Eremophilane- and Acorane-Type Sesquiterpenes from the Deep-Sea Cold-Seep-Derived Fungus Furcasterigmium furcatum CS-280 Cultured in the Presence of Autoclaved Pseudomonas aeruginosa QDIO-4
Abstract
1. Introduction
2. Results and Discussion
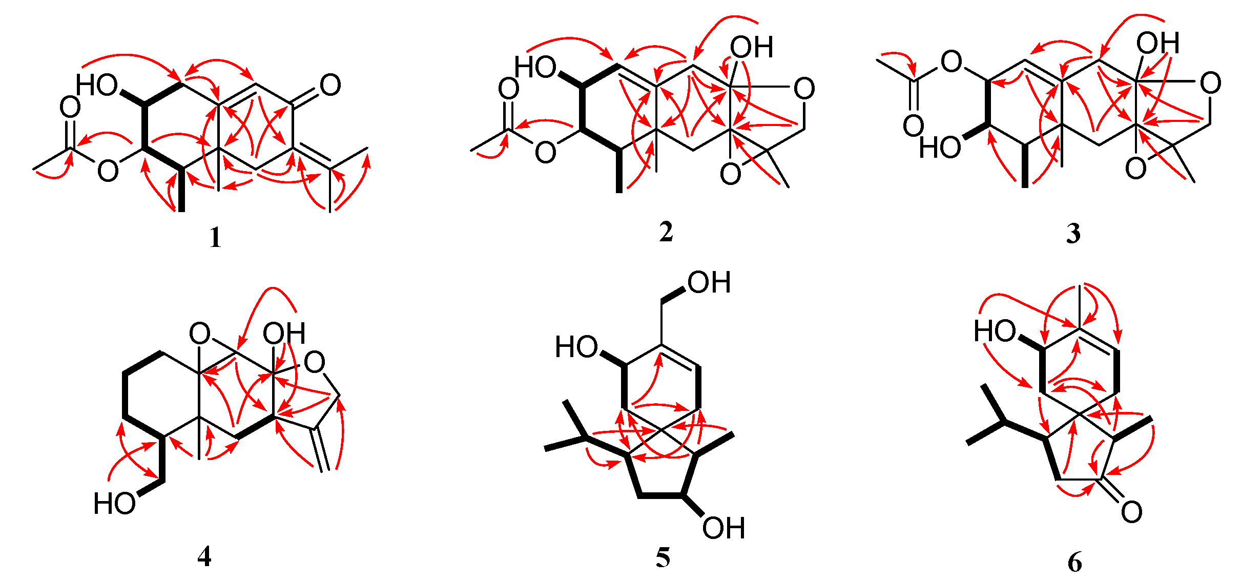
2.1. Structure Elucidation
2.2. COX-2 Inhibitory Activity
3. Material and Methods
3.1. General Experimental Procedures
3.2. Fungal Material
3.3. Fermentation, Extraction, and Isolation
3.4. X-Ray Crystallographic Analysis of Compounds 1, 3 and 4 [26]
3.5. Specific Rotation and ECD Calculations
3.6. COX-2 Inhibitory Assays
3.7. Molecular Docking Simulations
4. Conclusions
Supplementary Materials
Author Contributions
Funding
Institutional Review Board Statement
Data Availability Statement
Acknowledgments
Conflicts of Interest
References
- Zhang, C.W.; Peng, Y.Y.; Liu, X.Y.; Wang, J.N.; Dong, X.Y. Deep-sea microbial genetic resources: New frontiers for bioprospecting. Trends Microbiol. 2024, 32, 321–324. [Google Scholar] [CrossRef] [PubMed]
- Skropeta, D.; Wei, L.Q. Recent advances in deep-sea natural products. Nat. Prod. Rep. 2014, 31, 999–1025. [Google Scholar] [CrossRef]
- Dong, X.; Zhang, T.; Wu, W.; Peng, Y.; Liu, X.; Han, Y.; Chen, X.; Gao, Z.; Xia, J.; Shao, Z.; et al. A vast repertoire of secondary metabolites potentially influences community dynamics and biogeochemical processes in cold seeps. Sci. Adv. 2024, 10, eadl2281. [Google Scholar] [CrossRef] [PubMed]
- Luo, P.; Huang, J.H.; Lv, J.M.; Wang, G.Q.; Hu, D.; Gao, H. Biosynthesis of fungal terpenoids. Nat. Prod. Rep. 2024, 41, 748–783. [Google Scholar] [CrossRef]
- Amand, S.; Vallet, M.; Guedon, L.; Genta-Jouve, G.; Wien, F.; Mann, S.; Dupont, J.; Prado, S.; Nay, B. A reactive eremophilane and its antibacterial 2(1H)-naphthalenone rearrangement product, witnesses of a microbial chemical warfare. Org. Lett. 2017, 19, 4038–4041. [Google Scholar] [CrossRef] [PubMed]
- Wang, M.; Zhang, Q.; Ren, Q.; Kong, X.; Wang, L.; Wang, H.; Xu, J.; Guo, Y. Isolation and characterization of sesquiterpenes from Celastrus orbiculatus and their antifungal activities against phytopathogenic fungi. J. Agric. Food Chem. 2014, 62, 10945–10953. [Google Scholar] [CrossRef] [PubMed]
- Zhao, Y.; Schenk, D.J.; Takahashi, S.; Chappell, J.; Coates, R.M. Eremophilane sesquiterpenes from Capsidiol. J. Org. Chem. 2004, 69, 7428–7435. [Google Scholar] [CrossRef]
- Mo, S.; Zhang, Y.; Jiang, R.; Zeng, H.; Huang, Z.; Yin, J.; Zhang, S.; Yao, J.; Wang, J.; Hu, Z.; et al. Dipeniroqueforins A–B and peniroqueforin D: Eremophilane-type sesquiterpenoid derivatives with cytotoxic activity from Penicillium roqueforti. J. Org. Chem. 2024, 89, 1209–1219. [Google Scholar] [CrossRef]
- Chen, W.H.; Yang, H.Y.; Wang, Y.X.; Wen, M.L.; Yang, Z.D.; Chen, J.J. Two new eremophilane-type sesquiterpenoids from Ligularia sagitta. Chem. Biodivers. 2022, 19, e202200762. [Google Scholar] [CrossRef] [PubMed]
- Chen, X.D.; Yang, S.Q.; Li, X.M.; Wang, B.G.; Li, X. Antibacterial polyketides and ascochlorins from deep-sea cold-seep-derived fungus Furcasterigmium furcatum (syn. Acremonium furcatum). Deep Sea Res. Part I 2023, 199, 104114. [Google Scholar] [CrossRef]
- Marmann, A.; Aly, A.H.; Lin, W.; Wang, B.; Proksch, P. Co-cultivation—A powerful emerging tool for enhancing the chemical diversity of microorganisms. Mar. Drugs 2014, 12, 1043–1065. [Google Scholar] [CrossRef] [PubMed]
- Okada, B.K.; Seyedsayamdost, M.R. Antibiotic dialogues: Induction of silent biosynthetic gene clusters by exogenous small molecules. FEMS Microbiol. Rev. 2017, 41, 19–33. [Google Scholar] [CrossRef] [PubMed]
- Pettit, R.K. Mixed fermentation for natural product drug discovery. Appl. Microbiol. Biotechnol. 2009, 83, 19–25. [Google Scholar] [CrossRef]
- Hao, X.; Li, S.; Ni, J.; Wang, G.; Li, F.; Li, Q.; Chen, S.; Shu, J.; Gan, M. Acremopeptaibols A–F, 16-residue peptaibols from the sponge-derived Acremonium sp. IMB18-086 cultivated with heat-killed Pseudomonas aeruginosa. J. Nat. Prod. 2021, 84, 2990–3000. [Google Scholar] [CrossRef] [PubMed]
- Hao, X.; Li, S.; Li, J.; Wang, G.; Li, J.; Peng, Z.; Gan, M. Acremosides A–G, sugar alcohol-conjugated acyclic sesquiterpenes from a sponge-derived Acremonium species. J. Nat. Prod. 2024, 87, 1059–1066. [Google Scholar] [CrossRef]
- Sørensen, D.; Raditsis, A.; Trimble, L.A.; Blackwell, B.A.; Sumarah, M.W.; Miller, J.D. Isolation and structure elucidation by LC-MS-SPE/NMR: PR toxin- and cuspidatol-related eremophilane sesquiterpenes from Penicillium roqueforti. J. Nat. Prod. 2007, 70, 121–123. [Google Scholar] [CrossRef] [PubMed]
- Wu, G.; Lin, A.; Gu, Q.; Zhu, T.; Li, D. Four new chloro-eremophilane sesquiterpenes from an Antarctic deep-sea derived fungus, Penicillium sp. PR19N-1. Mar. Drugs 2013, 11, 1399–1408. [Google Scholar] [CrossRef]
- Oh, H.; Jensen, P.R.; Murphy, B.T.; Fiorilla, C.; Sullivan, J.F.; Ramsey, T.; Fenical, W. Cryptosphaerolide, a cytotoxic Mcl-1 inhibitor from a marine-derived Ascomycete related to the genus Cryptosphaeria. J. Nat. Prod. 2010, 73, 998–1001. [Google Scholar] [CrossRef]
- Guo, R.; Ren, Q.; Tang, Y.X.; Zhao, F.; Lin, B.; Huang, X.X.; Song, S.J. Sesquiterpenoids from the roots of Daphne genkwa Siebold et Zucc. With potential anti-inflammatory activity. Phytochemistry 2020, 174, 112348. [Google Scholar] [CrossRef] [PubMed]
- Citron, C.A.; Riclea, R.; Brock, N.L.; Dickschat, J.S. Biosynthesis of acorane sesquiterpenes by Trichoderma. RSC Adv. 2011, 1, 290–297. [Google Scholar] [CrossRef]
- Li, M.; Bi, J.; Lv, B.; Zheng, W.; Wang, Z.; Xiao, W.; Sun, Y.; Li, E. An experimental study of the anti-dysmenorrhea effect of Chinese herbal medicines used in Jin Gui Yao Lue. J. Ethnopharmacol. 2019, 245, 112181. [Google Scholar] [CrossRef]
- Mitchell, J.A.; Kirkby, N.S.; Ahmetaj-Shala, B.; Armstrong, P.C.; Crescente, M.; Ferreira, P.; Pires, M.E.L.; Vaja, R.; Warner, T.D. Cyclooxygenases and the cardiovascular system. Pharmacol. Ther. 2021, 217, 107624. [Google Scholar] [CrossRef]
- Dong, Y.L.; Li, X.M.; Shi, X.S.; Wang, Y.R.; Wang, B.G.; Meng, L.H. Diketopiperazine alkaloids and bisabolene sesquiterpenoids from Aspergillus versicolor AS-212, an endozoic fungus associated with deep-sea coral of Magellan Seamounts. Mar. Drugs 2023, 21, 293. [Google Scholar] [CrossRef] [PubMed]
- Ying, Z.; Li, X.M.; Yang, S.Q.; Li, H.L.; Li, X.; Wang, B.G.; Meng, L.H. Antifungal pseuboyenes A–J, bergamotene-derived sesquiterpenoids from a cold-seep-derived Pseudallescheria boydii. J. Nat. Prod. 2024, 87, 1347–1357. [Google Scholar] [CrossRef]
- Yan, L.H.; Li, P.H.; Li, X.M.; Yang, S.Q.; Liu, K.C.; Wang, B.G.; Li, X. Chevalinulins A and B, proangiogenic alkaloids with a spiro[bicyclo[2.2.2]octane-diketopiperazine] skeleton from deep-sea cold-seep-derived fungus Aspergillus chevalieri CS-122. Org. Lett. 2022, 24, 2684–2688. [Google Scholar]
- Crystallographic Data of Compounds 1, 3, and 4 Have Been Deposited in the Cambridge Crystallographic Data Centre as CCDCs 2369061, 2369062, and 2369063, Respectively. Available online: http://www.ccdc.cam.ac.uk/data_request/cif (accessed on 10 October 2024).
- Sheldrick, G.M. SADABS; Software for Empirical Absorption Correction; University of Göttingen: Göttingen, Germany, 1996. [Google Scholar]
- Sheldrick, G.M. SHELXTL; Structure Determination Software Programs; Bruker Analytical X-ray System Inc.: Madison, WI, USA, 1997. [Google Scholar]
- Sheldrick, G.M. SHELXL-97 and SHELXS-97; Program for X-ray Crystal Structure Solution and Refinement; University of Göttingen: Göttingen, Germany, 1997. [Google Scholar]
- Parsons, S.; Flack, H.D.; Wagner, T. Use of intensity quotients and differences in absolute structure refinement. Acta Crystallogr. Sect. B Struct. Sci. Cryst. Eng. Mater. 2013, B69, 249–259. [Google Scholar]
- Frisch, M.; Trucks, G.; Schlegel, H.; Scuseria, G.; Robb, M.; Cheeseman, J.; Scalmani, G.; Barone, V.; Mennucci, B.; Petersson, G. Gaussian 09, Revision D. 01 and Gaussian 16, Revision A. 03; Gaussian, Inc.: Wallingford, CT, USA, 2013. [Google Scholar]
- Trott, O.; Olson, A.J. Software news and update AutoDock Vina: Improving the speed and accuracy of docking with a new scoring function, efficient optimization, and multithreading. J. Comput. Chem. 2010, 31, 455–461. [Google Scholar] [CrossRef]







| no. | 1 | 2 | 3 | 4 |
|---|---|---|---|---|
| 1 | 2.55, dd (13.1, 2.6) 2.30, dd (13.1, 5.6) | 5.23, s | 5.12, d (2.4) | 2.00, td (13.4, 4.2) 0.96, overlap |
| 2 | 3.63, m | 4.19, t (6.0) | 5.14, dd (4.4, 2.4) | 1.67, d (11.1) 1.38, m |
| 3 | 5.09, t (2.9) | 5.06, d (6.0) | 3.78, td (4.4, 2.2) | 1.82, d (10.6) 1.28, overlap |
| 4 | 1.74, qd (7.0, 2.9) | 1.76, q (7.2) | 1.58, overlap | 1.33, overlap |
| 6 | 2.86, d (13.9) 1.98, overlap | 1.80, d (13.2) 1.56, d (13.2) | 1.80, d (13.2) 1.55, d (13.2) | 1.61, dd (13.3, 6.0) 1.14, t (13.3) |
| 7 | - | - | - | 2.39, dd (13.3, 6.0) |
| 9 | 5.74, s | 2.54, d (13.1) 2.27, d (13.1) | 2.52, overlap 2.28, d (13.0) | 2.92, s |
| 12 | 2.00, s | 3.65, d (9.6) 3.61, d (9.6) | 3.64, d (9.7) 3.61, d (9.7) | 4.34, d (12.9) 4.29, overlap |
| 13 | 1.81, s | 1.36, s | 1.36, s | 4.90, br s |
| 14 | 1.02, s | 1.13, s | 1.18, s | 0.99, s |
| 15 | 0.92, d (7.0) | 0.90, d (7.2) | 1.03, d (7.0) | 3.57, d (10.4) 3.11, d (10.4) |
| 17 | 2.07, s | 1.99, s | 2.03, s | |
| 2-OH | 5.05, d (6.0) | 4.75, d (6.0) | ||
| 3-OH | 4.64, d (4.4) | |||
| 8-OH | 5.82, s | 5.80, s | 6.18, s | |
| 15-OH | 4.30, overlap |
| no. | 1 | 2 | 3 | 4 |
|---|---|---|---|---|
| 1 | 35.8, CH2 | 126.5, CH | 121.1, CH | 29.3, CH2 |
| 2 | 68.5, CH | 66.0, CH | 72.2, CH | 22.6, CH2 |
| 3 | 75.2, CH | 73.8, CH | 69.0, CH | 24.8, CH2 |
| 4 | 41.4, CH | 40.8, CH | 41.6, CH | 46.9, CH |
| 5 | 39.9, C | 38.6, C | 39.5, C a | 35.6, C |
| 6 | 40.7, CH2 | 35.2, CH2 | 35.3, CH2 | 35.7, CH2 |
| 7 | 127.3, C | 67.9, C | 67.9, C | 44.4, CH |
| 8 | 190.2, C | 100.7, C | 100.7, C | 101.7, C |
| 9 | 126.9, CH | 39.6, CH2 | 39.5, CH2 | 62.1, CH |
| 10 | 165.3, C | 139.7, C | 142.6, C | 64.8, C |
| 11 | 142.4, C | 61.6, C | 61.4, C | 152.1, C |
| 12 | 22.1, CH3 | 68.6, CH2 | 68.6, CH2 | 68.3, CH2 |
| 13 | 21.7, CH3 | 11.2, CH3 | 11.2, CH3 | 103.8, CH2 |
| 14 | 17.9, CH3 | 19.4, CH3 | 19.7, CH3 | 16.0, CH3 |
| 15 | 11.3, CH3 | 12.6, CH3 | 12.8, CH3 | 61.4, CH2 |
| 16 | 170.0, C | 170.2, C | 170.1, C | |
| 17 | 20.8, CH3 | 21.0, CH3 | 21.0, CH3 |
| no. | 5 | no. | 6 | ||
|---|---|---|---|---|---|
| δH a (mult, J in Hz) | δC b, Type | δH a (mult, J in Hz) | δC b, Type | ||
| 1 | 1.43, dt (10.7, 8.3) | 56.9, CH | 1 | 1.89, overlap | 45.1, CH |
| 2 | 1.78, overlap 1.51, overlap | 37.0, CH2 | 2 | 2.26, dd (19.5, 9.2) 2.12, dd (19.5, 4,7) | 36.6, CH2 |
| 3 | 3.53, td (9.0, 4.9) | 74.3, CH | 3 | 220.5, C c | |
| 4 | 1.36, m | 55.1, CH | 4 | 2.50, m | 50.4, CH |
| 5 | 44.8, C | 5 | 44.4, C | ||
| 6 | 1.55, overlap 1.20, dd (13.4, 9.9) | 32.9, CH2 | 6 | 1.94, overlap 1.61, overlap | 37.6, CH2 |
| 7 | 4.18, m | 64.5, CH | 7 | 4.10, m | 66.2, CH |
| 8 | 140.8, C | 8 | 136.4, C | ||
| 9 | 5.56, s | 121.4, CH | 9 | 5.32, m | 120.8, CH |
| 10 | 2.06, m 1.83, overlap | 34.9, CH2 | 10 | 1.87, overlap 1.63, overlap | 30.7, CH2 |
| 11 | 1.59, overlap | 29.4, CH | 11 | 2.03, m | 26.9, CH |
| 12 | 0.86, d (6.5) | 23.3, CH3 | 12 | 0.87, d (6.9) | 23.7, CH3 |
| 13 | 0.80, d (6.5) | 22.6, CH3 | 13 | 0.82, d (6.8) | 18.9, CH3 |
| 14 | 0.83, d (6.9) | 11.7, CH3 | 14 | 0.80, d (7.2) | 9.7, CH3 |
| 15 | 3.97, br s | 61.5, CH2 | 15 | 1.68, s | 19.7, CH3 |
| 3-OH | 4.47, d (4.9) | 7-OH | 4.77, d (5.8) | ||
| 7-OH | 4.53, d (6.1) | ||||
| 15-OH | 4.42, t (5.5) | ||||
Disclaimer/Publisher’s Note: The statements, opinions and data contained in all publications are solely those of the individual author(s) and contributor(s) and not of MDPI and/or the editor(s). MDPI and/or the editor(s) disclaim responsibility for any injury to people or property resulting from any ideas, methods, instructions or products referred to in the content. |
© 2024 by the authors. Licensee MDPI, Basel, Switzerland. This article is an open access article distributed under the terms and conditions of the Creative Commons Attribution (CC BY) license (https://creativecommons.org/licenses/by/4.0/).
Share and Cite
Chen, X.-D.; Li, X.; Li, X.-M.; Yang, S.-Q.; Wang, B.-G. Eremophilane- and Acorane-Type Sesquiterpenes from the Deep-Sea Cold-Seep-Derived Fungus Furcasterigmium furcatum CS-280 Cultured in the Presence of Autoclaved Pseudomonas aeruginosa QDIO-4. Mar. Drugs 2024, 22, 574. https://doi.org/10.3390/md22120574
Chen X-D, Li X, Li X-M, Yang S-Q, Wang B-G. Eremophilane- and Acorane-Type Sesquiterpenes from the Deep-Sea Cold-Seep-Derived Fungus Furcasterigmium furcatum CS-280 Cultured in the Presence of Autoclaved Pseudomonas aeruginosa QDIO-4. Marine Drugs. 2024; 22(12):574. https://doi.org/10.3390/md22120574
Chicago/Turabian StyleChen, Xiao-Dan, Xin Li, Xiao-Ming Li, Sui-Qun Yang, and Bin-Gui Wang. 2024. "Eremophilane- and Acorane-Type Sesquiterpenes from the Deep-Sea Cold-Seep-Derived Fungus Furcasterigmium furcatum CS-280 Cultured in the Presence of Autoclaved Pseudomonas aeruginosa QDIO-4" Marine Drugs 22, no. 12: 574. https://doi.org/10.3390/md22120574
APA StyleChen, X.-D., Li, X., Li, X.-M., Yang, S.-Q., & Wang, B.-G. (2024). Eremophilane- and Acorane-Type Sesquiterpenes from the Deep-Sea Cold-Seep-Derived Fungus Furcasterigmium furcatum CS-280 Cultured in the Presence of Autoclaved Pseudomonas aeruginosa QDIO-4. Marine Drugs, 22(12), 574. https://doi.org/10.3390/md22120574

