Abstract
For decades, gorgonians and soft corals have been considered promising sources of bioactive compounds, attracting the interest of scientists from different fields. As the most abundant bioactive compounds within these organisms, terpenoids, steroids, and alkaloids have received the highest coverage in the scientific literature. However, enzyme inhibitors, a functional class of bioactive compounds with high potential for industry and biomedicine, have received much less notoriety. Thus, we revised scientific literature (1974–2022) on the field of marine natural products searching for enzyme inhibitors isolated from these taxonomic groups. In this review, we present representative enzyme inhibitors from an enzymological perspective, highlighting, when available, data on specific targets, structures, potencies, mechanisms of inhibition, and physiological roles for these molecules. As most of the characterization studies for the new inhibitors remain incomplete, we also included a methodological section presenting a general strategy to face this goal by accomplishing STRENDA (Standards for Reporting Enzymology Data) project guidelines.
1. Introduction
Enzyme inhibitors are ubiquitous in nature and, as key regulators of enzyme activity, play pivotal roles in the physiology of all living forms. At a molecular level, endogenous inhibitors regulate enzymatic processes such as metabolism and nutrition, transport, signal transduction, DNA damage repair, apoptosis, cell differentiation, and cell cycle progression, among others. Therefore, many enzyme inhibitors are directly involved in critical events in the context of health and disease [1,2,3,4,5,6,7,8]. Natural enzyme inhibitors also target exogenous enzymes, such as those from invading or competing organisms. Pathogenic viruses, bacteria, fungi, and parasites usually depend on enzymes as virulence factors to guarantee successful colonization and survival. Additionally, digestive enzymes can be used as part of the offensive armamentarium of living organisms in highly crowded environments to avoid competition. Thus, endogenous enzyme inhibitors result in effective defensive immune or anti-predatory mechanisms against such molecular weapons [9,10]. Consequently, natural enzyme inhibitors have received notorious attention as a research subject and have found numerous biomedical [11,12], industrial [13], and environmental applications [14,15].
Marine environments house many different organisms which produce a huge diversity of bioactive molecules. In particular, they have proven to be a prolific source of novel enzyme inhibitors with unique functional features. Inhibitors for all major enzyme classes have been isolated and characterized from marine sources, including kinases [16,17,18,19], proteases [20], phospholipases [21], glucosidases [22], cholinesterases [23,24], topoisomerases [25], and DNA polymerases [26], among others. Accordingly, many of them have found interesting investigational, biomedical, and biotechnological applications [27,28,29]. The anthozoan sub-class Octocorallia, including over 3000 extant species of soft corals, gorgonian, and sea pens, has been considered a promising reservoir of unique natural products with unusual bioactivities [30]. Octocorals are widely distributed in all marine environments around the world and comprise three taxonomic orders: Helioporacea, Pennatulacea, and Alcyonaceae [30]. Although not strict in a taxonomic sense, the term “soft coral” is commonly applied to organisms in the Pennatulacea and Alcyonaceae orders with their polyps embedded within a fleshy mass of coenenchymal tissue [31]. Similarly, the term “gorgonian” is used to designate multiple species of the Alcyonaceae order producing a skeletal axis (or axial-like layer) composed of calcite and the proteinaceous material gorgonin [31]. Both soft corals and gorgonians have been found to be sources of numerous natural products with high structural diversity and interesting bioactivities, with terpenoids, steroids, and alkaloids as the most popular [4]. Although less represented in the scientific literature, several fascinating enzyme inhibitors have been also reported from these sources [32].
Due to their great diversity and potential, there is a sustained interest in identifying new enzyme inhibitors from these marine organisms. In the past decade, we worked actively on the prospection and characterization of protease inhibitory activities in the aqueous extracts of invertebrates from the Caribbean Sea [33,34,35,36]. Our interest focused on tight-binding protease inhibitors from the gorgonian Plexaura homomalla, and by transference, in related taxonomic classes such as soft corals. Thus, in this work, we decided to review recent progress in the identification and enzymological characterization of enzyme inhibitors from these marine organisms. From this literature analysis, protein-tyrosine phosphatase 1B (PTP1B) and the ubiquitin-proteasome system emerged as the enzymes most frequently targeted by novel inhibitors, while terpenes and terpenoids predominated among inhibitors. We also observed that, in contrast with the detailed structural studies present in almost all the studies, the enzymological characterization was insufficient or absent for many of the newly reported inhibitors. Critical aspects of inhibition, such as reversibility, time dependency, inhibition type, and the value for the inhibition thermodynamic constant Ki [37], must be properly determined so that these bioactive molecules find applications according to their potential. Considering that most novel inhibitors are indeed identified in laboratories not specialized in enzymology, we also included in this review a final section with strategic recommendations on how to conduct such kind of characterization, using STRENDA (Standards for Reporting Enzymology Data) guidelines as a methodological framework [37,38,39].
2. Enzyme Inhibitors Isolated from Gorgonians and Soft Corals
Figure 1 graphically resumes relevant statistics on the collected information describing enzyme inhibitors from soft corals and gorgonians. We found and processed over 50 scientific reports, published between 1974 and 2022, which contained 127 inhibitor molecules (Supplementary Tables S1 to S3). Concerning their origin, soft corals were the preferred source for the prospection of new inhibitors in this period (Figure 1A), accounting for about 64% of the reviewed papers. This tendency was confirmed in the last 5 years when the proportion increased to 81% (Figure 1B). Considering that 206 original papers from this field (i.e., search terms: “natural product” AND “soft coral” OR “gorgonian” NOT “Review”) were deposited in PUBMED in the period 1974–2022, the class of enzyme inhibitors seemed to be a predominant one, representing nearly 25% of the total scientific production.
Figure 1.
Distribution of the reviewed enzyme inhibitors isolated from soft corals and gorgonians. Inhibitors were classified according to their organism of origin (A), publication date (B), principal classes of targeted enzymes (C), and molecular structure (D).
For classification purposes, the target enzymes for the reported inhibitors were grouped into four major classes (i.e., hydrolases, oxidoreductases, transferases, and translocases) according to the reaction type they catalyze. Hydrolases and transferases were, by far, the most abundant among them (Figure 1C and Table 1).
Table 1.
List of enzymes targeted by the inhibitors isolated from soft corals and gorgonians. Associated diseases and/or processes are also indicated.
Lastly, we grouped inhibitors by targets and tabulated their structures, potencies (predominantly as half-maximal inhibitory concentrations or IC50 values), and source organism. Inhibitors were classified into six major classes (i.e., terpenes and terpenoids, steroids, peptides, eicosanoids, alkaloids, and hydroquinones), and showed relatively low structural diversity. As expected, more than half of the inhibitory molecules identified in this period from soft corals and gorgonians were terpenes and terpenoids (Figure 1D), two classes that have historically dominated the literature on coral-derived natural products. Surprisingly, the functional characterization of novel enzyme inhibitors was biased toward cellular toxicity studies and not toward the in-depth understanding of their inhibitory activity. In the few cases where further enzymological information was available (e.g., inhibition mechanism, the value for the thermodynamic constant Ki, or target specificity), we included it within the text.
2.1. Hydrolases
2.1.1. Protein Tyrosine Phosphatase 1B (PTP1B) (EC 3.1.3.48)
The enzyme PTP1B is known as a target in the search for new drugs in the treatment of type 2 diabetes, obesity, and breast cancer [40,41,42]. This enzyme is one of the most used targets in the evaluation of marine compounds as enzyme inhibitors from soft corals. Twenty-eight molecules from seven soft coral and gorgonian species have been reported as PTP1B inhibitors (Table 2 and Figure 2). Most of these compounds are diterpenes or diterpenoids, with a few cases of steroids. The soft coral Sarcophyton trocheliophorum Marenzeller is the source of the highest number of isolated PTP1B inhibitors, such as the capnosane-type diterpenes Sarsolides A (1) and B (2) [43], the cembrane diterpenoids sarcophytonolide N (3), sarcrassin E (4), cembrene C (5), 4Z,12Z,14E-sarcophytolide (6), ketoemblide (7) [44], and the diterpenoid Methyl sarcotroate B (8) (Table 2 and Figure 2) [45]. The inhibitory results from capnosane-type diterpenes suggest that the presence of an exomethylene Δ10 (17) of the capnosane skeleton may play an important role in inhibitory activity [43]. In a similar way, some preliminary structure–function relationships could be proposed for the cembrane diterpenoids. The most potent molecules, sarcophytonolide N and sarcrassin E, have a dienoate moiety at C-1 through C-18, while the presence of an α-β-unsaturated lactone in sarcrassin E seems to be not essential for the inhibition. On the other hand, the presence of the methyl ester group at C-18 in sarcophytonolide N and sarcrassin E increases the inhibitory activity. The lack of cytotoxicity against human cell lines A-549 and HL-60 makes these compounds promising hits for the development of a new class of PTP1B inhibitors [43]. Methyl sarcotroates B is the only PTP1B inhibitor isolated from a marine organism containing a hydroperoxide group [43].
Table 2.
PTP1B inhibitors isolated from soft corals and gorgonians.
Figure 2.
PTP1B inhibitors isolated from soft corals and gorgonians (compounds 1–28).
PTP1B inhibitors have also been isolated from several species of the soft coral genus Sinularia. The cembranoids sinulin D (9) and (1R,3S,4S,7E,11E)-3,4-epoxycembra-7,11,15-triene (10), together with the sesquiterpenoid 15-hydroxy-α-cadinol (11), were isolated from Sinularia sp. [46]. These three terpenoids showed IC50 values in the millimolar range, which can be considered a weak inhibitory activity [46]. The prenyleudesmane-type diterpene sinupol (12), and (1R,4aR,6S,8aS)-6-((2E,4E)-6-hydroxy-6-methylhepta-2,4-dien-2-yl)-4,8a-dimethyl-1,2,4a,5,6,7,8,8a-octahyronaphthalen-1-ol (13) have been isolated from the soft coral Sinularia polydactyla [47]. Furthermore, the capnosane-type diterpenoid sinulacetate (14) and the nardosinane-type sesquiterpenoid linardosinene I (15) were found in Sinularia polydactyla and Litophyton nigrum [48], respectively. Additionally, the guaiane-type sesquiterpenes Molestins C (16) and D (17), together with the furanosesquiterpene (5´Z)-5-(2′,6′-Dimethylocta-5′,7′-dienyl)-furan-3-carboxylic acid (18), were isolated from Sinularia cf. molesta [49]. On the other hand, the steroids (3β,4α,5α,8β)-4-methylergost-24(28)-ene-8-ol-3-monoacetate (19), (3β,4α,5α)-4-methylergost-24(28)-ene-3-ol, ergost-4,24(28)-diene-3-one (20), and ergost-4,24(28)-diene-3-one (21) were isolated from Sinularia depressa [50], while the polyhydroxylated steroid 7α-hydroxy-crassarosterol A (22) was found in Sinularia flexibilis [51]. A potential role of substitution of hydroxyl groups in positions 3 and 8 is proposed, based on the results obtained from steroids with the same scaffold isolated from Sinularia depressa.
Several new lipidyl pseudopteranes (23–28) with inhibitory activity towards PTP1B were found in the gorgonian Pseudopterogorgia acerosa [52]. These compounds were reported as the first pseudopterane diterpenes with a fatty acid moiety and, based on the enzymatic assays performed with several enzymes of the protein tyrosine phosphatase family, they have been described as selective inhibitors of PTP1B.
2.1.2. Acetylcholinesterase (EC 3.1.1.7)
The enzyme acetylcholinesterase is a validated drug target for the treatment of Alzheimer´s disease [53], with several inhibitors approved by the FDA for its clinical use [54]. All the acetylcholinesterase inhibitors described from soft coral and gorgonians are diterpenes or sesquiterpenes, with little or no quantitative data about their inhibition. The most potent and best-characterized inhibitors are the cembranes asperdiol (29) and 14-acetoxycrassine (32), isolated from the soft coral Eunicea knighti and the gorgonian Pseudoplexaura porosa, respectively (Table 3 and Figure 3) [55]. Other cembranes, with acetylcholinesterase inhibitory activity, were found in Eunicea knighti and Pseudoplexaura flagellosa; but no further kinetic characterization was performed [55]. Additionally, the diterpene sarcophine (33), produced by Sarcophyton glaucum, was described as a competitive inhibitor of acetylcholinesterase, although no IC50 or Ki value was reported [56]. In the same study, it was suggested that sarcophine (33) inhibits acetylcholinesterase through the formation of an adduct with the free cysteines of the enzyme. Other compounds, that have been classified as weak acetylcholinesterase inhibitors are the sesquiterpenoid sinuketal (34) and the cembranoid crassumolide E (35), which were isolated from Sinularia sp. and Lobophytum sp., respectively [46,57]. It should be noted that crassumolide E (35) was considered a weak inhibitor in comparison with galanthamine, although the minimal concentration of crassumolide E needed to inhibit the enzyme was in the nanomolar range.
Table 3.
Inhibitors of the hydrolases acetylcholinesterase, HIV-1 protease, elastase, and 3CLpro isolated from soft corals and gorgonians.
Figure 3.
Hydrolase inhibitors isolated from soft corals and gorgonians (compounds 29–44). Structures include inhibitors of acetylcholinesterase, HIV-1 protease, Elastase, and 3CLpro.
2.1.3. HIV-1 Protease (EC 3.4.23.16)
HIV-1 protease is a well-established drug target for the treatment of HIV-AIDS [62,63]. In fact, several inhibitors of this enzyme are used in highly active antiretroviral therapy used for the treatment of this disease [64]. Several molecules with inhibitory activity against the protease of HIV-1 have been identified from the soft coral Litophyton arboreum (Table 3 and Figure 3). The structural diversity among the compounds alismol (36), 7β-acetoxy-24-methylcholesta-5-24(28)-diene-3,19-diol (37), erythro-N-dodecanoyl-docosasphinga-(4E,8E)-dienine (38), sarcophytol M (39), and chimyl alcohol (40) is significant, with the presence of sesquiterpenes, diterpenes, glyceryl ethers, and steroids [58]. The most potent compounds are 7β-acetoxy-24-methylcholesta-5-24(28)-diene-3,19-diol (37) and erythro-N-dodecanoyl-docosasphinga-(4E,8E)-dienine (38) with remarkably similar potency against the HIV-1 protease.
2.1.4. Elastase (EC 3.4.21.11)
Elastases are serine proteases belonging to the chymotrypsin-like family. Human neutrophil elastase (HNE) is one of the best-characterized elastases, as it plays important roles in inflammation, the elimination and degradation of extracellular pathogens, and the activation of other proteases [65]. As a key inflammation mediator, the discovery and development of new HNE inhibitors have received significant interest [66].
Kunitz-like peptides 1–3 (PcKuz 1–3), isolated from Palythoa caribaeorum, are a few of the peptide-nature molecules described as enzyme inhibitors from soft corals [59]. However, the weak inhibitory activity against the serine proteases trypsin and elastase, and the results of toxicity tests with zebrafish larvae, lead the authors of this study to suggest that these peptides should be considered Kunitz-type neurotoxins rather than protease inhibitors.
Three prostaglandins (41–43) with inhibitory activity against elastase were isolated from the gorgonian Plexaura homomalla (Table 3 and Figure 3) [60]. These compounds showed similar potency, in terms of inhibition, in the kinetic assays performed in this study, but no IC50 or Ki values were reported. Based on the results of the kinetics assays, it seems that the presence of the carboxyl group is essential for elastase inhibition, since the molecules with an acetyl ester in this position showed no inhibition on the enzyme [60].
2.1.5. 3CLpro Enzyme (EC 3.4.22.69)
The main protease of severe acute respiratory syndrome coronavirus is critical for the replication cycle of these viruses [67]. The main protease of SARS-CoV-2 is a 3CLpro cysteine protease that performs the cleavage of 12 nonstructural proteins of the virus. Inhibitors of this protease have proved to be effective in the inhibition of viral replication in cell-based assays [68]. An inhibitor of the SARS-CoV-2 3CLpro protease, described as a cyclized merosesquiterpenoid with a new carbon scaffold and composed by a highly substituted chromene core, was found in Duva florida (Table 3 and Figure 3) [61]. This compound, named Tuaimenal A (44), showed no inhibitory activity against other cysteine proteases (Fasciola hepatica cathepsin L1 and L3, and human cathepsin L) or serine proteases (trypsin, chymotrypsin, and thrombin), suggesting a particular specificity towards 3CLpro protease. Cell-based studies have shown that Tuaimenal A (44) has low toxicity in cells that are sensitive to other protease inhibitors, highlighting the potential of this molecule as a hit in the development of new anti-coronavirus drugs.
2.1.6. Ubiquitin-Proteasome System (EC 3.4.25.1)
The ubiquitin–proteasome system plays a critical role in the maintenance of proteome homeostasis. Therefore, proteasome is considered an important target for the development of drugs for the treatment of diseases such as neurodegenerative disease, immune-related disease, and cancer [69]. Several inhibitors of the ubiquitin–proteasome system have been identified using a cell-based, high-content assay based on the measurement of aggregations of ubiquitinated proteins. Among these inhibitors are the cembrane-based molecules Sarcophytonin A (45) and Laevigatol A (46), which were isolated from the soft coral Sarcophyton trocheliophorum; as well as Sarcophytoxide (47) and Sarcophine (33), isolated from Sarcophyton ehrenbergi (Table 4 and Figure 4) [70]. Sarcophytonin A (45) and Sarcophine (33) seem to target the 19S proteasome, based on the results obtained by comparison to the mechanistic action of known proteasome inhibitors. All four compounds showed negligible cytotoxicity (ED50 > 25 µg/mL) to human HEK293T cells. In addition, the dolabellane-based compounds clavinflol C (48), stolonidiol (49), stolonidiol-17-acetate (50), and clavinflol B (51), and the secosteroid-based molecules 3β,11-dihydroxy-24-methyl-9,11-secocholest-5-en-9,23-dione (52), and 3β,11-dihydroxy-24-methylene-9,11-secocholest-5-en-9,23-dione (53) were purified from Clavularia flava [71]. These six molecules have shown less cytotoxicity than the known proteasome inhibitors bortezimid and MG132.
Table 4.
Inhibitors of the hydrolases ubiquitin–proteasome system and phosphodiesterase-4, isolated from soft corals and gorgonians.
Figure 4.
Inhibitors of the ubiquitin–proteasome system isolated from soft corals and gorgonians (compounds 45–59).
A diterpenoid (54) found in the gorgonian Pseudopterogorgia acerosa inhibits the chymotrypsin-like activity of the ubiquitin–proteasome system, with no inhibition of its caspase-like activity [72].
Punaglandins are highly functional cyclopentadienone and cyclopentenone prostaglandins, chlorinated at the endocyclic R-carbon position. A group of these molecules, isolated from the soft coral Telesto riisei, were used to investigate the inhibition mechanism previously proposed for dienone prostaglandins [76]. In this study, the punaglandins PNG 2 (55), PNG 3 (56), PNG 4 (57), Z-PNG 4 (58), and PNG 6 (59) showed inhibitory activity against the ubiquitin isopeptidase using in vitro and in vivo assays (Table 4 and Figure 4) [73]. The use of these punaglandins demonstrates that the presence of chloride in endocyclic carbon increases the inhibitory activity in comparison to unchlorinated prostaglandins. Additionally, the results obtained suggest that the inhibitory activity of the prostaglandins is related to the olefin-ketone conjugation and the reactivity of the endocyclic carbon [73].
2.1.7. Phosphodiesterase-4 (EC 3.1.4.53)
The phosphodiesterases belong to a family of enzymes that catalyze the hydrolysis of the second messengers cyclic adenosine monophosphate (cAMP) and guanosine monophosphate (cGMP) [77]. Particularly, phosphodiesterase-4 is a promising drug target for diverse diseases including inflammatory, asthma, and chronic obstructive pulmonary disease [78]. Several prostaglandins showing inhibitory activity against phosphodiesterase-4 were isolated from the soft coral Sarcophyton ehrenbergi. A number of them were novel, such as compounds sarcoehrendin B (60), D (61), F (62), H (63), and J (64), while others, including 9α,15α-diacetoxy-11α-hydroxy-5Z,13E-prostadienoic acid methyl ester (65), (5Z,9α,11α,13E,15S)-11,15-bis(acetoxy)-9-hydroxyprosta-5,13-dien-1-oic acid methyl ester (66), and 9,11,15-triacetoxy PGF2α methyl ester (67), were already known molecules (Table 4 and Figure 5) [74]. Of these compounds, 5 showed IC50 values lower than 10 µM, while the inhibitory potency for 9,11,15-triacetoxy PGF2α methyl ester (67) was comparable to that of the positive control (rolipram). Based on the results obtained in this study, several structure–function relationships were proposed. For instance, the esterification at the OH-15 seems to be essential for a strong inhibitory activity, while the acetylation of OH-9 or OH-11 produces only a minor increase in activity [74].
Figure 5.
Phosphodiesterase-4 inhibitors isolated from soft corals and gorgonians (compounds 60–73).
Moreover, six tetraprenylated alkaloids found in the gorgonian Echinogorgia pseudossapo showed inhibitory activity towards phosphodiesterase-4 [75]. These compounds are the melonganenones L–Q (68–73), with melonganenones L (68) and Q (73) exhibiting IC50 values of 8.5 and 20.3 µM, respectively (Table 4 and Figure 5). All six tetraprenylated alkaloids also showed inhibition against the phosphodiesterases PDE5A and PDE9A, but with weaker potency than towards PDE4 [75].
2.1.8. α-Glucosidase (EC 3.2.1.207)
α-Glucosidase is a key enzyme in carbohydrate metabolism, which regulates blood glucose. Through controlling postprandial glucose levels, this enzyme is a validated target for the treatment of type 2 diabetes, with several available inhibitors in the market [79,80]. Two cembranoid compounds with inhibitory activity towards α-glucosidase, sinulacrassin B (74) and S-(+)-cembrane A (75), were isolated from the soft coral Sinularia crassa (Table 5 and Figure 6) [81]. Both compounds showed higher inhibitory activity than 1-deoxynojirimycin, the positive control used in the enzymatic assay. In addition, these cembranoids were nontoxic towards human normal hepatocytes (LO2), with IC50 higher than 100 µM, providing a new scaffold for the development of anti-diabetes drugs.
Table 5.
Inhibitors of hydrolases α-glucosidase, histone deacetylase 6, and phospholipase A2, isolated from soft corals and gorgonians.
Figure 6.
Hydrolase inhibitors isolated from soft corals and gorgonians (compounds 74–82). Structures include inhibitors of α-glucosidase, Histone deacetylase 6 and Phospholipase A2.
2.1.9. Histone Deacetylase 6 (HDAC6) (EC3.5.1.98)
Histone deacetylases are enzymes that remove acetyl groups from histone and non-histone proteins, altering their stability and activity. Histone deacetylase 6 is a member of the Class IIb subfamily that participates in several biological processes including cell motility [86], cell survival [87], protein degradation [88], and immunoregulation [89]. A new diterpene, named methyl (1S, 4S, 5R, 9S9-4-((Z)-4-(3,3-dimethyloxiran-2-yl-)-1-hydrioxybut-2-en-2-yl)-1-methyl-6-methylene-10-oxabicyclo[7.1.0]decane-5-carboxylate (76), was found in the soft coral Xenia elongata (Table 5 and Figure 6) [82]. This molecule selectively inhibits histone deacetylase 6, with no detectable inhibitory activity against deacetylases from class I (HDAC1, HDAC2, HDAC3, and HDAC8) and IIA (HDAC4, HDAC5, HDAC7, and HDAC9).
2.1.10. Phospholipase A2 (PLA2) (EC 3.1.1.4)
Phospholipases A2 are esterases that cleave phospholipids and release fatty acids and lysophospholipids. These enzymes are considered as promising targets in the treatment of cancer, inflammation, and atherosclerosis, among other diseases [90,91,92]. Several PLA2 inhibitors have been found in the gorgonian Euplexaura anastomosans. These molecules, described as farnesylhydroquinone glycosides, were named Euplexides [83,84]. The euplexides A (77), B (78), F (79), and G (80) exhibited inhibitory activities against PLA2 ranging from 47 to 71% at 50 µg/mL, but no further kinetic characterization has been performed. Additionally, the steroids 7α,8α-epoxy-3β,5α,6α-trihydroxycholestane (81) and 24-methyl-7α,8α-epoxy-3β,5α,6α-trihydroxycholest-22-ene (82) have been isolated from the gorgonian Acabaria undulata, both with inhibitory activity towards PLA2 (Table 5 and Figure 6) [85].
2.2. Oxidoreductases
2.2.1. 5α-Reductase (EC 1.3.1.22)
The enzyme 5α-Reductase converts testosterone into the more potent androgen dihydrotestosterone. Inhibition of 5α-Reductase is a promising strategy in the treatment of benign hyperplasia and male pattern baldness [93,94]. Several soft steroidal molecules with inhibitory activity towards 5α-Reductase have been isolated from soft corals of the Adaman and Nicobar Islands. Some of these compounds were isolated from more than one species, such as the steroids 24-methylenecholest-5-ene-3β,7β, 16β-triol-3-O-α-l-fucopyranoside (83), that was found in three soft corals: Sinularia crassa Tixier–Durivaul, Sinularia gravis Tixier–Durivault, Sinularia sp., and 24-methylenecholest-5-ene-3β,7β, 16β-diol-3-O-α-l-fucopyranoside (84), isolated from Sinularia sp. and Cladiella sp. [95]. On the other hand, the molecules (24S)-24-methylcholestane-3β,5α,6β,7β-tetrol (85), and (24S)-24-methylcholestane-3β,5α,6β,25-tetrol (86) were isolated from Lobophytum crassum and Lobophytum sp., respectively [95]. In a different study, the diterpenoid lemnabourside (87) was identified in the soft coral Nephthea chabroli [96], displaying weak inhibitory activity against 5α-Reductase (Table 6 and Figure 7) [96].
Table 6.
Inhibitors of oxidoreductases isolated from soft corals and gorgonians.
Figure 7.
Oxidoreductase inhibitors isolated from soft corals and gorgonians (compounds 83–91). Structures include inhibitors of 5α-Reductase, Cytochrome P450 1A, and Tyrosinase.
2.2.2. Cytochrome P450 1A (EC 1.14.14.1)
Cytochrome P450 enzymes are a superfamily with high versatility in drug metabolism, detoxification of xenobiotics, and biosynthesis of endogenous compounds [99]. Particularly, cytochrome P4501A is one of the most important enzymes involved in the tumorigenesis induced by environmental pollution [100]. Therefore, this enzyme has been considered as an attractive target for the development of anti-cancer drugs [99]. The cembranoids 12(S)-hydroperoxylsarcoph-10-ene (88), 8-epi-sarcophinone (89), and ent-sarcophine (90) were isolated from the Red Sea soft coral Sarcophyton glaucum (Table 6 and Figure 7) [97]. The results of the inhibition assays with these compounds revealed some interesting structure–function relationships. For instance, the differences obtained for the inhibitory potency for ent-sarcophine (90) and sarcophine (33) suggest that the configurations of atoms C1 and C6 are essential for the inhibition of the cytochrome P450 1A [97].
2.2.3. Tyrosinase (EC 1.14.18.1)
Tyrosinase is a key enzyme which catalyzes a rate-limiting step in melanin synthesis, and the downregulation of its activity constitutes the most prominent approach for the development of melanogenesis inhibitors [101]. Thus, tyrosinase inhibitors are considered as promising candidates for the development of skin whitening agents [101]. The tyrosinase inhibitor 4-(phenylsulfanyl)butan-2-one (91) is isolated from the Formosan soft coral Cladiella australis (Table 6 and Figure 7). The kinetic characterization of this compound showed that it acts as a noncompetitive inhibitor of the mushroom tyrosinase, with a Ki value of 3.45 × 10−5 M. Additionally, in vitro cell-based assays revealed that 4-(phenylsulfanyl)butan-2-one (91) has low cytotoxicity towards several human cell lines [98].
2.3. Transferases
2.3.1. Tyrosine Kinase p56lck (TK) (EC 2.7.10.2)
The tyrosine kinase p56lck is a lymphocyte-specific protein tyrosine kinase that is a member of the Src family of non-receptor protein kinases [102]. This kinase is involved in the phosphorylation of several intracellular signaling proteins such as protein kinase C, phosphoinositide 3-kinase, and Zeta-chain-associated protein kinase 70 [103].
Since Tyrosine kinase p56lck participates in T cell proliferation and differentiation, its inhibitors could be used in the treatment of several inflammatory and autoimmune disorders [103]. Two sterols, with inhibitory activity towards tyrosine kinase p56lck were isolated from the soft coral Capnella lacertiliensis: 12β-acetoxyergost-5-ene-3β,11β,16-triol (92), and 11β-acetoxyergost-5-ene-3β,12β,16-triol (93) (Table 7 and Figure 8) [104].
Table 7.
Inhibitors of the transferases tyrosine kinase p56lck, IKKbeta kinase, EGFR kinase, and protein kinase C, isolated from soft corals and gorgonians.
Figure 8.
Transferase inhibitors isolated from soft corals and gorgonians (compounds 92–100). Structures include inhibitors of Tyrosine kinase p56lck, IKKbeta kinase, EGFR kinase, and protein kinase C.
2.3.2. IKKbeta Kinase (EC 2.7.11.10)
IKKbeta is one of the two catalytic units that compose the kinase complex IkB [108]. IKKbeta is involved in nuclear factor-KB signaling, and hence in the pathogenesis and progression of inflammatory diseases [109]. The cembranoids 3,4-epoxy,13-oxo,7E,11Z,15-cembratriene (94), and 3,4-epoxy,13-oxo,7E,11E,15-cembratriene (95) were isolated from the soft coral Sarcophyton sp. and both showed inhibitory activity against the IKKbeta kinase (Table 7 and Figure 8) [105]. In the same study, the carotenoid astaxanthin (96) was isolated from the gorgonian Subergorgia sp., and it showed inhibitory activity towards the IKKbeta kinase [105]. However, it is likely that astaxanthin is not produced by Subergorgia sp., but instead acquired from a marine bacteria or algae [110].
2.3.3. Epidermal Growth Factor Receptor Kinase (EGFR) (EC 2.7.10.1)
EGFR is a member of the epidermal growth factor receptor family. It was the first member of this family with supporting evidence linking its overexpression with cancer [111]. This relationship has been established for several types of cancer, including laryngeal [112], esophageal [113], and non-small cell lung cancer [114], among others. Thus, EGFR inhibitors are considered as attractive candidates for developing anticancer drugs. The pachycladin A (97) is a diterpenoid isolated from the soft coral Cladiella pachyclados and was able to inhibit the kinase enzymatic activity of the EGFR kinase 8 (Table 7 and Figure 8) [106]. The inhibition of pachycladin A (97) seems to be selective towards EGFR kinase since no inhibition was detected against the two other kinases from the EGFR family (HER2 and HER4).
2.3.4. Protein Kinase C (PKC) (EC 2.7.11.13)
Protein kinase C is a family of enzymes involved in cell signaling pathways that mediates critical events like cellular proliferation and gene expression regulation [115]. For these reasons, PKC is considered a key target for the treatment of various diseases, including cancer, and neurological and cardiovascular disorders [116,117,118]. Three new secosterols (98–100) showing PKC inhibitory activity in the micromolar range were isolated from the gorgonian Pseudopterogorgia sp. [107]. In this work, IC50 values ranged from 12 to 50 µM, but no individual values were reported for these compounds (Table 7 and Figure 8). Considering the role of PKC in inflammatory and proliferative processes, all these three molecules were evaluated in cell cultures and showed antiproliferative properties. For the compound (2S,4aS,5S,6S,8aS)-6-hydroxy-2-((1S,2R,3R)-2-(2-hydroxyethyl)-2-methyl-3-((2R,5R,E)-4,5,6-trimethylhept-3-en-2-yl)cyclopentyl)-5,8a-dimethyloctahydronaphthalen-1(2H)-one (99), anti-inflammatory properties were also confirmed.
2.3.5. Human Tumor-Related Protein Kinases
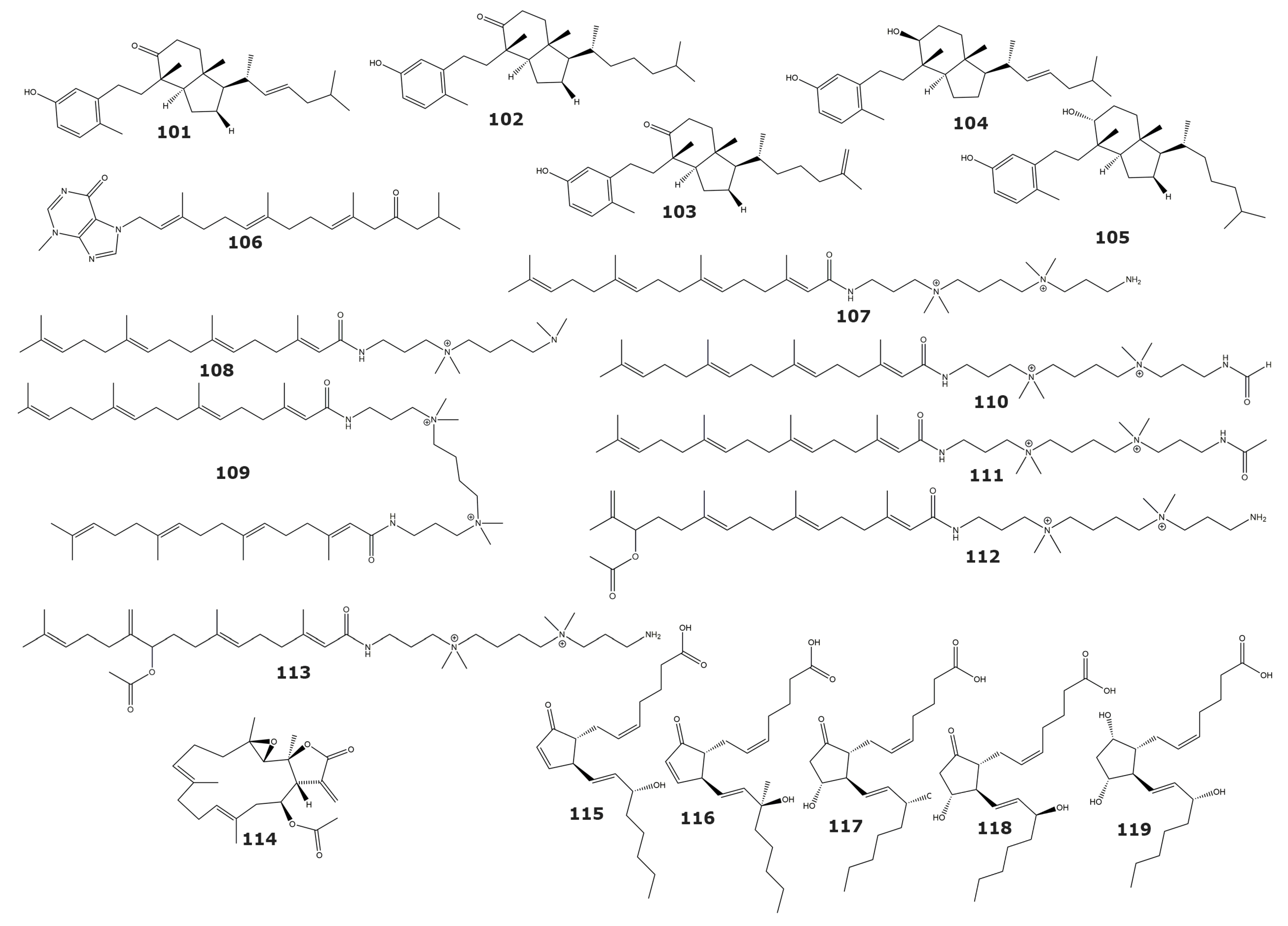
Several 9,10 secosteroids were isolated from the gorgonian Astrogorgia sp. and assessed against 16 different human tumor-related protein kinases [119]. The kinases tested were AKT1 (RAC-alpha serine/threonine-protein kinase), ALK (Anaplastic lymphoma kinase), ARK5 (AMPK-related protein kinase 5), Aurora-B, AXL (AXL receptor tyrosine kinase), FAK (Focal adhesion kinase), IGF-1R (Insulin-like growth factor 1 receptor tyrosine kinase), MEK1wt (MAP kinase 1), METwt (MET receptor Tyrosine Kinase), NEK2 (NIMA-related Kinase 2), NEK6 (NIMA-related Kinase 6), PIM1 (Serine/threonine-protein kinase PIM-1), PLK1 (Serine/threonine-protein kinase PLK1), PRK1 (Serine/threonine-protein kinase N1), SRC (Proto-oncogene tyrosine-protein kinase Src), and VEGF-R2 (VEGFR2 receptor tyrosine kinase). The compounds calicoferols A (101) and E (102), and 24-exomethylenecalicoferol E (103), 9β-hydroxy-9,10-secosteroid astrogorgol F (104), and 9α-hydroxy-9,10-secosteroid astrogorgiadiol (105) showed significant inhibition against kinases LK, AXL, FAK, IGF1-R, MET wt, SRC, and VEGF-R2 (Table 8 and Figure 9) [119]. On the other hand, 9,16 di-oxygenated molecules, such as calicoferols I and B, showed weak inhibition (IC50 > 100 µM) against these kinases, pointing to the oxygenation at the C-16 as the cause for decreased inhibitory activity. The authors of this work concluded that the 9-oxygenated 9,10-secosterol nucleus is the basis of the inhibitory activity of these compounds towards the tested kinases. Additionally, the tetraprenylated alkaloid malonganenone D (106), isolated from the gorgonian Euplexaura robusta, has shown inhibitory activity against the MET Receptor Tyrosine Kinase, or c-Met [120]. This compound had been also previously isolated from the gorgonian Euplexaura nuttingi [121].
Table 8.
Inhibitors of the transferases human tumor-related protein kinases, casitas B-lineage lymphoma proto-oncogene B (Cbl-b), farnesyl protein transferase, and glutathione S-transferase, isolated from soft corals and gorgonians.
Figure 9.
Transferase inhibitors isolated from soft corals and gorgonians (compounds (101–119). Structures include inhibitors of human tumor-related protein kinases, Casitas B-lineage lymphoma proto-oncogene B, Farnesyl Protein Transferase, and Glutathione S-transferase.
2.3.6. Casitas B-Lineage Lymphoma Proto-Oncogene B (Cbl-b) (E3-Ubiquitin Ligase) (EC 2.3.2.27)
Casitas B-lineage lymphoma proto-oncogene B (Cbl-b) is an E3 ubiquitin ligase that acts as an important regulator of the immune response [125]. Targeting this enzyme is a promising approach for the treatment of autoimmune diseases and cancer [126,127]. The Sinularamides A−G (107−113), isolated from the soft coral Sinularia sp., are a group of diterpenoids that inhibits Cbl-b enzyme [122]. The most potent of these compounds was the sinularamide C (109), displaying an IC50 value in the low micromolar range (Table 8 and Figure 9).
2.3.7. Farnesyl Protein Transferase (EC 2.5.1.58)
The farnesyl protein transferase is an enzyme that adds a 15-carbon isoprenoid to a cysteine amino acid of Ras protein [128]. Oncogenic mutations of Ras protein are quite common in cancer, making the protein that is involved in its post-transcriptional modification a promising way to block Ras signal transduction [129,130]. The molecule 1aR,4E,8E,11S,11aR,14aS,14bS)-1a,5,9,14a-tetramethyl-12-methylene-13-oxo-1a,2,3,6,7,10, 11,11a,12,13,14a,14b-dodecahydrooxireno[2′,3′:13,14]cyclotetradeca[1,2-b]furan-11-yl acetate (114), with inhibitory activity towards recombinant human farnesyl protein transferase, was isolated from the soft coral Lobophytum cristagalli [123]. Kinetic assays suggest that this inhibitor competes with the Ras protein, substrate of the farnesyl protein transferase. The apparent Ki value determined in this kinetic characterization was 0.17 µM. However, the same inhibitor is noncompetitive with respect to the farnesyl pyrophosphate substrate. In the same study, this compound also inhibited the enzyme geranyl protein transferase-1, closely related to the farnesyl protein transferase, but with lower potency (IC50: 5.3 µM) [123].
2.3.8. Glutathione S-Transferase (EC 2.5.1.18)
Glutathione S-transferases (GST) are a family of enzymes that catalyze the conjugation of glutathione to a wide number of xenobiotics, making them more hydrophilic and facilitating their elimination [131]. Although GST protects the cell from toxic products, it also reduces the effectiveness of certain anticancer drugs [132]. The use of inhibitors of GST could, therefore, increase the sensitivity of tumor cells to anticancer drugs [133].
Crude and aqueous extracts of the gorgonian Plexaura homomalla have shown inhibitory activity towards the GST enzyme from the gastropod Cyphoma gibbosum. The structural analysis of these extracts revealed the presence of several series of prostaglandins (115-119). The use of commercially available prostaglandins that represents the diversity of classes found in P. homomalla confirmed the capacity of the molecules 15(S)-PGA2 (115), 15(R)-15-methyl PGA2 (116), 15(S)-PGE2 (117), 15(R)-PGE2 (118), and 15(S)-PGF2a (119) to inhibit GST (Table 8 and Figure 9). The results of the enzymatic assays revealed that compounds with the cyclopentenone ring showed the highest inhibitory activity [124].
2.4. Translocases
H (+)-Pyrophosphatase (EC 7.1.3.1)
Vacuolar H(+)-pyrophosphatase is an electronic proton pump present in most land plants and in other organisms such as algae, bacteria, protozoa, and archaebacteria [134]. In plants, this enzyme participates in the cytosolic hydrolysis of PPi and in vacuole acidification [135]. Specific inhibitors of the enzyme would be useful for investigating its physiological role and its biochemical characteristics. Acylspermidines A (120), B (121), C (122), D (123), and E (124) (Figure 10) from the soft coral Sinularia sp. inhibit plant vacuolar H(+)-pyrophosphatase from Vigna radiata cv. Wilczek [136]. These acylspermidine derivates showed a noncompetitive inhibition toward the vacuolar H(+)-pyrophosphatase. However, these compounds did not inhibit the vacuolar H+-ATPase, plasma membrane H+-ATPase, mitochondrial ATPase, or cytosolic PPase, suggesting a specific inhibitory activity against the vacuolar H(+)-pyrophosphatase.
Figure 10.
H(+)-pyrophosphatase inhibitors isolated from soft corals and gorgonians (compounds 120–124).
3. Walking the Whole Path to Describe an Enzyme Inhibitory Activity: What Next, after Screening and Structure Elucidation?
Previous sections reveal that, despite the number of enzyme inhibitors identified in the last five decades from gorgonians and soft corals, none of them, to date, possess a complete enzymological characterization. Remarkably, in many of these works, not even an IC50 value is calculated, but only an inhibition percentage at a fixed inhibitor concentration. This trend, which is extendable to other natural sources, reflects both (i) the lack of a uniform procedure for the enzymological characterization of inhibitors from marine organisms and (ii) the challenge that this goal represents for users unfamiliar with enzymology.
The STRENDA project provides guides for the minimal information set required for reporting enzymological data [38,39,137]. For inhibitors, report requirements include reversibility and time-dependency, inhibition type, Ki value, and the method used for its estimation [37]. Using these parameters as a reference, many reports of enzyme inhibitors, and particularly those from marine sources, appear noticeably incomplete. Although several factors might be involved, we believe that the scarcity of fully characterized inhibitors might be due to the lack of expertise of many laboratories in studying this bioactivity. Therefore, we believe that a brief description of critical steps might encourage the study of a higher number of novel enzyme inhibitors from this prominent source.
Figure 11 presents a general strategy for characterizing new enzyme inhibitors independent of their nature and origin, adapted from the one proposed by Copeland [138]. Although it admits some flexibility in the order of steps, the selected approach is, in our opinion, intuitive and the most convenient to implement in unexperienced laboratories. In brief, the strategy consists of five steps: (1) obtaining a preliminary assessment of inhibitory potency (i.e., the range of molar concentrations in which it effectively inhibits the target enzyme) by determining half-maximal inhibitory concentration (IC50); (2) determining inhibition reversibility and temporal dependency; (3) elucidation of inhibition type; (4) estimation of Ki value; and (5) a specificity validation step.
Figure 11.
Proposed strategy for the characterization of reversible enzyme inhibitors from marine organisms according to STRENDA guidelines. The strategy is presented as a flowchart with five sequential steps. As alternative approaches or methodologies are possible in each step, two specific sequences are proposed according to the properties of the inhibitor (e.g., classic, rapid reversible inhibitor vs. tight-binding, slow reversible inhibitor).
Determining a preliminary estimate of inhibitor potency (Step 1) is critical, as this determines the most appropriate approach for further characterization steps (Figure 11). After estimating the IC50 value by quantifying the inhibition percentage at different inhibitor concentrations, the assessed inhibitors can be classified as classic (i.e., IC50 >> [E]0) or tight binding (i.e., IC50 ≈ [E]0). Importantly, caution is recommended when comparing IC50 values, as they reflect not only the potency of the inhibitor but also the experimental conditions used for its estimation [139].
Step 2 consists of assessing the reversibility of the enzyme–inhibitor interaction. This property can be determined by the jump dilution assay [138,139,140] or alternative interaction-based techniques [35,36,141,142]. Although irreversible and pseudo-irreversible inhibitors exist in nature [143,144,145,146], most of the enzyme inhibitors described so far from marine organisms belong to the reversible class. Other relevant aspects of inhibition, such as association (i.e., time-dependent inhibition) and dissociation kinetics, are also investigated at this stage.
Elucidation of inhibition type (Step 3) and the estimation of Ki value (Step 4) are typically performed simultaneously by measuring enzyme velocity while varying substrate and inhibitor concentrations. The potency of competitive, noncompetitive, and uncompetitive inhibitors variate distinctively as substrate concentration increases [139], a fact exploited to identify their inhibition mode [138,140]. Once the inhibition modality has been elucidated, diverse mathematical approaches are available to estimate the Ki value for classical inhibitors [147,148,149]. On the other hand, determining Ki values for tight-binding inhibitors requires a specific methodology [150,151], as many of the assumptions applied to derive the equations for classic inhibitors are no longer valid in such systems.
The strategy is completed with a specificity validation step (Step 5) to discard unspecific actuators or PAINS (pan-assay interference compounds), which can act over many different proteins or interfere with bioassays through diverse mechanisms [152,153]. As these compounds can occur in nature [154], the specificity of novel inhibitors should be assessed against related and unrelated off-target reporters [155]. Additionally, experimental conditions can be conveniently manipulated (e.g., by adding to the reaction mix appropriate amounts of detergents such as Triton X-100) to minimize the occurrence of aggregators, the most common cause of artificial enzyme inhibition during screenings [155,156,157,158,159].
4. Concluding Remarks and Future Perspectives
During the last five decades, gorgonians and soft corals remained as an important source of new enzyme inhibitors, producing more than 50 reports and 127 new inhibitory molecules. Mainly, these inhibitors remain uncharacterized from an enzymological point of view; therefore, little speculation is possible regarding their potencies and inhibition mechanisms. As expected, low affinity inhibitors with IC50 values in the high micromolar range predominated (putatively) among them. Of note, the Acetylcholinesterase inhibitors Asperdiol (29) and 14-acetoxycrassine (32) [55], the PTP1B inhibitor (5′Z)-5-(2′,6′-Dimethylocta-5′,7′-dienyl)-furan-3-carboxylic acid (18) [49], the Phosphodiesterase-4 inhibitor 9,11,15-triacetoxy PGF2α methyl ester (67) [74], and the farnesyl protein transferase inhibitor 1aR,4E,8E,11S,11aR,14aS,14bS)-1a,5,9,14a-tetramethyl-12-methylene-13-oxo-1a,2,3,6,7,10, 11,11a,12,13,14a,14b-dodecahydrooxireno[2′,3′:13,14]cyclotetradeca[1,2-b]furan-11-yl acetate (114) [123], displaying preliminary potency estimates or Ki values in the sub- or low-micromolar range, stand outs as the most promising and clearly merit in-depth characterization studies. Interestingly, human target enzymes involved in complex pathways for chronic disorders such as PTP1B (type 2 diabetes and obesity) or the Ubiquitin–Proteasome system (neurodegenerative disorders, cancer, etc.) clearly captured the attention of researchers in the field during the period analyzed, with 38 inhibitors combined. Other enzymes, such as the HIV-1 protease or human Phosphodiesterase-4, also received special attention.
Due to the limited scope of this issue and for the sake of space, the presented strategy is not an exhaustive guide for the functional characterization of new inhibitors. In contrast, it aims to summarize relevant concepts and set a framework to address this goal, in practice burdensome enough to cause a halt in the study of potentially interesting enzyme inhibitors. The infrastructure required for performing most enzymatic reactions is readily available in many academic institutions. Numerous substrate and enzyme preparations are commercially available at affordable prices and basic enzymology is part of almost every formation program in biological sciences. In addition, many enzymes are considered important biomolecules for industrial, biomedical, and environmental applications, making their activity modulation by specific inhibitors a topic of particular interest. Paradoxically, in-depth enzymological characterization of inhibitors seems to be the prerogative of only a few laboratories, resulting in the accumulation of reports describing bioactivity prospection in natural extracts with no follow-up. This is particularly true for, but not exclusive to, organisms of marine origin, which have constituted an abundant source of enzyme inhibitors with unique properties.
Therefore, we hope this effort can contribute to democratizing and popularizing the procedures required in enzymological practice to minimally characterize, according to STRENDA suggestions, new enzyme inhibitors from marine organisms. In addition, this work might also help to propagate the message of the STRENDA project, focusing on the uniformity, quality, and completeness of experimental data, and hence reproducibility, in enzymological practice. Adherence to these standards should significantly facilitate relaunching of high-quality enzymological research in the context of marine organisms.
Supplementary Materials
The following are available online at https://www.mdpi.com/article/10.3390/md21020104/s1, Table S1: Complete dataset of enzyme inhibitors included in the manuscript., Table S2: Dataset of enzyme inhibitors isolated from soft corals, Table S3: Dataset of enzyme inhibitors isolated from gorgonians. For convenience, the three tables were included as separate sheets in a single excel file.
Author Contributions
Conceptualization, Y.G. and E.S.-S.; literature investigation, A.C.-I. and S.J.-M.; data curation, A.C.-I., S.J.-M., Y.G. and E.S.-S.; writing—original draft preparation, Y.G. and E.S.-S.; writing—review and editing, Y.G. and E.S.-S.; visualization, Y.G.; supervision, Y.G. and E.S.-S.; All authors have read and agreed to the published version of the manuscript.
Funding
This research was funded by Universidad de las Américas, Research Grant BIO.YGB.22.01 (Y.G.)
Institutional Review Board Statement
Not applicable.
Data Availability Statement
Not applicable.
Acknowledgments
This work is a posthumous tribute to the memory of María de Los Ángeles Chávez Planes (La Habana, 1941-La Habana, 2021), who dedicated most of her life to the identification and characterization of tight-binding protease inhibitors from marine invertebrates, the formation of new generations of scientists and spreading biochemistry knowledge through the teaching of Enzymology.
Conflicts of Interest
The authors declare no conflict of interest.
References
- Zakiyanov, O.; Kalousová, M.; Zima, T.; Tesař, V. Matrix Metalloproteinases and Tissue Inhibitors of Matrix Metalloproteinases in Kidney Disease. Adv. Clin. Chem. 2021, 105, 141–212. [Google Scholar] [CrossRef] [PubMed]
- Amin, F.; Khan, M.S.; Bano, B. Mammalian Cystatin and Protagonists in Brain Diseases. J. Biomol. Struct. Dyn. 2020, 38, 2171–2196. [Google Scholar] [CrossRef] [PubMed]
- Spinale, F.G.; Villarreal, F. Targeting Matrix Metalloproteinases in Heart Disease: Lessons from Endogenous Inhibitors. Biochem. Pharmacol. 2014, 90, 7–15. [Google Scholar] [CrossRef] [PubMed]
- Małgorzewicz, S.; Skrzypczak-Jankun, E.; Jankun, J. Plasminogen Activator Inhibitor-1 in Kidney Pathology (Review). Int. J. Mol. Med. 2013, 31, 503–510. [Google Scholar] [CrossRef] [PubMed]
- Pini, L.; Giordani, J.; Ciarfaglia, M.; Pini, A.; Arici, M.; Tantucci, C. Alpha1-Antitrypsin Deficiency and Cardiovascular Disease: Questions and Issues of a Debated Relation. J. Cardiovasc. Med. Hagerstown Md. 2022, 23, 637–645. [Google Scholar] [CrossRef]
- Zarkadoulas, N.; Pergialiotis, V.; Dimitroulis, D.; Stefanidis, K.; Verikokos, C.; Perrea, D.N.; Kontzoglou, K. A Potential Role of Cyclin-Dependent Kinase Inhibitor 1 (P21/WAF1) in the Pathogenesis of Endometriosis: Directions for Future Research. Med. Hypotheses 2019, 133, 109414. [Google Scholar] [CrossRef]
- Grey, W.; Izatt, L.; Sahraoui, W.; Ng, Y.-M.; Ogilvie, C.; Hulse, A.; Tse, E.; Holic, R.; Yu, V. Deficiency of the Cyclin-Dependent Kinase Inhibitor, CDKN1B, Results in Overgrowth and Neurodevelopmental Delay. Hum. Mutat. 2013, 34, 864–868. [Google Scholar] [CrossRef]
- Sviderskaya, E.V.; Gray-Schopfer, V.C.; Hill, S.P.; Smit, N.P.; Evans-Whipp, T.J.; Bond, J.; Hill, L.; Bataille, V.; Peters, G.; Kipling, D.; et al. P16/Cyclin-Dependent Kinase Inhibitor 2A Deficiency in Human Melanocyte Senescence, Apoptosis, and Immortalization: Possible Implications for Melanoma Progression. J. Natl. Cancer Inst. 2003, 95, 723–732. [Google Scholar] [CrossRef]
- Shakeel, M.; Xu, X.; De Mandal, S.; Jin, F. Role of Serine Protease Inhibitors in Insect-Host-Pathogen Interactions. Arch. Insect Biochem. Physiol. 2019, 102, e21556. [Google Scholar] [CrossRef]
- Bao, J.; Liu, L.; An, Y.; Ran, M.; Ni, W.; Chen, J.; Wei, J.; Li, T.; Pan, G.; Zhou, Z. Nosema Bombycis Suppresses Host Hemolymph Melanization through Secreted Serpin 6 Inhibiting the Prophenoloxidase Activation Cascade. J. Invertebr. Pathol. 2019, 168, 107260. [Google Scholar] [CrossRef]
- Uemura, D.; Kawazoe, Y.; Inuzuka, T.; Itakura, Y.; Kawamata, C.; Abe, T. Drug Leads Derived from Japanese Marine Organisms. Curr. Med. Chem. 2021, 28, 196–210. [Google Scholar] [CrossRef]
- Luesch, H.; MacMillan, J.B. Targeting and Extending the Eukaryotic Druggable Genome with Natural Products. Nat. Prod. Rep. 2020, 37, 744–746. [Google Scholar] [CrossRef]
- Parvez, S.; Kang, M.; Chung, H.-S.; Bae, H. Naturally Occurring Tyrosinase Inhibitors: Mechanism and Applications in Skin Health, Cosmetics and Agriculture Industries. Phytother. Res. PTR 2007, 21, 805–816. [Google Scholar] [CrossRef]
- Mathialagan, R.; Mansor, N.; Al-Khateeb, B.; Mohamad, M.H.; Shamsuddin, M.R. Evaluation of Allicin as Soil Urease Inhibitor. Procedia Eng. 2017, 184, 449–459. [Google Scholar] [CrossRef]
- Matczuk, D.; Siczek, A. Effectiveness of the Use of Urease Inhibitors in Agriculture: A Review. Int. Agrophys. 2021, 35, 197–208. [Google Scholar] [CrossRef]
- Qiao, G.; Bi, K.; Liu, J.; Cao, S.; Liu, M.; Pešić, M.; Lin, X. Protein Kinases as Targets for Developing Anticancer Agents from Marine Organisms. Biochim. Biophys. Acta Gen. Subj. 2021, 1865, 129759. [Google Scholar] [CrossRef]
- Ning, C.; Wang, H.-M.D.; Gao, R.; Chang, Y.-C.; Hu, F.; Meng, X.; Huang, S.-Y. Marine-Derived Protein Kinase Inhibitors for Neuroinflammatory Diseases. Biomed. Eng. Online 2018, 17, 46. [Google Scholar] [CrossRef]
- Ruocco, N.; Costantini, S.; Palumbo, F.; Costantini, M. Marine Sponges and Bacteria as Challenging Sources of Enzyme Inhibitors for Pharmacological Applications. Mar. Drugs 2017, 15, 173. [Google Scholar] [CrossRef]
- Li, T.; Wang, N.; Zhang, T.; Zhang, B.; Sajeevan, T.P.; Joseph, V.; Armstrong, L.; He, S.; Yan, X.; Naman, C.B. A Systematic Review of Recently Reported Marine Derived Natural Product Kinase Inhibitors. Mar. Drugs 2019, 17, 493. [Google Scholar] [CrossRef]
- Rauf, A.; Khalil, A.A.; Olatunde, A.; Khan, M.; Anwar, S.; Alafnan, A.; Rengasamy, K.R. Diversity, Molecular Mechanisms and Structure-Activity Relationships of Marine Protease Inhibitors—A Review. Pharmacol. Res. 2021, 166, 105521. [Google Scholar] [CrossRef]
- Folmer, F.; Jaspars, M.; Schumacher, M.; Dicato, M.; Diederich, M. Marine Natural Products Targeting Phospholipases A2. Biochem. Pharmacol. 2010, 80, 1793–1800. [Google Scholar] [CrossRef] [PubMed]
- Trang, N.T.H.; Tang, D.Y.Y.; Chew, K.W.; Linh, N.T.; Hoang, L.T.; Cuong, N.T.; Yen, H.T.; Thao, N.T.; Trung, N.T.; Show, P.L.; et al. Discovery of α-Glucosidase Inhibitors from Marine Microorganisms: Optimization of Culture Conditions and Medium Composition. Mol. Biotechnol. 2021, 63, 1004–1015. [Google Scholar] [CrossRef] [PubMed]
- Lins Alves, L.K.; Cechinel Filho, V.; de Souza, R.L.R.; Furtado-Alle, L. BChE Inhibitors from Marine Organisms—A Review. Chem. Biol. Interact. 2022, 367, 110136. [Google Scholar] [CrossRef] [PubMed]
- Prasasty, V.; Radifar, M.; Istyastono, E. Natural Peptides in Drug Discovery Targeting Acetylcholinesterase. Molecules 2018, 23, 2344. [Google Scholar] [CrossRef]
- Dassonneville, L.; Wattez, N.; Baldeyrou, B.; Mahieu, C.; Lansiaux, A.; Banaigs, B.; Bonnard, I.; Bailly, C. Inhibition of Topoisomerase II by the Marine Alkaloid Ascididemin and Induction of Apoptosis in Leukemia Cells. Biochem. Pharmacol. 2000, 60, 527–537. [Google Scholar] [CrossRef]
- Myobatake, Y.; Takeuchi, T.; Kuramochi, K.; Kuriyama, I.; Ishido, T.; Hirano, K.; Sugawara, F.; Yoshida, H.; Mizushina, Y. Pinophilins A and B, Inhibitors of Mammalian A-, B-, and Y-Family DNA Polymerases and Human Cancer Cell Proliferation. J. Nat. Prod. 2012, 75, 135–141. [Google Scholar] [CrossRef]
- Moreno, R.I.; Zambelli, V.O.; Picolo, G.; Cury, Y.; Morandini, A.C.; Marques, A.C.; Sciani, J.M. Caspase-1 and Cathepsin B Inhibitors from Marine Invertebrates, Aiming at a Reduction in Neuroinflammation. Mar. Drugs 2022, 20, 614. [Google Scholar] [CrossRef]
- Della Sala, G.; Agriesti, F.; Mazzoccoli, C.; Tataranni, T.; Costantino, V.; Piccoli, C. Clogging the Ubiquitin-Proteasome Machinery with Marine Natural Products: Last Decade Update. Mar. Drugs 2018, 16, 467. [Google Scholar] [CrossRef]
- Tischler, D. A Perspective on Enzyme Inhibitors from Marine Organisms. Mar. Drugs 2020, 18, 431. [Google Scholar] [CrossRef]
- Raimundo, I.; Silva, S.G.; Costa, R.; Keller-Costa, T. Bioactive Secondary Metabolites from Octocoral-Associated Microbes-New Chances for Blue Growth. Mar. Drugs 2018, 16, 485. [Google Scholar] [CrossRef]
- McFadden, C.S.; Sánchez, J.A.; France, S.C. Molecular Phylogenetic Insights into the Evolution of Octocorallia: A Review. Integr. Comp. Biol. 2010, 50, 389–410. [Google Scholar] [CrossRef]
- Ezzat, S.M.; Bishbishy, M.H.E.; Habtemariam, S.; Salehi, B.; Sharifi-Rad, M.; Martins, N.; Sharifi-Rad, J. Looking at Marine-Derived Bioactive Molecules as Upcoming Anti-Diabetic Agents: A Special Emphasis on PTP1B Inhibitors. Molecules 2018, 23, 3334. [Google Scholar] [CrossRef]
- Ramírez, A.R.; Guerra, Y.; Otero, A.; García, B.; Berry, C.; Mendiola, J.; Hernández-Zanui, A.; de Los A Chávez, M. Generation of an Affinity Matrix Useful in the Purification of Natural Inhibitors of Plasmepsin II, an Antimalarial-Drug Target. Biotechnol. Appl. Biochem. 2009, 52, 149–157. [Google Scholar] [CrossRef]
- Salas-Sarduy, E.; Cabrera-Muñoz, A.; Cauerhff, A.; González-González, Y.; Trejo, S.A.; Chidichimo, A.; de Los Angeles Chávez-Planes, M.; Cazzulo, J.J. Antiparasitic Effect of a Fraction Enriched in Tight-Binding Protease Inhibitors Isolated from the Caribbean Coral Plexaura homomalla. Exp. Parasitol. 2013, 135, 611–622. [Google Scholar] [CrossRef]
- Salas-Sarduy, E.; Guerra, Y.; Covaleda Cortés, G.; Avilés, F.X.; Chávez Planes, M.A. Identification of Tight-Binding Plasmepsin II and Falcipain 2 Inhibitors in Aqueous Extracts of Marine Invertebrates by the Combination of Enzymatic and Interaction-Based Assays. Mar. Drugs 2017, 15, 123. [Google Scholar] [CrossRef]
- Covaleda, G.; Trejo, S.A.; Salas-Sarduy, E.; Del Rivero, M.A.; Chavez, M.A.; Aviles, F.X. Intensity Fading MALDI-TOF Mass Spectrometry and Functional Proteomics Assignments to Identify Protease Inhibitors in Marine Invertebrates. J. Proteom. 2017, 165, 75–92. [Google Scholar] [CrossRef]
- STRENDA Guidelines. Available online: https://www.beilstein-institut.de/en/projects/strenda/guidelines/ (accessed on 22 December 2022).
- Tipton, K.F.; Armstrong, R.N.; Bakker, B.M.; Bairoch, A.; Cornish-Bowden, A.; Halling, P.J.; Hofmeyr, J.-H.; Leyh, T.S.; Kettner, C.; Raushel, F.M.; et al. Standards for Reporting Enzyme Data: The STRENDA Consortium: What It Aims to Do and Why It Should Be Helpful. Perspect. Sci. 2014, 1, 131–137. [Google Scholar] [CrossRef]
- Swainston, N.; Baici, A.; Bakker, B.M.; Cornish-Bowden, A.; Fitzpatrick, P.F.; Halling, P.; Leyh, T.S.; O’Donovan, C.; Raushel, F.M.; Reschel, U.; et al. STRENDA DB: Enabling the Validation and Sharing of Enzyme Kinetics Data. FEBS J. 2018, 285, 2193–2204. [Google Scholar] [CrossRef]
- Villamar-Cruz, O.; Loza-Mejía, M.A.; Arias-Romero, L.E.; Camacho-Arroyo, I. Recent Advances in PTP1B Signaling in Metabolism and Cancer. Biosci. Rep. 2021, 41, BSR20211994. [Google Scholar] [CrossRef]
- Combs, A.P. Recent Advances in the Discovery of Competitive Protein Tyrosine Phosphatase 1B Inhibitors for the Treatment of Diabetes, Obesity, and Cancer. J. Med. Chem. 2010, 53, 2333–2344. [Google Scholar] [CrossRef]
- He, R.; Yu, Z.; Zhang, R.; Zhang, Z. Protein Tyrosine Phosphatases as Potential Therapeutic Targets. Acta Pharmacol. Sin. 2014, 35, 1227–1246. [Google Scholar] [CrossRef] [PubMed]
- Liang, L.F.; Kurtán, T.; Mándi, A.; Gao, L.X.; Li, J.; Zhang, W.; Guo, Y.W. Sarsolenane and Capnosane Diterpenes from the Hainan Soft Coral Sarcophyton trocheliophorum Marenzeller as PTP1B Inhibitors. Eur. J. Org. Chem. 2014, 2014, 1841–1847. [Google Scholar] [CrossRef]
- Liang, L.-F.; Gao, L.-X.; Li, J.; Taglialatela-Scafati, O.; Guo, Y.-W. Cembrane Diterpenoids from the Soft Coral Sarcophyton trocheliophorum Marenzeller as a New Class of PTP1B Inhibitors. Bioorg. Med. Chem. 2013, 21, 5076–5080. [Google Scholar] [CrossRef] [PubMed]
- Liang, L.-F.; Kurtán, T.; Mándi, A.; Yao, L.-G.; Li, J.; Zhang, W.; Guo, Y.-W. Unprecedented Diterpenoids as a PTP1B Inhibitor from the Hainan Soft Coral Sarcophyton trocheliophorum Marenzeller. Org. Lett. 2013, 15, 274–277. [Google Scholar] [CrossRef] [PubMed]
- Qin, G.-F.; Tang, X.-L.; Sun, Y.-T.; Luo, X.-C.; Zhang, J.; Van Ofwegen, L.; Sung, P.-J.; Li, P.-L.; Li, G.-Q. Terpenoids from the Soft Coral Sinularia sp. Collected in Yongxing Island. Mar. Drugs 2018, 16, 127. [Google Scholar] [CrossRef]
- Ye, F.; Zhu, Z.-D.; Gu, Y.-C.; Li, J.; Zhu, W.-L.; Guo, Y.-W. Further New Diterpenoids as PTP1B Inhibitors from the Xisha Soft Coral Sinularia polydactyla. Mar. Drugs 2018, 16, 103. [Google Scholar] [CrossRef]
- Yang, F.; Hua, Q.; Yao, L.-G.; Liang, L.-F.; Lou, Y.-X.; Lu, Y.-H.; An, F.-L.; Guo, Y.-W. One Uncommon Bis-Sesquiterpenoid from Xisha Soft Coral Litophyton nigrum. Tetrahedron Lett. 2022, 88, 153571. [Google Scholar] [CrossRef]
- Chu, M.-J.; Tang, X.-L.; Han, X.; Li, T.; Luo, X.-C.; Jiang, M.-M.; van Ofwegen, L.; Luo, L.-Z.; Zhang, G.; Li, P.-L.; et al. Metabolites from the Paracel Islands Soft Coral Sinularia Cf. molesta. Mar. Drugs 2018, 16, 517. [Google Scholar] [CrossRef]
- Liang, L.-F.; Wang, X.-J.; Zhang, H.-Y.; Liu, H.-L.; Li, J.; Lan, L.-F.; Zhang, W.; Guo, Y.-W. Bioactive Polyhydroxylated Steroids from the Hainan Soft Coral Sinularia depressa Tixier-Durivault. Bioorg. Med. Chem. Lett. 2013, 23, 1334–1337. [Google Scholar] [CrossRef]
- Chen, W.-T.; Liu, H.-L.; Yao, L.-G.; Guo, Y.-W. 9,11-Secosteroids and Polyhydroxylated Steroids from Two South China Sea Soft Corals Sarcophyton trocheliophorum and Sinularia flexibilis. Steroids 2014, 92, 56–61. [Google Scholar] [CrossRef]
- Kate, A.S.; Aubry, I.; Tremblay, M.L.; Kerr, R.G. Lipidyl Pseudopteranes A-F: Isolation, Biomimetic Synthesis, and PTP1B Inhibitory Activity of a New Class of Pseudopteranoids from the Gorgonian Pseudopterogorgia acerosa. J. Nat. Prod. 2008, 71, 1977–1982. [Google Scholar] [CrossRef]
- Dos Santos, T.C.; Gomes, T.M.; Pinto, B.A.S.; Camara, A.L.; de Andrade Paes, A.M. Naturally Occurring Acetylcholinesterase Inhibitors and Their Potential Use for Alzheimer’s Disease Therapy. Front. Pharmacol. 2018, 9, 1192. [Google Scholar] [CrossRef]
- Haake, A.; Nguyen, K.; Friedman, L.; Chakkamparambil, B.; Grossberg, G.T. An Update on the Utility and Safety of Cholinesterase Inhibitors for the Treatment of Alzheimer’s Disease. Expert Opin. Drug Saf. 2020, 19, 147–157. [Google Scholar] [CrossRef]
- Castellanos, F.; Amaya-García, F.; Tello, E.; Ramos, F.A.; Umaña, A.; Puyana, M.; Resende, J.A.L.C.; Castellanos, L. Screening of Acetylcholinesterase Inhibitors in Marine Organisms from the Caribbean Sea. Nat. Prod. Res. 2019, 33, 3533–3540. [Google Scholar] [CrossRef]
- Ne’eman, I.; Fishelson, L.; Kashman, Y. Sarcophine—A New Toxin from the Soft Coral Sarcophyton glaucum (Alcyonaria). Toxicon 1974, 12, 593–594. [Google Scholar] [CrossRef]
- Bonnard, I.; Jhaumeer-Laulloo, S.B.; Bontemps, N.; Banaigs, B.; Aknin, M. New Lobane and Cembrane Diterpenes from Two Comorian Soft Corals. Mar. Drugs 2010, 8, 359–372. [Google Scholar] [CrossRef]
- Ellithey, M.S.; Lall, N.; Hussein, A.A.; Meyer, D. Cytotoxic, Cytostatic and HIV-1 PR Inhibitory Activities of the Soft Coral Litophyton arboreum. Mar. Drugs 2013, 11, 4917–4936. [Google Scholar] [CrossRef]
- Liao, Q.; Li, S.; Siu, S.W.I.; Yang, B.; Huang, C.; Chan, J.Y.-W.; Morlighem, J.-É.R.L.; Wong, C.T.T.; Rádis-Baptista, G.; Lee, S.M.-Y. Novel Kunitz-like Peptides Discovered in the Zoanthid Palythoa caribaeorum through Transcriptome Sequencing. J. Proteome Res. 2018, 17, 891–902. [Google Scholar] [CrossRef]
- Reina, E.; Ramos, F.A.; Castellanos, L.; Aragón, M.; Ospina, L.F. Anti-Inflammatory R-Prostaglandins from Caribbean Colombian Soft Coral Plexaura homomalla. J. Pharm. Pharmacol. 2013, 65, 1643–1652. [Google Scholar] [CrossRef]
- Avalon, N.E.; Nafie, J.; De Marco Verissimo, C.; Warrensford, L.C.; Dietrick, S.G.; Pittman, A.R.; Young, R.M.; Kearns, F.L.; Smalley, T.; Binning, J.M.; et al. Tuaimenal A, a Meroterpene from the Irish Deep-Sea Soft Coral Duva florida, Displays Inhibition of the SARS-CoV-2 3CLpro Enzyme. J. Nat. Prod. 2022, 85, 1315–1323. [Google Scholar] [CrossRef]
- Erickson, J.W. The Not-so-Great Escape. Nat. Struct. Biol. 1995, 2, 523–529. [Google Scholar] [CrossRef] [PubMed]
- Ghosh, A.K.; Osswald, H.L.; Prato, G. Recent Progress in the Development of HIV-1 Protease Inhibitors for the Treatment of HIV/AIDS. J. Med. Chem. 2016, 59, 5172–5208. [Google Scholar] [CrossRef] [PubMed]
- Mocroft, A.; Lundgren, J.D. Starting Highly Active Antiretroviral Therapy: Why, When and Response to HAART. J. Antimicrob. Chemother. 2004, 54, 10–13. [Google Scholar] [CrossRef]
- Bardoel, B.W.; Kenny, E.F.; Sollberger, G.; Zychlinsky, A. The Balancing Act of Neutrophils. Cell Host Microbe 2014, 15, 526–536. [Google Scholar] [CrossRef] [PubMed]
- Crocetti, L.; Quinn, M.T.; Schepetkin, I.A.; Giovannoni, M.P. A Patenting Perspective on Human Neutrophil Elastase (HNE) Inhibitors (2014–2018) and Their Therapeutic Applications. Expert Opin. Ther. Pat. 2019, 29, 555–578. [Google Scholar] [CrossRef]
- Luan, B.; Huynh, T.; Cheng, X.; Lan, G.; Wang, H.-R. Targeting Proteases for Treating COVID-19. J. Proteome Res. 2020, 19, 4316–4326. [Google Scholar] [CrossRef]
- Hoffman, R.L.; Kania, R.S.; Brothers, M.A.; Davies, J.F.; Ferre, R.A.; Gajiwala, K.S.; He, M.; Hogan, R.J.; Kozminski, K.; Li, L.Y.; et al. Discovery of Ketone-Based Covalent Inhibitors of Coronavirus 3CL Proteases for the Potential Therapeutic Treatment of COVID-19. J. Med. Chem. 2020, 63, 12725–12747. [Google Scholar] [CrossRef]
- Tundo, G.R.; Sbardella, D.; Santoro, A.M.; Coletta, A.; Oddone, F.; Grasso, G.; Milardi, D.; Lacal, P.M.; Marini, S.; Purrello, R.; et al. The Proteasome as a Druggable Target with Multiple Therapeutic Potentialities: Cutting and Non-Cutting Edges. Pharmacol. Ther. 2020, 213, 107579. [Google Scholar] [CrossRef]
- Ling, X.-H.; Wang, S.-K.; Huang, Y.-H.; Huang, M.-J.; Duh, C.-Y. A High-Content Screening Assay for the Discovery of Novel Proteasome Inhibitors from Formosan Soft Corals. Mar. Drugs 2018, 16, 395. [Google Scholar] [CrossRef]
- Chiu, C.-Y.; Ling, X.-H.; Wang, S.-K.; Duh, C.-Y. Ubiquitin-Proteasome Modulating Dolabellanes and Secosteroids from Soft Coral Clavularia flava. Mar. Drugs 2020, 18, 39. [Google Scholar] [CrossRef]
- González, Y.; Doens, D.; Cruz, H.; Santamaría, R.; Gutiérrez, M.; Llanes, A.; Fernández, P.L. A Marine Diterpenoid Modulates the Proteasome Activity in Murine Macrophages Stimulated with LPS. Biomolecules 2018, 8, 109. [Google Scholar] [CrossRef]
- Verbitski, S.M.; Mullally, J.E.; Fitzpatrick, F.A.; Ireland, C.M. Punaglandins, Chlorinated Prostaglandins, Function as Potent Michael Receptors to Inhibit Ubiquitin Isopeptidase Activity. J. Med. Chem. 2004, 47, 2062–2070. [Google Scholar] [CrossRef]
- Cheng, Z.-B.; Deng, Y.-L.; Fan, C.-Q.; Han, Q.-H.; Lin, S.-L.; Tang, G.-H.; Luo, H.-B.; Yin, S. Prostaglandin Derivatives: Nonaromatic Phosphodiesterase-4 Inhibitors from the Soft Coral Sarcophyton ehrenbergi. J. Nat. Prod. 2014, 77, 1928–1936. [Google Scholar] [CrossRef]
- Sun, Z.-H.; Cai, Y.-H.; Fan, C.-Q.; Tang, G.-H.; Luo, H.-B.; Yin, S. Six New Tetraprenylated Alkaloids from the South China Sea Gorgonian Echinogorgia pseudossapo. Mar. Drugs 2014, 12, 672–681. [Google Scholar] [CrossRef]
- Mullally, J.E.; Moos, P.J.; Edes, K.; Fitzpatrick, F.A. Cyclopentenone Prostaglandins of the J Series Inhibit the Ubiquitin Isopeptidase Activity of the Proteasome Pathway. J. Biol. Chem. 2001, 276, 30366–30373. [Google Scholar] [CrossRef]
- Liu, S.; Mansour, M.N.; Dillman, K.S.; Perez, J.R.; Danley, D.E.; Aeed, P.A.; Simons, S.P.; Lemotte, P.K.; Menniti, F.S. Structural Basis for the Catalytic Mechanism of Human Phosphodiesterase 9. Proc. Natl. Acad. Sci. USA 2008, 105, 13309–13314. [Google Scholar] [CrossRef]
- Burgin, A.B.; Magnusson, O.T.; Singh, J.; Witte, P.; Staker, B.L.; Bjornsson, J.M.; Thorsteinsdottir, M.; Hrafnsdottir, S.; Hagen, T.; Kiselyov, A.S.; et al. Design of Phosphodiesterase 4D (PDE4D) Allosteric Modulators for Enhancing Cognition with Improved Safety. Nat. Biotechnol. 2010, 28, 63–70. [Google Scholar] [CrossRef]
- Liu, Z.; Ma, S. Recent Advances in Synthetic α-Glucosidase Inhibitors. ChemMedChem 2017, 12, 819–829. [Google Scholar] [CrossRef]
- Asano, N. Glycosidase Inhibitors: Update and Perspectives on Practical Use. Glycobiology 2003, 13, 93R–104R. [Google Scholar] [CrossRef]
- Wu, M.-J.; Wang, H.; Jiang, C.-S.; Guo, Y.-W. New Cembrane-Type Diterpenoids from the South China Sea Soft Coral Sinularia crassa and Their α-Glucosidase Inhibitory Activity. Bioorg. Chem. 2020, 104, 104281. [Google Scholar] [CrossRef]
- Andrianasolo, E.H.; Haramaty, L.; White, E.; Lutz, R.; Falkowski, P. Mode of Action of Diterpene and Characterization of Related Metabolites from the Soft Coral, Xenia elongata. Mar. Drugs 2014, 12, 1102–1115. [Google Scholar] [CrossRef] [PubMed]
- Shin, J.; Seo, Y.; Cho, K.W.; Moon, S.-S.; Cho, Y.J. Euplexides A-E: Novel Farnesylhydroquinone Glycosides from the Gorgonian Euplexaura anastomosans. J. Org. Chem. 1999, 64, 1853–1858. [Google Scholar] [CrossRef] [PubMed]
- Seo, Y.; Rho, J.R.; Cho, K.W.; Shin, J. New Farnesylhydroquinone Glycosides from the Gorgonian Euplexaura anastomosans. Nat. Prod. Lett. 2001, 15, 81–87. [Google Scholar] [CrossRef] [PubMed]
- Shin, J.; Seo, Y.; Rho, J.-R.; Cho, K.W. Isolation of Polyhydroxysteroids from the Gorgonian Acabaria undulata. J. Nat. Prod. 1996, 59, 679–682. [Google Scholar] [CrossRef]
- Zhang, X.; Yuan, Z.; Zhang, Y.; Yong, S.; Salas-Burgos, A.; Koomen, J.; Olashaw, N.; Parsons, J.T.; Yang, X.-J.; Dent, S.R.; et al. HDAC6 Modulates Cell Motility by Altering the Acetylation Level of Cortactin. Mol. Cell 2007, 27, 197–213. [Google Scholar] [CrossRef]
- Lienlaf, M.; Perez-Villarroel, P.; Knox, T.; Pabon, M.; Sahakian, E.; Powers, J.; Woan, K.V.; Lee, C.; Cheng, F.; Deng, S.; et al. Essential Role of HDAC6 in the Regulation of PD-L1 in Melanoma. Mol. Oncol. 2016, 10, 735–750. [Google Scholar] [CrossRef]
- Kawaguchi, Y.; Kovacs, J.J.; McLaurin, A.; Vance, J.M.; Ito, A.; Yao, T.P. The Deacetylase HDAC6 Regulates Aggresome Formation and Cell Viability in Response to Misfolded Protein Stress. Cell 2003, 115, 727–738. [Google Scholar] [CrossRef]
- Keremu, A.; Aimaiti, A.; Liang, Z.; Zou, X. Role of the HDAC6/STAT3 Pathway in Regulating PD-L1 Expression in Osteosarcoma Cell Lines. Cancer Chemother. Pharmacol. 2019, 83, 255–264. [Google Scholar] [CrossRef]
- Cummings, B.S. Phospholipase A2 as Targets for Anti-Cancer Drugs. Biochem. Pharmacol. 2007, 74, 949–959. [Google Scholar] [CrossRef]
- Singh, N.; Jabeen, T.; Somvanshi, R.K.; Sharma, S.; Dey, S.; Singh, T.P. Phospholipase A2 as a Target Protein for Nonsteroidal Anti-Inflammatory Drugs (NSAIDS): Crystal Structure of the Complex Formed between Phospholipase A2 and Oxyphenbutazone at 1.6 A Resolution. Biochemistry 2004, 43, 14577–14583. [Google Scholar] [CrossRef]
- Suckling, K. Phospholipase A2s: Developing Drug Targets for Atherosclerosis. Atherosclerosis 2010, 212, 357–366. [Google Scholar] [CrossRef]
- Said, M.A.; Mehta, A. The Impact of 5α-Reductase Inhibitor Use for Male Pattern Hair Loss on Men’s Health. Curr. Urol. Rep. 2018, 19, 65. [Google Scholar] [CrossRef]
- Occhiato, E.G.; Guarna, A.; Danza, G.; Serio, M. Selective Non-Steroidal Inhibitors of 5 Alpha-Reductase Type 1. J. Steroid Biochem. Mol. Biol. 2004, 88, 1–16. [Google Scholar] [CrossRef]
- Radhika, P.; Cabeza, M.; Bratoeff, E.; García, G. 5Alpha-Reductase Inhibition Activity of Steroids Isolated from Marine Soft Corals. Steroids 2004, 69, 439–444. [Google Scholar] [CrossRef]
- Liu, W.K.; Wong, N.L.Y.; Huang, H.M.; Ho, J.K.C.; Zhang, W.H.; Che, C.T. Growth Inhibitory Activity of Lemnabourside on Human Prostate Cancer Cells. Life Sci. 2002, 70, 843–853. [Google Scholar] [CrossRef]
- Hegazy, M.-E.F.; Eldeen, A.M.G.; Shahat, A.A.; Abdel-Latif, F.F.; Mohamed, T.A.; Whittlesey, B.R.; Paré, P.W. Bioactive Hydroperoxyl Cembranoids from the Red Sea Soft Coral Sarcophyton glaucum. Mar. Drugs 2012, 10, 209–222. [Google Scholar] [CrossRef]
- Wu, S.-Y.S.; Wang, H.-M.D.; Wen, Y.-S.; Liu, W.; Li, P.-H.; Chiu, C.-C.; Chen, P.-C.; Huang, C.-Y.; Sheu, J.-H.; Wen, Z.-H. 4-(Phenylsulfanyl)Butan-2-One Suppresses Melanin Synthesis and Melanosome Maturation In Vitro and In Vivo. Int. J. Mol. Sci. 2015, 16, 20240–20257. [Google Scholar] [CrossRef]
- Liu, J.; Sridhar, J.; Foroozesh, M. Cytochrome P450 Family 1 Inhibitors and Structure-Activity Relationships. Molecules 2013, 18, 14470–14495. [Google Scholar] [CrossRef]
- Androutsopoulos, V.P.; Tsatsakis, A.M.; Spandidos, D.A. Cytochrome P450 CYP1A1: Wider Roles in Cancer Progression and Prevention. BMC Cancer 2009, 9, 187. [Google Scholar] [CrossRef]
- Pillaiyar, T.; Manickam, M.; Namasivayam, V. Skin Whitening Agents: Medicinal Chemistry Perspective of Tyrosinase Inhibitors. J. Enzyme Inhib. Med. Chem. 2017, 32, 403–425. [Google Scholar] [CrossRef]
- Marth, J.D.; Peet, R.; Krebs, E.G.; Perlmutter, R.M. A Lymphocyte-Specific Protein-Tyrosine Kinase Gene Is Rearranged and Overexpressed in the Murine T Cell Lymphoma LSTRA. Cell 1985, 43, 393–404. [Google Scholar] [CrossRef] [PubMed]
- Kumar Singh, P.; Kashyap, A.; Silakari, O. Exploration of the Therapeutic Aspects of Lck: A Kinase Target in Inflammatory Mediated Pathological Conditions. Biomed. Pharmacother. Biomed. Pharmacother. 2018, 108, 1565–1571. [Google Scholar] [CrossRef] [PubMed]
- Wright, A.D.; Goclik, E.; König, G.M. Oxygenated Analogues of Gorgosterol and Ergosterol from the Soft Coral Capnella lacertiliensis. J. Nat. Prod. 2003, 66, 157–160. [Google Scholar] [CrossRef] [PubMed]
- Folmer, F.; Jaspars, M.; Solano, G.; Cristofanon, S.; Henry, E.; Tabudravu, J.; Black, K.; Green, D.H.; Küpper, F.C.; Aalbersberg, W.; et al. The Inhibition of TNF-Alpha-Induced NF-KappaB Activation by Marine Natural Products. Biochem. Pharmacol. 2009, 78, 592–606. [Google Scholar] [CrossRef]
- Mohyeldin, M.M.; Akl, M.R.; Siddique, A.B.; Hassan, H.M.; El Sayed, K.A. The Marine-Derived Pachycladin Diterpenoids as Novel Inhibitors of Wild-Type and Mutant EGFR. Biochem. Pharmacol. 2017, 126, 51–68. [Google Scholar] [CrossRef]
- He, H.; Kulanthaivel, P.; Baker, B.J.; Kalter, K.; Darges, J.; Cofield, D.; Wolff, L.; Adams, L. New Antiproliferative and Antiinflammatory 9,11-Secosterols from the Gorgonian Pseudopterogorgia sp. Tetrahedron 1995, 51, 51–58. [Google Scholar] [CrossRef]
- Zandi, E.; Rothwarf, D.M.; Delhase, M.; Hayakawa, M.; Karin, M. The IκB Kinase Complex (IKK) Contains Two Kinase Subunits, IKKα and IKKβ, Necessary for IκB Phosphorylation and NF-ΚB Activation. Cell 1997, 91, 243–252. [Google Scholar] [CrossRef]
- Senegas, A.; Gautheron, J.; Maurin, A.G.D.; Courtois, G. IKK-Related Genetic Diseases: Probing NF-ΚB Functions in Humans and Other Matters. Cell. Mol. Life Sci. CMLS 2015, 72, 1275–1287. [Google Scholar] [CrossRef]
- Andersson, M.; Nieuwerburgh, L.V.; Snoeijs, P. Pigment Transfer from Phytoplankton to Zooplankton with Emphasis on Astaxanthin Production in the Baltic Sea Food Web. Mar. Ecol. Prog. Ser. 2003, 254, 213–224. [Google Scholar] [CrossRef]
- Thompson, D.M.; Gill, G.N. The EGF Receptor: Structure, Regulation and Potential Role in Malignancy. Cancer Surv. 1985, 4, 767–788. [Google Scholar]
- Wei, Q.; Sheng, L.; Shui, Y.; Hu, Q.; Nordgren, H.; Carlsson, J. EGFR, HER2, and HER3 Expression in Laryngeal Primary Tumors and Corresponding Metastases. Ann. Surg. Oncol. 2008, 15, 1193–1201. [Google Scholar] [CrossRef]
- Wei, Q.; Chen, L.; Sheng, L.; Nordgren, H.; Wester, K.; Carlsson, J. EGFR, HER2 and HER3 Expression in Esophageal Primary Tumours and Corresponding Metastases. Int. J. Oncol. 2007, 31, 493–499. [Google Scholar] [CrossRef]
- Riely, G.J.; Politi, K.A.; Miller, V.A.; Pao, W. Update on Epidermal Growth Factor Receptor Mutations in Non-Small Cell Lung Cancer. Clin. Cancer Res. Off. J. Am. Assoc. Cancer Res. 2006, 12, 7232–7241. [Google Scholar] [CrossRef]
- Newton, A.C. Protein Kinase C: Structural and Spatial Regulation by Phosphorylation, Cofactors, and Macromolecular Interactions. Chem. Rev. 2001, 101, 2353–2364. [Google Scholar] [CrossRef]
- Geribaldi-Doldán, N.; Gómez-Oliva, R.; Domínguez-García, S.; Nunez-Abades, P.; Castro, C. Protein Kinase C: Targets to Regenerate Brain Injuries? Front. Cell Dev. Biol. 2019, 7, 39. [Google Scholar] [CrossRef]
- Marrocco, V.; Bogomolovas, J.; Ehler, E.; Dos Remedios, C.G.; Yu, J.; Gao, C.; Lange, S. PKC and PKN in Heart Disease. J. Mol. Cell. Cardiol. 2019, 128, 212–226. [Google Scholar] [CrossRef]
- Newton, A.C. Protein Kinase C: Perfectly Balanced. Crit. Rev. Biochem. Mol. Biol. 2018, 53, 208–230. [Google Scholar] [CrossRef]
- Lai, D.; Yu, S.; van Ofwegen, L.; Totzke, F.; Proksch, P.; Lin, W. 9,10-Secosteroids, Protein Kinase Inhibitors from the Chinese Gorgonian Astrogorgia sp. Bioorg. Med. Chem. 2011, 19, 6873–6880. [Google Scholar] [CrossRef]
- Zhang, J.-R.; Li, P.-L.; Tang, X.-L.; Qi, X.; Li, G.-Q. Cytotoxic Tetraprenylated Alkaloids from the South China Sea Gorgonian Euplexaura robusta. Chem. Biodivers. 2012, 9, 2218–2224. [Google Scholar] [CrossRef]
- Sorek, H.; Rudi, A.; Benayahu, Y.; Ben-Califa, N.; Neumann, D.; Kashman, Y. Nuttingins A-F and Malonganenones D-H, Tetraprenylated Alkaloids from the Tanzanian Gorgonian Euplexaura nuttingi. J. Nat. Prod. 2007, 70, 1104–1109. [Google Scholar] [CrossRef]
- Jiang, W.; Wang, D.; Wilson, B.A.P.; Voeller, D.; Bokesch, H.R.; Smith, E.A.; Lipkowitz, S.; O’Keefe, B.R.; Gustafson, K.R. Sinularamides A-G, Terpenoid-Derived Spermidine and Spermine Conjugates with Casitas B-Lineage Lymphoma Proto-Oncogene B (Cbl-b) Inhibitory Activities from a Sinularia sp. Soft Coral. J. Nat. Prod. 2021, 84, 1831–1837. [Google Scholar] [CrossRef] [PubMed]
- Coval, S.J.; Patton, R.W.; Petrin, J.M.; James, L.; Rothofsky, M.L.; Lin, S.L.; Patel, M.; Reed, J.K.; McPhail, A.T.; Bishop, W.R. A Cembranolide Diterpene Farnesyl Protein Transferase Inhibitor from the Marine Soft Coral Lobophytum cristagalli. Bioorg. Med. Chem. Lett. 1996, 6, 909–912. [Google Scholar] [CrossRef]
- Whalen, K.E.; Lane, A.L.; Kubanek, J.; Hahn, M.E. Biochemical Warfare on the Reef: The Role of Glutathione Transferases in Consumer Tolerance of Dietary Prostaglandins. PLoS ONE 2010, 5, e8537. [Google Scholar] [CrossRef] [PubMed]
- Liu, Y.-C.; Gu, H. Cbl and Cbl-b in T-Cell Regulation. Trends Immunol. 2002, 23, 140–143. [Google Scholar] [CrossRef] [PubMed]
- Jafari, D.; Mousavi, M.J.; Keshavarz Shahbaz, S.; Jafarzadeh, L.; Tahmasebi, S.; Spoor, J.; Esmaeilzadeh, A. E3 Ubiquitin Ligase Casitas B Lineage Lymphoma-b and Its Potential Therapeutic Implications for Immunotherapy. Clin. Exp. Immunol. 2021, 204, 14–31. [Google Scholar] [CrossRef]
- Paolino, M.; Choidas, A.; Wallner, S.; Pranjic, B.; Uribesalgo, I.; Loeser, S.; Jamieson, A.M.; Langdon, W.Y.; Ikeda, F.; Fededa, J.P.; et al. The E3 Ligase Cbl-b and TAM Receptors Regulate Cancer Metastasis via Natural Killer Cells. Nature 2014, 507, 508–512. [Google Scholar] [CrossRef]
- Zhang, F.L.; Casey, P.J. Protein Prenylation: Molecular Mechanisms and Functional Consequences. Annu. Rev. Biochem. 1996, 65, 241–269. [Google Scholar] [CrossRef]
- Lobell, R.B.; Omer, C.A.; Abrams, M.T.; Bhimnathwala, H.G.; Brucker, M.J.; Buser, C.A.; Davide, J.P.; de Solms, S.J.; Dinsmore, C.J.; Ellis-Hutchings, M.S.; et al. Evaluation of Farnesyl:Protein Transferase and Geranylgeranyl:Protein Transferase Inhibitor Combinations in Preclinical Models. Cancer Res. 2001, 61, 8758–8768. [Google Scholar]
- Head, J.; Johnston, S.R. New Targets for Therapy in Breast Cancer: Farnesyltransferase Inhibitors. Breast Cancer Res. 2004, 6, 262. [Google Scholar] [CrossRef]
- Hayes, J.D.; Flanagan, J.U.; Jowsey, I.R. Glutathione Transferases. Annu. Rev. Pharmacol. Toxicol. 2005, 45, 51–88. [Google Scholar] [CrossRef]
- O’Brien, M.L.; Tew, K.D. Glutathione and Related Enzymes in Multidrug Resistance. Eur. J. Cancer 1996, 32, 967–978. [Google Scholar] [CrossRef]
- Mahajan, S.; Atkins, W.M. The Chemistry and Biology of Inhibitors and Pro-Drugs Targeted to Glutathione S-Transferases. Cell. Mol. Life Sci. CMLS 2005, 62, 1221–1233. [Google Scholar] [CrossRef]
- Seufferheld, M.J.; Kim, K.M.; Whitfield, J.; Valerio, A.; Caetano-Anollés, G. Evolution of Vacuolar Proton Pyrophosphatase Domains and Volutin Granules: Clues into the Early Evolutionary Origin of the Acidocalcisome. Biol. Direct 2011, 6, 50. [Google Scholar] [CrossRef]
- Segami, S.; Asaoka, M.; Kinoshita, S.; Fukuda, M.; Nakanishi, Y.; Maeshima, M. Biochemical, Structural and Physiological Characteristics of Vacuolar H+-Pyrophosphatase. Plant Cell Physiol. 2018, 59, 1300–1308. [Google Scholar] [CrossRef]
- Hirono, M.; Ojika, M.; Mimura, H.; Nakanishi, Y.; Maeshima, M. Acylspermidine Derivatives Isolated from a Soft Coral, Sinularia sp., Inhibit Plant Vacuolar H(+)-Pyrophosphatase. J. Biochem. 2003, 133, 811–816. [Google Scholar] [CrossRef]
- Halling, P.; Fitzpatrick, P.F.; Raushel, F.M.; Rohwer, J.; Schnell, S.; Wittig, U.; Wohlgemuth, R.; Kettner, C. An Empirical Analysis of Enzyme Function Reporting for Experimental Reproducibility: Missing/Incomplete Information in Published Papers. Biophys. Chem. 2018, 242, 22–27. [Google Scholar] [CrossRef]
- Copeland, R.A. Evaluation of Enzyme Inhibitors in Drug Discovery: A Guide for Medicinal Chemists and Pharmacologists, 2nd ed.; John Wiley & Sons: Hoboken, NJ, USA, 2013. [Google Scholar]
- Copeland, R.A. Enzymes, A Practical Introduction to Structure, Mechanism, and Data Analysis, 2nd ed.; Wiley-VCH: New York, NY, USA, 2000; ISBN 0-471-22063-9. [Google Scholar]
- Copeland, R.A. Evaluation of Enzyme Inhibitors in Drug Discovery: A Guide for Medicinal Chemists and Pharmacologists. Methods Biochem. Anal. 2005, 46, 1–265. [Google Scholar]
- Lankatillake, C.; Luo, S.; Flavel, M.; Lenon, G.B.; Gill, H.; Huynh, T.; Dias, D.A. Screening Natural Product Extracts for Potential Enzyme Inhibitors: Protocols, and the Standardisation of the Usage of Blanks in α-Amylase, α-Glucosidase and Lipase Assays. Plant Methods 2021, 17, 3. [Google Scholar] [CrossRef]
- Christopeit, T.; Øverbø, K.; Danielson, U.H.; Nilsen, I.W. Efficient Screening of Marine Extracts for Protease Inhibitors by Combining FRET Based Activity Assays and Surface Plasmon Resonance Spectroscopy Based Binding Assays. Mar. Drugs 2013, 11, 4279–4293. [Google Scholar] [CrossRef]
- Hanada, K.; Tamai, M.; Yamagishi, M.; Ohmura, S.; Sawada, J.; Tanaka, I. Isolation and Characterization of E–64, a New Thiol Protease Inhibitor. Agric. Biol. Chem. 1978, 42, 523–528. [Google Scholar] [CrossRef]
- Bennett, S.E.; Schimerlik, M.I.; Mosbaugh, D.W. Kinetics of the Uracil-DNA Glycosylase/Inhibitor Protein Association. Ung Interaction with Ugi, Nucleic Acids, and Uracil Compounds. J. Biol. Chem. 1993, 268, 26879–26885. [Google Scholar] [CrossRef] [PubMed]
- Zhao, Y.; Jin, Y.; Wei, S.-S.; Lee, W.-H.; Zhang, Y. Purification and Characterization of an Irreversible Serine Protease Inhibitor from Skin Secretions of Bufo andrewsi. Toxicon Off. J. Int. Soc. Toxinol. 2005, 46, 635–640. [Google Scholar] [CrossRef] [PubMed]
- Faller, B.; Bieth, J.G. Kinetics of the Interaction of Chymotrypsin with Eglin c. Biochem. J. 1991, 280 (Pt 1), 27–32. [Google Scholar] [CrossRef]
- Lineweaver, H.; Burk, D. The Determination of Enzyme Dissociation Constants. ACS Publ. 1934, 56, 658–666. [Google Scholar] [CrossRef]
- Dixon, M. The Determination of Enzyme Inhibitor Constants. Biochem. J. 1953, 55, 170–171. [Google Scholar] [CrossRef]
- Cortés, A.; Cascante, M.; Cárdenas, M.L.; Cornish-Bowden, A. Relationships between Inhibition Constants, Inhibitor Concentrations for 50% Inhibition and Types of Inhibition: New Ways of Analysing Data. Biochem. J. 2001, 357, 263–268. [Google Scholar] [CrossRef]
- Morrison, J.F. Kinetics of the Reversible Inhibition of Enzyme-Catalysed Reactions by Tight-Binding Inhibitors. Biochim. Biophys. Acta 1969, 185, 269–286. [Google Scholar] [CrossRef]
- Reytor Gonzalez, M.L.; Del Rivero Antigua, M.A. Reviewing the Experimental and Mathematical Factors Involved in Tight Binding Inhibitors Ki Values Determination: The Bi-Functional Protease Inhibitor SmCI as a Test Model. Biochimie 2021, 181, 86–95. [Google Scholar] [CrossRef]
- Baell, J.B.; Holloway, G.A. New Substructure Filters for Removal of Pan Assay Interference Compounds (PAINS) from Screening Libraries and for Their Exclusion in Bioassays. J. Med. Chem. 2010, 53, 2719–2740. [Google Scholar] [CrossRef]
- Baell, J.B.; Nissink, J.W.M. Seven Year Itch: Pan-Assay Interference Compounds (PAINS) in 2017—Utility and Limitations. ACS Chem. Biol. 2018, 13, 36–44. [Google Scholar] [CrossRef]
- Baell, J.B. Feeling Nature’s PAINS: Natural Products, Natural Product Drugs, and Pan Assay Interference Compounds (PAINS). J. Nat. Prod. 2016, 79, 616–628. [Google Scholar] [CrossRef]
- Babaoglu, K.; Simeonov, A.; Irwin, J.J.; Nelson, M.E.; Feng, B.; Thomas, C.J.; Cancian, L.; Costi, M.P.; Maltby, D.A.; Jadhav, A.; et al. Comprehensive Mechanistic Analysis of Hits from High-Throughput and Docking Screens against Beta-Lactamase. J. Med. Chem. 2008, 51, 2502–2511. [Google Scholar] [CrossRef]
- Jadhav, A.; Ferreira, R.S.; Klumpp, C.; Mott, B.T.; Austin, C.P.; Inglese, J.; Thomas, C.J.; Maloney, D.J.; Shoichet, B.K.; Simeonov, A. Quantitative Analyses of Aggregation, Autofluorescence, and Reactivity Artifacts in a Screen for Inhibitors of a Thiol Protease. J. Med. Chem. 2010, 53, 37–51. [Google Scholar] [CrossRef]
- Aldrich, C.; Bertozzi, C.; Georg, G.I.; Kiessling, L.; Lindsley, C.; Liotta, D.; Merz, K.M.; Schepartz, A.; Wang, S. The Ecstasy and Agony of Assay Interference Compounds. J. Chem. Inf. Model. 2017, 57, 387–390. [Google Scholar] [CrossRef]
- Feng, B.Y.; Simeonov, A.; Jadhav, A.; Babaoglu, K.; Inglese, J.; Shoichet, B.K.; Austin, C.P. A High-Throughput Screen for Aggregation-Based Inhibition in a Large Compound Library. J. Med. Chem. 2007, 50, 2385–2390. [Google Scholar] [CrossRef]
- Coan, K.E.D.; Shoichet, B.K. Stoichiometry and Physical Chemistry of Promiscuous Aggregate-Based Inhibitors. J. Am. Chem. Soc. 2008, 130, 9606–9612. [Google Scholar] [CrossRef]
Disclaimer/Publisher’s Note: The statements, opinions and data contained in all publications are solely those of the individual author(s) and contributor(s) and not of MDPI and/or the editor(s). MDPI and/or the editor(s) disclaim responsibility for any injury to people or property resulting from any ideas, methods, instructions or products referred to in the content. |
© 2023 by the authors. Licensee MDPI, Basel, Switzerland. This article is an open access article distributed under the terms and conditions of the Creative Commons Attribution (CC BY) license (https://creativecommons.org/licenses/by/4.0/).










