Abstract
There has been no specific review on the secondary metabolites from soft corals of the genus Capnella till now. In this work, all secondary metabolites from different species of the title genus were described. It covered the first work from 1974 to May 2024, spanning five decades. In the viewpoint of the general structural features, these chemical constituents were classified into four groups: sesquiterpenes, diterpenes, steroids, and lipids. Additionally, the 1H and 13C NMR data of these metabolites were provided when available in the literature. Among them, sesquiterpenes were the most abundant chemical compositions from soft corals of the genus Capnella. A variety of pharmacological activities of these compounds were evaluated, such as cytotoxic, antibacterial, antifungal, and anti-inflammatory activities. In addition, the chemical synthesis works of several representative sesquiterpenes were provided. This review aims to provide an up-to-date knowledge of the chemical structures, pharmacological activities, and chemical synthesis of the chemical constituents from soft corals of the genus Capnella.
1. Introduction
Soft corals of the subclass Octocorallia (class Anthozoa) are abundant in the ocean worldwide, where they are an important group of contributors to the chemically diverse and biologically active marine natural products [1,2,3,4]. For instance, soft corals of a vast array of genera including Sarcophyton [5,6,7], Sinularia [8,9,10,11], Lobophytum [12,13], Cladiella [14], Litophyton [15], Alcyonium [16], Dendronephthya [17], Xenia [18], Verrucella [19], Cespitularia [20], and Lemnalia [21] have been extensively studied and furnished with a wealth of secondary metabolites with various structural features including sesquiterpenes, diterpenes, dimeric terpenes, meroterpenes, steroids, ceramides, etc. Moreover, these metabolites exhibited a variety of pharmaceutical properties, such as antibacterial [22], promoting angiogenesis [23], anti-inflammatory [24], osteoclastogenesis inhibitory [25], cytotoxic [26,27,28], TNF-α inhibitory [29], anti-COVID [30], and antituberculosis [31] effects. Due to their unique complex structures, these compounds gained great attention from synthetic scientists for their total synthesis [32,33].
In our continuous work on the discovery of structurally intriguing molecules from soft corals of different genera [22,29,34,35,36,37,38], we compiled systematic reviews of soft corals [14,15,39] and sponges [40,41] recently. During the process of literature collection of the genus Litophyton, we encountered the title genus Capnella because both of them were reported to belong to the family Nephtheidae of the subclass Octocorallia [42]. It might be worth pointing out that this genus was recently revisited and revised as a genus of the new family Capnellidae by phylogenomics [43].
The soft corals of the genus Capnella strictly inhabit the Indo-Pacific region. These marine organisms offer an enormous source of potentially novel secondary metabolites, such as sesquiterpenes [44], diterpenes [45], steroids [46], and lipids [47]. These chemical constituents showed a library of pharmacological efficacies including cytotoxic [48], antibacterial [49], antifungal [50], and anti-inflammatory [51] activities. Notably, the well-known capnellane sesquiterpenes are the characteristic chemical constituents of this genus, the skeleton name of which was named after the genus name [52]. Featured by the fascinating tricyclic backbone along with the highly complex chirality, the capnellane sesquiterpenes were attractive targets for synthetic scientists for a long time [53,54,55,56], who devoted themselves to the development of different methods to efficiently synthesize them. However, there has been no specific review on the secondary metabolites from soft corals of the genus Capnella till now. In this work, all the secondary metabolites reported from different species of this genus from 1974 to May 2024 were summarized, including their pharmacological activities and 1H and 13C NMR data whenever available. Moreover, the chemical synthesis works of several representative sesquiterpenes were presented.
2. An Overview of Secondary Metabolites from Soft Corals of the Genus Capnella
This review covers the secondary metabolites from soft corals of the genus Capnella from 1974 to May 2024, based on an extensive literature search using SciFinder, Web of Science, and PubMed. As revealed by the literature survey, 69 chemical components were isolated and identified from soft corals of this genus over the five decades (Table 1). These metabolites possessed diverse structural features, which could be generally grouped as sesquiterpenes, diterpenes, steroids, and lipids (Figure 1a). Obviously, sesquiterpenes were the dominant type of chemical composition from soft corals of the genus Capnella. In-depth insights into the chemical diversities of sesquiterpenes could be further divided into eight subclasses including capnellane, precapnellane, bicyclogermacrane, germacrane, aromadendrane, cadinene, farnesane, and guaiane (Figure 1b). As shown in Figure 1b, capnellane sesquiterpenes were the most abundant metabolites in this genus.
Table 1.
Secondary metabolites from soft corals of the genus Capnella from 1974 to May 2024.
Figure 1.
The scales of different types of secondary metabolites from soft corals of the genus Capnella: (a) general groups as sesquiterpenes, diterpenes, and steroids; (b) detail classifications of sesquiterpenes.
Insights into the distributions of these secondary metabolites in different species of the genus Capnella, including Capnella imbricata, Capnella lacertiliensi, Capnella thyrsoidea, Capnella erecta, Capnella fungiformis, Capnella sp. nov., and Capnella sp. were reported as their source species (Figure 2). Among these aforementioned species, C. imbricata was the most frequently encountered species, and afforded the largest number of secondary metabolites with a total amount of 48. (Notably, some compounds were distributed in different species and they were counted separately in each species). Interestingly, diterpenes were solely found in the species C. thyrsoidea, and three species—C. lacertiliensi, C. erecta, and Capnella sp. nov.—only afforded steroids. Perhaps, these secondary metabolites could serve as chemotaxonomic markers for these species.
Figure 2.
The distributions of secondary metabolites in different species of the genus Capnella.
3. Sesquiterpenes
This was the largest cluster of secondary metabolites (Figure 1a) obtained from soft corals of the genus Capnella with an amount of 45 compounds in this work (Table 1). These compounds showed a diversity of carbon frameworks, which comprised eight categories: capnellane, precapnellane, bicyclogermacrane, germacrane, aromadendrane, cadinene, farnesane, and guaiane (Figure 3). These diverse skeletons make sesquiterpenes the most attractive type of secondary metabolites from this genus. Interestingly, the majority of sesquiterpenes were obtained from the species C. imbricata. The rest of the substances were present in the species C. fungiformis and the unclearly identified Capnella sp. (Table 1).
Figure 3.
Basic skeletons of sesquiterpenes reported from soft corals of the genus Capnella.
3.1. Capnellane Sesquiterpenes
This type of sesquiterpene was the characteristic group of secondary metabolites from soft corals of the genus Capnella (Figure 4) with the most abundance (Figure 1b). Worth mentioning was that the skeleton name capnellane was coined by scientists in their work on C. imbricata [52]. The basic skeleton of capnellane was the unique tricyclic 5/5/5 carbon framework bearing four methyls including one gem-dimethyl and one angular methyl.
Figure 4.
Chemical structures of capnellane sesquiterpenes obtained from soft corals of the genus Capnella.
In 1974, the first terpene 1 from soft corals of the genus Capnella was obtained from the Indonesian soft coral C. imbricata from Leti Island. Its structure was elucidated through the extensive analysis of spectral data along with a series of chemical conversions [52]. Importantly, the absolute configuration of 1 was successfully established by single-crystal X-ray diffraction in the subsequent study [57].
Continuing investigation on the Indonesian collection C. imbricata afforded two undescribed metabolites 2 [58] and 3 [63], in addition to 1. The complete structure of 3 was established by a single-crystal X-ray diffraction analysis, and its absolute configuration was identified as the same as that of 1 [63]. Notably, different inhabited environments caused different compositions of secondary metabolites of C. imbricata. This research team found that another sample of this species from Lakor Island had two triols 4 and 5, in addition to the diol 2 but without the tetrol 3 [58]. Meanwhile, hydrocarbon 6 was obtained from the nonpolar fraction of C. imbricata. This compound was assumed the biogenetic precursor of this class of sesquiterpene alcohols, which was confirmed by partial synthesis in the work [64].
A new terpene 7 was identified in the Papua New Guinean specimen C. imbricata. Its structure and relative configuration were determined by a single-crystal X-ray diffraction analysis. Based on the closely resembling NMR data, the relative stereochemistry at C-2 for previously described 5 was proposed as 2β [65]. This speculation was unambiguously confirmed by the diagnostic NOESY correlations and the Gaussian calculation in the recent Chung and co-workers’ research [44]. The presence of eight novel acetylated capnellenes 8–15 was described in the fresh colonies of C. imbricata, as they were the major sesquiterpenes in the living animal. According to the results of chemical transformations, the previously reported capnellene polyols, isolated from sun-dried colonies, were shown to be artifacts [66].
Chemical investigation of the South China Sea collection C. imbricata led to the discovery of two sesquiterpenes 16 [67] and 17 [68]. Their structures were established by extensive analysis of spectral data and confirmed by single-crystal X-ray diffraction experiments. It was found that the signs of the specific rotation values of 16 ([α]D −39.6) [67] and 17 ([α]D −17) [68] were respectively opposite to those of 2 ([α]D +41) [58] and 7 ([α]D +17) [65]. Consequently, these four terpenes could be regarded as two pairs of enantiomers. Preliminary bioassays showed that compound 17 had suppressive action on contracture of the removed ileums of the guinea pig and it exhibited antitumor effects on EAC at 25 μg/mL with an inhibition rate of 43% [68].
Two previously unrecorded compounds with the capnellane skeleton 18 and 19, along with one known metabolite 2, had been isolated from the Indonesian sample C. imbricata collected at Mayu Island. The cytotoxicities of all the isolates were tested against six cell lines including HL-60, K562, G402, MCF-7, HT115, and A2780. The results showed that compound 2 was cytotoxic toward all tested cell lines with IC50 values ranging from 0.7 μM to 93 μM, with the best activity being displayed against K562 leukemia. Sesquiterpene 18 was effective against the cell lines K562 and A2780 (IC50 4.6 μM and 6.6 μM, respectively). Component 19 was cytotoxic with selectivity for cell lines G402 and A2780 [48].
Interestingly, chemical constituents 2 and 18 were also found in the Formosan soft coral C. imbricata, along with seven sesquiterpenes 20–26. In this work, their anti-inflammatory activities were evaluated. Compounds 2, 20, and 21 significantly reduced the iNOS protein expression (1.2 ± 0.1%, 54.4 ± 12.0%, and 34.8 ± 10.2%, respectively). Moreover, substances 2 and 20 significantly inhibited the expression of the COX-2 protein (24.8 ± 7.5% and 62.9 ± 13.7%, respectively) [51]. Further bioassays were conducted, revealing marine-derived capnellenes 2 and 18 had anti-neuroinflammatory and anti-nociceptive properties in IFN-γ-stimulated microglial cells and in neuropathic rats, respectively [59]. Another Formosan soft coral Capnella sp. afforded the secondary metabolite 2, too. This compound together with its 10 ester derivatives were tested for cytotoxic activities against four human tumor cell lines KB, WiDr, Hela, and Daoy. Almost all esters showed superior activity against these cells compared to the parent compound 2 [61]. In recent pharmacological research, substance 2 impaired vascular development in zebrafish [60].
Study on another Formosan collection C. imbricata afforded a new secondary metabolite 27 along with two known metabolites 2 and 4. In this study, a single-crystal X-ray diffraction analysis of 4 was conducted for the first time. Compound 27 exhibited significant inhibitory effects on elastase release and superoxide generation with inhibition rate of 5.67% and 9.28%, respectively [62]. Further investigation resulted in the discovery of two new sesquiterpenes 28 and 29, as well as 4, 5, 18, 20, and 27. In the anti-inflammatory activity bioassay, components 20 and 29 showed remarkable decreases in iNOS levels (47.61% and 27.73%, respectively). Furthermore, terpenes 4, 20, and 28 exhibited significant inhibitions against COX-2 protein expressions (ranging from 7.64% to 12.57%). Notably, the chemical relationships between these sesquiterpenes and their anti-inflammatory effects was analyzed by a tool called ChemGPS-NP [44].
To the best of our knowledge, there was only one report of natural capnellane sesquiterpenes from other organisms, which did not belong to the genus Capnella. This was the investigation on the soft coral Dendronephthya rubeola, resulting in the isolation and identification of two aforementioned metabolites 2 and 8, along with four undescribed capnellane sesquiterpenes [77]. It might be worth pointing out that the illihenlactoneosides B and C from the plant Illicium henryi [78] were not capnellane-type sesquiterpenes, because their tricyclic carbon framework did not bear the key gem-dimethyl substructure. Based on these findings, all the capnellane sesquiterpenes except 2 and 8 were characteristic chemical constituents of Capnella soft corals.
3.2. Precapnellane Sesquiterpene
The sole member of this group was precapnelladiene (30) (Figure 5) from the soft coral C. imbricata. The basic precapnellane carbon framework had a fused 5- and 8-membered ring system forming an uncommon bicyclo[6.3.0]undecane carbon skeleton, carrying four methyls including one gem-dimethyl. From the biogenetic viewpoint, this type of compound might be a precursor of the co-occurring tricyclic capnellane sesquiterpenes [69].
Figure 5.
Chemical structure of the precapnellane sesquiterpene obtained from soft corals of the genus Capnella.
As far as we know, there was only one additional member of precapnellane sesquiterpene called 3α,4α-epoxyprecapnell-9(12)-ene, which was afforded by the soft coral D. rubeola [77]. However, there was no further report of 30 from other biological materials. As a result, carbonhydron 30 could be regarded as the representative chemical substance of Capnella soft corals.
3.3. Bicyclogermacrane Sesquiterpenes
The bicyclogermacrane contains a bicyclo[8.1.0]undecane carbon skeleton, featured by a cyclopropane fused to a cyclodecane and the gem-dimethyl attached to the cyclopropane.
The first reported bicyclogermacrane sesquiterpenes from soft corals of the genus Capnella were capgermacrenes A (31) and B (32) (Figure 6). Interestingly, these two terpenes were a pair of isomers that differed in the configuration of double bond Δ6. However, only 31 exhibited anti-inflammatory activity, which was possibly influenced by the stereo difference [70]. Continuous study on the same species afforded another new metabolite 33, whose double bond was shifted to C-5/C-6 compared to 31 and 32. However, it did not show any obvious antibacterial activity against Escherichia coli and Staphylococcus aureus [72].
Figure 6.
Chemical structures of bicyclogermacrane sesquiterpenes obtained from soft corals of the genus Capnella.
Investigation on another Bornean soft coral C. imbricata yielded four new members of bicyclogermacrane sesquiterpenes 34–37. These four chemical constituents were the respective hydroxyl or hydroperoxyl derivatives of 31 and 32. Terpenes 34 and 35 displayed bacteriostatic activity against S. aureus and MRSA, while components 36 and 37 exhibited bactericidal activity against these two bacteria [49]. Indeed, the co-existence of capgermacrenes A–G (31–37) was found in the soft coral C. imbricata. All of these metabolites except 33 exhibited different levels of cytotoxicity against S1T cells with IC50 values ranging from 0.79 μg/mL to 7.79 μg/mL [71].
Literature surveys revealed that these seven compounds have not been found in the other organisms except the aforementioned soft corals. Consequently, they served as the featured secondary metabolites of Capnella soft corals.
3.4. Germacrane Sesquiterpenes
The germacrane contains a cyclodecane bearing one isopropyl and two methyls. Formally, this could be regarded as the precursor of bicyclogermacrane.
Litseagermacrane (38) (Figure 7) was a germacrane sesquiterpene afforded by the Bornean soft coral Capnella sp. However, no obvious anti-inflammatory activity was observed in the bioassay [70]. Another study on the Bornean soft coral C. imbricata resulted in the discovery of a new germacrane sesquiterpene called capgermacrene H (39). This compound was inactive against S1T cells (IC50 > 30.0 μg/mL) [71].
Figure 7.
Chemical structures of germacrane sesquiterpenes obtained from soft corals of the genus Capnella.
Interestingly, compound 38 was also obtained from three plants Litsea verticillata [79], Dysoxylum mollissimum [80], and Syzygium cerasiforme [81]. However, there was no report of metabolite 39 from other marine organisms besides the above-mentioned soft corals. Therefore, 39 could be regarded as the characteristic chemical composition of Capnella soft corals.
3.5. Aromadendrane Sesquiterpene
The basic carbon skeleton of aromadendrane is the non-linear fused tricyclic 5/7/3 carbon framework. There are four methyls attached to the carbon skeleton, including one gem-dimethyl at the cyclopropane.
Chemical investigation of Bornean soft coral Capnella sp. led to the isolation and identification of the aromadendrane sesquiterpene 40 (Figure 8), which was inactive in the anti-inflammatory bioassay [70].
Figure 8.
Chemical structure of the aromadendrane sesquiterpene obtained from soft corals of the genus Capnella.
It might be worth pointing out that this sesquiterpene was widely distributed in the soft corals including Sarcophyton glaucum [82], Sarcophyton trocheliophorum [83], and Xenia umbellate [84], and plants such as Artemisia vulgaris [85], Turczaninowia fastigiate [86], Hyptis mociniana [87], Calycolpus goetheanus [88], and Calypogeia integristipula [89]. As a result, this compound had no chemotaxonomic significance.
3.6. Cadinane Sesquiterpene
The decalin is the basic carbon skeleton of cadinene, and one isopropyl and two methyls are attached to it. Structurally, one methyl and one isopropyl are in the para position.
The Bornean soft coral Capnella sp. afforded the cadinane sesquiterpene 41 (Figure 9). The antibacterial bioassay revealed the negligible inhibition against E. coli and S. aureus (MIC > 500 μg/mL) [72].
Figure 9.
Chemical structure of the cadinane sesquiterpene obtained from soft corals of the genus Capnella.
This substance was previously found in the soft coral Sarcophyton ehrenbergi [90] and the plant Scapania undulata [91]. Interestingly, the enantiomer of 41 was encountered in the investigation of soft coral Sinularia sp. [92]. These reports revealed that 41 could not be the typical component of Capnella soft corals.
3.7. Farnesane Sesquiterpenes
The farnesane is a linear carbon chain, which is formed by the head-to-tail connection of three isoprene units.
A study on the Madagascan soft coral C. fungiformis gave an inseparable mixture of Z/E-isomers 42 and 43 (Figure 10), which was determined by GC-MS and NMR spectral data [47].
Figure 10.
Chemical structures of farnesane sesquiterpenes obtained from soft corals of the genus Capnella.
It might be worth pointing out that the carboxylic acids and methyl esters of these two metabolites were reported as the isolates of soft corals Sinularia gonatodes [93], Sinularia capillosa [94], Sinularia kavarattiensis [95,96] and Sinularia tumulosa [22]. Although they were new natural products, it was difficult to evaluate whether they were characteristic secondary metabolites of Capnella soft corals.
3.8. Guaiane Sesquiterpene
The guaiane contains a bicyclo[5.3.0]decane carbon skeleton carrying one isopropyl and two methyls. Formally, this could be regarded as the precursor of aromadendrane.
A novel guaiane sesquiterpene oxyfungiformin (44) (Figure 11) was isolated from the soft coral C. fungiformis. Its structure was elucidated by detailed analysis of spectral data and quantum chemical calculations [47]. Recently, its stereochemistry was confirmed by the synthesis work, along with the determination of its absolute configuration by X-ray diffraction [97].
Figure 11.
Chemical structure of guaiane sesquiterpene obtained from soft corals of the genus Capnella.
To the best of our knowledge, only one structurally related compound was reported from the soft coral S. kavarattiensis [96], which was a diastereoisomer of 44 at the opposite geometry of 1,5-epoxy. Consequently, 44 was a specific chemical constituent of Capnella soft corals.
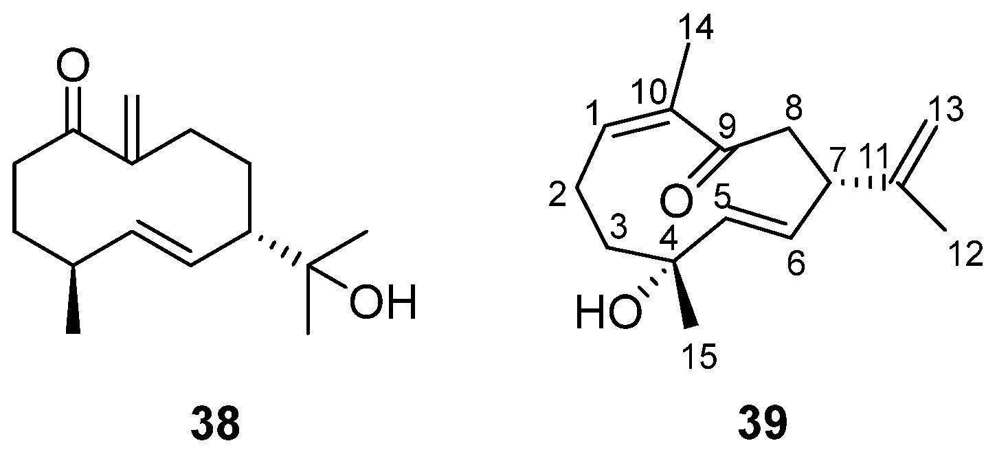
4. Diterpenes
Unlike soft corals of some frequently encountered genera and species [7,11,14,15,16,39], diterpenes were extremely rare in the genus Capnella. To the best of our knowledge, only four diterpenes were found. They were xenicane diterpenes 45–48 (Figure 12), from the South African sample C. thyrsoidea [45]. Good inhibitory activity against superoxide production in rabbit neutrophils (>80%) at a concentration of 12.5 μg/mL for terpenes 45, 47, and 48, and good to moderate inhibition of superoxide production in human neutrophils (68% and 21%, respectively) at a concentration as low as 1.25 μg/mL for 45 and 47 were observed.
Figure 12.
Chemical structures of xenicane diterpenes obtained from soft corals of the genus Capnella.
The xenicane featured a cyclononane ring, and usually, a tetrahydropyran ring bearing a long carbon chain fuses to the aforementioned macro ring. It might be worth pointing out that the 6β-epimer of 45, which was named 9-deacetoxy-14,15-deepoxyxeniculin, was afforded by the soft corals Xenia obscuronata [98] and Eleutherobia aurea [99], as well as the plant Boerhavia diffusa [100]. However, all of these four compounds have not been obtained from other natural sources. Therefore, they were characteristic chemical components of Capnella soft corals.
5. Steroids
An account of 20 compounds were reported from soft corals of the genus Capnella (Figure 13). These steroids could be divided into three groups: ergostane, pregnane, and gorgostane. The major difference between them is the features of the side chain. For pregnane, its side chain is usually vinyl. For gorgostane, its side chain possesses cyclopropane. The left compounds belong to the ergostane steroids.
Figure 13.
Chemical structures of steroids obtained from soft corals of the genus Capnella.
Analysis of complex sterol mixtures of C. imbricata by the mass-analyzed ion kinetic energy spectrometry led to the identification of five sterols 49–53 [73]. Recently, the presence of steroids 50, 51, and 53 in the Madagascan soft coral C. fungiformis was reported [47].
Pregnane sterols 54–56 from Australian soft corals Capnella sp. nov. and C. erecta were illustrated. Notably, the structure of 54 was confirmed by a single-crystal X-ray diffraction [74]. It might be worth pointing out that compound 56 was also obtained from the soft coral Sinularia sp., whose structure was also corroborated by the X-ray diffraction analysis [101].
The South African soft coral C. thyrsoidea also afforded pregnane steroid 56 together with two new compounds 57 and 58. It was found that components 56 and 57 stimulated superoxide production in rabbit neutrophils [45]. Additionally, a structure-based virtual docking study suggested 56 as a potential hit with inhibitory activity against plasmodial proteases and selectivity on human cathepsins [75].
Five highly oxygenated sterols (gorgosterols 59 and 60 and ergosterols 61–63) were isolated from the Australian soft coral C. lacertiliensis. All sterols displayed the antifungal potential against Microbotryum violacea. Moreover, steroids 59 and 63 showed inhibition against Eurotium repens, whereas 61 and 63 exhibited weak tyrosine kinase p56lck inhibition [50].
Recently, the Formosan soft coral C. imbricata afforded two new sterols 64 and 65 with a cross-conjugated dienone structural unit in ring A. These two metabolites showed reduction in iNOS levels and promotion in COX-2 release [46]. Further study on this species yielded three steroids 66–68. In this study, the absolute configuration of sterol 68 was determined for the first time by single-crystal X-ray diffraction analysis. The effects of a moderate reduction in iNOS levels for secondary metabolites 66–68 were observed [76].
It is well known that steroids are one enormous cluster of secondary metabolites from soft corals [2,4]. Among the aforementioned steroids, some of the known compounds were frequently encountered in the investigations of soft corals of various species. For instance, compound 50 was found as a metabolite of soft corals such as Sinularia depressa [102], Sinularia nanolobata [103], Sinularia humilis [104], Litophyton arboreum [105], Sinularia terspilli [106], Nephthea erecta [107], Sinularia flexibilis [108], Dendronephthya sp. [109], Sinularia gibberosa [108], Litophyton viridis [110], Sarcophyton glaucum [111], etc. Accordingly, their wide distribution limited their chemotaxonomic significance. However, those new compounds have hardly been reported from other natural sources. Therefore, most of them could be considered as the specific chemical constituents of Capnella soft corals.
6. Lipid
Figure 14.
Chemical structure of the lipid obtained from soft corals of the genus Capnella.
This compound was found in various natural sources, including the soft coral Dendronephthya hemprichi [112], the terrestrial plants Euonymus latifolius [113], Trichilia gilgiana [114], and Pinus massoniana [115], and the marine seaweeds Codium tomentosum and Plocamium cartilagineum [116]. Its widespread distribution limited the possibility as a featured component of Capnella soft corals.
7. The Preliminary Summary of Structure-Activity Relationships of the Terpenes from Soft Corals of the Genus Capnella
7.1. Sesquiterpenes
7.1.1. Capnellane Sesquiterpenes
The capnellane sesquiterpenes were evaluated mainly for cytotoxic and anti-inflammatory activities as depicted in Table 1.
A comparison of 2 and 18 showed the substitution of 10-hydroxyl in 2 could broaden the cytotoxicity against different cell lines [48]. The observed assessment revealed that the presence of hydroxyl groups in C-5 and C-10 in 4 significantly inhibited COX-2 protein expression at a concentration of 10 µM, as compared with 18 [44]. Interestingly, acetylation of 8-hydroxyl and the remaining 10-hydroxyl in 20 still kept the remarkable inhibition against the expression of COX-2 [44]. It was likely that the oxidation of 8-hydroxyl in 21 and 24 led to the loss of reduction of iNOS and COX-2 expression [51]. Seemingly, the substituted 6-hydroxyl in 28 promoted the COX-2 expression, whereas 2-hydroxyl in 30 reduced the expression of COX-2 [44].
7.1.2. Bicyclogermacrane Sesquiterpenes
The seven bicyclogermacrane sesquiterpenes 31–37 were subjected to anti-inflammatory, antibacterial, and cytotoxic activities as shown in Table 1.
A comparison of 31 and 32 revealed that the Z configuration of double bond Δ6 in 32 significantly reduced the anti-inflammatory activity [70]. Additionally, the stereo difference of Δ6 in 34–37 had an impact on the antibacterial properties [49]. The shift of Δ6 to Δ5 in 33 resulted in the loss of antibacterial activity against E. coli and S. aureus [72] and cytotoxicity activity against SIT cells [71]. For the bioactive compounds 34–37, the change of hydroxyl and hydroperoxyl groups did not improve cytotoxicity [71].
7.2. Diterpenes
The result of anti-inflammatory bioassay of four xenicane diterpenes 45–48 indicated that the presence of the epoxide in 46 led to the loss of anti-inflammatory activity [45]. A comparison of 48 and 49 indicated that the substitution of a hydroxyl group at C-15 in 47 slightly improved the anti-inflammatory activity at a low concentration.
8. The Characteristic 1H and 13C NMR Data of the Secondary Metabolites from Soft Corals of the Genus Capnella
Among these secondary metabolites from soft corals of the genus Capnella, a large quantity of them were discovered from natural sources for the first time. Herein, the characteristic 1H and 13C NMR data of the new chemical constituents were provided in the following tables. However, the NMR data of known compounds such as 20, 21, 39, 41, and 42 were not given in the literature. Hopefully, the available information of NMR data will be useful for readers who are experts in the structural determination of natural products.
Based on their structural features, the reported 1H and 13C NMR data of new metabolites were present as described below.
8.1. Sesquiterpenes
8.1.1. Capnellane Sesquiterpenes
The capnellane sesquiterpenes were the most abundant sesquiterpenes from soft corals of the genus Capnella. Notably, almost all of them were found as novel compounds. It might be worth pointing out that the NMR data of some new compounds such as 7, 8, 10, 12, and 15 were not given in their corresponding works. Additionally, the full assignments of the 1H and/or 13C NMR data of a few chemical substances such as 1–3 were not completed in their very early investigations; thus, these data were presented as a paragraph instead of a table. The 1H and 13C NMR data of the left compounds were provided in Table 3, Table 4, Table 5, Table 6 and Table 7.
Compound 1: 1H NMR (CDCl3): δH 5.38 (d, J = 1.5 Hz, 2H), 4.83 (m, 1H), 4.10 (dd, J = 11.0, 6.5 Hz, 1H), 1.28 (s, 3H), 1.20 (s, 3H), 1.01 (s, 3H) [52]; 1H NMR (CDCl3): δH 5.38 (d, J = 1.5 Hz, 2H), 4.83 (m, 1H), 4.13 (dd, J = 6, 5 Hz, 1H), 1.28 (s, 3H), 1.20 (s, 3H), 1.05 (s, 3H) [58]; 13C NMR (CDCl3): see Table 2.
Compound 2: 1H NMR (CDCl3): δH 5.33 (br s, 1H), 5.31 (br s, 1H), 4.80 (m, 1H), 1.26 (s, 3H), 1.24 (s, 3H), 1.08 (s, 3H) [58]; 13C NMR (CDCl3): see Table 2.
Compound 3: 1H NMR (C5D5N/D2O 1:1): δH 5.40 (m, 2H), 5.33 (m, 1H), 4.60 (m, 1H), 3.82 (dd, 2H), 1.68 (s, 3H), 1.42 (s, 3H) [63]; 13C NMR (CD3OD): see Table 2.
Compound 4: 1H NMR (CD3OD/CD3COCD3 1:1): δH 5.20 (m, 2H), 4.80 (m, 1H), 3.86 (d, J = 5.5 Hz, 1H), 1.32 (s, 3H), 1.18 (s, 3H), 1.12 (s, 3H) [58]; 13C NMR (CDCl3): see Table 2.
Compound 5: 1H NMR (CDCl3): δH 5.37 (m, 1H), 4.70 (m, 1H), 3.70 (m, 1H), 1.45 (s, 3H), 1.28 (s, 3H), 1.16 (s, 3H) [58]; the recent full assignments of 1H and 13C NMR (CDCl3): see Table 3.
Compound 6: 1H NMR (CDCl3): δH 4.94 (br s, 1H), 4.82 (br s, 1H), 1.16 (s, 3H), 1.08 (s, 3H), 0.98 (s, 3H) [64]; 13C NMR (CDCl3): δC 158.75, 105.08, 69.12, 53.39, 52.34, 48.00, 46.07, 42.37, 41.73, 40.63, 31.83, 31.56, 30.84, 29.11, 26.07 [64].
Compound 9: 1H NMR (CDCl3): δH 5.36 (br s, 2H), 5.1 (dd, J = 12.5, 8 Hz, 1H), 4.8 (m, 1H), 1.95 (s, 3H), 1.32 (s, 3H), 1.24 (s, 3H), 0.98 (s, 3H) [66].
Compound 11: 1H NMR (CDCl3): δH 5.38 (br s, 2H), 4.8 (m, 1H), 4.6 (d, J = 6.5 Hz, 1H), 2.03 (s, 3H), 1.21 (s, 3H), 1.12 (s, 3H), 1.12 (s, 3H) [66].
Compound 13: 1H NMR (CDCl3): δH 5.18 (br s, 2H), 5.0 (dd, J = 9, 9 Hz, 1H), 4.68 (m, 1H), 3.96 (d, J = 10.5 Hz, 1H), 2.03 (s, 3H), 1.94 (s, 3H), 1.28 (s, 3H), 0.88 (s, 3H) [66].
Compound 14: 1H NMR (CDCl3): δH 5.43 (br s, 2H), 4.85 (dd, J = 6, 6 Hz, 1H), 4.8 (m, 1H), 4.66 (d, J = 5 Hz, 1H), 2.06 (s, 3H), 2.03 (s, 3H), 1.25 (s, 3H), 1.22 (s, 3H), 1.12 (s, 3H) [66].
Table 2.
The 13C NMR data of compounds 1–4.
Table 2.
The 13C NMR data of compounds 1–4.
| No. | 1 [58] | 2 [58] | 3 [63] | 4 [58] |
|---|---|---|---|---|
| δC 1 | δC 1 | δC 2 | δC 1 | |
| 1 | 38.6 | 43.3 | 44.10 | 43.7 |
| 2 | 51.7 | 42.7 | 46.66 | 42.4 |
| 3 | 81.4 | 41.4 | 81.01 | 32.9 |
| 4 | 52.6 | 49.3 | 52.42 | 53.2 |
| 5 | 45.3 | 45.6 | 45.95 | 82.8 |
| 6 | 49.8 | 48.7 | 50.10 | 56.1 |
| 7 | 38.1 | 36.8 | 38.44 | 34.6 |
| 8 | 73.8 | 72.4 | 73.84 | 72.4 |
| 9 | 161.5 | 160.3 | 161.90 | 159.9 |
| 10 | 89.8 | 88.8 | 89.11 | 86.0 |
| 11 | 65.5 | 64.6 | 63.54 | 64.0 |
| 12 | 109.1 | 107.5 | 109.09 | 108.4 |
| 13 | 25.0 | 31.5 | 24.80 | 30.8 |
| 14 | 32.9 | 30.3 | 73.84 | 31.4 |
| 15 | 26.1 | 23.2 | 21.96 | 24.1 |
1 Recorded in CDCl3. 2 Recorded in CD3OD.
Table 3.
The 1H and 13C NMR data of compounds 5, 16, and 17.
Table 3.
The 1H and 13C NMR data of compounds 5, 16, and 17.
| No. | 5 [44] | 16 [67] | 17 [68] | |||
|---|---|---|---|---|---|---|
| δH 1 | δC 1 | δH 2 | δC 2 | δH 2 | δC 2 | |
| 1 | 46.9 | 43.94 | 47.15 | |||
| 2 | 4.03 dd (5.4, 5.4) | 82.2 | 1.55 m | 43.17 | 3.57 dd (5.0, 4.0) | 83.37 |
| 1.46m | ||||||
| 3 | 2.09 dd (13.8, 5.4) | 50.0 | 1.75 m | 41.98 | 2.11 m | 39.74 |
| 1.55 dd (13.8, 5.4) | 1.57 m | 2.15 m | ||||
| 4 | 47.6 | 49.94 | 50.91 | |||
| 5 | 1.48 m | 46.8 | 1.95 dd (9.0, 4.5) | 46.22 | 3.20 d (1.0) | 81.40 |
| 2.04 dd (13.8, 8.4) | 1.36 dd (7.4, 6.0) | |||||
| 6 | 2.34 m | 51.1 | 2.51 m | 49.61 | 2.35 m | 57.04 |
| 7 | 2.32 m | 38.1 | 1.48 ddd (15.2, 9.0, 4.8) | 37.88 | 1.40 m | 35.76 |
| 1.50 m | 2.35 ddd (10.0, 6.0, 2.6) | 2.28 m | ||||
| 8 | 4.74 m | 73.7 | 4.80 m | 73.51 | 4.62 m | 72.00 |
| 9 | 162.2 | 162.25 | 162.00 | |||
| 10 | 90.5 | 90.13 | 85.12 | |||
| 11 | 2.17 s | 64.7 | 1.46 m | 65.69 | 2.02 s | 62.05 |
| 12 | 5.34 d (1.8) | 110.3 | 5.32 d (2.0) | 109.51 | 5.15 m | 107.21 |
| 5.39 d (1.8) | 5.30 d (2.0) | |||||
| 13 | 1.27 s | 34.4 | 1.35 s | 32.71 | 1.03 s | 32.80 |
| 14 | 1.11 s | 24.2 | 1.09 s | 31.40 | 1.11 s | 25.33 |
| 15 | 1.27 s | 23.0 | 1.26 s | 24.08 | 1.10 s | 23.70 |
1 Recorded in CDCl3. 2 The deuterated solvent was not given.
Table 4.
The 1H and 13C NMR data of compounds 18 and 19.
Table 4.
The 1H and 13C NMR data of compounds 18 and 19.
| No. | 18 [48] | 19 [48] | ||
|---|---|---|---|---|
| δH 1 | δC 1 | δH 1 | δC 1 | |
| 1 | 42.5 | 43.4 | ||
| 2 | 1.51 m | 41.5 | 1.68 dd (11.2, 5.6) | 43.8 |
| 1.55 t (11.2) | ||||
| 3 | 2.09 m | 40.5 | 5.08 dd (10.6, 5.6) | 82.1 |
| 1.45 m | ||||
| 4 | 53.3 | 51.4 | ||
| 5 | 1.79 dd (13.8, 8.4) | 48.9 | 2.25 m | 45.6 |
| 1.51 dd (13.8, 4.8) | 1.20 m | |||
| 6 | 2.22 ddt (7.6, 3.5, 4.2) | 42.1 | 2.52 m | 49.2 |
| 7 | 2.13 dd (8.4, 4.2) | 40.3 | 2.35 m | 38.3 |
| 1.39 m | 1.42 dt (14.4, 4.0) | |||
| 8 | 4.74 tt (8.0, 4.2) | 75.6 | 4.75 m | 73.5 |
| 9 | 160.6 | 161.8 | ||
| 10 | 2.36 ddd (4.6, 2.8, 1.6) | 49.5 | 87.9 | |
| 11 | 1.75 d (3.3) | 68.0 | 2.30 s | 64.9 |
| 12 | 5.05 t (2.5) | 105.4 | 5.30 t (2.5) | 109.7 |
| 4.96 t (2.4) | ||||
| 13 | 1.24 s | 32.1 | 0.82 s | 25.3 |
| 14 | 1.02 s | 30.8 | 3.55 d (9.4) | 74.1 |
| 3.42 d (9.4) | ||||
| 15 | 0.82 s | 26.1 | 1.31 s | 20.8 |
| COCH3 | 171.1 | |||
| COCH3 | 1.99 s | 21.0 | ||
1 Recorded in CDCl3.
Table 5.
The 1H and 13C NMR data of compounds 22–24.
Table 5.
The 1H and 13C NMR data of compounds 22–24.
| No. | 22 [51] | 23 [51] | 24 [51] | |||
|---|---|---|---|---|---|---|
| δH 1 | δC 1 | δH 1 | δC 1 | δH 1 | δC 1 | |
| 1 | 47.2 | 44.5 | 44.7 | |||
| 2 | 1.41 m | 36.2 | 1.46 m | 43.9 | 1.56 m | 42.3 |
| 1.58 m | 1.66 m | |||||
| 3 | 1.42 m | 39.8 | 1.69 m | 37.5 | 1.78 m | 40.4 |
| 4 | 53.6 | 55.5 | 55.2 | |||
| 5 | 1.49 m | 48.8 | 1.60 m | 41.5 | 1.03 dd (12.3, 4.5) | 46.2 |
| 1.80 dd (12.8, 8.1) | 1.88 dd (14.2, 10.1) | 2.09 dd (12.3, 8.0) | ||||
| 6 | 2.43 m | 41.6 | 2.67 m | 49.5 | 3.02 m | 44.1 |
| 7 | 1.39 m | 39.7 | 1.59 m | 38.2 | 2.05 dd (18.4, 2.0) | 42.2 |
| 2.25 m | 2.28 m | 2.64 dd (18.4, 6.5) | ||||
| 8 | 4.51 t (5.2) | 75.5 | 4.78 m | 74.2 | 211.3 | |
| 9 | 160.2 | 164.3 | 135.5 | |||
| 10 | 2.86 m | 49.1 | 90.6 | 186.7 | ||
| 11 | 1.89 d (3.2) | 65.2 | 2.02 s | 62.5 | 2.47 s | 61.9 |
| 12 | 5.00 s | 105.9 | 5.41 s | 111.8 | 4.32 dd (13.4, 1.7) | 56.8 |
| 5.14 s | 5.43 s | 4.37 dd (13.4, 1.7) | ||||
| 13 | 1.23 s | 31.6 | 3.35 m | 71.4 | 1.24 s | 30.1 |
| 14 | 1.15 s | 26.7 | 1.21 s | 30.7 | 1.21 s | 31.1 |
| 15 | 3.48 d (10.8) | 69.9 | 1.29 s | 23.8 | 0.87 s | 26.0 |
| 3.58 d (10.8) | ||||||
1 Recorded in CDCl3.
Table 6.
The 1H and 13C NMR data of compounds 25 and 26.
Table 6.
The 1H and 13C NMR data of compounds 25 and 26.
| No. | 25 [51] | 26 [51] | ||
|---|---|---|---|---|
| δH 1 | δC 1 | δH 1 | δC 1 | |
| 1 | 44.3 | 43.9 | ||
| 2 | 1.45 m | 43.6 | 1.44 m | 41.7 |
| 3 | 1.54 m | 41.7 | 1.53 m | 40.9 |
| 1.64 m | ||||
| 4 | 50.2 | 53.6 | ||
| 5 | 1.26 dd (9.5, 13.8) | 45.3 | 1.45 m | 48.4 |
| 1.83 dd (9.5, 13.8) | 1.77 m | |||
| 6 | 2.77 m | 48.1 | 2.48 m | 42.6 |
| 7 | 1.47 m | 35.6 | 1.54 m | 36.3 |
| 2.51 m | 2.25 m | |||
| 8 | 5.72 m | 75.4 | 5.53 t (3.4) | 76.2 |
| 9 | 151.5 | 156.3 | ||
| 10 | 95.7 | 2.71 m | 49.5 | |
| 11 | 2.34 s | 65.3 | 1.78 m | 67.7 |
| 12 | 5.45 d (2.2) | 116.4 | 4.99 s | 108.6 |
| 5.51 d (2.2) | 5.08 s | |||
| 13 | 1.09 s | 31.9 | 1.19 s | 31.6 |
| 14 | 1.11 s | 31.4 | 1.06 s | 30.2 |
| 15 | 1.12 s | 24.4 | 0.98 s | 25.5 |
| 8-COCH3 | 170.9 | 171.9 | ||
| 8-COCH3 | 2.07 s | 21.3 | 2.09 s | 21.4 |
| 10-COCH3 | 169.6 | |||
| 10-COCH3 | 1.95 s | 22.0 | ||
1 Recorded in CDCl3.
Table 7.
The 1H and 13C NMR data of compounds 27–29.
Table 7.
The 1H and 13C NMR data of compounds 27–29.
| No. | 27 [62] | 28 [44] | 29 [44] | |||
|---|---|---|---|---|---|---|
| δH 1 | δC 1 | δH 1 | δC 1 | δH 1 | δC 1 | |
| 1 | 49.9 | 42.1 | 44.2 | |||
| 2 | 1.77 dd (12.6, 6.6) | 38.3 | 1.47 m | 40.6 | 1.34 m | 41.0 |
| 1.41 dt (12.6, 7.2) | 2.05 m | |||||
| 3 | 1.65 m | 41.9 | 1.64 m | 41.3 | 1.71 dd (8.0, 2.5) | 42.4 |
| 1.62 m | 1.64 dd (8.0, 2.0) | |||||
| 4 | 49.8 | 49.8 | 47.7 | |||
| 5 | 1.37 dd (13.8, 8.4) | 46.1 | 2.04 d (13.5) | 55.4 | 1.83 d (13.5) | 52.1 |
| 1.93 dd (13.8, 9.0) | 1.79 d (13.5) | 1.97 d (13.5) | ||||
| 6 | 2.47 m | 49.4 | 88.0 | 72.7 | ||
| 7 | 2.36 dd (13.2, 8.4) | 37.6 | 2.26 dd (13.0, 7.5) | 48.3 | 2.33 dd (16.5, 8.0) | 43.6 |
| 1.53 dt (13.2, 6.0) | 1.83 dd (13.0, 10.0) | 1.91 dd (15.0, 8.0) | ||||
| 8 | 4.82 br s | 73.6 | 4.80 br s | 75.1 | 4.79 br s | 87.4 |
| 9 | 161.4 | 159.7 | 160.2 | |||
| 10 | 90.2 | 2.68 dd (7.0, 2.0) | 58.3 | 89.7 | ||
| 11 | 2.04 s | 65.4 | 1.62 m | 69.1 | 1.88 s | 67.0 |
| 12 | 5.40 d (1.8) | 110.5 | 4.99 t (2.0) | 107.8 | 5.38 d (2.0) | 112.5 |
| 5.43 d (1.8) | 5.17 t (2.0) | 5.42 d (2.0) | ||||
| 13 | 1.16 s | 32.7 | 1.21 s | 32.1 | 1.31 s | 33.4 |
| 14 | 1.17 s | 27.0 | 1.04 s | 30.0 | 1.03 s | 31.8 |
| 15 | 3.61 d (11.4) | 68.6 | 1.10 s | 26.6 | 1.38 s | 25.0 |
| 3.89 d (11.4) | ||||||
1 Recorded in CDCl3.
Most capnellane sesquiterpenes possessed a terminal double bond Δ9(12), which was characterized by two singlet proton peaks usually at δH 5.50–5.00 and 5.00–4.50 in the 1H NMR spectrum and two carbon signals appeared at δC ca. 160 and 110 ppm in the 13C NMR spectrum. In addition, hydroxylation frequently occurred for this type of sesquiterpenes. If it was hydroxylated at C-2, the 1H NMR signal at δH 4.03 ppm indicated the 2β-orientation for the hydroxyl group; whereas δH 3.57 ppm suggested the 2α-configuration. When the hydroxyl group was substituted at C-3, the proton resonated at δH 4.10 ppm. If the hydroxyl was on the 8β face, the 1H and 13C NMR chemical shifts of the methine were δH 4.80–4.74 ppm and δC 74.2–73.6 ppm, respectively; conversely, the 1H and 13C NMR data were δH 4.62 ppm and δC 72.0 ppm, respectively. However, the chemical shifts δH 4.51 ppm and δC 75.5 ppm of sesquiterpene 22 was an exception. Perhaps it was affected by other functional groups in its chemical structure. The occurrences of hydroxylation at C-5 and C-10 resulted in the carbon resonances at δC 82.8–81.4 ppm and δC 90.6–89.1 ppm, respectively. The chemical shifts of C-10 of compounds 4, 17, and 19 were inconsistent with the aforementioned rule, which revealed the possible influences caused by other substituents in their chemical structures.
8.1.2. Precapnellane Sesquiterpene
Precapnelladiene (30) was the sole precapnellane sesquiterpene from soft corals of the genus Capnella. Only the 1H NMR data was recorded when it was discovered as a new hydrocarbon [69]. Until Paquette and co-workers completed the total synthesis of 30 [117], the 13C NMR data were reported.
Compound 30: 1H NMR (CDCl3): δH 5.34 (t, J = 8.4 Hz, 1H), 5.06 (s, 1H), 3.54 (m, 1H), 2.91 (q, J = 11.5 Hz, 1H), 2.4 (m, 2H), 1.64 (s, 3H), 1.03 (d, J = 5.2 Hz, 3H), 0.97(s, 6H) [69]; 1H NMR (CDCI3): δH 5.33 (t, J = 8.3 Hz, 1H), 5.02 (d, J =1.5 Hz, 1H), 3.51 (dt, J = 13.0, 6.0 Hz, 1H), 2.90 (dd, J = 13.0, 9.3 Hz, 1H), 2.38 (m, 2H), 1.8–1.5 (br m, 4H), 1.63 (br s, 3H), 1.42 (m, 1H), 1.25 (m, 1H), 1.04 (d, J = 6.8 Hz, 3H), 0.99 (s, 3H), 0.97 (s, 3H) [117]; 13C NMR (CDCl3): δC 145.5, 136.2, 130.3, 121.8, 42.4, 40.5, 39.6, 38.9, 38.7, 33.7, 31.5, 31.3, 29.8, 26.7, 22.0 [117].
Compared to the common structural features of capnellane sesquiterpenes, the distinct characteristics of 30 were attributable to two isolated olefinic protons (δH 5.34 and 5.06 ppm), one allylic methyl (δH 1.64 ppm) and one doublet methyl (δH 1.03 ppm).
8.1.3. Bicyclogermacrane Sesquiterpenes
All the 1H and 13C NMR data of capgermacrenes A–G (31–37) were available and supplemented in Table 8, Table 9 and Table 10.
Table 8.
The 1H and 13C NMR data of compounds 31–33.
Table 9.
The 1H and 13C NMR data of compounds 34 and 35.
Table 10.
The 1H and 13C NMR data of compounds 36 and 37.
The characteristic of these secondary metabolites was the presence of a cyclopropane ring. As demonstrated in Table 8, Table 9 and Table 10, the 1H NMR peaks at δH 1.45–0.82 and 1.39–0.68 ppm were two indicative signals of H-1 and H-10 of the cyclopropane in the chemical structures of 31–37. Interestingly, if there was no exomethylene at C-3, one signal of the cyclopropane appeared at δH 0.77 or ca. 1.38 ppm, and the other appeared at δH 1.32 or ca. 1.44 ppm. When the exomethylene existed at C-3, two signals of the cyclopropane were observed at δH 1.03–0.82 ppm and δH 1.06–0.87 ppm. However, in the 13C NMR data of C-1 (δC 33.8–25.0 ppm) and C-2 (δC 30.1–24.7 ppm), it was it difficult to recognize the presence of cyclopropane, due to the confusing wide ranges of their chemical shifts.
Another common structural feature of these secondary metabolites was the α,β-conjugated ketone moiety. The chemical shift of H-6 could be regarded as an indicator of the configuration of double bond Δ6 in the subunit α,β-conjugated ketone. No matter the presence or absence of exomethylene at C-3, the 1H NMR signal resonating at δH > 6.0 ppm supported the E-configuration of Δ6, whereas δH < 6.0 ppm suggested the Z-configuration. For compounds 34–37, the difference of 13C NMR data of C-6 and C-7 could be used to determine the configuration of Δ6. As illustrated in Table 9 and Table 10, the chemical-shift difference ΔδC≈0 ppm was observed for the E-configuration of Δ6; conversely, the chemical-shift difference ΔδC > 6 ppm.
8.1.4. Germacrane Sesquiterpene
Only compound capgermacrene H (39) was found as a new germacrane sesquiterpene. The 1H and 13C NMR data of this sesquiterpene were measured in two solvents CDCl3 and C6D6 (Table 11), respectively.
Table 11.
The 1H and 13C NMR data of compound 39.
The major difference between compound 39 and the seven bicyclogermacrane sesquiterpenes 31–37 was the presence of the isopropenyl group instead of the cyclopropane. The 1H NMR signals at δH 4.79, 4.78, and 1.76 ppm recorded in CDCl3, and 13C NMR peaks at δC 145.9, 110.3, and 20.9 ppm recorded in CDCl3 were attributable to the isopropenyl group.
8.1.5. Farnesane Sesquiterpenes
The 1H and 13C NMR data of two farnesane sesquiterpenes 42 and 43 are shown in Table 12.
Table 12.
The 1H and 13C NMR data of compounds 42 and 43.
The chemical structures of these two compounds differed in the geometry of the double bond Δ9. As revealed in Table 12, the 1H NMR chemical shift of H-9 of the Z-geometry of Δ9 in 42 moved upfield, compared with that of 43. Meanwhile, the 13C NMR chemical shift of C-9 in 42 was upfield, too.
8.1.6. Guaiane Sesquiterpene
The 1H and 13C NMR data of guaiane sesquiterpene 44 are listed in Table 13.
Table 13.
The 1H and 13C NMR data of compound 44.
8.2. Diterpenes
Four diterpenes were reported from soft corals of the genus Capnella, which were xenicanes 45–48. Their 1H and 13C NMR data are displayed in Table 14 and Table 15.
Table 14.
The 1H and 13C NMR data of compounds 45 and 46.
Table 15.
The 1H and 13C NMR data of compounds 47 and 48.
It is important to assign the cis/trans-fusion of two macro rings in the xenicane diterpenes. For compounds 47 and 48 that shared the same bicyclic nucleus, the characteristic chemical shifts of H-4a and H-11a were δH ca. 3.38 and 2.61 ppm, respectively, while the diagnostic chemical shifts of C-4a and C-11a were δC ca. 28.4 and 48.0 ppm, respectively (Table 15). However, these 1H and 13C NMR data changed with the variations of functional groups on the bicyclic nucleus. The remarkable difference in chemical shifts for diterpenes 45 and 46 is reported in Table 14.
8.3. Steroids
Among this group of secondary metabolites from soft corals of the genus Capnella, more than half were discovered as new compounds, whose 1H and 13C NMR data are provided in Table 17, Table 18, Table 19 and Table 20. Since 1H and 13C NMR data of some known compounds such as 50, 51, and 53 were recorded in the literature, their NMR data will be given in this manuscript (Table 16). It might be worth pointing out that the 13C NMR data of new compound 55 were not given in the literature. Additionally, the full assignments of the 1H and 13C NMR data of 54 as well as the 1H NMR data of 55 were not completed.
Table 17.
The 1H and 13C NMR data of compounds 56–58.
Table 18.
The 1H and 13C NMR data of compounds 59–61.
Table 19.
The 1H and 13C NMR data of compounds 62 and 63.
Table 20.
The 1H and 13C NMR data of compounds 64–66.
Table 16.
The 1H and 13C NMR data of compounds 50, 51, and 53.
Compound 54: 1H NMR (CDCl3): δH 6.81 (d, J = 8.5 Hz, 1H), 6.69 (d, J = 8.5 Hz, 1H), 5.80 (m, 1H), 5.66 (s, 1H), 4.98 (d, J = 14 Hz, 2H), 3.86 (s, 3H), 2.93 (dd, J = 17, 5 Hz, 1H), 2.64 (m, 1H), 2.31–1.17 (m, 14H), 0.62 (s, 3H) [74]; 13C NMR (CDCl3): δC 144.04, 142.94, 139.83, 134.56, 123.46, 115.95, 114.56, 107.96, 56.13, 55.58, 54,90, 44.32, 43.84, 38.50, 37.66, 27.41, 27.41, 26.43, 24.50, 23.40, 12.88 [74].
Compound 55: 1H NMR (CDCl3): δH 7.12 (d, J = 9 Hz, 1H), 6.56 (dd, J = 9, 2 Hz, 1H), 6.51 (s, 1H), 5.8 (m, 1H), 4.93 (d, J = 14 Hz, 2H), 2.65 (m, 2H), 2.4–1.1 (m, 15H), 0.60 (s, 3H) [74].
Compound 56: 1H NMR (CDCl3): δH 7.05 (d, J = 10 Hz, 1H), 5.75 (d, J = 10 Hz, 1H), 5.65 (m, 1H), 4.9 (d, J = 14 Hz, 2H), 2.4–1.1 (m, 19H), 1.0 (s, 3H), 0.60 (s, 3H) [74]; the later full assignments of 1H and 13C NMR (CDCl3): see Table 17.
The typical 1H NMR chemical shift at δH ca. 3.51 ppm was indicative of β-OH at C-3 of steroids. Usually, there was a double bond Δ5 in the chemical structures, which was supported by the characteristic 1H NMR chemical shift at δH ca. 5.30 ppm and the 13C NMR chemical shifts at δC ca. 141 and 121 ppm. For the vinyl group, its 1H and 13C NMR signals were usually observed at δH ca. 5.75 and 5.00 ppm and δC ca. 136.0 and 116.0 ppm. The diagnostic resonances at δH ca. 0.45 and –0.14 ppm in the 1H NMR spectrum along with δC ca. 21.5 ppm in the 13C NMR spectrum was the evidence of the subunit cyclopropane in the side chain.
8.4. Lipid
Although 69 was a previously reported lipid, its 1H and 13C NMR data were given in the literature.
Compound 69: 1H NMR (CDCl3): δH 2.40 (t, J = 7.5 Hz, 2H), 2.12 (s, 3H), 1.58–1.52 (m, 2H), 1.29–1.22 (m, 26H), 0.87 (s, 3H) [47]; 13C NMR (CDCl3): δC 209.43, 43.84, 31.92, 29.85, 29.68 (×11), 29.65, 29.60, 29.47, 29.35, 23.88, 22.69, 14.12 [47].
9. Progress on the Chemical Synthesis of Sesquiterpenes from Soft Corals of the Genus Capnella
Among the secondary metabolites from soft corals of the genus Capnella, the complex polycyclic features of sesquiterpenes made them attractive targets for synthetic chemists. Since the early 1980s, dozens of chemical synthetical works have been reported, which mainly focused on the sesquiterpenes belonging to three types: capnellane, precapnellane, and guaiane.
9.1. Capnellane Sesquiterpenes
9.1.1. Δ9(12)-Capnellene (6)
This compound was the first chemically synthesized capnellane terpene as early as 1981 [118]. Since the beginning of the 1980s, a great number of chemists devoted themselves to the total synthesis of 6, developing an array of different starting materials including 2,2,5-trimethyl-5-hexenoic acid [118,119], cyclopentenyl carboxaldehyde [120], 2,2,5-trimethyl-5-hexenal [121], methylcyclopentadiene isomers and p-benzoquinone [122], trimethylcyclopentanone [123], 2-cyclopentenone [124], vinyl lactone [125], α,α-dimethyl-γ-lactone [126], 1,3-cyclopentadiene [127], 8,8-dimethylbicyclo[3.3.0]oct-1(5)-en-2-one [128], 3-butyn-l-ol [129], bicyclic lactam [130], α,α-dimethyl-7-butyrolactone [131], ester-substituted fulvene [132], (+)-Δ3-carene [133], (-)-2-methyl-4-trimethylsilyl-2-cyclopen~en-1-one [134], bicyclo[3.3.0]octane derivative [135], oxodicyclopentadiene [136], p-cresol [137,138], substituted cyclopentanone [139], 2-methoxy-4-methylphenol [140], 2,2-dimethylpent-4-enal [55], and cyclopropanated cyclopentenone [56].
Malacria et al. completed total synthesis of Δ9(12)-capnellene (6) using 2,2-dimethylpent-4-enal A0 as the starting material (Scheme 1) [55]. As outlined in Scheme 1, the first intermediate product A1 coupled with 3-iodocyclopent-2-enone to yield enynol A2, which was the precursor of A3. Catalyzed by the gold complex, A3 was transformed to triquinane A4. Undergoing a series of reactions, the capnellane A7 was gained from A4. A series of transformations conducted on A7 resulted in the key intermediate product A10. Finally, the methylenation of A10 afforded the desired 6.
Scheme 1.
The route of total synthesis of 6 reported in the literature [55].
Hsu et al. accomplished the total synthesis of 6 from 2-methoxy-4-methylphenol B0 (Scheme 2) [140]. As shown in Scheme 2, Diels–Alder reaction of B0 with cyclopentadiene yielded a cycloadduct B1, which was demethoxylated to afford B2. This product reacted with MeI to install the geminal dimethyl groups in B3. After the opening of the cyclopropane ring, Huang-Minlon reduction, and allylic oxidation, the linear triquinane B7 was produced. This key intermediate was subjected to hydrogenation and olefination to furnish the expected 6.
Scheme 2.
The route of total synthesis of 6 reported in the literature [140].
Li et al. accomplished the total synthesis of 6 from cyclopropanated cyclopentenone C0 (Scheme 3) [56]. As depicted in Scheme 3, the condensation of C1 and C2, which was the homoiodo allylsilane derivative of C0, yielded the bicyclic allylsilane C3. The expected tricyclic precursor C5 was prepared from the reduction product C4, and subjected to the methylation to furnish the triquinone derivative C6. Following the standard Barton−McCombie procedure, the reductive deoxygenation of C6 finally afforded 6.
Scheme 3.
The route of total synthesis of 6 reported in the literature [56].
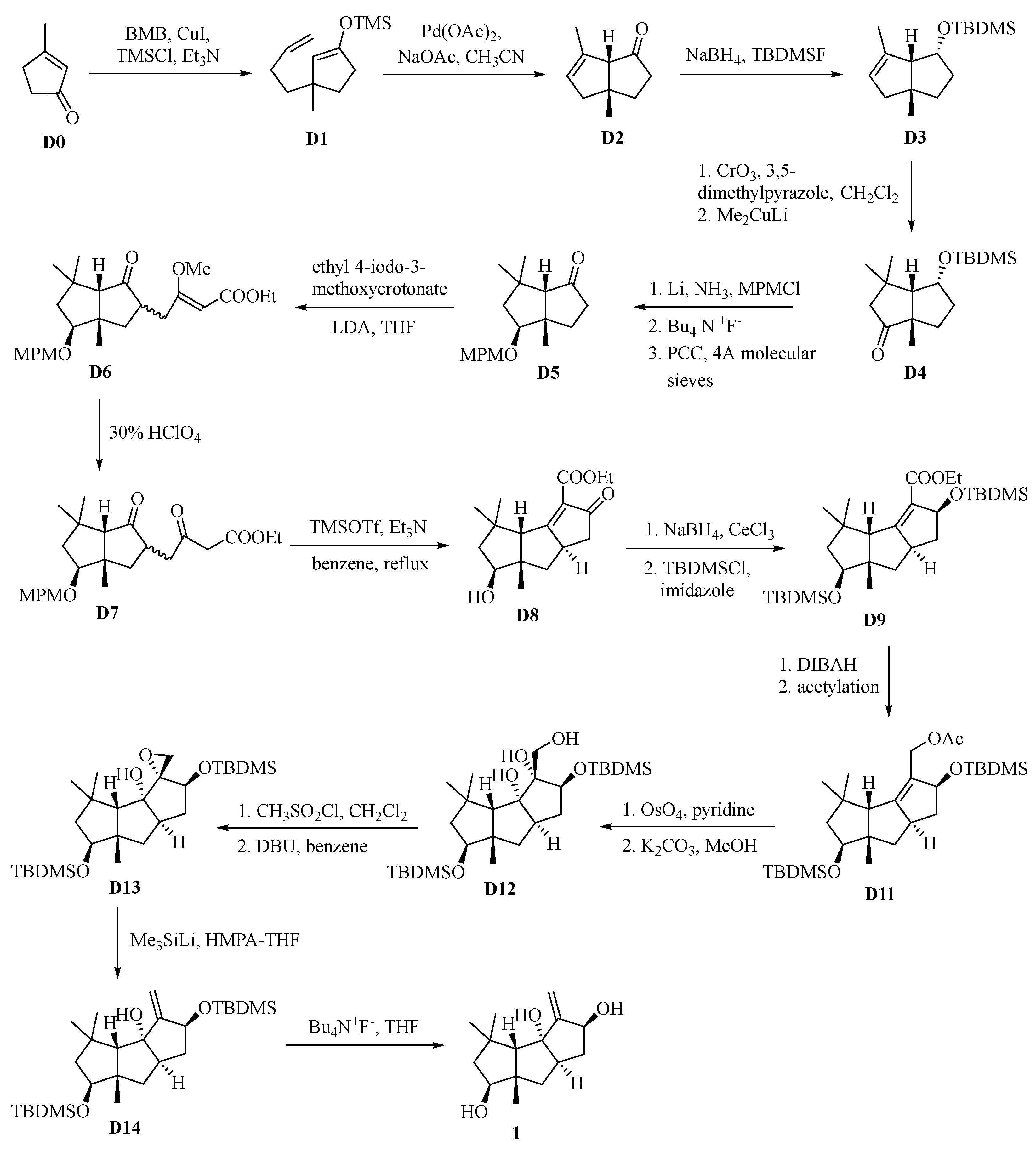
9.1.2. Δ9(12)-Capnellene-3β,8β,10α-Triol (1)
In addition, the chemical synthesis of Δ9(12)-capnellene-3β,8β,10α-triol (1) was also investigated starting from 3-methyl-2-cyclopenten-1-one and 2-metyl-1,3-cyclopentanedione [54,141,142].
The first total synthesis of 1 starting from 3-methyl-2-cyclopenten-1-one D0 was completed by Shibasaki et al. (Scheme 4) [54]. As displayed in Scheme 4, the initial product D1 was obtained from the addition to D0, which was the precursor of the cyclized product of D2. D4 was yielded from D2 after undergoing reduction, allylic oxidation, and methylation. The sequential reduction, protection, desilylation, and oxidation afforded an important derivative D5. After a series of reactions, the key tricyclic intermediate D8 was obtained. Reduction and silylation of D8 afforded D9, which was further reduced to yield D11. The following oxidation, epoxidation, elimination, and deprotection produced the desired 1.
Scheme 4.
The route of total synthesis of 1 reported in the literature [54].
9.1.3. Δ9(12)-Capnellene-8β,10α-Diol (2) and Its 8-Epimer Δ9(12)-Capnellene-8α,10α-Diol (70)
The efforts on the chemical synthesis of Δ9(12)-capnellene-8β,10α-diol (2) from 3-methyl-2-cyclopenten-1-one [54], enediol [143], and 3-methylcyclopent-2-enone [144] were reported.
Shibasaki et al. also reported the first total synthesis of 2 starting from 3-methyl-2-cyclopenten-1-one D0 (Scheme 5) [54]. As displayed in Scheme 5, the aforementioned product D1 could be transformed to E1, which yielded E2 after methylation. This intermediate product was subjected to a series of reactions to afford the key tricyclic intermediate E5. Reduction of E5 gave E6, which was silylated to produce E7. Followed by reduction, epoxidation, elimination, and deprotection, 2 was successfully yielded.
Scheme 5.
The route of total synthesis of 2 reported in the literature [54].
3-Methylcyclopent-2-enone D0 can be used as the starting material to synthesize the 8-epimer of 2, namely Δ9(12)-capnellene-8α,10α-diol (70) (Scheme 6), which was reported by Pattenden et al. [53]. As shown in Scheme 6, alkylation of D0 followed by quenching with acetic anhydride led to the enol acetate F1, which was further converted to bicyclooctanone F2. Alkylation of F2 afforded the keto-olefin F3. The following reduction and oxidation yielded the key product F5. Cyclisation of F5 furnished tricyclic derivative F6. Treatment of F6 with THBP in the presence of catalytic SeO2 gave 70.
Scheme 6.
The route of total synthesis of 70 reported in the literature [53].
9.1.4. Δ9(12)-Capnellene-3β,8β,10α,14-Tetrol (3)
The chemical synthesis of Δ9(12)-capnellene-3β,8β,10α,14-tetrol (3) have also been conducted, using 2-methyl-1,3-pentanedione [141], 3-methylcyclopent-2-enone [142] and its derived ketone [145] as starting materials.
Shibasaki et al. also reported the first total synthesis of 3 starting from the above-mentioned ketone D2 (Scheme 7) [145]. As depicted in Scheme 7, G1 underwent alkylation, oxidation, and addition, affording the tricyclic derivative G3. After an array of reactions including oxidation, silylation, and reduction, G3 was converted to the key ketone G8. The following conjugate addition of a vinyl group furnished G9, which could transfer to the hydroxymethyl product G10. The subsequent silylation, oxidation, epoxidation, elimination, and desilylation yielded the expected sesquiterpene 3.
Scheme 7.
The route of total synthesis of 3 reported in the literature [145].
9.2. Precapnellane Sesquiterpene
9.2.1. Precapnelladiene (30)
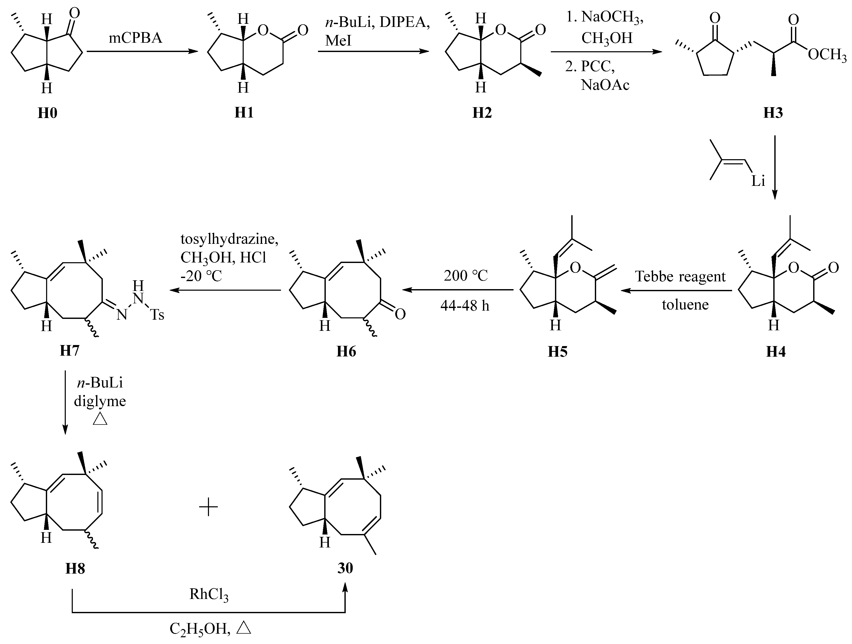
The hydrocarbon precapnelladiene (30) was considered as a possible biosynthetic precursor to various tricyclo[6.3.0.02,6]-undecanes such as capnellane sesquiterpene 2. Due to the intriguing structural features, the total synthesis has been extensively studied, in which tricyclic bis-enone [146], 6-alkenyl-2-methylenetetrahydropyran [147], 8α-methylbicyclo[3.3.0]octan-2-one [117], cyclopentapentalenedione [148], 3-methylcyclopentenone [149], 4,4-dimethyl-2-cyclohexen-1-one [150], ethyl 2-oxocyclopentanecarboxylate [151], diisopropylsquarate [152,153], and 2-methoxycarbonyl-2-cyclopenten-1-one [154] served as the starting materials.
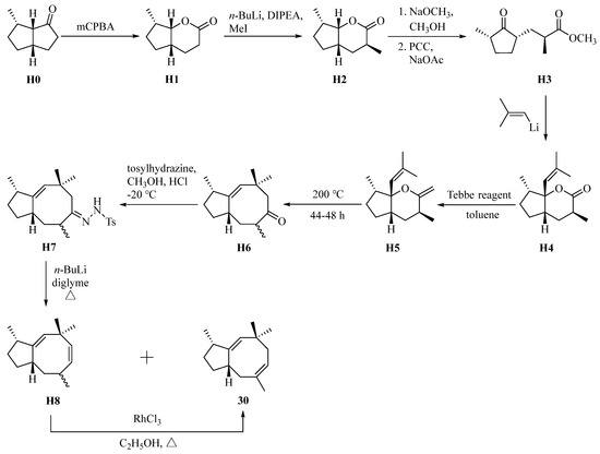
Paquette et al. completed the total synthesis of 30 from 8α-methylbicyclo[3.3.0]octan-2-one H0 (Scheme 8) [117]. As outlined in Scheme 8, Baeyer-Villiger oxidation of H0 provided H1, which was methylated to give H2. Cleavage oxidation of H2 produced H3, which was the precursor of H4. Treatment of H4 by Tebbe reagent followed by thermolysis afforded precapnellane derivative H6. The tosylhydrazone H7 was decomposed to give a mixture of the desired 30 and the isomer H8. Additionally, RhCl3-promoted isomerization of H8 yielded 30.
Scheme 8.
The route of total synthesis of 30 reported in the literature [117].
Moore et al. completed a total synthesis of 30 from diisopropylsquarate I0 (Scheme 9) [152]. As depicted in Scheme 9, I0 was subjected to addition, trifluoroacetylation, and chemoselective reduction, leading to alcohol I1. This alcohol was treated by a Grignard reagent, followed by hydrolysis and trimethylsilylation to give I2. Heating I2 yielded bicyclic derivative I3. The subsequent hydrolysis, thioacetalization, and reduction of I3 produced ketone I4. The oxy-Cope rearrangement provided the key precapnellane derivative I5. Finally, dephosphorization of I5 led to the desired 30.
Scheme 9.
The route of total synthesis of 30 reported in the literature [152].
Iguchi et al. synthetized 30 from 2-methoxycarbonyl-2-cyclopenten-1-one J0 (Scheme 10) [154]. As shown in Scheme 10, cycloaddition to J0 yielded the bicyclic derivative J1, which was converted to J2 by the Witting reaction. The subsequent reduction and oxidation of J2 afforded the aldehyde J5, which was transformed to J6 by the Witting reaction. Hydrolysis of J6 provided the key intermediate product I4. Conversion of I4 to the expected 30 was achieved according to the aforementioned procedure [152].
Scheme 10.
The route of total synthesis of 30 reported in the literature [154].
9.2.2. Epiprecapnelladiene (71)
Meanwhile, the epimer of natural product 30 called epiprecapnelladiene (71) was synthesized [155,156].
Pattenden et al. synthesized 71 from 2,4-dimethoxycyclohexa-1,4-diene K0 (Scheme 11) [156]. As displayed in Scheme 11, alkylation of K0 afforded the bisether K1, which was subjected to hydrolysis and benzoylation to give K3. Methylation of the tricyclic photoadduct K4 afforded K5. Ring cleavage of K5 yielded the key bicyclic intermediate product K6. This compound was converted to K9 after a series of reactions including aldol condensation, reduction, elimination, and hydrolysis. The Witting reaction of K9 produced K10, which transformed to 71 by isomerization.
Scheme 11.
The route of total synthesis of 71 reported in the literature [156].
9.3. Guaiane Sesquiterpene
Oxyfungiformin (44)
Chemical scientists were interested in the one guaiane sesquiterpene, oxyfungiformin (44), obtained from soft corals of the genus Capnella, and carried out the synthesis (Scheme 12) [97].
Scheme 12.
The route of total synthesis of 44 reported in the literature [97].
The selected starting material was guaiol L0, from which a mixture of γ-guaiene L1 and its diene isomers were obtained after dihydroxylation. To get the enantiomerically pure L1, the Diels–Alder addition and the decomposition of the product L2 were conducted. Lastly, double epoxidation of L1 yielded the desired oxyfungiformin (44) [97].
10. Conclusions
As presented in this work, 69 secondary metabolites were summarized from soft corals of the genus Capnella over the five decades (Table 1). Based on the general structural features, these chemical constituents can be grouped as sesquiterpenes, diterpenes, steroids, and lipids. Additionally, the 1H and 13C NMR data of these metabolites were provided when available in the literature. Interestingly, these components displayed a variety of pharmacological activities including cytotoxic, antibacterial, antifungal, anti-inflammatory, and tyrosine kinase inhibitory activities (Table 1). Due to the intriguing structural features and significant bioactivities, chemical scientists developed a vast library of strategies for the synthesis of capnellanes 1, 2, 3, and 6, precapnellane 30, and guaiane 44. Moreover, the epimers of 2 and 30 were synthesized.
As displayed on the website of the Word Register of Marine Species (WoRMS) [157], there are 29 species in the genus Capnella. However, less than one-third of the species have been chemically investigated till now (Figure 2). The limited amounts of studied species afforded a variety of secondary metabolites, which underlined the demand for a more in-depth exploration of this genus. Furthermore, it is likely that the chemotaxonomic significance of secondary metabolites needs to be highlighted, which could support the revisionary systematics of Octocorallia [43]
It might be worth pointing out that genome mining was recently applied to identify capnellane synthase CiTC-1 from C. imbricata, which could produce secondary metabolites 2 and 6 [158]. This would inspire more chemists to devote themselves to exploring more Capnella soft corals-encoded terpene cyclases.
Author Contributions
Conceptualization, L.-F.L.; formal analysis, C.-Q.L., Q.-B.Y. and L.Z.; investigation, C.-Q.L., Q.-B.Y. and L.Z.; writing—original draft preparation, C.-Q.L.; writing—review and editing, L.-F.L.; visualization, C.-Q.L., Q.-B.Y. and L.Z.; supervision, L.-F.L.; project administration, L.-F.L.; funding acquisition, L.-F.L. All authors have read and agreed to the published version of the manuscript.
Funding
This research was funded by the Natural Science Foundation of Changsha (No. kq2402254) and the National Natural Science Foundation of China (No. 41876194).
Institutional Review Board Statement
Not applicable.
Data Availability Statement
Not applicable.
Conflicts of Interest
The authors declare no conflicts of interest.
References
- Carroll, A.R.; Copp, B.R.; Grkovic, T.; Keyzers, R.A.; Prinsep, M.R. Marine natural products. Nat. Prod. Rep. 2024, 41, 162–207. [Google Scholar] [CrossRef] [PubMed]
- Savić, M.P.; Sakač, M.N.; Kuzminac, I.Z.; Ajduković, J.J. Structural diversity of bioactive steroid compounds isolated from soft corals in the period 2015–2020. J. Steroid Biochem. 2022, 218, 106061. [Google Scholar] [CrossRef]
- Nurrachma, M.Y.; Sakaraga, D.; Nugraha, A.Y.; Rahmawati, S.I.; Bayu, A.; Sukmarini, L.; Atikana, A.; Prasetyoputri, A.; Izzati, F.; Warsito, M.F.; et al. Cembranoids of soft corals: Recent updates and their biological activities. Nat. Prod. Bioprospect. 2021, 11, 243–306. [Google Scholar] [CrossRef]
- Sarma, N.S.; Krishna, M.S.; Pasha, S.G.; Rao, T.S.P.; Venkateswarlu, Y.; Parameswaran, P.S. Marine metabolites: The sterols of soft coral. Chem. Rev. 2009, 109, 2803–2828. [Google Scholar] [CrossRef]
- Liang, L.-F.; Guo, Y.-W. Terpenes from the soft corals of the genus Sarcophyton: Chemistry and biological activities. Chem. Biodivers. 2013, 10, 2161–2196. [Google Scholar] [CrossRef]
- Zubair, M.S.; Al-Footy, K.O.; Ayyad, S.-E.N.; Al-Lihaibi, S.S.; Alarif, W.M. A review of steroids from Sarcophyton species. Nat. Prod. Res. 2016, 30, 869–879. [Google Scholar] [CrossRef]
- Elkhawas, Y.A.; Elissawy, A.M.; Elnaggar, M.S.; Mostafa, N.M.; Al-Sayed, E.; Bishr, M.M.; Singab, A.N.B.; Salama, O.M. Chemical diversity in species belonging to soft coral genus Sacrophyton and its impact on biological activity: A review. Mar. Drugs 2020, 18, 41. [Google Scholar] [CrossRef]
- Lakshmi, V.; Kumar, R. Metabolites from Sinularia species. Nat. Prod. Res. 2009, 23, 801–850. [Google Scholar] [CrossRef]
- Chen, W.-T.; Li, Y.; Guo, Y.-W. Terpenoids of Sinularia soft corals: Chemistry and bioactivity. Acta Pharm. Sin. B 2012, 2, 227–237. [Google Scholar] [CrossRef]
- Liang, L.-F.; Li, Y.-F.; Liu, H.-L.; Guo, Y.-W. Chemistry and bioactivity of secondary metabolites from the soft corals of the genus Sinularia: Research advances. J. Int. Pharm. Res. 2013, 40, 643–649. [Google Scholar]
- Yan, X.; Liu, J.; Leng, X.; Ouyang, H. Chemical diversity and biological activity of secondary metabolites from soft coral genus Sinularia since 2013. Mar. Drugs 2021, 19, 335. [Google Scholar] [CrossRef] [PubMed]
- Rodrigues, I.G.; Miguel, M.G.; Mnif, W. A brief review on new naturally occurring cembranoid diterpene derivatives from the soft corals of the genera Sarcophyton, Sinularia, and Lobophytum since 2016. Molecules 2019, 24, 781. [Google Scholar] [CrossRef]
- Anjaneyulul, A.S.R.; Rao, G.V. The chemical constituents of the soft coral species of the genus Lobophytum (Alcyoniidae): A review. Nat. Prod. Sci. 1995, 1, 70–85. [Google Scholar]
- Du, Y.-Q.; Liang, L.-F.; Guo, Y.-W. Cladiella octocorals: Enormous sources of secondary metabolites with diverse structural and biological properties. Chem. Biodivers. 2023, 20, e202201065. [Google Scholar] [CrossRef] [PubMed]
- Yan, X.-Y.; Zhang, L.; Yang, Q.-B.; Ge, Z.-Y.; Liang, L.-F.; Guo, Y.-W. Genus Litophyton: A hidden treasure trove of structurally unique and diversely bioactive secondary metabolites. Mar. Drugs 2023, 21, 523. [Google Scholar] [CrossRef] [PubMed]
- Abdel-Lateff, A.; Alarif, W.M.; Alburae, N.A.; Algandaby, M.M. Alcyonium octocorals: Potential source of diverse bioactive terpenoids. Molecules 2019, 24, 1370. [Google Scholar] [CrossRef]
- Chen, Y.-H.; Chang, Y.-C.; Chen, Y.-H.; Zheng, L.-G.; Huang, P.-C.; Huynh, T.-H.; Peng, B.-R.; Chen, Y.-Y.; Wu, Y.-J.; Fang, L.-S.; et al. Natural products from octocorals of the genus Dendronephthya (family Nephtheidae). Molecules 2020, 25, 5957. [Google Scholar] [CrossRef]
- Ng, S.-Y.; Phan, C.-S.; Ishii, T.; Kamada, T.; Hamada, T.; Vairappan, C.S. Terpenoids from marine soft coral of the genus Xenia in 1977 to 2019. Molecules 2020, 25, 5386. [Google Scholar] [CrossRef]
- Wu, Y.-J.; Neoh, C.-A.; Tsai, Y.-C.; Lo, Y.-H.; Wu, Y.-C.; Wen, Z.-H.; Liaw, C.-C.; Sung, P.-J. Natural products from octocorals of the genus Verrucella (Milne Edwards & Haime, 1857). Mini-Rev. Org. Chem. 2022, 19, 686–694. [Google Scholar] [CrossRef]
- Elshamy, A.I.; Nassar, M.I.; Mohamed, T.A.; Hegazy, M.-E.F. Chemical and biological profile of Cespitularia species: A mini review. J. Adv. Res. 2016, 7, 209–224. [Google Scholar] [CrossRef]
- Wu, Q.; Sun, J.; Chen, J.; Zhang, H.; Guo, Y.-W.; Wang, H. Terpenoids from marine soft coral of the genus Lemnalia: Chemistry and biological activities. Mar. Drugs 2018, 16, 320. [Google Scholar] [CrossRef]
- Zhu, S.-H.; Chang, Y.-M.; Li, S.-W.; Su, M.-Z.; Yao, L.-G.; Liang, L.-F.; Wang, H.; Guo, Y.-W. Exploring the chemical diversity of sesquiterpenes from the rarely studied south China sea soft coral Sinularia tumulosa assisted by molecular networking strategy. Phytochemistry 2024, 222, 114110. [Google Scholar] [CrossRef] [PubMed]
- Mi, Y.; Yang, Y.; Tang, X.; Han, X.; Li, G. Sarcocinerenoids A—J, eight rare capnosane-type and two new cage-type cembranoids with promoting angiogenesis activity from the South China Sea soft coral Sarcophyton cinereum. Chin. J. Chem. 2024, 42, 815–822. [Google Scholar] [CrossRef]
- Cui, Y.-Y.; Jin, Y.; Sun, R.-N.; Wang, X.; Gao, C.-L.; Cui, X.-Y.; Chen, K.-X.; Sun, Y.-L.; Guo, Y.-W.; Li, J.; et al. The first discovery of marine polyoxygenated cembranolides as potential agents for the treatment of ulcerative colitis. J. Med. Chem. 2024, 67, 12248–12260. [Google Scholar] [CrossRef] [PubMed]
- Wang, K.; Liu, J.; Huang, J.; Leng, X.; Li, T.; Ouyang, H.; Lin, W.; Yan, X.; He, S. Discovery of uncommon terpenoids from the South China Sea soft coral Sinularia scabra. Phytochemistry 2023, 209, 113616. [Google Scholar] [CrossRef] [PubMed]
- Chen, Y.-J.; Chao, C.-H.; Huang, C.-Y.; Hwang, T.-L.; Chang, F.-R.; Dai, C.-F.; Sheu, J.-H. An unprecedented cembranoid with a novel tricyclo[9.3.0.02,12]tetradecane skeleton and related diterpenes from the soft coral Sarcophyton cinereum. Bull. Chem. Soc. Jpn. 2022, 95, 374–379. [Google Scholar] [CrossRef]
- Tai, C.-J.; Zhang, H.-W.; Wang, H.-C.; Chuang, Y.-T.; Chang, H.-W.; Chang, F.-R.; Sung, P.-J.; Sheu, J.-H. Flexibanone, the first cembranoid possessing an α-methylene-δ-lactone linking with a tetrahydronfuran ring by C-3/C-4 single bond, from the soft coral Sinularia flexibilis. Tetrahedron Lett. 2023, 129, 154753. [Google Scholar] [CrossRef]
- Welsch, J.T.; Smalley, T.B.; Matlack, J.K.; Avalon, N.E.; Binning, J.M.; Johnson, M.P.; Allcock, A.L.; Baker, B.J. Tuaimenals B–H, merosesquiterpenes from the Irish deep-sea soft coral Duva florida with bioactivity against cervical cancer cell lines. J. Nat. Prod. 2023, 86, 182–190. [Google Scholar] [CrossRef]
- Bu, Q.; Yang, M.; Yan, X.-Y.; Yao, L.-G.; Guo, Y.-W.; Liang, L.-F. New flexible cembrane-type macrocyclic diterpenes as TNF-α inhibitors from the South China Sea soft coral Sarcophyton mililatensis. Int. J. Biol. Macromol. 2022, 222, 880–886. [Google Scholar] [CrossRef]
- Avalon, N.E.; Nafie, J.; De Marco Verissimo, C.; Warrensford, L.C.; Dietrick, S.G.; Pittman, A.R.; Young, R.M.; Kearns, F.L.; Smalley, T.; Binning, J.M.; et al. Tuaimenal A, a meroterpene from the Irish deep-sea soft coral Duva florida, displays inhibition of the SARS-CoV-2 3CLpro enzyme. J. Nat. Prod. 2022, 85, 1315–1323. [Google Scholar] [CrossRef]
- Marrero, J.; Amador, L.A.; Novitskiy, I.M.; Kutateladze, A.G.; Rodríguez, A.D. Kallopterolides A–I, a new subclass of seco-diterpenes isolated from the southwestern Caribbean Sea plume Antillogorgia kallos. Molecules 2024, 29, 2493. [Google Scholar] [CrossRef] [PubMed]
- Serrano, R.; Boyko, Y.D.; Hernandez, L.W.; Lotuzas, A.; Sarlah, D. Total syntheses of scabrolide A and yonarolide. J. Am. Chem. Soc. 2023, 145, 8805–8809. [Google Scholar] [CrossRef] [PubMed]
- Zhang, Y.-P.; Du, S.; Ma, Y.; Zhan, W.; Chen, W.; Yang, X.; Zhang, H. Structure-unit-based total synthesis of (−)-sinulochmodin C. Angew. Chem. Int. Ed. 2023, 63, e202315481. [Google Scholar] [CrossRef]
- Bu, Q.; Yang, M.; Yan, X.-Y.; Li, S.-W.; Ge, Z.-Y.; Zhang, L.; Yao, L.-G.; Guo, Y.-W.; Liang, L.-F. Mililatensols A–C, new records of sarsolenane and capnosane diterpenes from soft coral Sarcophyton mililatensis. Mar. Drugs 2022, 20, 566. [Google Scholar] [CrossRef]
- Zhang, L.; Yang, M.; Chen, Z.-H.; Ge, Z.-Y.; Li, S.-W.; Yan, X.-Y.; Yao, L.-G.; Liang, L.-F.; Guo, Y.-W. Cembrane diterpenes possessing nonaromatic oxacycles from the Hainan soft coral Sarcophyton mililatensis. Int. J. Mol. Sci. 2023, 24, 1979. [Google Scholar] [CrossRef]
- Yang, M.; Liang, L.-F.; Li, H.; Tang, W.; Guo, Y.-W. A new 5α,8α-epidioxysterol with immunosuppressive activity from the South China Sea soft coral Sinularia sp. Nat. Prod. Res. 2020, 34, 1814–1819. [Google Scholar] [CrossRef] [PubMed]
- Yang, F.; Li, S.-W.; Zhang, J.; Liang, L.-F.; Lu, Y.-H.; Guo, Y.-W. Uncommon nornardosinane, seconeolemnane and related sesquiterpenoids from Xisha soft coral Litophyton nigrum. Bioorg. Chem. 2020, 96, 103636. [Google Scholar] [CrossRef]
- Zhang, Q.; Liang, L.-F.; Miao, Z.-H.; Wu, B.; Guo, Y.-W. Cytotoxic polyhydroxylated steroids from the South China Sea soft coral Lobophytum sp. Steroids 2019, 141, 76–80. [Google Scholar] [CrossRef]
- Yang, Q.-B.; Wu, Q.; Chen, J.-K.; Liang, L.-F. The soft coral Sarcophyton trocheliophorum: A warehouse of terpenoids with structural and pharmacological diversity. Mar. Drugs 2023, 21, 30. [Google Scholar] [CrossRef]
- Xu, M.-J.; Zhong, L.-J.; Chen, J.-K.; Bu, Q.; Liang, L.-F. Secondary metabolites from marine sponges of the genus Oceanapia: Chemistry and biological activities. Mar. Drugs 2022, 20, 144. [Google Scholar] [CrossRef]
- Yang, Q.-B.; Liang, L.-F. Spongia sponges: Unabated sources of novel secondary metabolites. Mar. Drugs 2024, 22, 213. [Google Scholar] [CrossRef]
- Hu, J.; Yang, B.; Lin, X.; Zhou, X.; Yang, X.; Long, L.; Liu, Y. Chemical and biological studies of soft corals of the Nephtheidae family. Chem. Biodivers. 2011, 8, 1011–1032. [Google Scholar] [CrossRef] [PubMed]
- McFadden, C.S.; van Ofwegen, L.P.; Quattrini, A.M. Revisionary systematics of Octocorallia (Cnidaria: Anthozoa) guided by phylogenomics. Bull. Soc. Syst. Biol. 2022, 1, 8735. [Google Scholar] [CrossRef]
- Lai, K.-H.; Fan, Y.-C.; Peng, B.-R.; Wen, Z.-H.; Chung, H.-M. Capnellenes from Capnella imbricata: Deciphering their anti-inflammatory-associated chemical features. Pharmaceuticals 2023, 16, 916. [Google Scholar] [CrossRef] [PubMed]
- Hooper, G.J.; Davies-Coleman, M.T. New metabolites from the South African soft coral Capnella thyrsoidea. Tetrahedron 1995, 51, 9973–9984. [Google Scholar] [CrossRef]
- Cheng, T.-Y.; Yang, C.-J.; Chen, P.-J.; Chen, Y.-L.; Peng, B.-R.; Kung, T.-A.; Wen, Z.-H.; Lai, K.-H.; Chung, H.-M. Capnesterones A and B, new steroids isolated from the soft coral Capnella imbricata. Phytochem. Lett. 2024, 61, 115–119. [Google Scholar] [CrossRef]
- Rahelivao, M.P.; Lübken, T.; Gruner, M.; Kataeva, O.; Ralambondrahety, R.; Andriamanantoanina, H.; Checinski, M.P.; Bauer, I.; Knölker, H.-J. Isolation and structure elucidation of natural products of three soft corals and a sponge from the coast of Madagascar. Org. Biomol. Chem. 2017, 15, 2593–2608. [Google Scholar] [CrossRef]
- Morris, L.A.; Jaspars, M.; Adamson, K.; Woods, S.; Wallace, H.M. The capnellenes revisited: New structures and new biological activity. Tetrahedron 1998, 54, 12953–12958. [Google Scholar] [CrossRef]
- Phan, C.-S.; Vairappan, C.S. Capgermacrenes D-G, new sesquiterpenoids from a Bornean soft coral, Capnella imbricata. Nat. Prod. Res. 2017, 31, 742–748. [Google Scholar] [CrossRef]
- Wright, A.D.; Goclik, E.; König, G.M. Oxygenated analogues of gorgosterol and ergosterol from the soft coral Capnella lacertiliensis. J. Nat. Prod. 2003, 66, 157–160. [Google Scholar] [CrossRef]
- Chang, C.-H.; Wen, Z.-H.; Wang, S.-K.; Duh, C.-Y. Capnellenes from the Formosan soft coral Capnella imbricata. J. Nat. Prod. 2008, 71, 619–621. [Google Scholar] [CrossRef] [PubMed]
- Kaisin, M.; Sheikh, Y.M.; Durham, L.J.; Djerassi, C.; Tursch, B.; Daloze, D.; Braekman, J.C.; Losman, D.; Karlsson, R. Capnellane—A new tricyclic sesquiterpene skeleton from the soft coral Capnella imbricata. Tetrahedron Lett. 1974, 15, 2239–2242. [Google Scholar] [CrossRef]
- Pattenden, G.; Teague, S.J. Total synthesis of Δ9(12)-capnellene-8α,10α-diol. Tetrahedron Lett. 1982, 23, 5471–5474. [Google Scholar] [CrossRef]
- Shibasaki, M.; Mase, T.; Ikegami, S. The first total syntheses of Δ9(12)-capnellene-8β,10α-diol and Δ9(12)-capnellene-3β,8β,10α-triol. J. Am. Chem. Soc. 1986, 108, 2090–2091. [Google Scholar] [CrossRef]
- Lemière, G.; Gandon, V.; Cariou, K.; Hours, A.; Fukuyama, T.; Dhimane, A.-L.; Fensterbank, L.; Malacria, M. Generation and trapping of cyclopentenylidene gold species: Four pathways to polycyclic compounds. J. Am. Chem. Soc. 2009, 131, 2993–3006. [Google Scholar] [CrossRef] [PubMed]
- Shen, S.-J.; Li, W.-D.Z. Formal homoiodo allylsilane annulations: Dual total syntheses of (±)-hirsutene and (±)-capnellene. J. Org. Chem. 2013, 78, 7112–7120. [Google Scholar] [CrossRef]
- Karlsson, R. The structure and absolute configuration of Δ9(12)-capnellene-3β,8β,10α-triol. Acta Crystallogr. Sect. B 1977, 33, 1143–1147. [Google Scholar] [CrossRef]
- Sheikh, Y.M.; Singy, G.; Kaisin, M.; Eggert, H.; Djerassi, C.; Tursch, B.; Daloze, D.; Braekman, J.C. Terpenoids—LXXI: Chemical studies of marine invertebrates—XIV. Four representatives of a novel sesquiterpene class—The capnellane skeleton. Tetrahedron 1976, 32, 1171–1178. [Google Scholar] [CrossRef]
- Jean, Y.-H.; Chen, W.-F.; Sung, C.-S.; Duh, C.-Y.; Huang, S.-Y.; Lin, C.-S.; Tai, M.-H.; Tzeng, S.-F.; Wen, Z.-H. Capnellene, a natural marine compound derived from soft coral, attenuates chronic constriction injury-induced neuropathic pain in rats. Br. J. Pharmacol. 2009, 158, 713–725. [Google Scholar] [CrossRef]
- Song, Y.-C.; Wu, B.-J.; Chiu, C.-C.; Chen, C.-L.; Zhou, J.-Q.; Liang, S.-R.; Duh, C.-Y.; Sung, P.-J.; Wen, Z.-H.; Wu, C.-Y. Coral-derived natural marine compound GB9 impairs vascular development in zebrafish. Int. J. Mol. Sci. 2017, 18, 1696. [Google Scholar] [CrossRef]
- Shen, Y.-C.; Tzeng, G.-L.; Kuo, Y.-H.; Khalil, A.T. Cytotoxic activity of capnellene-8β,10α-diol derivatives from a Taiwanese soft coral Capnella sp. J. Chin. Chem. Soc. 2008, 55, 828–833. [Google Scholar] [CrossRef]
- Wu, I.T.; Fan, Y.-C.; Lin, G.-Z.; Wang, Y.-L.; Hwang, T.-L.; Lai, K.-H.; Chung, H.-M. A new capnellene skeleton from the octocoral Capnella imbricata (Quoy & Gaimard, 1833). J. Mol. Struct. 2023, 1271, 133995. [Google Scholar] [CrossRef]
- Sheikh, Y.M.; Djerassi, C.; Braekman, J.C.; Daloze, D.; Kaisin, M.; Tursch, B.; Karlsson, R. Terpenoids—LXXII: Chemical studies of marine invertebrates—XXVI: Δ9(12)-capnellene-3β,8β,10α,14-tetrol, a novel polyoxygenated sesquiterpene from the alcyonarian Capnella imbricata. Tetrahedron 1977, 33, 2115–2117. [Google Scholar] [CrossRef]
- Ayanoglu, E.; Gebreyesus, T.; Beechan, C.M.; Djerassi, C.; Kaisin, M. Terpenoids LXXV. Δ9(12)-capnellene, a new sesquiterpene hydrocarbon from the soft coral Capnella imbricata. Tetrahedron Lett. 1978, 19, 1671–1674. [Google Scholar] [CrossRef]
- Kaisin, M.; Tursch, B.; Declercq, J.P.; Germain, G.; van Meerssche, M. Chemical studies of marine invertebrates. XL. Δ9(12)-Capnellene-2β,5α,8β,10α-tetrol, a new sesquiterpene alcohol from the soft coral Capnella imbricata. Bull. Soc. Chim. Belg. 1979, 88, 253–258. [Google Scholar] [CrossRef]
- Kaisin, M.; Braekman, J.C.; Daloze, D.; Tursch, B. Novel acetoxycapnellenes from the alcyonacean Capnella imbricata. Tetrahedron 1985, 41, 1067–1072. [Google Scholar] [CrossRef]
- Li, R.; Zhao, J.; Long, K.; Fang, Z.; Zhang, M. Studies on chemical constituents of the Chinese soft corals. Part 13. Isolation and identification of a new sesquiterpene compound from Capnella imbricata. Zhongshan Daxue Xuebao Ziran Kexueban 1985, 24, 50–55. [Google Scholar]
- Li, R.; Zhao, J.; Long, K.; Fang, Z.; Zhang, M. Studies on chemical constituents of the Chinese soft corals. A new tetrahydroxy tricyclic sesquiterpene alcohol from the soft coral Capnella imbricata. Zhongshan Daxue Xuebao Ziran Kexue Ban 1985, 24, 17–21. [Google Scholar]
- Ayanoglu, E.; Gebreyesus, T.; Beechan, C.M.; Djerassi, C. Terpenoids—LXXVI: Precapnelladiene, a possible biosynthetic precursor of the capnellane skeleton. Tetrahedron 1979, 35, 1035–1039. [Google Scholar] [CrossRef]
- Phan, C.-S.; Ng, S.-Y.; Kim, E.-A.; Jeon, Y.-J.; Palaniveloo, K.; Vairappan, C.S. Capgermacrenes A and B, bioactive secondary metabolites from a Bornean soft coral, Capnella sp. Mar. Drugs 2015, 13, 3103–3115. [Google Scholar] [CrossRef]
- Phan, C.-S.; Kamada, T.; Ishii, T.; Hamada, T.; Vairappan, C.S. Cytotoxic sesquiterpenoids from soft coral Capnella imbricata. Nat. Prod. Commun. 2019, 14, 1934578X19857494. [Google Scholar] [CrossRef]
- Ishii, T.; Phan, C.-S.; Kamada, T.; Vairappan, C.S. Capgermacrene C, a new sesquiterpenoid from a Bornean soft coral, Capnella sp. Nat. Prod. Commun. 2016, 11, 1065–1066. [Google Scholar] [CrossRef] [PubMed]
- Maquestiau, A.; Van Haverbeke, Y.; Flammang, R.; Mispreuve, H.; Kaisin, M.; Braekman, J.C.; Daloze, D.; Tursch, B. Study of complex marine sterol mixtures by mass-analyzed ion kinetic energy spectrometry. Steroids 1978, 31, 31–48. [Google Scholar] [CrossRef]
- Blackman, A.J.; Heaton, A.; Skelton, B.W.; White, A.H. Pregnane derivatives from two soft corals of the genus Capnella. Aust. J. Chem. 1985, 38, 565–573. [Google Scholar] [CrossRef]
- Musyoka, T.M.; Kanzi, A.M.; Lobb, K.A.; Tastan Bishop, Ö. Structure based docking and molecular dynamic studies of Plasmodial cysteine proteases against a South African natural compound and its analogs. Sci. Rep. 2016, 6, 23690. [Google Scholar] [CrossRef] [PubMed]
- Tsai, Z.-Z.; Hsu, C.-K.; Chen, P.-J.; Chen, Y.-L.; Chien, S.-Y.; Wen, Z.-H.; Sung, P.-J.; Lai, K.-H.; Chung, H.-M. A new sterol-related metabolite from the soft coral Capnella imbricata. Rec. Nat. Prod. 2024, 18, 357–362. [Google Scholar] [CrossRef]
- Grote, D.; Hänel, F.; Dahse, H.-M.; Seifert, K. Capnellenes from the soft coral Dendronephthya rubeola. Chem. Biodivers. 2008, 5, 1683–1693. [Google Scholar] [CrossRef] [PubMed]
- Zhuang, P.-Y.; Zhang, G.-J.; Wang, X.-J.; Zhang, Y.; Yu, S.-S.; Ma, S.-G.; Liu, Y.-B.; Qu, J.; Li, Y.; Chen, N.-H. Novel sesquiterpenoid glycosides and sesquiterpenes from the roots of Illicium henryi. Planta Med. 2013, 79, 1453–1460. [Google Scholar] [CrossRef]
- Zhang, H.-J.; Tan, G.T.; Santarsiero, B.D.; Mesecar, A.D.; Hung, N.V.; Cuong, N.M.; Doel Soejarto, D.; Pezzuto, J.M.; Fong, H.H.S. New sesquiterpenes from Litsea verticillata. J. Nat. Prod. 2003, 66, 609–615. [Google Scholar] [CrossRef]
- Xu, J.; Ni, G.; Yang, S.; Yue, J. Dysoxylumasins A–F: Six new limonoids from Dysoxylum mollissimum Bl. Chin. J. Chem. 2013, 31, 72–78. [Google Scholar] [CrossRef]
- Ninh, B.H.; Dung, D.T.; Tai, B.H.; Yen, P.H.; Nhiem, N.X.; Hien, T.T.T.; Trang, D.T.; Tuyen, N.V.; Anh, L.T.; Hoai, N.T.; et al. New isopropyl chromone and flavanone glucoside compounds from the leaves of Syzygium cerasiforme (Blume) Merr. & L.M.Perry and their inhibition of nitric oxide production. Chem. Biodivers. 2023, 20, e202201048. [Google Scholar] [CrossRef]
- Abdel-Lateff, A.; Alarif, W.M.; Ayyad, S.-E.N.; Al-Lihaibi, S.S.; Basaif, S.A. New cytotoxic isoprenoid derivatives from the Red Sea soft coral Sarcophyton glaucum. Nat. Prod. Res. 2015, 29, 24–30. [Google Scholar] [CrossRef] [PubMed]
- Al-Footy, K.O.; Alarif, W.M.; Asiri, F.; Aly, M.M.; Ayyad, S.-E.N. Rare pyrane-based cembranoids from the Red Sea soft coral Sarcophyton trocheliophorum as potential antimicrobial–antitumor agents. Med. Chem. Res. 2015, 24, 505–512. [Google Scholar] [CrossRef]
- Althagbi, H.I.; Budiyanto, F.; Abdel-Lateff, A.; Al-Footy, K.O.; Bawakid, N.O.; Ghandourah, M.A.; Alfaifi, M.Y.; Elbehairi, S.E.I.; Alarif, W.M. Antiproliferative isoprenoid derivatives from the Red Sea Alcyonacean Xenia umbellata. Molecules 2021, 26, 1311. [Google Scholar] [CrossRef]
- Zhigzhitzhapova, S.V.; Radnaeva, L.D.; Gao, Q.; Chen, S.; Zhang, F. Chemical composition of volatile organic compounds of Artemisia vulgaris L. (Asteraceae) from the Qinghai–Tibet Plateau. Ind. Crops Prod. 2016, 83, 462–469. [Google Scholar] [CrossRef]
- Suleimen, E.M.; Iskakova, Z.B.; Dudkin, R.V.; Gorovoi, P.G. Constituent composition and biological activity of essential oil from Turczaninowia fastigiata. Chem. Nat. Compd. 2018, 54, 597–599. [Google Scholar] [CrossRef]
- Estrella-Parra, E.A.; Nolasco-Ontiveros, E.; Alarcón-Enos, J.; Céspedes-Acuña, C.L.; García-Bores, A.M.; Peñalosa-Castro, I.; Espinosa-González, A.M.; Avila-Acevedo, J.G. Hyptis mociniana (Benth.) Epling aerial parts essential oil: Chemical composition and insecticidal activity against Cydia pomonella and Drosophila melanogaster larvae. J. Essent. Oil Bear. Plants 2021, 24, 786–791. [Google Scholar] [CrossRef]
- Franco, C.D.; Ferreira, O.O.; Cruz, J.N.; Varela, E.L.; de Moraes, Â.A.; Nascimento, L.D.; Cascaes, M.M.; Souza Filho, A.P.; Lima, R.R.; Percário, S.; et al. Phytochemical profile and herbicidal (phytotoxic), antioxidants potential of essential oils from Calycolpus goetheanus (Myrtaceae) specimens, and in silico study. Molecules 2022, 27, 4678. [Google Scholar] [CrossRef]
- Wawrzyniak, R.; Guzowska, M.; Wasiak, W.; Jasiewicz, B.; Bączkiewicz, A.; Buczkowska, K. Seasonal variability of volatile components in Calypogeia integristipula. Molecules 2023, 28, 7276. [Google Scholar] [CrossRef] [PubMed]
- Shaker, K.H.; Müller, M.; Ghani, M.A.; Dahse, H.-M.; Seifert, K. Terpenes from the soft corals Litophyton arboreum and Sarcophyton ehrenbergi. Chem. Biodivers. 2010, 7, 2007–2015. [Google Scholar] [CrossRef] [PubMed]
- Nagashima, F.; Asakawa, Y. Sesqui- and diterpenoids from two Japanese and three European liverworts. Phytochemistry 2001, 56, 347–352. [Google Scholar] [CrossRef] [PubMed]
- Roy, P.K.; Ashimine, R.; Miyazato, H.; Taira, J.; Ueda, K. Endoperoxy and hydroperoxy cadinane-type sesquiterpenoids from an Okinawan soft coral, Sinularia sp. Arch. Pharm. Res. 2016, 39, 778–784. [Google Scholar] [CrossRef] [PubMed]
- Coll, J.C.; Mitchell, S.J.; Stokie, G.J. Studies of Australian soft corals. V—A novel furano-sesquiterpene acid from the soft coral Sinularia gonatodes (Kolonko). Tetrahedron Lett. 1977, 18, 1539–1542. [Google Scholar] [CrossRef]
- Bowden, B.F.; Coll, J.C.; de Silva, E.D.; de Costa, M.S.L.; Djura, P.J.; Mahendran, M.; Tapiolas, D.M. Studies of Australian soft corals. XXXI. Novel furanosesquiterpenes from several sinularian soft corals (Coelenterata, Octocorallia, Alcyonacea). Aust. J. Chem. 1983, 36, 371–376. [Google Scholar] [CrossRef]
- Rajaram, S.; Ramulu, U.; Ramesh, D.; Srikanth, D.; Bhattacharya, P.; Prabhakar, P.; Kalivendi, S.V.; Babu, K.S.; Venkateswarlu, Y.; Navath, S. Anti-cancer evaluation of carboxamides of furano-sesquiterpene carboxylic acids from the soft coral Sinularia kavarattiensis. Bioorg. Med. Chem. Lett. 2013, 23, 6234–6238. [Google Scholar] [CrossRef]
- Rajaram, S.; Ramesh, D.; Ramulu, U.; Anjum, M.; Kumar, P.; Murthy, U.S.N.; Hussain, M.A.; Sastry, G.N.; Venkateswarlu, Y. Chemical examination of the soft coral Sinularia kavarattiensis and evaluation of anti-microbial activity. Indian J. Chem. 2014, 53B, 1086–1090. [Google Scholar]
- Rahelivao, M.P.; Bauer, I.; Lübken, T.; Kataeva, O.; Vehlow, A.; Cordes, N.; Knölker, H.-J. First synthesis, confirmation of stereochemistry, and cytotoxic activity of oxyfungiformin. Eur. J. Org. Chem. 2022, 2022, e202200809. [Google Scholar] [CrossRef]
- Kashman, Y.; Groweiss, A. New diterpenoids from the soft corals Xenia macrospiculata and Xenia obscuronata. J. Org. Chem. 1980, 45, 3814–3824. [Google Scholar] [CrossRef]
- Hooper, G.J.; Davies-Coleman, M.T.; Schleyer, M. New diterpenes from the South African soft coral Eleutherobia aurea. J. Nat. Prod. 1997, 60, 889–893. [Google Scholar] [CrossRef]
- Kaviya, M.; Balasubramanian, B.; Bharathi, K.; Malaisamy, A.; Al-Dhabi, N.A.; Mariadhas, V.A.; Anand, A.V.; Liu, W. Evaluation of nutritional substances and investigation of antioxidant and antimicrobial potentials of Boerhavia diffusa with in silico molecular docking. Molecules 2022, 27, 1280. [Google Scholar] [CrossRef]
- Chen, G.-Y.; Wei, M.-Y.; Tan, N.; Liu, Z.; Yang, R.-Y. 5α-Pregna-1,20-dien-3-one. Acta Crystallogr. Sect. E 2010, 66, o351. [Google Scholar] [CrossRef]
- Liang, L.-F.; Wang, X.-J.; Zhang, H.-Y.; Liu, H.-L.; Li, J.; Lan, L.-F.; Zhang, W.; Guo, Y.-W. Bioactive polyhydroxylated steroids from the Hainan soft coral Sinularia depressa Tixier-Durivault. Bioorg. Med. Chem. Lett. 2013, 23, 1334–1337. [Google Scholar] [CrossRef] [PubMed]
- Zeng, Z.-R.; Zhang, M.-M.; Wang, H.; Li, J.; Guo, Y.-W.; Su, M.-Z. Chemical constituents of Sinularia nanolobata from the South China Sea. Chin. J. Org. Chem. 2022, 42, 891–895. [Google Scholar] [CrossRef]
- Li, J.; Huan, X.-J.; Wu, M.-J.; Chen, Z.-H.; Chen, B.; Miao, Z.-H.; Guo, Y.-W.; Li, X.-W. Chemical constituents from the South China sea soft coral Sinularia humilis. Nat. Prod. Res. 2022, 36, 3324–3330. [Google Scholar] [CrossRef] [PubMed]
- Hawas, U.W.; Abou El-Kassem, L.T.; Fahmy, M.A.; Farghaly, A.A.; Hassan, Z.M. A new pseudoguaiane-type sesquiterpene and potential genotoxicity and antigenotoxicity effect of the soft coral Litophyton arboreum extract. Lett. Org. Chem. 2018, 15, 1060–1064. [Google Scholar] [CrossRef]
- Mohammed, R.; Radwan, M.M.; Ma, G.; Mohamed, T.A.; Seliem, M.A.; Thabet, M.; ElSohly, M.A. Bioactive sterols and sesquiterpenes from the Red Sea soft coral Sinularia terspilli. Med. Chem. Res. 2017, 26, 1647–1652. [Google Scholar] [CrossRef]
- Tsai, T.-C.; Huang, Y.-T.; Chou, S.-K.; Shih, M.-C.; Chiang, C.-Y.; Su, J.-H. Cytotoxic oxygenated steroids from the soft coral Nephthea erecta. Chem. Pharm. Bull. 2016, 64, 1519–1522. [Google Scholar] [CrossRef]
- Yu, S.; Deng, Z.; van Ofwegen, L.; Proksch, P.; Lin, W. 5,8-Epidioxysterols and related derivatives from a Chinese soft coral Sinularia flexibilis. Steroids 2006, 71, 955–959. [Google Scholar] [CrossRef]
- Shan, Z.; Li, P.-l.; Wang, B.; Qu, Y.-l.; Li, G.-q. Studies on chemical constituents of Dendronephthya sp. collected from the South China Sea. Chin. J. Mar. Drugs 2012, 31, 30–33. [Google Scholar] [CrossRef]
- Iguchi, K.; Saitoh, S.; Yamada, Y. Novel 19-oxygenated sterols from the Okinawan soft coral Litophyton viridis. Chem. Pharm. Bull. 1989, 37, 2553–2554. [Google Scholar] [CrossRef]
- Kobayashi, M.; Tomioka, A.; Mitsuhashi, H. Marine sterols. VIII. Isolation and structure of sarcosterol, a new sterol with a Δ17(20)-double bond from the soft coral Sarcophyton glaucum. Steroids 1979, 34, 273–284. [Google Scholar] [CrossRef] [PubMed]
- Shaaban, M.; Shaaban, K.A.; Abd-Alla, H.I.; Hanna, A.G.; Laatsch, H. Dendrophen, a novel glycyrrhetyl amino acid from Dendronephthya hemprichi. Z. Naturforsch. B—J. Chem. Sci. 2011, 66, 425–432. [Google Scholar] [CrossRef]
- Ulubelen, A.; Baytop, T. Hydrocarbons and triterpenes of the leaves of Euonymus latifolius. Phytochemistry 1973, 12, 1824. [Google Scholar] [CrossRef]
- Kowa, T.K.; Jansen, O.; Ledoux, A.; Mamede, L.; Wabo, H.K.; Tchinda, A.T.; Genta-Jouve, G.; Frédérich, M. Bioassay-guided isolation of vilasinin–type limonoids and phenyl alkene from the leaves of Trichilia gilgiana and their antiplasmodial activities. Nat. Prod. Res. 2022, 36, 5039–5047. [Google Scholar] [CrossRef]
- Feng, S.; Zeng, W.; Luo, F.; Zhao, J.; Yang, Z.; Sun, Q. Antibacterial activity of organic acids in aqueous extracts from pine needles (Pinus massoniana Lamb.). Food Sci. Biotechnol. 2010, 19, 35–41. [Google Scholar] [CrossRef]
- Valentão, P.; Trindade, P.; Gomes, D.; Guedes de Pinho, P.; Mouga, T.; Andrade, P.B. Codium tomentosum and Plocamium cartilagineum: Chemistry and antioxidant potential. Food Chem. 2010, 119, 1359–1368. [Google Scholar] [CrossRef]
- Kinney, W.A.; Coghlan, M.J.; Paquette, L.A. General approach to annulated 4-cyclooctenones by aliphatic Claisen rearrangement. Stereospecific total synthesis of (±)-precapnelladiene. J. Am. Chem. Soc. 1985, 107, 7352–7360. [Google Scholar] [CrossRef]
- Little, R.D.; Carroll, G.L. Intramolecular 1,3-diyl trapping reactions: Total synthesis of the marine natural product (d,l)-Δ9(12)-capnellene. Tetrahedron Lett. 1981, 22, 4389–4392. [Google Scholar] [CrossRef]
- Little, R.D.; Carroll, G.L.; Petersen, J.L. Total synthesis of the marine natural product Δ9(12)-capnellene. Reversal of regiochemistry in the intramolecular 1,3-diyl trapping reaction. J. Am. Chem. Soc. 1983, 105, 928–932. [Google Scholar] [CrossRef]
- Stevens, K.E.; Paquette, L.A. Stereocontrolled total synthesis of (±)-Δ9(12)-capnellene. Tetrahedron Lett. 1981, 22, 4393–4396. [Google Scholar] [CrossRef]
- Oppolzer, W.; Bättig, K. Total synthesis of (±)-Δ9(12)-capnellene via iterative intramolecular type-I-“Magnesium-ene” reactions. Tetrahedron Lett. 1982, 23, 4669–4672. [Google Scholar] [CrossRef]
- Mehta, G.; Reddy, D.S.; Murty, A.N. A total synthesis of (±)-Δ9(12)-capnellene. J. Chem. Soc. Chem. Commun. 1983, 824–825. [Google Scholar] [CrossRef]
- Crisp, G.T.; Scott, W.J.; Stille, J.K. Palladium-catalyzed carbonylative coupling of vinyl triflates with organostannanes. A total synthesis of (±)-Δ9(12)-capnellene. J. Am. Chem. Soc. 1984, 106, 7500–7506. [Google Scholar] [CrossRef]
- Liu, H.J.; Kulkarni, M.G. Total synthesis of (±)-Δ9(12)-capnellene. Tetrahedron Lett. 1985, 26, 4847–4850. [Google Scholar] [CrossRef]
- Curran, D.P.; Chen, M.-H. Radical-initiated polyolefinic cyclizations in condensed cyclopentanoid synthesis. Total synthesis of (±)-Δ9(12)-capnellene. Tetrahedron Lett. 1985, 26, 4991–4994. [Google Scholar] [CrossRef]
- Stille, J.R.; Grubbs, R.H. Synthesis of Δ9(12)-capnellene using titanium reagents. J. Am. Chem. Soc. 1986, 108, 855–856. [Google Scholar] [CrossRef]
- Mehta, G.; Murthy, A.N.; Reddy, D.S.; Reddy, A.V. A general approach to linearly fused triquinane natural products. Total syntheses of (±)-hirsutene, (±)-coriolin, and (±)-capnellene. J. Am. Chem. Soc. 1986, 108, 3443–3452. [Google Scholar] [CrossRef]
- Iyoda, M.; Kushida, T.; Kitami, S.; Oda, M. A short and efficient synthesis of capnellene. J. Chem. Soc. Chem. Commun. 1987, 1607–1608. [Google Scholar] [CrossRef]
- Piers, E.; Karunaratne, V. Organotin-based bifunctional reagents: 4-chloro-2-lithio-1-botene and related substances: Methylenecyclopentane annotations. Total synthesis of (±)-Δ9(12)-capnellene. Tetrahedron 1989, 45, 1089–1104. [Google Scholar] [CrossRef]
- Meyers, A.I.; Bienz, S. Asymmetric total synthesis of (+)-Δ9(12)-capnellene. J. Org. Chem. 1990, 55, 791–798. [Google Scholar] [CrossRef]
- Stille, J.R.; Santarsiero, B.D.; Grubbs, R.H. Rearrangement of bicyclo[2.2.1]heptane ring systems by titanocene alkylidene complexes to bicyclo[3.2.0]heptane enol ethers. Total synthesis of (±)-Δ9(12)-capnellene. J. Org. Chem. 1990, 55, 843–862. [Google Scholar] [CrossRef]
- Wang, Y.; Mukherjee, D.; Birney, D.; Houk, K.N. Synthesis and reactions of ester-substituted fulvenes. A new route to Δ9(12)-capnellene. J. Org. Chem. 1990, 55, 4504–4506. [Google Scholar] [CrossRef]
- Sonawane, H.R.; Nanjundiah, B.S.; Shah, V.G.; Kulkarni, D.G.; Ahuja, J.R. Synthesis of naturally-occurring (−)-Δ9(12)-capnellene and its antipode: An application of the photo-induced vinylcyclopropane-cyclopentene rearrangement. Tetrahedron Lett. 1991, 32, 1107–1108. [Google Scholar] [CrossRef]
- Asaoka, M.; Obuchi, K.; Takei, H. An enantioselective route to (−)-Δ9(12)-capnellene employing silyl group directed stereo control. Tetrahedron 1994, 50, 655–660. [Google Scholar] [CrossRef]
- Ohshima, T.; Kagechika, K.; Adachi, M.; Sodeoka, M.; Shibasaki, M. Asymmetric Heck reaction−carbanion capture process. Catalytic asymmetric total synthesis of (−)-Δ9(12)-capnellene. J. Am. Chem. Soc. 1996, 118, 7108–7116. [Google Scholar] [CrossRef]
- Tanaka, K.; Ogasawara, K. Stereocontrolled synthesis of natural (–)-Δ9(12)-capnellene from a (–)-oxodicyclopentadiene. Chem. Commun. 1996, 1839–1840. [Google Scholar] [CrossRef]
- Singh, V.; Prathap, S.; Porinchu, M. A novel, stereospecific total synthesis of (±)-Δ9(12)-capnellene from p-cresol. Tetrahedron Lett. 1997, 38, 2911–2914. [Google Scholar] [CrossRef]
- Singh, V.; Prathap, S.; Porinchu, M. Aromatics to triquinanes: p-cresol to (±)-Δ9(12)-capnellene. J. Org. Chem. 1998, 63, 4011–4017. [Google Scholar] [CrossRef]
- Samajdar, S.; Patra, D.; Ghosh, S. Stereocontrolled approach to highly substituted cyclopentanones. Application in a formal synthesis of Δ9(12)-capnellene. Tetrahedron 1998, 54, 1789–1800. [Google Scholar] [CrossRef]
- Hsu, D.-S.; Chou, Y.-Y.; Tung, Y.-S.; Liao, C.-C. Photochemistry of tricyclo[5.2.2.02,6]undeca-4,10-dien-8-ones: An efficient general route to substituted linear triquinanes from 2-methoxyphenols. Total synthesis of (±)-Δ9(12)-capnellene. Chem. Eur. J. 2010, 16, 3121–3131. [Google Scholar] [CrossRef]
- Kagechika, K.; Shibasaki, M. Asymmetric Heck reaction: A catalytic asymmetric synthesis of the key intermediate for Δ9(12)-capnellene-3β,8β,10α-triol and Δ9(12)-capnellene-3β,8β,10α,14-tetrol. J. Org. Chem. 1991, 56, 4093–4094. [Google Scholar] [CrossRef]
- Kagechika, K.; Ohshima, T.; Shibasaki, M. Asymmetric heck reaction-anion capture process. A catalytic asymmetric synthesis of the key intermediates for the capnellenols. Tetrahedron 1993, 49, 1773–1782. [Google Scholar] [CrossRef]
- Ladlow, M.; Pattenden, G.; Teague, S.J. Synthesis of Δ9(12)-capnellene-8β,10α-diol from soft coral Capnella imbricata. Tetrahedron Lett. 1986, 27, 3279–3280. [Google Scholar] [CrossRef]
- Pattenden, G.; Teague, S.J. Total synthesis of (±)-Δ9(12)-capnellene-8β,10α-diol. J. Chem. Soc. Perkin Trans. 1 1988, 1077–1083. [Google Scholar] [CrossRef]
- Mase, T.; Shibasaki, M. Synthetic studies on capnellol family: An improved synthesis of Δ9(12)-capnellene-3β,8β,10α-triol and the first total synthesis of Δ9(12)-capnellene-3β,8β,10α,14-tetrol. Tetrahedron Lett. 1986, 27, 5245–5248. [Google Scholar] [CrossRef]
- Mehta, G.; Murty, A.N. Total synthesis of the marine natural product (±)-precapnelladiene. J. Chem. Soc. Chem. Commun. 1984, 1058–1060. [Google Scholar] [CrossRef]
- Kinney, W.A.; Coghlan, M.J.; Paquette, L.A. Claisen rearrangement of 6-alkenyl-2-methylenetetrahydropyrans. A new approach to annulated 4-cyclooctenones and a stereospecific synthesis of precapnelladiene. J. Am. Chem. Soc. 1984, 106, 6868–6870. [Google Scholar] [CrossRef]
- Mehta, G.; Murthy, A.N. A general stereocontrolled approach to the 5-8 fused ring system. Application to the total synthesis of the marine natural product (±)-precapnelladiene. J. Org. Chem. 1987, 52, 2875–2881. [Google Scholar] [CrossRef]
- Petasis, N.A.; Patane, M.A. A claisen rearrangement strategy for the three-atom ring expansion of cyclic ketones. A total synthesis of (±) precapnelladiene. Tetrahedron Lett. 1990, 31, 6799–6802. [Google Scholar] [CrossRef]
- Inouye, Y.; Shirai, M.; Michino, T.; Kakisawa, H. Preparation of an 8-membered ring via intramolecular [2+2]photocycloaddition: Formal total synthesis of (±)-precapnelladiene. Bull. Chem. Soc. Jpn. 1993, 66, 324–326. [Google Scholar] [CrossRef]
- Maeda, K.; Inouye, Y. Preparation of (R)-(2-cyclopentenyl)methanol and the first total synthesis of (8R,11R)-precapnelladiene. Bull. Chem. Soc. Jpn. 1994, 67, 2880–2882. [Google Scholar] [CrossRef]
- MacDougall, J.M.; Turnbull, P.; Verma, S.K.; Moore, H.W. Synthesis of highly substituted bicyclo[3.2.0]heptanones from 3-homoallylcyclobutenones. A total synthesis of (±)-precapnelladiene. J. Org. Chem. 1997, 62, 3792–3793. [Google Scholar] [CrossRef]
- MacDougall, J.M.; Santora, V.J.; Verma, S.K.; Turnbull, P.; Hernandez, C.R.; Moore, H.W. Cyclobutenone-based syntheses of polyquinanes and bicyclo[6.3.0]undecanes by tandem anionic oxy-Cope reactions. Total synthesis of (±)-precapnelladiene. J. Org. Chem. 1998, 63, 6905–6913. [Google Scholar] [CrossRef] [PubMed]
- Takenaka, Y.; Ito, H.; Iguchi, K. Enantioselective formal synthesis of (+)-precapnelladiene by chiral copper-catalyzed asymmetric [2+2]-cycloaddition reaction. Tetrahedron 2007, 63, 510–513. [Google Scholar] [CrossRef]
- Birch, A.M.; Pattenden, G. Total synthesis of epi-precapnelladiene. J. Chem. Soc. Chem. Commun. 1980, 1195–1197. [Google Scholar] [CrossRef]
- Birch, A.M.; Pattenden, G. Capnellane sesquiterpenes. Total synthesis of epiprecapnelladiene and Δ8(9)-capnellene. J. Chem. Soc. Perkin Trans. 1983, 1, 1913–1917. [Google Scholar] [CrossRef]
- World List of Octocorallia. Capnella Gray, 1869. World Register of Marine Species. Available online: https://www.marinespecies.org/aphia.php?p=taxdetails&id=146763 (accessed on 30 July 2024).
- Burkhardt, I.; de Rond, T.; Chen, P.Y.-T.; Moore, B.S. Ancient plant-like terpene biosynthesis in corals. Nat. Chem. Biol. 2022, 18, 664–669. [Google Scholar] [CrossRef]
Disclaimer/Publisher’s Note: The statements, opinions and data contained in all publications are solely those of the individual author(s) and contributor(s) and not of MDPI and/or the editor(s). MDPI and/or the editor(s) disclaim responsibility for any injury to people or property resulting from any ideas, methods, instructions or products referred to in the content. |
© 2024 by the authors. Licensee MDPI, Basel, Switzerland. This article is an open access article distributed under the terms and conditions of the Creative Commons Attribution (CC BY) license (https://creativecommons.org/licenses/by/4.0/).

























