Elimination of Ethanol for the Production of Fucoidans from Brown Seaweeds: Characterization and Bioactivities
Abstract
1. Introduction
2. Results and Discussion
2.1. Fucoidan Extraction and Its Chemical Composition
2.2. Characterization of Fucoidans
2.2.1. FTIR
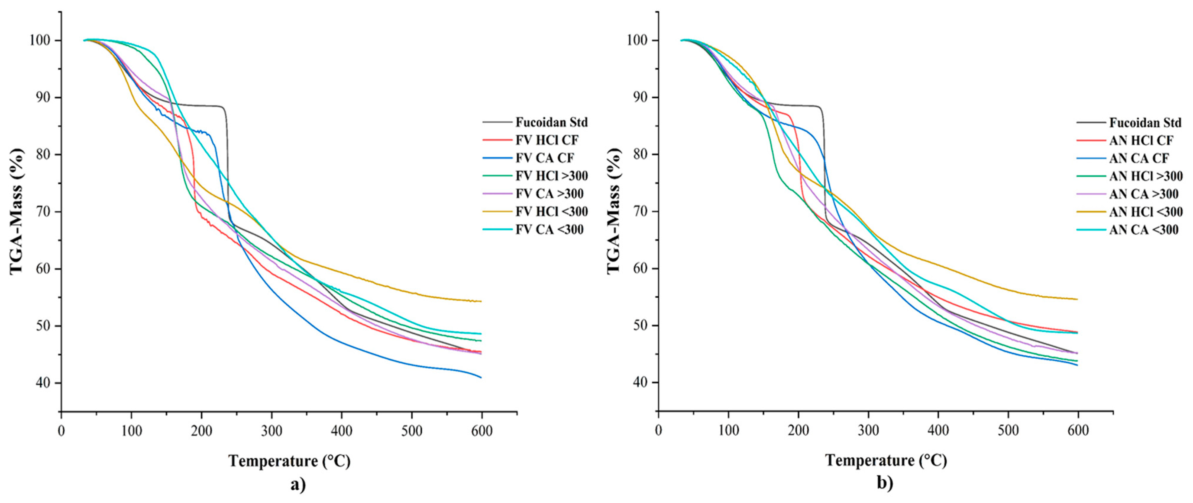
2.2.2. TGA/DSC
2.2.3. Solid-State 13C NMR Spectroscopy
2.3. Biological Activities of Fucoidan
2.3.1. Antioxidant Activity
2.3.2. Cytotoxicity Assay
3. Materials and Methods
3.1. Materials
3.2. Fucoidan Extraction Process
3.2.1. Classical Extraction Process with Acid and Food-Grade Acid
3.3. Separation Process for Fucoidan
3.3.1. Freeze Drying
3.3.2. Ethanol Precipitation
3.3.3. Membrane Based Separation (MWCO)
3.4. Chemical Composition Analysis of the Fucoidans
3.4.1. Fucoidan Content
3.4.2. Total Glucan Content
3.4.3. Total Protein Content
3.4.4. Molecular Weight
3.5. Characterization of the Fucoidan
3.5.1. FTIR Analysis
3.5.2. TGA and DSC
3.5.3. Solid-State NMR Spectroscopy
3.6. Biological Activities
3.6.1. Antioxidant Activities
DPPH Assay
FRAP Assay
3.6.2. Cytotoxicity Assay
Cell Culture
Cell Viability Assay
3.7. Statistical Analysis
4. Conclusions
Author Contributions
Funding
Institutional Review Board Statement
Data Availability Statement
Acknowledgments
Conflicts of Interest
References
- Lomartire, S.; Gonçalves, A.M. An overview of potential seaweed-derived bioactive compounds for pharmaceutical applications. Mar. Drugs 2022, 20, 141. [Google Scholar] [CrossRef] [PubMed]
- Konstantin, B.; Anastasia, P.; Nikolay, I.; Daria, P. Seasonal variations in the chemical composition of Arctic brown macroalgae. Algal Res. 2023, 72, 103112. [Google Scholar] [CrossRef]
- Saravana, P.S.; Cho, Y.-J.; Park, Y.-B.; Woo, H.-C.; Chun, B.-S. Structural, antioxidant, and emulsifying activities of fucoidan from Saccharina japonica using pressurized liquid extraction. Carbohydr. Polym. 2016, 153, 518–525. [Google Scholar] [CrossRef]
- Wang, F.; Xiao, Y.; Neupane, S.; Ptak, S.H.; Römer, R.; Xiong, J.; Ohmes, J.; Seekamp, A.; Fretté, X.; Alban, S. Influence of fucoidan extracts from different fucus species on adult stem cells and molecular mediators in in vitro models for bone formation and vascularization. Mar. Drugs 2021, 19, 194. [Google Scholar] [CrossRef]
- Jayawardena, T.U.; Nagahawatta, D.; Fernando, I.; Kim, Y.-T.; Kim, J.-S.; Kim, W.-S.; Lee, J.S.; Jeon, Y.-J. A Review on fucoidan structure, extraction techniques, and its role as an immunomodulatory agent. Mar. Drugs 2022, 20, 755. [Google Scholar] [CrossRef] [PubMed]
- Moomin, A.; Russell, W.R.; Knott, R.M.; Scobbie, L.; Mensah, K.B.; Adu-Gyamfi, P.K.T.; Duthie, S.J. Season, storage and extraction method impact on the phytochemical profile of Terminalia ivorensis. BMC Plant Biol. 2023, 23, 162. [Google Scholar] [CrossRef]
- Ale, M.T.; Mikkelsen, J.D.; Meyer, A.S. Important determinants for fucoidan bioactivity: A critical review of structure-function relations and extraction methods for fucose-containing sulfated polysaccharides from brown seaweeds. Mar. Drugs 2011, 9, 2106–2130. [Google Scholar] [CrossRef] [PubMed]
- Saravana, P.S.; Ummat, V.; Bourke, P.; Tiwari, B.K. Emerging green cell disruption techniques to obtain valuable compounds from macro and microalgae: A review. Crit. Rev. Biotechnol. 2023, 43, 904–919. [Google Scholar] [CrossRef] [PubMed]
- Ummat, V.; Sivagnanam, S.P.; Rajauria, G.; O’Donnell, C.; Tiwari, B.K. Advances in pre-treatment techniques and green extraction technologies for bioactives from seaweeds. Trends Food Sci. Technol. 2021, 110, 90–106. [Google Scholar] [CrossRef]
- Ballesteros-Vivas, D.; Ortega-Barbosa, J.P.; Parada-Alfonso, F.; Ferreira, S.R.; del Pilar Sánchez-Camargo, A. Supercritical fluid extraction of lipids, carotenoids, and other compounds from marine sources. In Innovative and Emerging Technologies in the Bio-Marine Food Sector; Elsevier: Amsterdam, The Netherlands, 2022; pp. 277–317. [Google Scholar]
- You, S.; Yang, C.; Lee, H.; Lee, B.-Y. Molecular characteristics of partially hydrolyzed fucoidans from sporophyll of Undaria pinnatifida and their in vitro anticancer activity. Food Chem. 2010, 119, 554–559. [Google Scholar] [CrossRef]
- Choi, J.-i.; Kim, H.-J.; Kim, J.-H.; Byun, M.-W.; Chun, B.S.; Ahn, D.H.; Hwang, Y.-J.; Kim, D.-J.; Kim, G.H.; Lee, J.-W. Application of gamma irradiation for the enhanced physiological properties of polysaccharides from seaweeds. Appl. Radiat. Isot. 2009, 67, 1277–1281. [Google Scholar] [CrossRef] [PubMed]
- Hwang, P.-A.; Yan, M.-D.; Kuo, K.-L.; Phan, N.N.; Lin, Y.-C. A mechanism of low molecular weight fucoidans degraded by enzymatic and acidic hydrolysis for the prevention of UVB damage. J. Appl. Phycol. 2017, 29, 521–529. [Google Scholar] [CrossRef]
- Hwang, P.-A.; Hung, Y.-L.; Phan, N.N.; Hieu, B.-T.-N.; Chang, P.-M.; Li, K.-L.; Lin, Y.-C. The in vitro and in vivo effects of the low molecular weight fucoidan on the bone osteogenic differentiation properties. Cytotechnology 2016, 68, 1349–1359. [Google Scholar] [CrossRef] [PubMed]
- Choi, D.-S.; Athukorala, Y.; Jeon, Y.-J.; Senevirathne, M.; Cho, K.-R.; Kim, S.-H. Antioxidant activity of sulfated polysaccharides isolated from Sargassum fulvellum. Prev. Nutr. Food Sci. 2007, 12, 65–73. [Google Scholar] [CrossRef]
- Synytsya, A.; Kim, W.-J.; Kim, S.-M.; Pohl, R.; Synytsya, A.; Kvasnička, F.; Čopíková, J.; Park, Y.I. Structure and antitumour activity of fucoidan isolated from sporophyll of Korean brown seaweed Undaria pinnatifida. Carbohydr. Polym. 2010, 81, 41–48. [Google Scholar] [CrossRef]
- Kang, S.-M.; Kim, K.-N.; Lee, S.-H.; Ahn, G.; Cha, S.-H.; Kim, A.-D.; Yang, X.-D.; Kang, M.-C.; Jeon, Y.-J. Anti-inflammatory activity of polysaccharide purified from AMG-assistant extract of Ecklonia cava in LPS-stimulated RAW 264.7 macrophages. Carbohydr. Polym. 2011, 85, 80–85. [Google Scholar] [CrossRef]
- Kim, W.J.; Koo, Y.-K.; Jung, M.-K.; Moon, H.R.; Kim, S.M.; Synytsya, A.; Yun-Choi, H.S.; Kim, Y.S.; Park, J.K.; Park, Y.I. Anticoagulating activities of low-molecular weight fuco-oligosaccharides prepared by enzymatic digestion of fucoidan from the sporophyll of Korean Undaria pinnatifida. Arch. Pharmacal Res. 2010, 33, 125–131. [Google Scholar] [CrossRef]
- Xu, Y.; Zhang, Q.; Luo, D.; Wang, J.; Duan, D. Low molecular weight fucoidan ameliorates the inflammation and glomerular filtration function of diabetic nephropathy. J. Appl. Phycol. 2017, 29, 531–542. [Google Scholar] [CrossRef]
- Tsai, H.-L.; Tai, C.-J.; Huang, C.-W.; Chang, F.-R.; Wang, J.-Y. Efficacy of low-molecular-weight fucoidan as a supplemental therapy in metastatic colorectal cancer patients: A double-blind randomized controlled trial. Mar. Drugs 2017, 15, 122. [Google Scholar] [CrossRef]
- Marinval, N.; Saboural, P.; Haddad, O.; Maire, M.; Bassand, K.; Geinguenaud, F.; Djaker, N.; Ben Akrout, K.; Lamy de la Chapelle, M.; Robert, R. Identification of a pro-angiogenic potential and cellular uptake mechanism of a LMW highly sulfated fraction of fucoidan from Ascophyllum nodosum. Mar. Drugs 2016, 14, 185. [Google Scholar] [CrossRef]
- Qi, Y.; Wang, L.; You, Y.; Sun, X.; Wen, C.; Fu, Y.; Song, S. Preparation of low-molecular-weight fucoidan with anticoagulant activity by photocatalytic degradation method. Foods 2022, 11, 822. [Google Scholar] [CrossRef] [PubMed]
- Álvarez-Viñas, M.; Flórez-Fernández, N.; González-Muñoz, M.J.; Domínguez, H. Influence of molecular weight on the properties of Sargassum muticum fucoidan. Algal Res. 2019, 38, 101393. [Google Scholar] [CrossRef]
- Suprunchuk, V.E. Low-molecular-weight fucoidan: Chemical modification, synthesis of its oligomeric fragments and mimetics. Carbohydr. Res. 2019, 485, 107806. [Google Scholar] [CrossRef] [PubMed]
- Saravana, P.S.; Cho, Y.-N.; Patil, M.P.; Cho, Y.-J.; Kim, G.-D.; Park, Y.B.; Woo, H.-C.; Chun, B.-S. Hydrothermal degradation of seaweed polysaccharide: Characterization and biological activities. Food Chem. 2018, 268, 179–187. [Google Scholar] [CrossRef] [PubMed]
- Balboa, E.M.; Rivas, S.; Moure, A.; Domínguez, H.; Parajó, J.C. Simultaneous extraction and depolymerization of fucoidan from Sargassum muticum in aqueous media. Mar. Drugs 2013, 11, 4612–4627. [Google Scholar] [CrossRef]
- Rioux, L.-E.; Turgeon, S.L.; Beaulieu, M. Structural characterization of laminaran and galactofucan extracted from the brown seaweed Saccharina longicruris. Phytochemistry 2010, 71, 1586–1595. [Google Scholar] [CrossRef]
- Lin, Y.; Qi, X.; Liu, H.; Xue, K.; Xu, S.; Tian, Z. The anti-cancer effects of fucoidan: A review of both in vivo and in vitro investigations. Cancer Cell Int. 2020, 20, 154. [Google Scholar] [CrossRef]
- Fitton, J.H.; Stringer, D.N.; Karpiniec, S.S. Therapies from fucoidan: An update. Mar. Drugs 2015, 13, 5920–5946. [Google Scholar] [CrossRef]
- Ermakova, S.; Sokolova, R.; Kim, S.-M.; Um, B.-H.; Isakov, V.; Zvyagintseva, T. Fucoidans from brown seaweeds Sargassum hornery, Eclonia cava, Costaria costata: Structural characteristics and anticancer activity. Appl. Biochem. Biotechnol. 2011, 164, 841–850. [Google Scholar] [CrossRef]
- Lee, H.; Kim, J.-S.; Kim, E. Fucoidan from seaweed Fucus vesiculosus inhibits migration and invasion of human lung cancer cell via PI3K-Akt-mTOR pathways. PLoS ONE 2012, 7, e50624. [Google Scholar] [CrossRef]
- Cabral, E.M.; Mondala, J.R.M.; Oliveira, M.; Przyborska, J.; Fitzpatrick, S.; Rai, D.K.; Sivagnanam, S.P.; Garcia-Vaquero, M.; O’Shea, D.; Devereux, M. Influence of molecular weight fractionation on the antimicrobial and anticancer properties of a fucoidan rich-extract from the macroalgae Fucus vesiculosus. Int. J. Biol. Macromol. 2021, 186, 994–1002. [Google Scholar] [CrossRef] [PubMed]
- Graikini, D.; Soro, A.B.; Sivagnanam, S.P.; Tiwari, B.K.; Sánchez, L. Bioactivity of Fucoidan-Rich Extracts from Fucus vesiculosus against Rotavirus and Foodborne Pathogens. Mar. Drugs 2023, 21, 478. [Google Scholar] [CrossRef] [PubMed]
- Sivagnanam, S.P.; Alaydi, H.; Cabral, E.M.; Poojary, M.M.; Karuppusamy, S.; Tiwari, B.K. Ultrasound, microwave and enzyme-assisted multiproduct biorefinery of Ascophyllum nodosum. Food Chem. 2024, 433, 137259. [Google Scholar] [CrossRef] [PubMed]
- Flórez-Fernández, N.; Pontes, J.F.; Guerreiro, F.; Afonso, I.T.; Lollo, G.; Torres, M.D.; Domínguez, H.; Costa, A.M.R.d.; Grenha, A. Fucoidan from Fucus vesiculosus: Evaluation of the impact of the sulphate content on nanoparticle production and cell toxicity. Mar. Drugs 2023, 21, 115. [Google Scholar] [CrossRef] [PubMed]
- Zayed, A.; Finkelmeier, D.; Hahn, T.; Rebers, L.; Shanmugam, A.; Burger-Kentischer, A.; Ulber, R. Characterization and cytotoxic activity of microwave-assisted extracted crude fucoidans from different brown seaweeds. Mar. Drugs 2023, 21, 48. [Google Scholar] [CrossRef]
- Rajauria, G.; Ravindran, R.; Garcia-Vaquero, M.; Rai, D.K.; Sweeney, T.; O’Doherty, J. Purification and molecular characterization of fucoidan isolated from Ascophyllum nodosum brown seaweed grown in Ireland. Mar. Drugs 2023, 21, 315. [Google Scholar] [CrossRef]
- Hempel, M.d.S.S.; Colepicolo, P.; Zambotti-Villela, L. Macroalgae Biorefinery for the Cosmetic Industry: Basic Concept, Green Technology, and Safety Guidelines. Phycology 2023, 3, 211–241. [Google Scholar] [CrossRef]
- Catarino, M.D.; Silva, A.M.; Cardoso, S.M. Phycochemical constituents and biological activities of Fucus spp. Mar. Drugs 2018, 16, 249. [Google Scholar] [CrossRef]
- Mensah, E.O.; Kanwugu, O.N.; Panda, P.K.; Adadi, P. Marine fucoidans: Structural, extraction, biological activities and their applications in the food industry. Food Hydrocoll. 2023, 142, 108784. [Google Scholar] [CrossRef]
- Meshalkina, D.; Tsvetkova, E.; Orlova, A.; Islamova, R.; Grashina, M.; Gorbach, D.; Babakov, V.; Francioso, A.; Birkemeyer, C.; Mosca, L. First insight into the neuroprotective and antibacterial effects of phlorotannins isolated from the cell walls of brown algae Fucus vesiculosus and Pelvetia canaliculata. Antioxidants 2023, 12, 696. [Google Scholar] [CrossRef]
- Wang, L.; Wang, L.; Yan, C.; Ai, C.; Wen, C.; Guo, X.; Song, S. Two Ascophyllum nodosum fucoidans with different molecular weights inhibit inflammation via blocking of TLR/NF-κB signaling pathway discriminately. Foods 2022, 11, 2381. [Google Scholar] [CrossRef] [PubMed]
- Foley, S.A.; Szegezdi, E.; Mulloy, B.; Samali, A.; Tuohy, M.G. An unfractionated fucoidan from Ascophyllum nodosum: Extraction, characterization, and apoptotic effects in vitro. J. Nat. Prod. 2011, 74, 1851–1861. [Google Scholar] [CrossRef] [PubMed]
- Li, Y.; Zheng, Y.; Zhang, Y.; Yang, Y.; Wang, P.; Imre, B.; Wong, A.C.; Hsieh, Y.S.; Wang, D. Brown algae carbohydrates: Structures, pharmaceutical properties, and research challenges. Mar. Drugs 2021, 19, 620. [Google Scholar] [CrossRef]
- Wen, L.; Zhang, Z.; Zhao, M.; Senthamaraikannan, R.; Padamati, R.B.; Sun, D.W.; Tiwari, B.K. Green extraction of soluble dietary fibre from coffee silverskin: Impact of ultrasound/microwave-assisted extraction. Int. J. Food Sci. Technol. 2020, 55, 2242–2250. [Google Scholar] [CrossRef]
- Ptak, S.H.; Sanchez, L.; Fretté, X.; Kurouski, D. Complementarity of Raman and Infrared spectroscopy for rapid characterization of fucoidan extracts. Plant Methods 2021, 17, 130. [Google Scholar] [CrossRef] [PubMed]
- Zayed, A.; Muffler, K.; Hahn, T.; Rupp, S.; Finkelmeier, D.; Burger-Kentischer, A.; Ulber, R. Physicochemical and biological characterization of fucoidan from Fucus vesiculosus purified by dye affinity chromatography. Mar. Drugs 2016, 14, 79. [Google Scholar] [CrossRef]
- Saravana, P.S.; Cho, Y.-N.; Woo, H.-C.; Chun, B.-S. Green and efficient extraction of polysaccharides from brown seaweed by adding deep eutectic solvent in subcritical water hydrolysis. J. Clean. Prod. 2018, 198, 1474–1484. [Google Scholar] [CrossRef]
- Yuan, Y.; Macquarrie, D.J. Microwave assisted step-by-step process for the production of fucoidan, alginate sodium, sugars and biochar from Ascophyllum nodosum through a biorefinery concept. Bioresour. Technol. 2015, 198, 819–827. [Google Scholar] [CrossRef]
- Coelho, M.; Duarte, A.P.; Pinto, S.; Botelho, H.M.; Reis, C.P.; Serralheiro, M.L.; Pacheco, R. Edible seaweeds extracts: Characterization and functional properties for health conditions. Antioxidants 2023, 12, 684. [Google Scholar] [CrossRef]
- Catarino, M.D.; Fernandes, I.; Oliveira, H.; Carrascal, M.; Ferreira, R.; Silva, A.M.; Cruz, M.T.; Mateus, N.; Cardoso, S.M. Antitumor activity of Fucus vesiculosus-derived phlorotannins through activation of apoptotic signals in gastric and colorectal tumor cell lines. Int. J. Mol. Sci. 2021, 22, 7604. [Google Scholar] [CrossRef]






| Fucoidan Obtained from Various Process | Sample | Fucoidan Content (%) | Total Glucan (mg Total Glucans/ 100 mg Dried Extract) | Protein (%) | Molecular Weight (kDa) |
|---|---|---|---|---|---|
| Crude fucoidan (with alcohol precipitation) | FV-CA-CF | 71.57 ± 2.54 b | 2.43 ± 0.23 c,d | 0.23 ± 0.01 d | 77.30 ± 1.30 b |
| FV-HCL-CF | 85.71 ± 0.17 a | 3.61 ± 0.30 a,b | 0.22 ± 0.00 d | 33.54 ± 0.36 e | |
| FD_fucoidan (without alcohol precipitation) | FV-CA-FD | 16.37 ± 0.25 g,h,i | 2.24 ± 0.14 c,d | 0.38 ± 0.02 d | 85.09 ± 5.92 a |
| FV-HCL-FD | 40.00 ± 0.63 d | 3.29 ± 0.30 b,c | 0.45 ± 0.02 d | 2.27 ± 0.00 f,g | |
| MWCO | FV-CA > 300 kD | 79.16 ± 2.15 b | 4.23 ± 0.19 a | 1.66 ± 0.01 c | 68.88 ± 0.66 c |
| FV-CA < 300 kD | 21.72 ± 0.44 e,f,g | 1.37 ± 0.05 e,f | 2.96 ± 0.56 a | 4.06 ± 0.01 f | |
| FV-CA < 100 kD | 22.00 ± 1.8 e,f,g | 1.14 ± 0.09 f | 2.34 ± 0.51 a,b,c | N.F. | |
| FV-CA < 50 kD | 18.76 ± 0.85 f,g,h,i | 2.11 ± 0.13 d.e,f | 2.13 ± 0.16 b,c | N.F. | |
| FV-CA < 10 kD | 19.28 ± 0.70 f,g,h,i | 1.82 ± 0.07 d,e,f | 2.43 ± 0.22 a,b | N.F. | |
| FV-CA < 5 kD | 12.93 ± 0.25 i | 1.50 ± 0.06 e,f | 0.54 ± 0.02 d | N.F. | |
| FV-HCL > 300 kD | 63.59 ± 5.70 c | 2.39 ± 0.09 c,d,e | 1.71 ± 0.34 b,c | 47.49 ± 0.08 d | |
| FV-HCL < 300 kD | 26.66 ± 0.36 e | 1.74 ± 0.10 d,e,f | 2.27 ± 0.01 a,b,c | 1.82 ± 0.01 f,g | |
| FV-HCL < 100 kD | 23.20 ± 1.92 e,f | 1.53 ± 0.08 e,f | 2.18 ± 0.22 b,c | N.F. | |
| FV-HCL < 50 kD | 20.65 ± 0.72 f,g,h | 2.37 ± 0.02 c,d,e | 2.04 ± 0.25 b,c | N.F. | |
| FV-HCL < 10 kD | 21.24 ± 0.83 e,f,g,h | 2.10 ± 0.08 d,e,f | 2.35 ± 0.31 a,b,c | N.F. | |
| FV-HCL < 5 kD | 14.35 ± 0.86 h,i | 1.57 ± 0.09 d,e,f | 0.75 ± 0.07 d | N.F. |
| Fucoidan Obtained from Various Process | Sample | Fucoidan Content (%) | Total Glucan (mg Total Glucans/100 mg Dried Extract) | Protein (%) | Molecular Weight (kDa) |
|---|---|---|---|---|---|
| Crude fucoidan (with alcohol precipitation) | AN-CA-CF | 59.82 ± 2.62 b | 0.82 ± 0.08 h | 0.29 ± 0.00 f | 82.14 ± 3.69 b |
| AN-HCL-CF | 81.20 ± 1.05 a | 0.79 ± 0.15 h | 0.27 ± 0.00 f | 76.25 ± 1.71 c | |
| FD_fucoidan (without alcohol precipitation) | AN-CA-FD | 14.59 ± 0.17 f,g,h | 1.67 ± 0.18 f,g | 0.75 ± 0.03 e,f | 102.13 ± 5.03 a |
| AN-HCL-FD | 12.98 ± 0.18 g,h | 2.06 ± 0.20 d,e,f | 0.77 ± 0.01 e,f | 20.47 ± 1.02 e | |
| MWCO | AN-CA > 300 kD | 79.21 ± 2.20 a | 3.37 ± 0.07 a,b | 2.13 ± 0.01 d | 73.49 ± 0.08 b |
| AN-CA < 300 kD | 20.09 ± 0.89 c,d,e | 1.63 ± 0.06 g | 4.70 ± 0.04 a,b,c | 1.82 ± 0.01 f | |
| AN-CA < 100 kD | 18.26 ± 0.68 d,e,f | 1.73 ± 0.07 e,f,g | 4.02 ± 0.02 c | N.F. | |
| AN-CA < 50 kD | 17.02 ± 0.40 e,f,g | 2.20 ± 0.06 d,e,f,g | 3.89 ± 0.03 c | N.F. | |
| AN-CA < 10 kD | 20.41 ± 0.30 c,d,e | 2.24 ± 0.02 d,e,f,g | 5.17 ± 0.84 a | N.F. | |
| AN-CA < 5 kD | 11.85 ± 0.97 h | 1.78 ± 0.11 e,f,g | 1.72 ± 0.08 d | N.F. | |
| AN-HCL > 300 kD | 80.70 ± 1.13 a | 2.43 ± 0.02 c,d,e | 1.74 ± 0.04 d | 52.25 ± 1.67 d | |
| AN-HCL < 300 kD | 20.77 ± 1.76 c,d,e | 2.79 ± 0.10 b,c,d | 4.17 ± 0.01 b,c | 1.82 ± 0.01 f | |
| AN-HCL < 100 kD | 20.79 ± 0.44 c,d,e | 2.38 ± 0.24 c,d | 5.26 ± 0.28 a | N.F. | |
| AN-HCL < 50 kD | 23.41 ± 0.07 c | 3.38 ± 0.12 a | 4.98 ± 0.94 a,b | N.F. | |
| AN-HCL < 10 kD | 21.29 ± 0.64 c,d | 3.40 ± 0.10 a | 5.44 ± 0.57 a | N.F. | |
| AN-HCL < 5 kD | 12.24 ± 0.15 h | 3.06 ± 0.14 a,b,c | 1.46 ± 0.03 d,e | N.F. |
| Sample | DPPH (%) | FRAP (μM Trolox Equivalents per mg Extract) |
|---|---|---|
| FV-CA-CF | 62.19 ± 0.99 e | 5.54 ± 0.15 d |
| AN-CA-CF | 76.78 ± 1.438 a,b | 4.08 ± 0.03 e |
| FV-HCL-CF | 65.44 ± 1.29 d,e | 9.97 ± 0.28 a |
| AN-HCL-CF | 80.28 ± 1.16 a | 4.68 ± 0.10 d,e |
| FV-CA > 300 kD | 62.80 ± 1.15 e | 7.27 ± 0.05 c |
| FV-CA < 300 kD | 61.99 ± 1.35 e | 4.67 ± 0.14 d,e |
| FV-HCL > 300 kD | 69.91 ± 1.29 c,d | 6.70 ± 0.12 c |
| FV-HCL < 300 kD | 60.97 ± 0.86 e | 2.65 ± 0.02 f |
| AN-CA > 300 kD | 80.08 ± 0.92 a | 9.86 ± 0.15 a |
| AN-CA < 300 kD | 71.95 ± 1.43 b,c,d | 3.94 ± 0.04 e |
| AN-HCL > 300 kD | 72.76 ± 1.16 b,c | 9.67 ± 0.15 a,b |
| AN-HCL < 300 kD | 66.87 ± 0.92 c,d,e | 8.89 ± 0.22 b |
| Fucoidan sigma standard | 84.91 ± 0.96 | 11.49 ± 0.06 |
| Vitamin C standard | 77.64 ± 1.16 |
Disclaimer/Publisher’s Note: The statements, opinions and data contained in all publications are solely those of the individual author(s) and contributor(s) and not of MDPI and/or the editor(s). MDPI and/or the editor(s) disclaim responsibility for any injury to people or property resulting from any ideas, methods, instructions or products referred to in the content. |
© 2024 by the authors. Licensee MDPI, Basel, Switzerland. This article is an open access article distributed under the terms and conditions of the Creative Commons Attribution (CC BY) license (https://creativecommons.org/licenses/by/4.0/).
Share and Cite
Saravana, P.S.; Karuppusamy, S.; Rai, D.K.; Wanigasekara, J.; Curtin, J.; Tiwari, B.K. Elimination of Ethanol for the Production of Fucoidans from Brown Seaweeds: Characterization and Bioactivities. Mar. Drugs 2024, 22, 493. https://doi.org/10.3390/md22110493
Saravana PS, Karuppusamy S, Rai DK, Wanigasekara J, Curtin J, Tiwari BK. Elimination of Ethanol for the Production of Fucoidans from Brown Seaweeds: Characterization and Bioactivities. Marine Drugs. 2024; 22(11):493. https://doi.org/10.3390/md22110493
Chicago/Turabian StyleSaravana, Periaswamy Sivagnanam, Shanmugapriya Karuppusamy, Dilip K. Rai, Janith Wanigasekara, James Curtin, and Brijesh K. Tiwari. 2024. "Elimination of Ethanol for the Production of Fucoidans from Brown Seaweeds: Characterization and Bioactivities" Marine Drugs 22, no. 11: 493. https://doi.org/10.3390/md22110493
APA StyleSaravana, P. S., Karuppusamy, S., Rai, D. K., Wanigasekara, J., Curtin, J., & Tiwari, B. K. (2024). Elimination of Ethanol for the Production of Fucoidans from Brown Seaweeds: Characterization and Bioactivities. Marine Drugs, 22(11), 493. https://doi.org/10.3390/md22110493

