Development of a Sequential Fractionation-and-Recovery Method for Multiple Anti-Inflammatory Components Contained in the Dried Red Alga Dulse (Palmaria palmata)
Abstract
1. Introduction
2. Results and Discussion
2.1. Sequential Procedure for Fractionating Anti-Inflammatory Components in Dulse
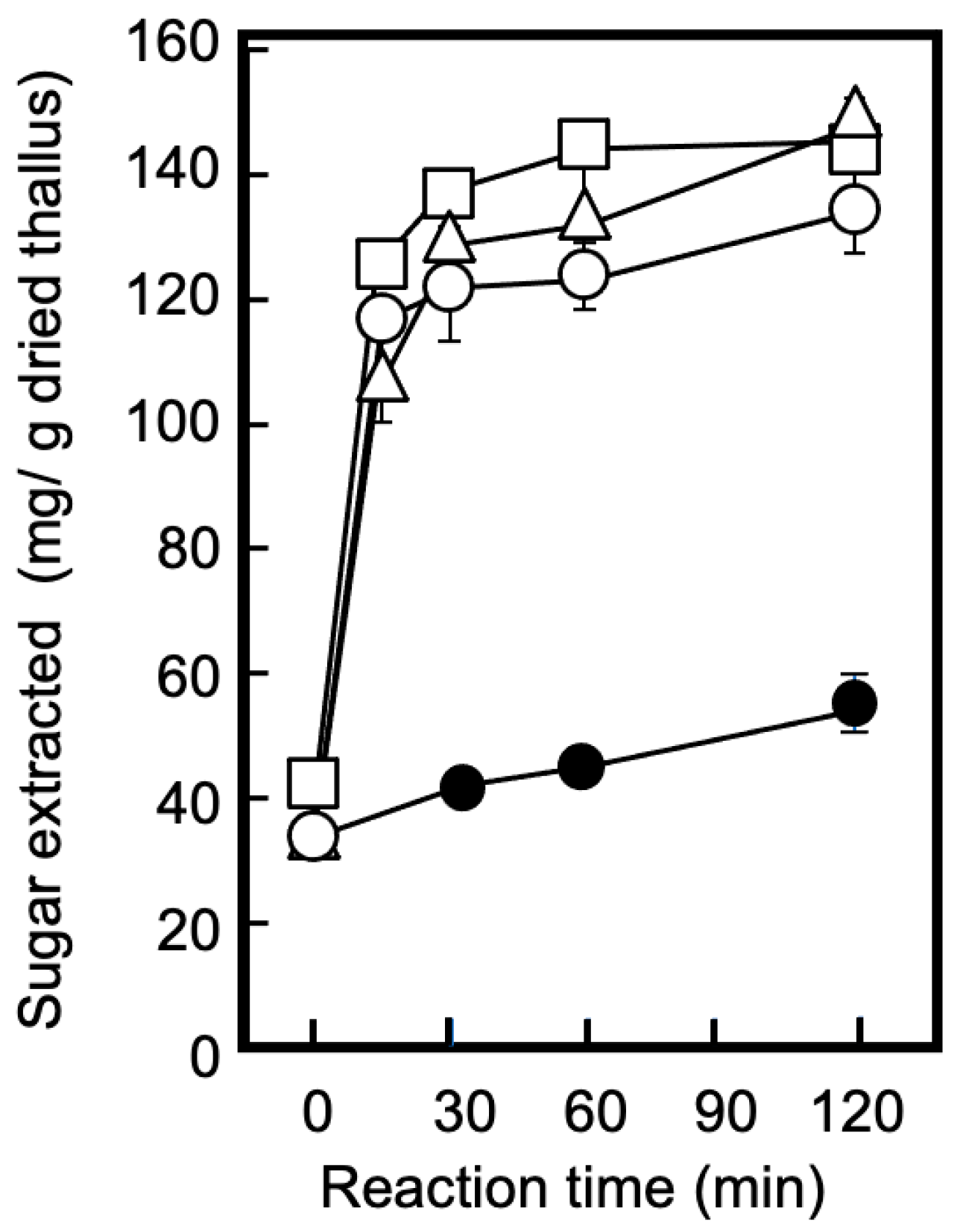
2.1.1. Selective Extraction of Sugars from Dried Thalli by Combined Enzymatic Degradation and Acid Precipitation (Step I)
2.1.2. Recovery of Phycobiliprotein-Derived Digested Peptides from the Thallus Residue (Step II)
2.1.3. Recovery of Chls from the Thallus Residue after Removing Sugars and Phycobiliproteins (Step III)
2.2. Composition of Each Fraction and Their Anti-Inflammatory Effects
3. Materials and Methods
3.1. Materials
3.2. Chemicals
3.3. Fractionation and Recovery Method for Multiple Anti-Inflammatory Components
3.4. Quantitative Analysis of the Components Extracted from Dried Thallus
3.5. Sodium Dodecyl Sulfate–Polyacrylamide Gel Electrophoresis (SDS-PAGE)
3.6. Evaluation of the Anti-Inflammatory Activity of the Extracts Using Mouse Macrophages
3.7. Statistical Analysis
4. Conclusions
Supplementary Materials
Author Contributions
Funding
Institutional Review Board Statement
Informed Consent Statement
Data Availability Statement
Acknowledgments
Conflicts of Interest
References
- Hotamisligil, G.S. Inflammation, Metaflammation and Immunometabolic Disorders. Nature 2017, 542, 177–185. [Google Scholar] [CrossRef]
- Phillips, C.M.; Chen, L.W.; Heude, B.; Bernard, J.Y.; Harvey, N.C.; Duijts, L.; Mensink-Bout, S.M.; Polanska, K.; Mancano, G.; Suderman, M.; et al. Dietary Inflammatory Index and Non-Communicable Disease Risk: A Narrative Review. Nutrients 2019, 11, 1873. [Google Scholar] [CrossRef]
- Galland, L. Diet and Inflammation. Nutr. Clin. Pract. 2010, 25, 634–640. [Google Scholar] [CrossRef]
- Wu, X.; Schauss, A.G. Mitigation of Inflammation with Foods. J. Agric. Food Chem. 2012, 60, 6703–6717. [Google Scholar] [CrossRef]
- Wang, Z.; Li, S.; Ge, S.; Lin, S. Review of Distribution, Extraction Methods, and Health Benefits of Bound Phenolics in Food Plants. J. Agric. Food Chem. 2020, 68, 3330–3343. [Google Scholar] [CrossRef]
- Da Silva, M.S.; Rudkowska, I. Dairy Nutrients and Their Effect on Inflammatory Profile in Molecular Studies. Mol. Nutr. Food Res. 2015, 59, 1249–1263. [Google Scholar] [CrossRef]
- Hamed, I.; Özogul, F.; Özogul, Y.; Regenstein, J.M. Marine Bioactive Compounds and Their Health Benefits: A Review. Compr. Rev. Food Sci. Food Saf. 2015, 14, 446–465. [Google Scholar] [CrossRef]
- Underwood, E.J. Trace Elements in Human and Animal Nutrition, 4th ed.; Academic Press: NewYork, NY, USA, 1977. [Google Scholar]
- Romarís-Hortas, V.; García-Sartal, C.; Barciela-Alonso, M.d.C.; Domínguez-González, R.; Moreda-Piñeiro, A.; Bermejo-Barrera, P. Bioavailability Study Using an In-Vitro Method of Iodine and Bromine in Edible Seaweed. Food Chem. 2011, 124, 1747–1752. [Google Scholar] [CrossRef]
- Katayama, S.; Nishio, T.; Kishimura, H.; Saeki, H. Immunomodulatory Properties of Highly Viscous Polysaccharide Extract from the Gagome Alga (Kjellmaniella Crassifolia). Plant Foods Hum. Nutr. 2012, 67, 76–81. [Google Scholar] [CrossRef]
- Sheng, J.; Yu, F.; Xin, Z.; Zhao, L.; Zhu, X.; Hu, Q. Preparation, Identification and Their Antitumor Activities in Vitro of Polysaccharides from Chlorella Pyrenoidosa. Food Chem. 2007, 105, 533–539. [Google Scholar] [CrossRef]
- Chandini, S.K.; Ganesan, P.; Bhaskar, N. In Vitro Antioxidant Activities of Three Selected Brown Seaweeds of India. Food Chem. 2008, 107, 707–713. [Google Scholar] [CrossRef]
- Venkatesan, J.; Kim, S.K.; Shim, M.S. Antimicrobial, Antioxidant, and Anticancer Activities of Biosynthesized Silver Nanoparticles Using Marine Algae Ecklonia Cava. Nanomaterials 2016, 6, 235. [Google Scholar] [CrossRef]
- Barbalace, M.C.; Malaguti, M.; Giusti, L.; Lucacchini, A.; Hrelia, S.; Angeloni, C. Anti-Inflammatory Activities of Marine Algae in Neurodegenerative Diseases. Int. J. Mol. Sci. 2019, 20, 3061. [Google Scholar] [CrossRef]
- Hannan, M.A.; Dash, R.; Haque, M.N.; Mohibbullah, M.; Sohag, A.A.M.; Rahman, M.A.; Uddin, M.J.; Alam, M.; Moon, I.S. Neuroprotective Potentials of Marine Algae and Their Bioactive Metabolites: Pharmacological Insights and Therapeutic Advances. Mar. Drugs 2020, 18, 347. [Google Scholar] [CrossRef]
- Armisen, R.; Galatas, F. Production, Properties and Uses of Agar. In Production and Utilization of Products from Commercial Seaweeds, FAO FISHERIES TECHNICAL PAPER 288; McHugh, D.J., Ed.; FAO: Rome, Italy, 1987; pp. 1–32. ISBN 92-5-102612-2. [Google Scholar]
- Kurihara, K. Glutamate: From Discovery as a Food Flavor to Role as a Basic Taste (Umami). Am. J. Clin. Nutr. 2009, 90, 719S–722S. [Google Scholar] [CrossRef]
- Sugita, D.; Hyun, G.; Masafumi, J.; Yasuyuki, M.; Hiroki, K. Effect of Drying Treatment on the Extractability and Anti—Inflammatory Function of Photosynthesis—Related Components in Dulse Palmaria Palmata and Their Efficient Recovery from Dried Thallus. Fish. Sci. 2022, 88, 645–652. [Google Scholar] [CrossRef]
- Kadam, S.U.; Tiwari, B.K.; O’Donnell, C.P. Application of Novel Extraction Technologies for Bioactives from Marine Algae. J. Agric. Food Chem. 2013, 61, 4667–4675. [Google Scholar] [CrossRef]
- Michalak, I.; Chojnacka, K. Algae as Production Systems of Bioactive Compounds. Eng. Life Sci. 2015, 15, 160–176. [Google Scholar] [CrossRef]
- Veide Vilg, J.; Undeland, I. PH-Driven Solubilization and Isoelectric Precipitation of Proteins from the Brown Seaweed Saccharina Latissima—Effects of Osmotic Shock, Water Volume and Temperature. J. Appl. Phycol. 2017, 29, 585–593. [Google Scholar] [CrossRef]
- Postma, P.R.; Cerezo-Chinarro, O.; Akkerman, R.J.; Olivieri, G.; Wijffels, R.H.; Brandenburg, W.A.; Eppink, M.H.M. Biorefinery of the Macroalgae Ulva Lactuca: Extraction of Proteins and Carbohydrates by Mild Disintegration. J. Appl. Phycol. 2018, 30, 1281–1293. [Google Scholar] [CrossRef]
- Fleurence, J.; Massiani, L.; Guyader, O.; Mabeau, S. Use of Enzymatic Cell Wall Degradation for Improvement of Protein Extraction from Chondrus Crispus, Gracilaria Verrucosa and Palmaria Palmata. J. Appl. Phycol. 1995, 7, 393–397. [Google Scholar] [CrossRef]
- Wang, T.; Jónsdóttir, R.; Kristinsson, H.G.; Hreggvidsson, G.O.; Jónsson, J.Ó.; Thorkelsson, G.; Ólafsdóttir, G. Enzyme-Enhanced Extraction of Antioxidant Ingredients from Red Algae Palmaria Palmata. Lwt 2010, 43, 1387–1393. [Google Scholar] [CrossRef]
- Mouritsen, O.G.; Dawczynski, C.; Duelund, L.; Jahreis, G.; Vetter, W.; Schröder, M. On the Human Consumption of the Red Seaweed Dulse (Palmaria Palmata (L.) Weber & Mohr). J. Appl. Phycol. 2013, 25, 1777–1791. [Google Scholar] [CrossRef]
- Harnedy, P.A.; Fitzgerald, R.J. Bioactive Proteins, Peptides, and Amino Acids from Macroalgae. J. Phycol. 2011, 47, 218–232. [Google Scholar] [CrossRef] [PubMed]
- Lee, D.; Nishizawa, M.; Shimizu, Y.; Saeki, H. Anti-Inflammatory Effects of Dulse (Palmaria Palmata) Resulting from the Simultaneous Water-Extraction of Phycobiliproteins and Chlorophyll A. Food Res. Int. 2017, 100, 514–521. [Google Scholar] [CrossRef]
- Wijesinghe, W.A.J.P.; Jeon, Y.J. Enzyme-Assistant Extraction (EAE) of Bioactive Components: A Useful Approach for Recovery of Industrially Important Metabolites from Seaweeds: A Review. Fitoterapia 2012, 83, 6–12. [Google Scholar] [CrossRef]
- Gómez-Pinchetti, J.L.; García-Reina, G. Enzymes from Marine Phycophages That Degrade Cell Walls of Seaweeds. Mar. Biol. 1993, 116, 553–558. [Google Scholar] [CrossRef]
- Viana, A.G.; Noseda, M.D.; Gonçalves, A.G.; Duarte, M.E.R.; Yokoya, N.; Matulewicz, M.C.; Cerezo, A.S. β-D-(1→4), β-D-(1→3) “mixed Linkage” Xylans from Red Seaweeds of the Order Nemaliales and Palmariales. Carbohydr. Res. 2011, 346, 1023–1028. [Google Scholar] [CrossRef]
- Yamamoto, Y.; Kishimura, H.; Kinoshita, Y.; Saburi, W.; Kumagai, Y.; Yasui, H.; Ojima, T. Enzymatic Production of Xylooligosaccharides from Red Alga Dulse (Palmaria Sp.) Wasted in Japan. Process. Biochem. 2019, 82, 117–122. [Google Scholar] [CrossRef]
- Tanaka, S.; Trakooncharoenvit, A.; Nishikawa, M.; Ikushiro, S.; Hara, H. Heteroconjugates of Quercetin with 4′- O -Sulfate Selectively Accumulate in Rat Plasma Due to Limited Urinary Excretion. Food Funct. 2022, 13, 1459–1471. [Google Scholar] [CrossRef]
- Palaniappan, A.; Antony, U.; Emmambux, M.N. Current Status of Xylooligosaccharides: Production, Characterization, Health Benefits and Food Application. Trends Food Sci. Technol. 2021, 111, 506–519. [Google Scholar] [CrossRef]
- Kusano, M.; Yasukawa, K.; Hashida, Y.; Inouye, K. Engineering of the PH-Dependence of Thermolysin Activity as Examined by Site-Directed Mutagenesis of Asn112 Located at the Active Site of Thermolysin. J. Biochem. 2006, 139, 1017–1023. [Google Scholar] [CrossRef]
- Gavalás-Olea, A.; Sanz, N.; Riobó, P.; Garrido, J.L.; Vaz, B. Enzymatic Synthesis and Characterization of Chlorophyllide Derivatives as Possible Internal Standards for Pigment Chromatographic Analysis. Algal Res. 2020, 46, 101688. [Google Scholar] [CrossRef]
- Lu, Y.C.; Yeh, W.C.; Ohashi, P.S. LPS/TLR4 Signal Transduction Pathway. Cytokine 2008, 42, 145–151. [Google Scholar] [CrossRef]
- Ciesielska, A.; Matyjek, M.; Kwiatkowska, K. TLR4 and CD14 Trafficking and Its Influence on LPS-Induced pro-Inflammatory Signaling. Cell. Mol. Life Sci. 2021, 78, 1233–1261. [Google Scholar] [CrossRef]
- Chen, H.H.; Chen, Y.K.; Chang, H.C.; Lin, S.Y. Immunomodulatory Effects of Xylooligosaccharides. Food Sci. Technol. Res. 2012, 18, 195–199. [Google Scholar] [CrossRef]
- Zhang, M.; Zhao, M.; Qing, Y.; Luo, Y.; Xia, G.; Li, Y. Study on Immunostimulatory Activity and Extraction Process Optimization of Polysaccharides from Caulerpa Lentillifera. Int. J. Biol. Macromol. 2020, 143, 677–684. [Google Scholar] [CrossRef]
- Batsalova, T.; Georgiev, Y.; Moten, D.; Teneva, I.; Dzhambazov, B. Natural Xylooligosaccharides Exert Antitumor Activity via Modulation of Cellular Antioxidant State and TLR4. Int. J. Mol. Sci. 2022, 23, 10430. [Google Scholar] [CrossRef]
- DuBois, M.; Gilles, K.; Hamilton, J.K.; Rebers, P.; Smith, F. Colorimetric Method for Determination of Sugars and Related Substances. Anal. Chem. 1956, 28, 350–356. [Google Scholar] [CrossRef]
- Lowery, O.H.; Rosebrough, N.J.; Farr, A.L.; Randall, R.J. Protein Measurement with the Folin Phenol Reagent. J. Biol. Chem. 1951, 193, 265–275. [Google Scholar] [CrossRef]
- Porra, R.J.; Thompson, W.A.; Kriedemann, P.E. Determination of Accurate Extinction Coefficients and Simultaneous Equations for Assaying Chlorophylls a and b Extracted with Four Different Solvents: Verification of the Concentration of Chlorophyll Standards by Atomic Absorption Spectroscopy. Biochim. Biophys. Acta 1989, 975, 384–394. [Google Scholar] [CrossRef]
- Laemmli, U.K. Cleavage of Structural Proteins during the Assembly of the Head of Bacteriophage T4. Nature 1970, 227, 680–685. [Google Scholar] [CrossRef] [PubMed]
- Li, W.; Yang, B.; Joe, G.-H.; Shimizu, Y.; Saeki, H. Glycation with Uronic Acid-Type Reducing Sugar Enhances the Anti-Inflammatory Activity of Fish Myofibrillar Protein via the Maillard Reaction. Food Chem. 2023, 407, 135162. [Google Scholar] [CrossRef] [PubMed]






| Extract | Sugar | PPs | Chls |
|---|---|---|---|
| % (mg/g Dried Thallus) | % (mg/g Dried Thallus) | % (mg/g Dried Thallus) | |
| E1 | 91.7 (152.27 ± 1.47) | 9.8 (19.50 ± 0.25) | 0.8 (12.03 ± 0.42) |
| E2 | 7.6 (12.63 ± 0.41) | 80.9 (160.83 ± 6.75) | 3.6 (49.01 ± 3.53) |
| E3 | 0.7 (1.14 ± 0.05) | 9.2 (18.45 ± 0.65) | 95.5 (1287.95 ± 11.68) |
Disclaimer/Publisher’s Note: The statements, opinions and data contained in all publications are solely those of the individual author(s) and contributor(s) and not of MDPI and/or the editor(s). MDPI and/or the editor(s) disclaim responsibility for any injury to people or property resulting from any ideas, methods, instructions or products referred to in the content. |
© 2023 by the authors. Licensee MDPI, Basel, Switzerland. This article is an open access article distributed under the terms and conditions of the Creative Commons Attribution (CC BY) license (https://creativecommons.org/licenses/by/4.0/).
Share and Cite
Joe, G.-H.; Masuoka, M.; Reisen, R.; Tanaka, S.; Saeki, H. Development of a Sequential Fractionation-and-Recovery Method for Multiple Anti-Inflammatory Components Contained in the Dried Red Alga Dulse (Palmaria palmata). Mar. Drugs 2023, 21, 276. https://doi.org/10.3390/md21050276
Joe G-H, Masuoka M, Reisen R, Tanaka S, Saeki H. Development of a Sequential Fractionation-and-Recovery Method for Multiple Anti-Inflammatory Components Contained in the Dried Red Alga Dulse (Palmaria palmata). Marine Drugs. 2023; 21(5):276. https://doi.org/10.3390/md21050276
Chicago/Turabian StyleJoe, Ga-Hyun, Masafumi Masuoka, Ryosuke Reisen, Seiya Tanaka, and Hiroki Saeki. 2023. "Development of a Sequential Fractionation-and-Recovery Method for Multiple Anti-Inflammatory Components Contained in the Dried Red Alga Dulse (Palmaria palmata)" Marine Drugs 21, no. 5: 276. https://doi.org/10.3390/md21050276
APA StyleJoe, G.-H., Masuoka, M., Reisen, R., Tanaka, S., & Saeki, H. (2023). Development of a Sequential Fractionation-and-Recovery Method for Multiple Anti-Inflammatory Components Contained in the Dried Red Alga Dulse (Palmaria palmata). Marine Drugs, 21(5), 276. https://doi.org/10.3390/md21050276

