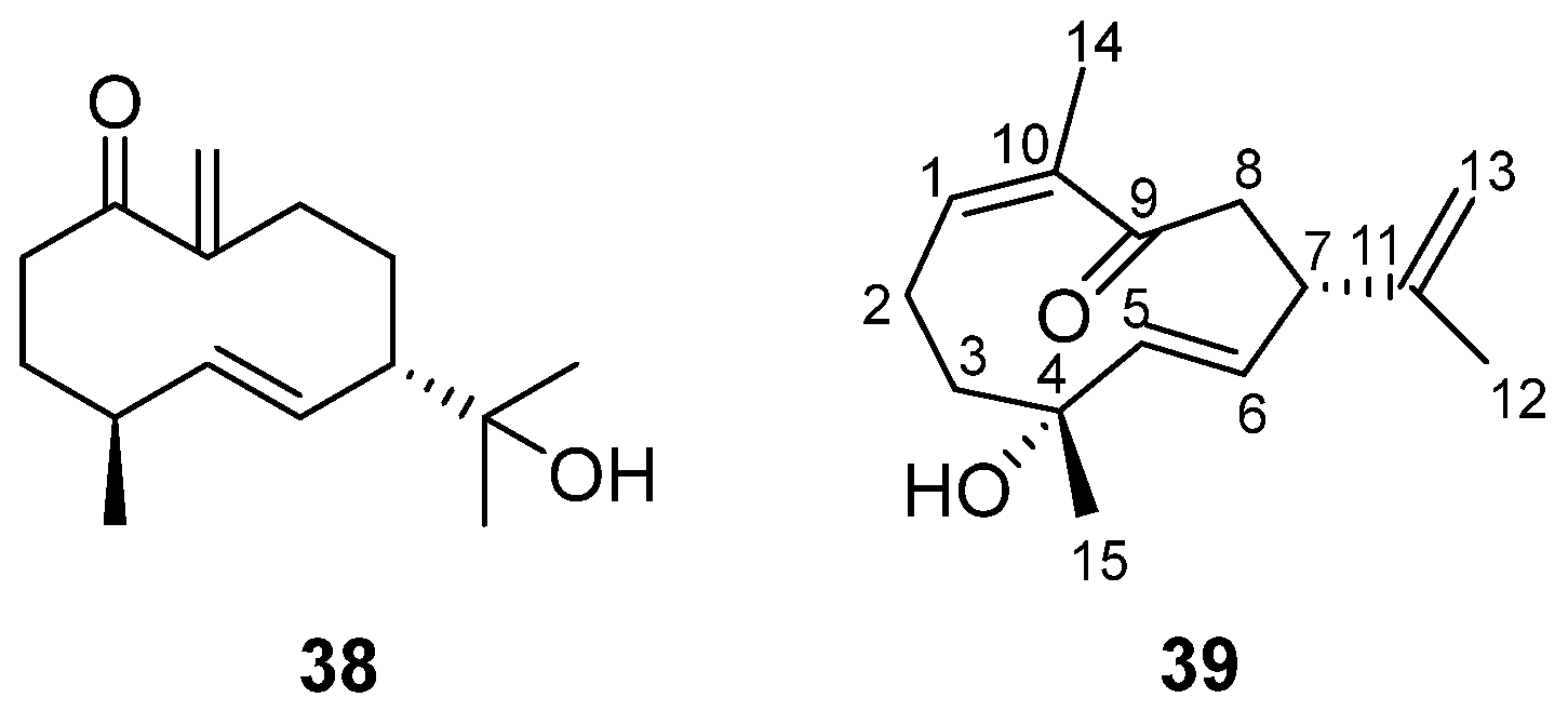
| 44 | oxyfungiformin | guaiane sesquiterpene | C. fungiformis | Mahambo, Madagascar | – 1 | [47] |
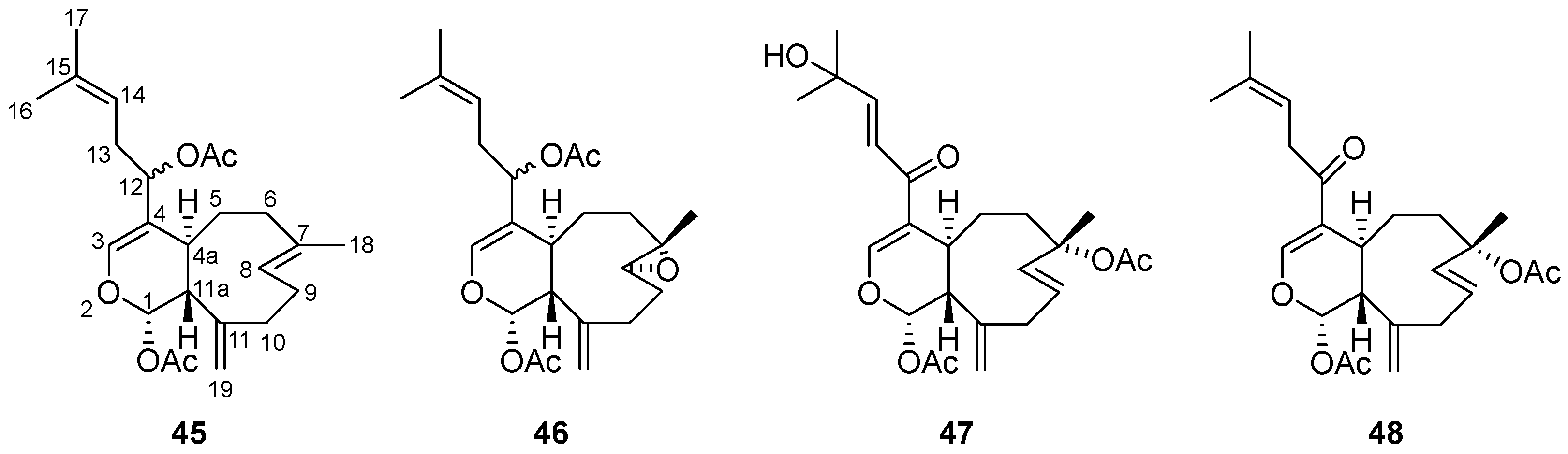
| 45 | tsitsixenicin A | xenicane diterpene | Capnella thyrsoidea | Tsitsikamma Marine Reserve, South Africa | good inhibition (>80%) of superoxide production in rabbit neutrophils at a concentration of 12.5 μg/mL; good inhibition (68%) of superoxide production in human neutrophils at a concentration of 1.25 μg/mL | [45] |
| 46 | tsitsixenicin B | xenicane diterpene | C. thyrsoidea | Tsitsikamma Marine Reserve, South Africa | inactive in the bioassays | [45] |
| 47 | tsitsixenicin C | xenicane diterpene | C. thyrsoidea | Tsitsikamma Marine Reserve, South Africa | good inhibition (>80%) of superoxide production in rabbit neutrophils at a concentration of 12.5 μg/mL | [45] |
| 48 | tsitsixenicin D | xenicane diterpene | C. thyrsoidea | Tsitsikamma Marine Reserve, South Africa | good inhibition (>80%) of superoxide production in rabbit neutrophils at a concentration of 12.5 μg/mL; moderate inhibition (21%) of superoxide production in human neutrophils at a concentration of 1.25 μg/mL | [45] |
| 49 | cholesterol | steroid | C. imbricata | Lesser Sunda, Indonesia | – 1 | [73] |
| 50 | 24-methylenecholesterol | steroid | C. imbricata | Lesser Sunda, Indonesia | – 1 | [73] |
| C. fungiformis | Mahambo, Madagascar | – 1 | [47] | |||
| 51 | 24-methylcholesterol | steroid | C. imbricata | Lesser Sunda, Indonesia | – 1 | [73] |
| C. fungiformis | Mahambo, Madagascar | – 1 | [47] | |||
| 52 | β-sitosterol | steroid | C. imbricata | Lesser Sunda, Indonesia | – 1 | [73] |
| 53 | gorgosterol | steroid | C. imbricata | Lesser Sunda, Indonesia | – 1 | [73] |
| C. fungiformis | Mahambo, Madagascar | – 1 | [47] | |||
| 54 | 3-methoxy-19-norpregna-1,3,5(10),20-tetraen-4-ol | steroid | Capnella sp. nov. | Tasmania, Australia | – 1 | [74] |
| 55 | 19-norpregna-1,3,5(10),20-tetraen-3-ol | steroid | Capnella sp. nov. | Tasmania, Australia | – 1 | [74] |
| 56 | 5α-pregna-1,20-dien-3-one | steroid | Capnella erecta | Tasmania, Australia | – 1 | [74] |
| C. thyrsoidea | Tsitsikamma Marine Reserve, South Africa | stimulated superoxide production in rabbit neutrophils | [45] | |||
| C. thyrsoidea | Tsitsikamma Marine Reserve, South Africa | inhibitory activity against plasmodial proteases and selectivity on human cathepsins | [75] | |||
| 57 | 16β-hydroxy-5α-pregna-l,20-dien-3-one 16-acetate | steroid | C.thyrsoidea | Tsitsikamma Marine Reserve, South Africa | stimulated superoxide production in rabbit neutrophils | [45] |
| 58 | 3α,16β-dthydroxy-5α-pregna-1,20-diene 3,16-diacetate | steroid | C.thyrsoidea | Tsitsikamma Marine Reserve, South Africa | – 1 | [45] |
| 59 | 12β-acetoxy-7α-hydroxygorgosterol | steroid | Capnella lacertiliensi | Great Barrier Reef, Australia | antifungal against Microbotryum violacea and Eurotium repens (1 mm zone at a concentration of 20 µg and 2 mm zone at a concentration of 20 µg, respectively) | [50] |
| 60 | 12β-acetoxy-7α,19-dihydroxygorgosterol | steroid | C. lacertiliensi | Great Barrier Reef, Australia | antifungal against M. violacea (2 mm zone at a concentration of 10 µg) | [50] |
| 61 | 12β-acetoxyergost-5-ene-3β,23-diol | steroid | C. lacertiliensi | Great Barrier Reef, Australia | antifungal against M. violacea (3 mm zone at a concentration of 10 µg), inhibitory against the enzyme tyrosine kinase p56lck 42% at a concentration of 200 µg/ mL | [50] |
| 62 | 12β-acetoxyergost-5-ene-3β,11β,16-triol | steroid | C. lacertiliensi | Great Barrier Reef, Australia | antifungal against M. violacea (1 mm zone at a concentration of 25 µg) | [50] |
| 63 | 11β-acetoxyergost-5-ene-3β,12β,16-triol | steroid | C. lacertiliensi | Great Barrier Reef, Australia | antifungal against M. violacea and E. repens (3 mm zone at a concentration of 10 µg and 2 mm zone at a concentration of 10 µg, respectively), inhibitory against the enzyme tyrosine kinase p56lck 47% at a concentration of 200 µg/ mL | [50] |
| 64 | capnesterone A | steroid | C. imbricata | Orchid Island, China | inhibition against iNOS level (60%) and promotion against COX-2 release (134%) | [46] |
| 65 | capnesterone B | steroid | C. imbricata | Orchid Island, China | inhibition against iNOS level (82%) and promotion against COX-2 release (110%) | [46] |
| 66 | 4β-hydroxy-24-methylene-5-cholesten-7-one | steroid | C. imbricata | Orchid Island, China | moderate reduction in iNOS level (64.409%) at a concentration of 10 μM | [76] |
| 67 | 3β-hydroxy-24-methylene-5-cholesten-7-one | steroid | C. imbricata | Orchid Island, China | moderate reduction in iNOS level (77.200%) at a concentration of 10 μM | [76] |
| 68 | gorgostan-5,25-dien-3β-ol | steroid | C. imbricata | Orchid Island, China | moderate reduction in iNOS level (73.820%) at a concentration of 10 μM | [76] |
| 69 | octadecan-2-one | lipid | C. fungiformis | Mahambo, Madagascar | – 1 | [47] |
| No. | 31 [70] | 32 [70] | 33 [72] | |||
|---|---|---|---|---|---|---|
| δH 1 | δC 1 | δH 1 | δC 1 | δH 1 | δC 1 | |
| 1 | 1.32 dd (10.3, 8.9) | 26.1 | 1.45 t (8.9) | 27.9 | 1.44 dd (9.6, 9.6) | 25.0 |
| 2 | 4.87 d (10.3) | 125.2 | 4.61 d (8.9) | 122.9 | 5.01 d (9.6) | 126.8 |
| 3 | 137.1 | 137.6 | 137.3 | |||
| 4 | 2.34 m | 38.9 | 1.58 t (11.7) | 39.3 | 2.92 dd (17.0, 6.9) | 36.7 |
| 2.15 dd (11.7, 8.3) | 2.46 ddd (17.2, 5.5, 2.1) | |||||
| 5 | 2.47 td (12.4, 8.3) | 25.1 | 2.25 td (12.2, 8.3) | 23.7 | 5.87 dddd (11.0, 6.9, 5.5, 1.8) | 132.7 |
| 2.31 m | 2.01 dt (12.2, 8.3) | |||||
| 6 | 6.09 ddq (12.4, 3.4, 1.4) | 146.5 | 5.40 tq (8.3, 1.4) | 130.2 | 5.39 ddd (10.8, 7.6, 2.1) | 132.0 |
| 7 | 135.1 | 140.0 | 3.13 dq (7.6, 7.3) | 47.0 | ||
| 8 | 206.6 | 211.5 | 215.7 | |||
| 9 | 2.77 t (11.7) | 37.1 | 2.32 d (8.9) | 36.3 | 2.30 dd (15.0, 6.1) | 34.6 |
| 2.37 dd (11.7, 2.8) | 2.14 dd (15.1, 9.6) | |||||
| 10 | 0.77 ddd (11.7, 8.9, 2.8) | 29.6 | 1.38 q (8.9) | 28.3 | 1.39 ddd (9.6, 9.6, 6.1) | 30.1 |
| 11 | 20.2 | 21.7 | 22.2 | |||
| 12 | 1.12 s | 15.9 | 1.11 s | 16.1 | 1.10 s | 15.2 |
| 13 | 1.08 s | 29.3 | 1.11 s | 29.2 | 1.09 s | 28.4 |
| 14 | 1.74 s | 13.3 | 1.88 s | 21.9 | 1.16 d (7.3) | 19.1 |
| 15 | 1.49 s | 16.7 | 1.55 s | 17.4 | 1.66 s | 18.5 |
| No. | 34 [49] | 35 [49] | ||
|---|---|---|---|---|
| δH 1 | δC 1 | δH 1 | δC 1 | |
| 1 | 0.88 dd (10.3, 8.9) | 33.8 | 0.82 dd (10.3, 8.9) | 29.9 |
| 2 | 3.99 d (10.3) | 70.3 | 4.17 d (10.3) | 83.5 |
| 3 | 150.6 | 147.4 | ||
| 4 | 2.39 m | 35.5 | 2.41 m | 36.0 |
| 2.30 m | ||||
| 5 | 2.39 m | 27.7 | 2.36 dt (17.2, 7.9) | 27.2 |
| 2.30 m | 2.27 m | |||
| 6 | 5.74 t (7.8) | 131.9 | 5.52 t (8.1) | 130.2 |
| 7 | 138.7 | 138.2 | ||
| 8 | 209.2 | 209.4 | ||
| 9 | 2.66 dd (14.4, 11.0) | 38.6 | 2.60 m | 39.6 |
| 2.48 dd (14.4, 1.4) | ||||
| 10 | 1.06 ddd (11.0, 8.9, 1.4) | 25.2 | 0.94 td (8.9, 3.4) | 24.7 |
| 11 | 18.4 | 19.2 | ||
| 12 | 1.13 s | 15.3 | 1.10 s | 15.5 |
| 13 | 1.15 s | 28.7 | 1.10 s | 28.5 |
| 14 | 1.83 s | 21.0 | 1.84 s | 21.2 |
| 15 | 5.23 s | 131.1 | 5.35 s | 116.4 |
| 4.93 s | 5.15 s | |||
| No. | 36 [49] | 37 [49] | ||
|---|---|---|---|---|
| δH 1 | δC 1 | δH 1 | δC 1 | |
| 1 | 1.03 dd (11.0, 8.9) | 31.3 | 0.87 dd (11.0, 8.9) | 28.2 |
| 2 | 3.70 d (11.0) | 73.9 | 4.08 d (11.0) | 86.3 |
| 3 | 152.5 | 149.5 | ||
| 4 | 2.66 dd (12.4, 6.9) | 35.3 | 2.72 ddd (12.4, 5.5) | 36.9 |
| 2.29 td (12.4, 6.2) | 2.33 td (12.4, 5.1, 2.1) | |||
| 5 | 2.50 qd (12.4, 6.2) | 30.2 | 2.48 qd (12.4, 5.5) | 30.3 |
| 2.39 m | 2.39 m | |||
| 6 | 6.14 ddd (12.4, 6.1, 1.4) | 137.3 | 6.13 ddd (12.4, 5.1, 2.1) | 137.1 |
| 7 | 137.0 | 137.0 | ||
| 8 | 207.3 | 207.1 | ||
| 9 | 2.78 t (12.4) | 38.1 | 2.79 t (13.1) | 38.4 |
| 2.51 dd (12.4, 2.1) | 2.56 dd (13.1, 2.1) | |||
| 10 | 0.68 ddd (12.2, 8.9, 2.4) | 28.1 | 0.73 ddd (13.1, 8.9, 2.1) | 28.5 |
| 11 | 18.6 | 19.6 | ||
| 12 | 1.15 s | 15.2 | 1.12 s | 15.6 |
| 13 | 1.13 s | 29.2 | 1.10 s | 28.9 |
| 14 | 1.66 s | 13.4 | 1.69 s | 13.3 |
| 15 | 5.27 s | 112.7 | 5.38 s | 115.7 |
| 5.00 s | 5.24 s | |||
| No. | 39 [71] | |||
|---|---|---|---|---|
| δH 1 | δC 1 | δH 2 | δC 2 | |
| 1 | 5.40 dd (11.0, 5.1) | 136.7 | 5.08 dd (10.3, 4.8) | 136.4 |
| 2 | 2.28 dt (14.6, 11.0) | 23.7 | 2.61 m | 24.1 |
| 1.98 m | 1.94 m | |||
| 3 | 1.75 m | 41.9 | 1.49 dd (14.4, 8.9) | 42.1 |
| 1.51 dd (14.6, 11.0) | 1.16 dd (14.4, 11.0) | |||
| 4 | 73.9 | 73.4 | ||
| 5 | 5.31 d (15.1) | 139.5 | 5.05 d (15.1) | 139.7 |
| 6 | 5.33 dd (15.1, 10.3) | 124.1 | 5.55 dd (15.1, 10.3) | 124.5 |
| 7 | 3.02 m | 47.4 | 2.94 m | 47.8 |
| 8 | 2.84 dd (12.4, 5.5) | 44.5 | 2.69 dd (12.4, 5.5) | 44.7 |
| 2.38 t (12.4) | 2.51 t (12.4) | |||
| 9 | 207.3 | 205.0 | ||
| 10 | 138.1 | 138.2 | ||
| 11 | 145.9 | 146.3 | ||
| 12 | 1.76 s | 20.9 | 1.69 s | 20.9 |
| 13 | 4.79 s | 110.3 | 4.89 s | 110.2 |
| 4.78 s | 4.85 s | |||
| 14 | 1.95 s | 20.0 | 1.65 s | 19.9 |
| 15 | 1.27 s | 29.1 | 1.12 s | 29.3 |
| No. | 42 [47] | 43 [47] | ||
|---|---|---|---|---|
| δH 1 | δC 1 | δH 1 | δC 1 | |
| 1 | 7.88 s | 145.42 | 7.88 s | 145.42 |
| 2 | 120.63 | 120.63 | ||
| 3 | 6.49 s | 106.74 | 6.49 s | 106.74 |
| 4 | 154.61 | 154.61 | ||
| 5 | 6.05 br s | 113.65 | 6.05 br s | 113.65 |
| 6 | 140.50 | 140.50 | ||
| 7 | 2.22 t (7.9) | 40.66 | 2.24 t (7.9) | 40.27 |
| 8 | 2.36 q (7.5) | 25.80 | 2.33 q (7.9) | 26.70 |
| 9 | 5.37 br t (7.3) | 129.75 | 5.47 br t (7.2) | 131.75 |
| 10 | 132.84 | 132.84 | ||
| 11 | 6.76 ddd (17.3, 10.8, 0.9) | 133.46 | 6.35 dd (17.1, 10.7) | 141.34 |
| 12 | 5.29 br d (17.3) | 113.77 | 5.09 d (17.3) | 110.84 |
| 5.09 dt (10.5, 1.5) | 4.93 d (10.9) | |||
| 13 | 163.38 | 163.38 | ||
| 14 | 1.96 d (1.1) | 18.71 | 1.97 d (1.1) | 18.71 |
| 15 | 1.80 q (1.1) | 19.74 | 1.74 s | 11.69 |
| 16 | 4.29 q (7.1) | 60.38 | 4.29 q (7.1) | 60.38 |
| 17 | 1.34 t (7.2) | 14.11 | 1.34 t (7.2) | 14.32 |
| No. | 44 [47] | |
|---|---|---|
| δH 1 | δC 1 | |
| 1 | 73.69 | |
| 2 | 1.69 dd (13.8, 8.4) | 26.75 |
| 1.79 ddd (13.8, 10.4, 8.3) | ||
| 3 | 1.64 ddddq (12.2, 10.4, 8.4, 7.6, 0.5) | 26.72 |
| 1.12 dd (12.0, 8.3) | ||
| 4 | 2.37 dq (7.6, 7.4) | 37.60 |
| 5 | 69.34 | |
| 6 | 3.05 s | 58.08 |
| 7 | 68.59 | |
| 8 | 1.87 dddd (15.6, 6.3, 4.0, 0.9) | 22.44 |
| 1.91 ddd (15.6, 10.8, 4.1) | ||
| 9 | 1.77 dddd (14.6, 10.8, 4.2, 4.0) | 26.27 |
| 1.23 dddd (14.6, 7.5, 6.3, 4.1) | ||
| 10 | 2.36 dqdd (7.5, 7.2, 4.2, 0.9) | 31.45 |
| 11 | 1.49 qq (7.0, 6.8) | 36.50 |
| 12 | 0.92 d (7.0) | 17.81 |
| 13 | 0.969 d (6.8) | 17.86 |
| 14 | 1.02 d (7.2) | 17.30 |
| 15 | 0.974 dd (7.4, 0.5) | 16.01 |
| No. | 45 [45] | 46 [45] | ||
|---|---|---|---|---|
| δH 1 | δC 1 | δH 1 | δC 1 | |
| 1 | 5.75 d (3.6) | 92.3 | 5.87 d (3.3) | 92.0 |
| 2 | / | / | / | / |
| 3 | 6.52 d (1.9) | 142.6 | 6.51 d (1.3) | 142.4 |
| 4 | 116.1 | 116.2 | ||
| 4a | 2.29 m | 39.7 | 2.38 m | 37.0 |
| 5 | 2.08 m | 32.2 | 2.41 m | 31.2 |
| 1.22 m | 2.23 m | |||
| 6 | 2.19 m | 39.7 | 2.19 m | 39.2 |
| 2.07 m | 1.19 m | |||
| 7 | 134.4 | 59.8 | ||
| 8 | 5.73 dd (9.5, 8.0) | 124.3 | 2.98 dd (9.5, 8.0) | 62.3 |
| 9 | 2.43 m | 25.5 | 2.22 m | 25.3 |
| 2.07 m | 1.43 m | |||
| 10 | 2.31 m | 35.9 | 1.35 m | 31.2 |
| 2.07 m | ||||
| 11 | 149.3 | 146.8 | ||
| 11a | 1.96 br s | 50.1 | 2.43 m | 49.3 |
| 12 | 5.25 t (7.6) | 74.7 | 5.24 t (7.6) | 74.3 |
| 13 | 2.43 m | 31.4 | 2.41 m | 31.3 |
| 2.31 m | 2.23 m | |||
| 14 | 4.97 t (6.9) | 118.9 | 4.95 m | 118.6 |
| 15 | 135.6 | 134.7 | ||
| 16 | 1.64 br s | 18.1 | 1.61 s | 18.1 |
| 17 | 1.67 br s | 25.7 | 1.67 s | 25.7 |
| 18 | 1.67 br s | 17.0 | 1.31 s | 17.2 |
| 19 | 4,91 br s | 113.4 | 5.06 br s | 116.2 |
| 4.78 br s | 4.93 br s | |||
| COCH3 | 2.07 s | 21.5 | 2.08 s | 21.4 |
| COCH3 | 169.5 | 170.2 | ||
| COCH3 | 2.01 s | 21.0 | 2.00 s | 21.0 |
| COCH3 | 170.2 | 169.3 | ||
| No. | 47 [45] | 48 [45] | ||
|---|---|---|---|---|
| δH 1 | δC 1 | δH 1 | δC 1 | |
| 1 | 6.14 d (2.3) | 93.4 | 6.12 d (2.3) | 93.3 |
| 2 | / | / | / | / |
| 3 | 7.25 d (2.0) | 151.7 | 7.26 d (2.0) | 151.2 |
| 4 | 124.3 | 123.5 | ||
| 4a | 3.44 m | 28.2 | 3.32 m | 28.6 |
| 5 | 1.73 m | 27.0 | 1.69 m | 26.9 |
| 1.57 m | 1.55 m | |||
| 6 | 2.89 m | 37.5 | 2.84 br t (12.2) | 37.8 |
| 1.46 m | 1.43 m | |||
| 7 | 83.7 | 83.5 | ||
| 8 | 5.40 d (11.9) | 131.2 | 5.41 d (11.8) | 131.4 |
| 9 | 5.59 m | 129.8 | 5.57 m | 129.7 |
| 10 | 3.17 m | 30.7 | 3.16 m | 30.8 |
| 2.63 m | 2.65 m | |||
| 11 | 145.5 | 145.6 | ||
| 11a | 2.63 m | 48.1 | 2.60 d (12.3) | 48.0 |
| 12 | 190.2 | 197.7 | ||
| 13 | 6.51 d (15.8) | 125.6 | 3.25 t (5.6) | 38.6 |
| 14 | 6.82 d (15.8) | 148.4 | 5.30 t (7.0) | 117.0 |
| 15 | 82.1 | 135.0 | ||
| 16 | 1.40 s | 24.2 | 1.74 d (1.0) | 25.8 |
| 17 | 1.39 s | 24.1 | 1.64 s | 18.1 |
| 18 | 1.61 s | 28.5 | 1.59 s | 28.5 |
| 19 | 5.14 d (7.0) | 118.1 | 5.12 d (8.3) | 117.9 |
| COCH3 | 2.06 s | 22.3 | 2.04 s | 22.2 |
| COCH3 | 169.2 | 169.3 | ||
| COCH3 | 2.04 s | 20.9 | 2.04 s | 20.9 |
| COCH3 | 169.2 | 169.1 | ||
| No. | 50 [47] | 51 [47] | 53 [47] | |||
|---|---|---|---|---|---|---|
| δH 1 | δC 1 | δH 1 | δC 1 | δH 1 | δC 1 | |
| 1 | 1.80–1.90 m | 37.24 | 37.25 | 37.23 | ||
| 1.03–1.10 m | ||||||
| 2 | 1.80–1.90 m | 31.65 | 31.67 | 31.61 | ||
| 1.47–1.60 m | ||||||
| 3 | 3.52 tt (11.2, 4.6) | 71.82 | 3.52 tt (11.2, 4.6) | 71.81 | 3.52 tt (11.2, 4.6) | 71.92 |
| 4 | 2.29 ddd (12.8, 4.9, 1.9) | 42.28 | 42.31 | 42.23 | ||
| 2.19–2.26 m | ||||||
| 5 | 140.73 | 140.76 | 140.68 | |||
| 6 | 5.34 dt (5.0, 2.0) | 121.71 | 5.36 dt (5.3, 2.0) | 121.73 | 5.35 dt (5.0, 2.2) | 121.80 |
| 7 | 1.94–2.03 m | 31.89 | 31.90 | 31.86 | ||
| 1.47–1.60 m | ||||||
| 8 | 1.40–1.47 m | 31.89 | 31.90 | 31.96 | ||
| 9 | 0.90–0.94 m | 50.11 | 50.12 | 50.14 | ||
| 10 | 36.49 | 36.50 | 36.51 | |||
| 11 | 1.47–1.60 m | 21.07 | 21.08 | 21.07 | ||
| 1.40–1.47 m | ||||||
| 12 | 1.94–2.03 m | 39.76 | 39.76 | 39.85 | ||
| 1.10–1.19 m | ||||||
| 13 | 42.35 | 42.31 | 42.76 | |||
| 14 | 0.99–1.01 m | 56.75 | 56.75 | 1.00 br s | 56.49 | |
| 15 | 1.47–1.60 m | 24.28 | 24.29 | 24.51 | ||
| 1.03–1.10 m | ||||||
| 16 | 1.80–1.90 m | 28.21 | 28.19 | 28.21 | ||
| 1.25–1.30 m | ||||||
| 17 | 1.10–1.19 m | 55.97 | 55.98 | 57.90 | ||
| 18 | 0.67 s | 11.85 | 0.66 s | 11.85 | 0.65 s | 11.90 |
| 19 | 1.00 s | 19.39 | 1.00 s | 19.40 | 1.00 s | 19.40 |
| 20 | 1.40–1.47 m | 35.74 | 36.18 | 0.98–1.01 m | 35.28 | |
| 21 | 0.94 d (6.4) | 18.70 | 0.91 d (6.8) | 18.88 | 0.98–1.01 m | 21.17 |
| 22 | 1.47–1.60 m | 34.67 | 33.71 | 0.13–0.19 m | 32.03 | |
| 1.10–1.19 m | ||||||
| 233 | 2.05–2.11 m | 30.96 | 30.56 | 25.80 | ||
| 1.80–1.90 m | ||||||
| 24 | 156.89 | 39.06 | 0.24 dqd (8.8, 7.0, 1.8) | 50.80 | ||
| 25 | 2.19–2.26 m | 33.79 | 31.45 | 32.14 | ||
| 26 | 1.011 d (6.8) | 21.86 | 0.77 d (6.8) | 17.58 | 0.85 d (6.4) | 21.53 |
| 27 | 1.014 d (6.8) | 21.99 | 0.84 d (6.8) | 20.52 | 0.93 d (7.5) | 22.18 |
| 28 | 4.64 br d (1.5) | 105.91 | 0.76 d (6.8) | 15.44 | 0.94 d (6.9) | 15.45 |
| 4.70 br s | ||||||
| 29 | 0.45 ddd (9.1, 4.3, 2.6) | 21.29 | ||||
| –0.14 ddd (5.8, 4.4, 1.3) | ||||||
| 30 | 0.89 s | 14.27 | ||||
| No. | 56 [45] | 57 [45] | 58 [45] | |||
|---|---|---|---|---|---|---|
| δH 1 | δC 1 | δH 1 | δC 1 | δH 1 | δC 1 | |
| 1 | 7.13 d (10.2) | 158.5 | 7.12 d (10.2) | 158.0 | 6.18 d (10.0) | 142.0 |
| 2 | 5.83 d (10.0) | 127.4 | 5.85 d (10.2) | 127.5 | 5.60 ddd (10.0, 5.5, 1.2) | 122.5 |
| 3 | 200.1 | 200.0 | 5.15 m | 67.3 | ||
| 4 | 2.35 dd (17.7, 14.1) | 40.1 | 2.36 dd (17.6, 14.1) | 40.1 | 1.81 m | 31.8 |
| 2.20 dd (17.7, 3.6) | 2.21 dd (17.7, 4.0) | 1.53 m | ||||
| 5 | 1.93 m | 44.4 | 1.95 m | 44.4 | 1.58 m | 39.6 |
| 6 | 1.78 m | 27.2 | 1.45 m | 27.5 | 1.37 m | 27.6 |
| 1.55 m | 1.41 m | 1.37 m | ||||
| 7 | 1.74 m | 31.4 | 1.67 m | 31.2 | 1.68 m | 31.7 |
| 0.99 m | 0.98 m | 1.02 m | ||||
| 8 | 1.45 m | 35.8 | 1.47 m | 35.3 | 1.40 m | 35.3 |
| 9 | 0.97 m | 50.3 | 1.02 m | 50.3 | 0.99 m | 51.0 |
| 10 | 39.1 | 39.1 | 37.9 | |||
| 11 | 1.42 m | 27.6 | 1.85 m | 33.8 | 1.85 m | 33.9 |
| 1.56 m | 1.58 m | |||||
| 12 | 1.76 m | 37.4 | 1.74 m | 37.2 | 1.71 m | 37.3 |
| 1.07 m | 1.20 m | 1.14 m | ||||
| 13 | 43.7 | 44.2 | 44.2 | |||
| 14 | 1.08 m | 55.6 | 1.38 m | 53.3 | 1.37 m | 53.4 |
| 15 | 1.76 m | 20.8 | 1.77 m | 20.4 | 1.76 m | 20.2 |
| 1.42 m | 1.42 m | 1.37 m | ||||
| 16 | 1.66 m | 24.7 | 5.11 m | 78.4 | 5.08 m | 78.5 |
| 1.18 m | ||||||
| 17 | 1.95 m | 55.3 | 2.15 dd (7.7, 4.1) | 61.6 | 2.13 t (7.7) | 61.6 |
| 18 | 0.61 s | 13.0 | 0.69 s | 14.2 | 0.66 s | 14.2 |
| 19 | 1.00 s | 13.0 | 1.01 s | 13.1 | 0.81 s | 13.9 |
| 20 | 5.74 td (16.5, 10.8, 8.8) | 139.5 | 5.77 td (17.1, 10.5, 8.9) | 135.9 | 5.76 td (17.1, 10.4, 8.9) | 136.1 |
| 21 | 4.95 m | 114.7 | 5.08 m | 117.0 | 5.04 m | 116.8 |
| COCH3 | 2.02 s | 21.2 | 2.04 s | 21.3 | ||
| COCH3 | 171.1 | 171.1 | ||||
| COCH3 | 2.02 s | 21.5 | ||||
| COCH3 | 170.1 | |||||
| No. | 59 [50] | 60 [50] | 61 [50] | |||
|---|---|---|---|---|---|---|
| δH 1 | δC 1 | δH 1 | δC 1 | δH 1 | δC 1 | |
| 1 | 1.79 m | 36.9 | 1.93 m | 33.5 | 1.41 m | 31.4 |
| 1.12 m | ||||||
| 2 | 1.82 m | 31.2 | 1.83 m | 31.5 | 1.81 m | 31.5 |
| 1.48 m | 1.35 m | 1.95 m | ||||
| 3 | 3.55 m | 71.2 | 3.63 m | 71.1 | 3.49 m | 71.6 |
| 4 | 2.32 ddd (12.2, 4.9, 1.5) | 41.8 | 2.44 ddd (11.4, 5.6, 1.5) | 41.9 | 2.28 ddd (11.2, 5.6, 1.5) | 42.1 |
| 2.23 ddd (12.2, 11.3) | 2.26 brdd (11.6, 11.4) | 2.20 ddd (11.6, 11.2) | ||||
| 5 | 146.0 | 141.3 | 140.6 | |||
| 6 | 5.59 dd (5.3, 1.5) | 123.9 | 5.95 dd (5.4, 1.5) | 128.6 | 5.34 br s | 121.5 |
| 7 | 3.85 br s | 64.9 | 3.91 dd (3.5, 1.9) | 64.7 | 1.92 m | 26.2 |
| 1.54 m | ||||||
| 8 | 1.39 m | 36.5 | 1.89 m | 37.9 | 1.25 m | 31.0 |
| 9 | 1.41 m | 41.5 | 1.44 m | 41.6 | 1.08 m | 54.9 |
| 10 | 37.5 | 42.2 | 36.6 | |||
| 11 | 1.87 m | 27.0 | 1.90 m | 27.5 | 1.77 m | 37.2 |
| 1.40 m | 1.66 m | 1.07 m | ||||
| 12 | 4.63 dd (9.8, 4.5) | 80.8 | 4.61 dd (11.1, 4.6) | 80.8 | 4.66 dd (10.7, 4.6) | 81.1 |
| 13 | 46.1 | 46.4 | 46.2 | |||
| 14 | 1.56 m | 57.4 | 1.55 m | 57.4 | 1.10 m | 49.0 |
| 15 | 1.79 m | 23.6 | 1.76 m | 23.4 | 1.65 m | 23.7 |
| 1.24 m | 1.24 m | 1.20 m | ||||
| 16 | 1.94 m | 27.9 | 1.56 m | 27.9 | 1.80 m | 27.6 |
| 1.56 m | 1.40 m | |||||
| 17 | 1.53 m | 48.3 | 1.43 m | 49.4 | 1.52 m | 55.1 |
| 18 | 0.80 s | 9.0 | 0.86 s | 9.2 | 0.80 s | 8.5 |
| 19 | 0.97 s | 18.1 | 3.90 d (11.1) | 63.1 | 1.00 s | 19.3 |
| 3.60 d (11.1) | ||||||
| 20 | 1.15 m | 33.6 | 1.16 m | 33.6 | 1.52 m | 39.0 |
| 21 | 0.93 d (6.8) | 22.2 | 0.95 d (6.8) | 22.2 | 0.86 d (6.6) | 13.6 |
| 22 | 0.24 ddd (8.7, 5.4, 5.1) | 30.6 | 0.23 ddd (8.7, 5.4, 5.2) | 30.6 | 1.53 m | 41.1 |
| 0.98 m | ||||||
| 23 | 25.3 | 25.3 | 3.81 dd (9.2, 2.5) | 70.8 | ||
| 24 | 0.23 m | 50.6 | 0.23 m | 50.7 | 1.54 m | 32.7 |
| 25 | 1.55 m | 32.2 | 1.55 m | 32.2 | 1.48 m | 35.0 |
| 26 | 0.84 d (6.8) | 21.5 | 0.84 d (6.8) | 21.5 | 0.82 d (6.6) | 15.2 |
| 27 | 0.93 d (6.8) | 22.2 | 0.93 d (6.8) | 22.2 | 0.85 d (6.6) | 20.1 |
| 28 | 0.92 d (6.8) | 15.4 | 0.91 d (7.2) | 15.4 | 0.80 d (6.6) | 18.0 |
| 29 | 0.45 dd (8.7, 4.5) | 21.5 | 0.45 dd (8.7, 4.3) | 21.5 | ||
| –0.13 dd (5.1, 4.5) | –0.13 dd (5.4, 4.5) | |||||
| 30 | 0.89 s | 13.8 | 0.90 s | 13.8 | ||
| COCH3 | 2.01 s | 21.8 | 2.02 s | 21.8 | 2.01 s | 21.7 |
| COCH3 | 170.7 | 170.8 | 170.5 | |||
| No. | 62 [50] | 63 [50] | ||
|---|---|---|---|---|
| δH 1 | δC 1 | δH 1 | δC 1 | |
| 1 | 1.93 m | 26.3 | 1.63 m | 26.8 |
| 2 | 1.84 m | 31.4 | 1.83 m | 31.3 |
| 3 | 3.51 m | 71.3 | 3.52 m | 71.1 |
| 4 | 2.28 m | 41.3 | 2.29 m | 41.3 |
| 5 | 141.5 | 140.6 | ||
| 6 | 5.23 br s | 120.4 | 5.27 br s | 121.0 |
| 7 | 2.16 m | 31.7 | 2.17 m | 31.4 |
| 1.55 m | 1.46 m | |||
| 8 | 1.87 m | 27.2 | 1.86 m | 27.4 |
| 9 | 1.12 m | 53.2 | 1.20 m | 52.2 |
| 10 | 36.9 | 36.2 | ||
| 11 | 4.26 dd (3.2, 3.2) | 70.4 | 5.53 dd (3.3, 3.3) | 73.4 |
| 12 | 4.64 dd (3.2) | 82.7 | 3.52 d (3.3) | 80.0 |
| 13 | 45.9 | 47.2 | ||
| 14 | 1.10 m | 57.2 | 1.01 m | 57.3 |
| 15 | 1.55 m | 41.1 | 1.55 m | 41.0 |
| 1.01 m | 1.02 m | |||
| 16 | 3.81 m | 70.7 | 3.80 ddd (9.7, 3.6, 1.3) | 72.4 |
| 17 | 1.54 m | 55.1 | 1.50 m | 56.7 |
| 18 | 1.01 s | 10.7 | 0.86 s | 10.2 |
| 19 | 1.26 s | 22.6 | 0.97 s | 21.9 |
| 20 | 1.45 m | 39.6 | 1.59 m | 39.7 |
| 21 | 0.87 d (6.8) | 13.5 | 0.98 d | 12.1 |
| 22 | 1.72 m | 23.6 | 1.71 m | 23.3 |
| 23 | 1.93 m | 36.5 | 1.84 m | 37.1 |
| 1.19 m | 1.15 m | |||
| 24 | 1.48 m | 35.0 | 1.48 m | 35.0 |
| 25 | 1.55 m | 32.7 | 1.55 m | 32.7 |
| 26 | 0.81 d (6.8) | 18.0 | 0.81 d (6.6) | 17.9 |
| 27 | 0.86 d (6.8) | 20.1 | 0.85 d (6.6) | 20.1 |
| 28 | 0.82 d (6.8) | 15.2 | 0.81 d (6.6) | 15.1 |
| COCH3 | 2.12 s | 21.7 | 2.10 s | 21.8 |
| COCH3 | 170.0 | 174.5 | ||
| No. | 64 [46] | 65 [46] | 66 [76] | |||
|---|---|---|---|---|---|---|
| δH 1 | δC 1 | δH 1 | δC 1 | δH 1 | δC 1 | |
| 1 | 7.04 d (10.2) | 157.0 | 7.06 d (10.2) | 157.0 | 1.73 m | 37.1 |
| 2.04 m | ||||||
| 2 | 6.21 dd (10.2, 1.8) | 126.7 | 6.22 d (10.2, 1.8) | 126.7 | 1.58 m | 32.0 |
| 3 | 186.6 | 186.6 | 1.26 m | 38.5 | ||
| 2.03 m | ||||||
| 4 | 6.16 d (1.8) | 125.9 | 6.17 d (1.8) | 186.6 | 4.36 s | 73.3 |
| 5 | 165.7 | 125.9 | 168.3 | |||
| 6 | 4.55 br s | 74.0 | 4.55 br s | 165.7 | 5.82 s | 126.3 |
| 7 | 1.30 m | 40.0 | 2.09 m | 74.0 | 202.0 | |
| 2.07 m | 2.28 m | |||||
| 8 | 2.05 m | 30.3 | 2.07 m | 30.4 | 2.53 m | 39.6 |
| 9 | 1.12 m | 51.3 | 1.13 m | 51.3 | 0.91 m | 53.6 |
| 10 | 43.5 | 43.5 | 38.0 | |||
| 11 | 1.74 m | 22.6 | 1.75 m | 22.6 | 1.50 m | 22.2 |
| 12 | 1.72 m | 31.6 | 1.76 m | 31.6 | 1.17 m | 39.6 |
| 2.05 m | ||||||
| 13 | 47.7 | 47.7 | 42.6 | |||
| 14 | 1.69 m | 49.6 | 1.79 m | 49.6 | 1.35 m | 50.8 |
| 15 | 1.24 m | 23.6 | 1.25 m | 23.6 | 1.65 m | 24.1 |
| 16 | 1.85 m | 38.1 | 1.88 m | 38.1 | 1.89 m | 28.1 |
| 17 | 85.4 | 85.4 | 1.16 m | 55.9 | ||
| 18 | 0.81 s | 14.6 | 0.84 s | 14.6 | 0.75 s | 12.0 |
| 19 | 1.44 s | 20.4 | 1.45 s | 20.4 | 1.38 s | 19.5 |
| 20 | 1.95 t (7.2) | 41.2 | 1.74 m | 41.2 | 1.43 m | 35.8 |
| 21 | 1.02 d (7.2) | 8.7 | 1.01 d (7.2) | 8.7 | 0.96 d (6.6) | 18.7 |
| 22 | 5.32 t (7.2) | 74.0 | 4.18 br s | 74.0 | 1.16 m | 31.0 |
| 1.53 m | ||||||
| 23 | 2.18 m | 39.2 | 2.12 m | 39.2 | 1.86 m | 34.6 |
| 2.40 dd (13.8, 7.2) | 2.28 m | 2.18 m | ||||
| 24 | 151.5 | 151.5 | 156.8 | |||
| 25 | 2.25 t (6.6) | 33.4 | 2.25 t (7.2) | 33.4 | 2.21 m | 33.8 |
| 26 | 1.04 d (6.6) | 21.7 | 1.07 d (7.2) | 21.7 | 1.02 d (3.0) | 21.9 |
| 27 | 1.05 d (6.6) | 21.8 | 1.05 d (7.2) | 21.8 | 1.03 d (3.0) | 22.0 |
| 28 | 4.75 s | 110.2 | 4.80 s | 110.2 | 4.66 s | 106.0 |
| 4.86 s | 4.93 s | 4.72 s | ||||
| COCH3 | 2.02 s | 21.4 | ||||
| COCH3 | 171.4 | |||||
Disclaimer/Publisher’s Note: The statements, opinions and data contained in all publications are solely those of the individual author(s) and contributor(s) and not of MDPI and/or the editor(s). MDPI and/or the editor(s) disclaim responsibility for any injury to people or property resulting from any ideas, methods, instructions or products referred to in the content. |
© 2024 by the authors. Licensee MDPI, Basel, Switzerland. This article is an open access article distributed under the terms and conditions of the Creative Commons Attribution (CC BY) license (https://creativecommons.org/licenses/by/4.0/).
Share and Cite
Liu, C.-Q.; Yang, Q.-B.; Zhang, L.; Liang, L.-F. An Overview of Secondary Metabolites from Soft Corals of the Genus Capnella over the Five Decades: Chemical Structures, Pharmacological Activities, NMR Data, and Chemical Synthesis. Mar. Drugs 2024, 22, 402. https://doi.org/10.3390/md22090402
Liu C-Q, Yang Q-B, Zhang L, Liang L-F. An Overview of Secondary Metabolites from Soft Corals of the Genus Capnella over the Five Decades: Chemical Structures, Pharmacological Activities, NMR Data, and Chemical Synthesis. Marine Drugs. 2024; 22(9):402. https://doi.org/10.3390/md22090402
Chicago/Turabian StyleLiu, Can-Qi, Qi-Bin Yang, Ling Zhang, and Lin-Fu Liang. 2024. "An Overview of Secondary Metabolites from Soft Corals of the Genus Capnella over the Five Decades: Chemical Structures, Pharmacological Activities, NMR Data, and Chemical Synthesis" Marine Drugs 22, no. 9: 402. https://doi.org/10.3390/md22090402
APA StyleLiu, C.-Q., Yang, Q.-B., Zhang, L., & Liang, L.-F. (2024). An Overview of Secondary Metabolites from Soft Corals of the Genus Capnella over the Five Decades: Chemical Structures, Pharmacological Activities, NMR Data, and Chemical Synthesis. Marine Drugs, 22(9), 402. https://doi.org/10.3390/md22090402

