Identification and Characterization of a Highly Active Hyaluronan Lyase from Enterobacter asburiae
Abstract
1. Introduction
2. Results
2.1. Isolation and Identification of Enterobacter sp. CGJ001
2.2. Whole-Genome Analysis of E. asburiae CGJ001 and Prediction of PULHA
2.3. Prediction of PULHA
2.4. Heterogenous Expression of hylEP0006
2.5. Biochemical Properties Characterization of HylEP0006
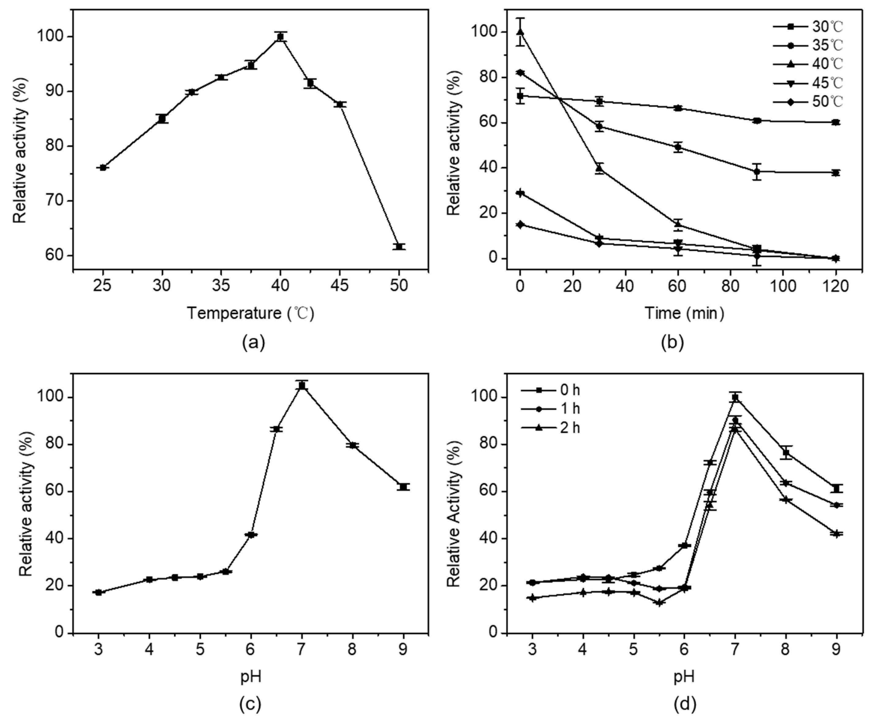
2.5.1. The Effects of Temperature and pH on Enzymatic Activity
2.5.2. Substrate Specificity of HylEP0006
2.5.3. Effects of Metal Ions on HylEP0006
2.5.4. Kinetic Constants of HylEP0006
2.6. Analysis of Final Degradation Product
2.7. Exploration of the Degradation Behavior of HylEP0006
3. Discussion
4. Materials and Methods
4.1. Materials
4.2. Methods
4.2.1. Isolation of Hyaluronate Lyase-Producing Bacteria
4.2.2. Enzyme Activity Assays
4.2.3. Identification of Strain Enterobacter sp. CGJ001
4.2.4. Genome Sequencing and Sequence Analysis
4.2.5. Sequence Analysis of HylEP0006
4.2.6. Molecular Cloning, Protein Expression, and Purification
4.2.7. Characterization of HylEP0006
4.2.8. Analysis of Kinetic Parameters
4.2.9. Analysis of Degradation Products of HylEP0006
4.2.10. The Degradation Behavior Exploration of HylEP0006
4.2.11. Statistical Analysis
5. Conclusions
Supplementary Materials
Author Contributions
Funding
Data Availability Statement
Conflicts of Interest
References
- Zhang, Y.-S.; Gong, J.-S.; Yao, Z.-Y.; Jiang, J.-Y.; Su, C.; Li, H.; Kang, C.-L.; Liu, L.; Xu, Z.-H.; Shi, J.-S. Insights into the source, mechanism and biotechnological applications of hyaluronidases. Biotechnol. Adv. 2022, 60, 108018. [Google Scholar] [CrossRef]
- Kogan, G.; Soltes, L.; Stern, R.; Gemeiner, P. Hyaluronic acid: A natural biopolymer with a broad range of biomedical and industrial applications. Biotechnol. Lett. 2007, 29, 17–25. [Google Scholar] [CrossRef] [PubMed]
- Murado, M.A.; Montemayor, M.I.; Cabo, M.L.; Vázquez, J.A.; González, M.P. Optimization of extraction and purification process of hyaluronic acid from fish eyeball. Food Bioprod. Process. 2012, 90, 491–498. [Google Scholar] [CrossRef]
- Stern, R.; Asari, A.A.; Sugahara, K.N. Hyaluronan fragments: An information-rich system. Eur. J. Cell Biol. 2006, 85, 699–715. [Google Scholar] [CrossRef] [PubMed]
- Karbownik, M.S.; Nowak, J.Z. Hyaluronan: Towards novel anti-cancer therapeutics. Pharmacol. Rep. 2013, 65, 1056–1074. [Google Scholar] [CrossRef] [PubMed]
- Toole, B.P.; Ghatak, S.; Misra, S. Hyaluronan oligosaccharides as a potential anticancer therapeutic. Curr. Pharm. Biotechnol. 2008, 9, 249–252. [Google Scholar] [CrossRef]
- Aya, K.L.; Stern, R. Hyaluronan in wound healing: Rediscovering a major player. Wound Repair. Regen. 2014, 22, 579–593. [Google Scholar] [CrossRef] [PubMed]
- Termeer, C.; Benedix, F.; Sleeman, J.; Fieber, C.; Voith, U.; Ahrens, T.; Miyake, K.; Freudenberg, M.; Galanos, C.; Simon, J.C. Oligosaccharides of Hyaluronan activate dendritic cells via toll-like receptor 4. J. Exp. Med. 2002, 195, 99–111. [Google Scholar] [CrossRef]
- Du, W.; Yang, X.; He, S.; Wang, J.; Guo, Y.; Kou, B.; Jiang, Y.; Bian, P.; Li, B.; Yin, L. Novel hyaluronic acid oligosaccharide-loaded and CD44v6-targeting oxaliplatin nanoparticles for the treatment of colorectal cancer. Drug Deliv. 2021, 28, 920–929. [Google Scholar] [CrossRef]
- Boltje, T.J.; Buskas, T.; Boons, G.J. Opportunities and challenges in synthetic oligosaccharide and glycoconjugate research. Nat. Chem. 2009, 1, 611–622. [Google Scholar] [CrossRef]
- Yuan, P.; Lv, M.; Jin, P.; Wang, M.; Du, G.; Chen, J.; Kang, Z. Enzymatic production of specifically distributed hyaluronan oligosaccharides. Carbohydr. Polym. 2015, 129, 194–200. [Google Scholar] [CrossRef] [PubMed]
- Jin, P.; Kang, Z.; Zhang, N.; Du, G.; Chen, J. High-yield novel leech hyaluronidase to expedite the preparation of specific hyaluronan oligomers. Sci. Rep. 2014, 4, 4471. [Google Scholar] [CrossRef]
- Huang, L.; Huang, X. Highly efficient syntheses of hyaluronic acid oligosaccharides. Chemistry 2007, 13, 529–540. [Google Scholar] [CrossRef]
- Weijers, C.A.; Franssen, M.C.; Visser, G.M. Glycosyltransferase-catalyzed synthesis of bioactive oligosaccharides. Biotechnol. Adv. 2008, 26, 436–456. [Google Scholar] [CrossRef] [PubMed]
- Kurata, A.; Nishimura, M.; Kishimoto, N.; Kobayashi, T. Draft Genome Sequence of a Deep-Sea Bacterium, Bacillus niacini Strain JAM F8, Involved in the Degradation of Glycosaminoglycans. Genome Announc. 2014, 2, 10–1128. [Google Scholar] [CrossRef]
- Kurata, A.; Matsumoto, M.; Kobayashi, T.; Deguchi, S.; Kishimoto, N. Hyaluronate Lyase of a Deep-Sea Bacillus niacini. Mar. Biotechnol. 2015, 17, 277–284. [Google Scholar] [CrossRef]
- Mori, T.; Masuzawa, N.; Kondo, K.; Nakanishi, Y.; Chida, S.; Uehara, D.; Katahira, M.; Takeda, M. A heterodimeric hyaluronate lyase secreted by the activated sludge bacterium Haliscomenobacter hydrossis. Biosci. Biotechnol. Biochem. 2023, 87, 256–266. [Google Scholar] [CrossRef]
- Wang, X.; Wei, Z.; Wu, H.; Li, Y.; Han, F.; Yu, W. Characterization of a Hyaluronic Acid Utilization Locus and Identification of Two Hyaluronate Lyases in a Marine Bacterium Vibrio alginolyticus LWW-9. Front. Microbiol. 2021, 12, 696096. [Google Scholar] [CrossRef]
- Kawai, K.; Kamochi, R.; Oiki, S.; Murata, K.; Hashimoto, W. Probiotics in human gut microbiota can degrade host glycosaminoglycans. Sci. Rep. 2018, 8, 10674. [Google Scholar] [CrossRef] [PubMed]
- Blanvillain, S.; Meyer, D.; Boulanger, A.; Lautier, M.; Guynet, C.; Denancé, N.; Vasse, J.; Lauber, E.; Arlat, M. Plant Carbohydrate Scavenging through TonB-Dependent Receptors: A Feature Shared by Phytopathogenic and Aquatic bacteria. PLoS ONE 2007, 2, e224. [Google Scholar] [CrossRef]
- Sanchez-Ruiz, J.M.; Guo, X.; Shi, Y.; Sheng, J.; Wang, F. A Novel Hyaluronidase Produced by Bacillus sp. A50. PLoS ONE 2014, 9, e94156. [Google Scholar]
- Patil, S.P.; Shirsath, L.P.; Chaudhari, B.L. A halotolerant hyaluronidase from newly isolated Brevibacterium halotolerans DC1: Purification and characterization. Int. J. Biol. Macromol. 2021, 166, 839–850. [Google Scholar] [CrossRef] [PubMed]
- Zhu, C.; Zhang, J.; Li, L.; Zhang, J.; Jiang, Y.; Shen, Z.; Guan, H.; Jiang, X. Purification and Characterization of Hyaluronate Lyase from Arthrobacter globiformis A152. Appl. Biochem. Biotechnol. 2016, 182, 216–228. [Google Scholar] [CrossRef]
- El-Safory, N.S.; Lee, G.-C.; Lee, C.-K. Characterization of hyaluronate lyase from Streptococcus pyogenes bacteriophage H4489A. Carbohydr. Polym. 2011, 84, 1182–1191. [Google Scholar] [CrossRef]
- Li, H.; Zhang, X.; Zou, W.; Wang, T.; He, W.; Wang, L. Hyaluronidase from Paenibacillus aquistagni SH-7-A: Identification and characterization. Int. Biodeterior. Biodegrad. 2024, 187, 105708. [Google Scholar] [CrossRef]
- Wang, Z.; Sun, J.; Li, Y.; Song, G.; Su, H.; Yu, W.; Gong, Q. Cloning, expression, and characterization of a glycosaminoglycan lyase from Vibrio sp. H240. Enzym. Microb. Technol. 2022, 154, 109952. [Google Scholar] [CrossRef] [PubMed]
- Li, Y.; Zhang, S.; Wu, H.; Wang, X.; Yu, W.; Han, F. Biochemical characterization of a thermophilic hyaluronate lyase TcHly8C from Thermasporomyces composti DSM22891. Int. J. Biol. Macromol. 2020, 165, 1211–1218. [Google Scholar] [CrossRef]
- Zhang, S.; Li, Y.; Han, F.; Yu, W. YsHyl8A, an Alkalophilic Cold-Adapted Glycosaminoglycan Lyase Cloned from Pathogenic Yersinia sp. 298. Molecules 2022, 27, 2897. [Google Scholar] [CrossRef]
- Cui, X.; Fu, Z.; Wang, H.; Yu, W.; Han, F. Cloning and characterization of a hyaluronate lyase EsHyl8 from Escherichia sp. A99. Protein Expr. Purif. 2024, 223, 106551. [Google Scholar] [CrossRef]
- Hofinger, E.S.A.; Spickenreither, M.; Oschmann, J.; Bernhardt, G.; Rudolph, R.; Buschauer, A. Recombinant human hyaluronidase Hyal-1: Insect cells versus Escherichia coli as expression system and identification of low molecular weight inhibitors. Glycobiology 2007, 17, 444–453. [Google Scholar] [CrossRef]
- Li, R.-R.; Yu, Q.-L.; Han, L.; Rong, L.-Y.; Yang, M.-M.; An, M.-R. Isolation and enzymatic characterization of the first reported hyaluronidase from Yak (Bos grunniens) testis. Korean J. Chem. Eng. 2014, 31, 2027–2034. [Google Scholar] [CrossRef]
- Wiezel, G.A.; dos Santos, P.K.; Cordeiro, F.A.; Bordon, K.C.F.; Selistre-de-Araújo, H.S.; Ueberheide, B.; Arantes, E.C. Identification of hyaluronidase and phospholipase B in Lachesis muta rhombeata venom. Toxicon 2015, 107, 359–368. [Google Scholar] [CrossRef]
- Jin, P.; Kang, Z.; Yuan, P.; Du, G.; Chen, J. Production of specific-molecular-weight hyaluronan by metabolically engineered Bacillus subtilis 168. Metab. Eng. 2016, 35, 21–30. [Google Scholar] [CrossRef] [PubMed]
- Kumar, S.; Stecher, G.; Li, M.; Knyaz, C.; Tamura, K. MEGA X: Molecular Evolutionary Genetics Analysis across Computing Platforms. Mol. Biol. Evol. 2018, 35, 1547–1549. [Google Scholar] [CrossRef] [PubMed]
- Nawrocki, E.P.; Burge, S.W.; Alex, B.; Jennifer, D.; Eberhardt, R.Y.; Eddy, S.R.; Floden, E.W.; Gardner, P.P.; Jones, T.A.; John, T. Rfam 12.0: Updates to the RNA families database. Nucleic Acids Res. 2015, 43, D130–D137. [Google Scholar] [CrossRef]
- Lv, M.; Wang, M.; Cai, W.; Hao, W.; Yuan, P.; Kang, Z. Characterisation of separated end hyaluronan oligosaccharides from leech hyaluronidase and evaluation of angiogenesis. Carbohydr. Polym. 2016, 142, 309–316. [Google Scholar] [CrossRef] [PubMed]










| Feature | Chromosome | Plasmid A |
|---|---|---|
| Size (bp) | 4,610,415 | 265,602 |
| G + C content (%) | 55.91 | 48.33 |
| Total genes | 4425 | 505 |
| Protein-coding genes | 4193 | 505 |
| rRNA | 25 | 0 |
| tRNA | 82 | 0 |
| Repeat genes | 200 | 0 |
| Polysaccharide Species | Relative Enzyme Activity (%) |
|---|---|
| Hyaluronic acid | 100.00 ± 0.71 |
| Chondroitin sulfate | 6.33 ± 1.57 |
| Heparin | 0.88 ± 0.15 |
| Sodium alginate | 0.43 ± 0.21 |
| Chitosan | ND |
| Metal Ions | Relative Enzyme Activity (%) | Metal Ions | Relative Enzyme Activity (%) | ||
|---|---|---|---|---|---|
| 1 mmol/L | 10 mmol/L | 1 mmol/L | 10 mmol/L | ||
| Control | 100.00 ± 2.51 | 100.00 ± 6.50 | Ba2+ | 92.06 ± 7.04 | 71.16 ± 2.54 |
| Ca2+ | 117.52 ± 1.80 | 143.43 ± 4.11 | Zn2+ | 48.42 ± 0.26 | 12.48 ± 2.38 |
| Mg2+ | 94.54 ± 3.15 | 152.22 ± 7.40 | K+ | 97.36 ± 2.57 | 74.96 ± 1.82 |
| Li+ | 105.52 ± 0.77 | 65.93 ± 2.54 | Al3+ | 7.39 ± 1.80 | 9.86 ± 7.40 |
| Cu2+ | 38.93 ± 0.58 | ND | Fe3+ | 75.96 ± 1.67 | ND |
| Source | Molecular Mass | Substrate Spectrum | Optimal Temperature (°C) | Optimal pH | pH Stability | Assay Method | Specific Activity (U/mg) |
|---|---|---|---|---|---|---|---|
| E. asburiae CGJ001 (This study) | 87.88 kDa | HA | 40 | 7 | 6–9 | Reducing sugar method (DNS termination) | 9.50 × 105 |
| Bacillus sp. A50 [21] | 123 kDa | HA, CS | 44 | 6.5 | 5–6 | Turbidimetric method | 1.02 × 106 |
| Bacillus niacin JAM F8 [16] | 120 kDa | HA, CS | 45 | 6 | 6–11 | Ultraviolet method | 136.7 |
| Brevibacterium halotolerans DC1 [22] | 41 kDa | HA, CS, DS, dermatan | 37 | 7 | 5–9 | Turbidimetric method | 26.37 |
| Arthrobacter globiformis A152 [23] | 73.7 kDa | HA, CS | 42 | 6 | 5–7 | Ultraviolet method | 297.2 |
| Streptococcus pyogenes bacteriophage H4489A [24] | 40 kDa | HA | 37 | 5.5 | 4–7 | Elson–Morgan-like method | 9.62 |
| Paenibacillus aquistagni SH-7-A [25] | 110 kDa | HA | 40 | 6 | 5–7 | Ultraviolet method | 1.18 × 104 |
| Bacillus sp. CQMU-D [26] | 126.2 kDa | HA, CS | 40 | 7 | 7–10 | Ultraviolet method | - |
| Thermasporomyces copostie DSM22891 [27] | 90 kDa | HA | 70 | 5.93 | 6.1–10.9 | Ultraviolet method | 10.91 |
| Yersinia sp. 298 [28] | 115.4 kDa | HA, CS | 40 | 7.5 | 6.0–11.0 | Ultraviolet method | 11.19 |
| Escherichia sp. A99 [29] | 86.7 kDa | HA, CS | 40 | 6 | 5.5–6.6 | Ultraviolet method | 376.32 |
| Homo sapiens [30] | 48.3 kDa | HA | - | 3.5–4.0 | - | Elson–Morgan-like method | 6.8 |
| Bos grunniens [31] | 55 kDa | HA, CS and DS | 37 | 3.8 | - | Elson–Morgan-like method | 20.4 |
| Lachesis muta rhombeata [32] | 60 kDa | - | 37 | 6 | - | Turbidimetric method | - |
Disclaimer/Publisher’s Note: The statements, opinions and data contained in all publications are solely those of the individual author(s) and contributor(s) and not of MDPI and/or the editor(s). MDPI and/or the editor(s) disclaim responsibility for any injury to people or property resulting from any ideas, methods, instructions or products referred to in the content. |
© 2024 by the authors. Licensee MDPI, Basel, Switzerland. This article is an open access article distributed under the terms and conditions of the Creative Commons Attribution (CC BY) license (https://creativecommons.org/licenses/by/4.0/).
Share and Cite
Zhang, L.; Jiang, J.; Liu, W.; Wang, L.; Yao, Z.; Li, H.; Gong, J.; Kang, C.; Liu, L.; Xu, Z.; et al. Identification and Characterization of a Highly Active Hyaluronan Lyase from Enterobacter asburiae. Mar. Drugs 2024, 22, 399. https://doi.org/10.3390/md22090399
Zhang L, Jiang J, Liu W, Wang L, Yao Z, Li H, Gong J, Kang C, Liu L, Xu Z, et al. Identification and Characterization of a Highly Active Hyaluronan Lyase from Enterobacter asburiae. Marine Drugs. 2024; 22(9):399. https://doi.org/10.3390/md22090399
Chicago/Turabian StyleZhang, Linjing, Jiayu Jiang, Wei Liu, Lianlong Wang, Zhiyuan Yao, Heng Li, Jinsong Gong, Chuanli Kang, Lei Liu, Zhenghong Xu, and et al. 2024. "Identification and Characterization of a Highly Active Hyaluronan Lyase from Enterobacter asburiae" Marine Drugs 22, no. 9: 399. https://doi.org/10.3390/md22090399
APA StyleZhang, L., Jiang, J., Liu, W., Wang, L., Yao, Z., Li, H., Gong, J., Kang, C., Liu, L., Xu, Z., & Shi, J. (2024). Identification and Characterization of a Highly Active Hyaluronan Lyase from Enterobacter asburiae. Marine Drugs, 22(9), 399. https://doi.org/10.3390/md22090399

