Induction of New Aromatic Polyketides from the Marine Actinobacterium Streptomyces griseorubiginosus through an OSMAC Approach
Abstract
:1. Introduction
2. Results and Discussion
2.1. Isolation of Secondary Metabolites from S. griseorubiginosus through OSMAC
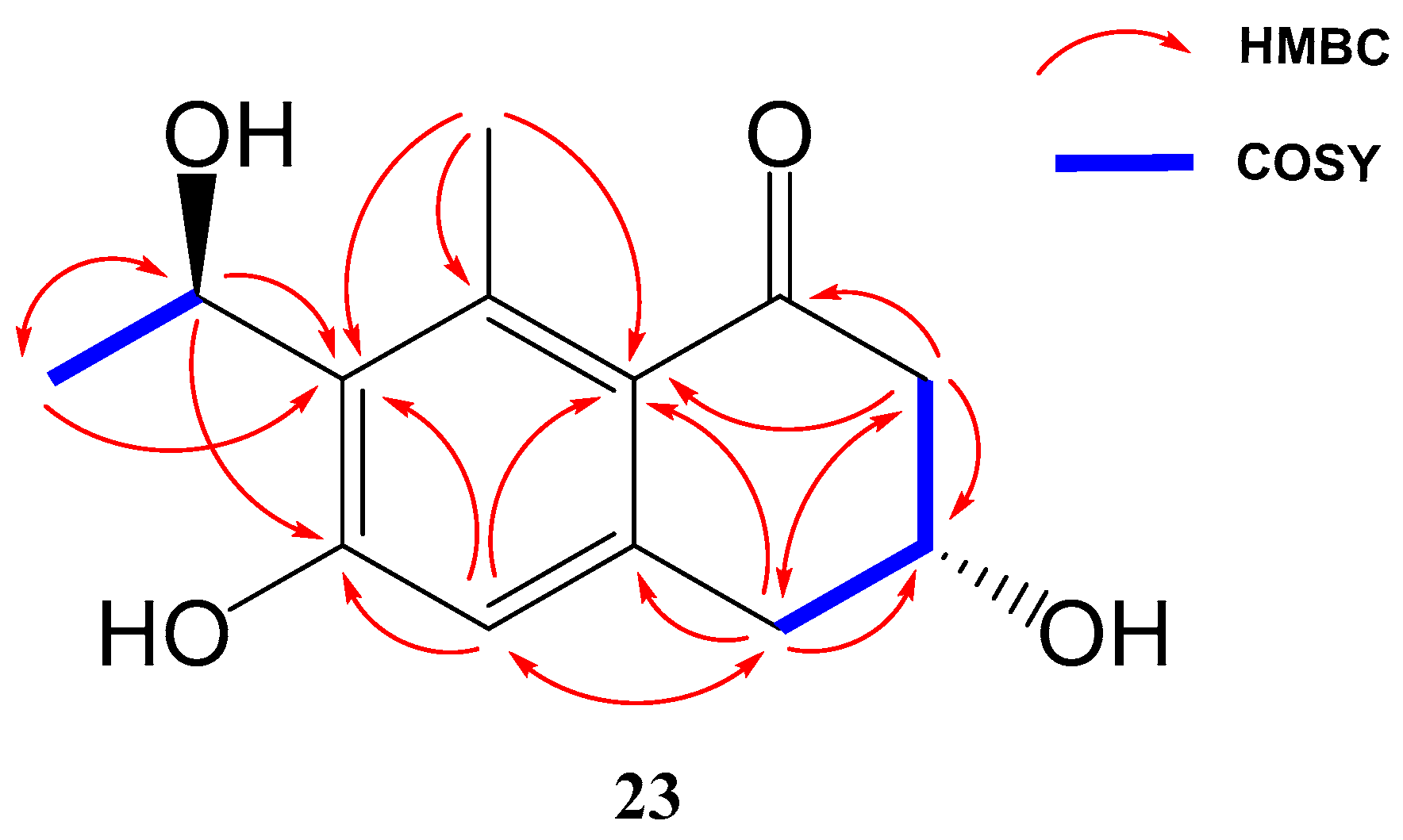
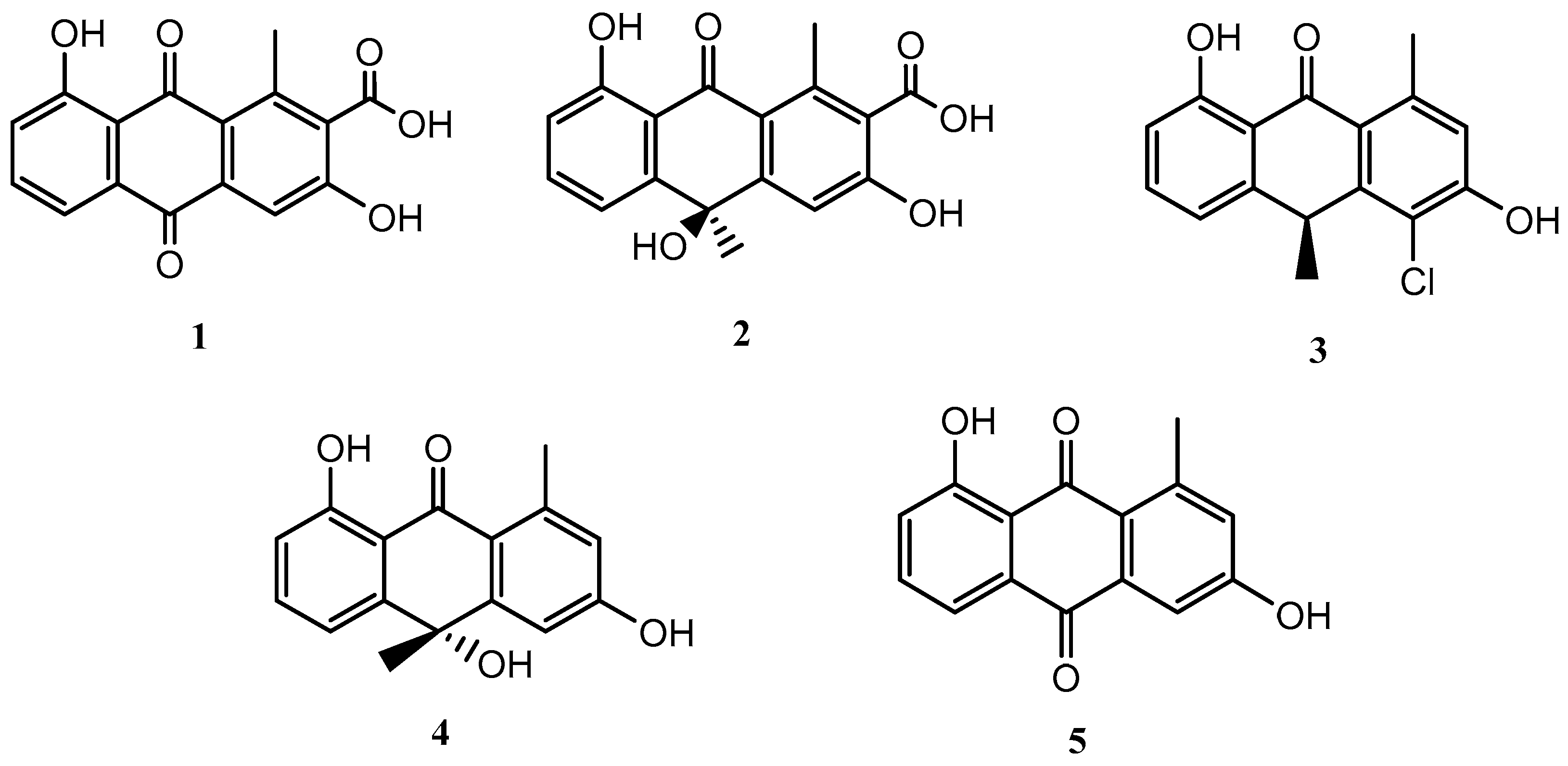
2.2. Structure Elucidation of Novel Compounds
3. Materials and Methods
3.1. General Experimental Procedures
3.2. Bacterial Material
3.2.1. Isolation of the Strain
3.2.2. Identification of the Strain
3.3. Fermentations
Media Compositions
3.4. Extraction and Isolation
3.5. Spectroscopic Data of Compounds 19–23
3.6. Computational Methods
Supplementary Materials
Author Contributions
Funding
Data Availability Statement
Acknowledgments
Conflicts of Interest
References
- van Bergeijk, D.A.; Terlouw, B.R.; Medema, M.H.; van Wezel, G.P. Ecology and genomics of Actinobacteria: New concepts for natural product discovery. Nat. Rev. Microbiol. 2020, 18, 546–558. [Google Scholar] [CrossRef]
- Bahrami, Y.; Bouk, S.; Kakaei, E.; Taheri, M. Natural Products from Actinobacteria as a Potential Source of New Therapies Against Colorectal Cancer: A Review. Front. Pharmacol. 2022, 13, 929161. [Google Scholar] [CrossRef]
- Jose, P.A.; Maharshi, A.; Jha, B. Actinobacteria in natural products research: Progress and prospects. Microbiol. Res. 2021, 246, 126708. [Google Scholar] [CrossRef]
- Tran-Cong, N.M.; Mándi, A.; Kurtán, T.; Müller, W.E.G.; Kalscheuer, R.; Lin, W.; Liu, Z.; Proksch, P. Induction of cryptic metabolites of the endophytic fungus Trichocladium sp. through OSMAC and co-cultivation. RSC Adv. 2019, 9, 27279–27288. [Google Scholar] [CrossRef] [PubMed]
- Pan, R.; Bai, X.; Chen, J.; Zhang, H.; Wang, H. Exploring Structural Diversity of Microbe Secondary Metabolites Using OSMAC Strategy: A Literature Review. Front. Microbiol. 2019, 10, 294. [Google Scholar] [CrossRef] [PubMed]
- Serrano, R.; González-Menéndez, V.; Rodríguez, L.; Martín, J.; Tormo, J.R.; Genilloud, O. Co-culturing of Fungal Strains Against Botrytis cinerea as a Model for the Induction of Chemical Diversity and Therapeutic Agents. Front. Microbiol. 2017, 8, 649. [Google Scholar] [CrossRef] [PubMed]
- Pinedo-Rivilla, C.; Aleu, J.; Durán-Patrón, R. Cryptic Metabolites from Marine-Derived Microorganisms Using OSMAC and Epigenetic Approaches. Mar. Drugs 2022, 20, 84. [Google Scholar] [CrossRef]
- Romano, S.; Jackson, S.A.; Patry, S.; Dobson, A.D.W. Extending the “One Strain Many Compounds” (OSMAC) Principle to Marine Microorganisms. Mar. Drugs 2018, 16, 244. [Google Scholar] [CrossRef]
- Liu, M.; Grkovic, T.; Liu, X.; Han, J.; Zhang, L.; Quinn, R.J. A systems approach using OSMAC, Log P and NMR fingerprinting: An approach to novelty. Synth. Syst. Biotechnol. 2017, 2, 276–286. [Google Scholar] [CrossRef]
- Bode, H.; Walker, M.; Zeeck, A. Cladospirones B to I from Sphaeropsidales sp. F-24′707 by Variation of Culture Conditions. Eur. J. Org. Chem. 2000, 2000, 3185–3193. [Google Scholar] [CrossRef]
- Oka, M.; Kamei, H.; Hamagishi, Y.; Tomita, K.; Miyaki, T.; Konishi, M.; Oki, T. Chemical and Biological Properties of Rubiginone, a Complex of New Antibiotics with Vincristine-Cytotoxicity. J. Antibiot. 1990, 43, 967–976. [Google Scholar] [CrossRef] [PubMed]
- Paintner, F.F.; Görler, K.; Voelter, W. A new convergent approach to biphenomycin antibiotics. Synlett 2003, 2003, 0522–0526. [Google Scholar] [CrossRef]
- David, L.; Duteurtre, M.; Kergomard, A.; Kergomard, G.; Scanzi, E.; Staron, T. Production of cinerubins by a Streptomyces griseorubiginosus strain. J. Antibiot. 1980, 33, 49–53. [Google Scholar] [CrossRef]
- Shimizu, K.-I.; Tamura, G. Reductiomycin, a new antibiotic I. Taxonomy, fermentation, isolation, characterization and biological activities. J. Antibiot. 1981, 34, 649–653. [Google Scholar] [CrossRef] [PubMed]
- Hawas, U.W.; El-Ansari, M.A.; Laatsch, H. A new alpha-methylanthraquinone glucoside from Emex spinosus. Nat. Prod. Res. 2006, 20, 742–747. [Google Scholar] [CrossRef] [PubMed]
- Krupa, J.; Lessmann, H.; Lackner, H. Ein α-Methylanthrachinon aus Streptomyceten. Liebigs Ann. Chem. 1989, 1989, 699–701. [Google Scholar] [CrossRef]
- Chen, S.; Zhang, C.; Zhang, L. Investigation of the Molecular Landscape of Bacterial Aromatic Polyketides by Global Analysis of Type II Polyketide Synthases. Angew. Chem. Int. Ed. 2022, 61, e202202286. [Google Scholar] [CrossRef]
- Cui, H.; Shaaban, K.A.; Qin, S. Two Anthraquinone Compounds from a Marine Actinomycete Isolate M097 Isolated from Jiaozhou Bay. World J. Microbiol. Biotechnol. 2006, 22, 1377–1379. [Google Scholar] [CrossRef]
- Lin, Z.J.; Lu, X.M.; Zhu, T.J.; Fang, Y.C.; Gu, Q.Q.; Zhu, W. GPR12 selections of the metabolites from an endophytic Streptomyces sp. associated with Cistanches deserticola. Arch. Pharm. Res. 2008, 31, 1108–1114. [Google Scholar] [CrossRef]
- Kawahara, T.; Izumikawa, M.; Otoguro, M.; Yamamura, H.; Hayakawa, M.; Takagi, M.; Shin-ya, K. JBIR-94 and JBIR-125, antioxidative phenolic compounds from Streptomyces sp. R56-07. J. Nat. Prod. 2012, 75, 107–110. [Google Scholar] [CrossRef]
- Wu, T.-S.; Shi, L.-S.; Kuo, S.-C. Alkaloids and other constituents from Tribulus terrestris. Phytochemistry 1999, 50, 1411–1415. [Google Scholar] [CrossRef]
- Fdhila, F.; Vázquez, V.; Sánchez, J.L.; Riguera, R. dd-diketopiperazines: Antibiotics active against Vibrio anguillarum isolated from marine bacteria associated with cultures of Pecten maximus. J. Nat. Prod. 2003, 66, 1299–1301. [Google Scholar] [CrossRef] [PubMed]
- Selvakumar, S.; Sivasankaran, D.; Singh, V.K. Enantioselective Henry reaction catalyzed by C2-symmetric chiral diamine–copper(II) complex. Org. Biomol. Chem. 2009, 7, 3156–3162. [Google Scholar] [CrossRef]
- Campbell, J.; Lin, Q.; Geske, G.D.; Blackwell, H.E. New and unexpected insights into the modulation of LuxR-type quorum sensing by cyclic dipeptides. ACS Chem. Biol. 2009, 4, 1051–1059. [Google Scholar] [CrossRef] [PubMed]
- Maehr, H.; Benz, W.; Smallheer, J.; Williams, T. Mikrobielle Produkte, I NMR-Spektren von Nocardamin und Massenspektrum des Tri-O-methyl-nocardamins/Microbiological Products, I NMR Spectra of Nocardamine and Mass Spectra of Tri-O-methyl-nocardamine. Z. Für Naturforschung B 2014, 32, 937–942. [Google Scholar] [CrossRef]
- Stavila, E.; Loos, K. Synthesis of lactams using enzyme-catalyzed aminolysis. Tetrahedron Lett. 2013, 54, 370–372. [Google Scholar] [CrossRef]
- Yeo, W.H.; Yun, B.S.; Kim, S.S.; Park, E.K.; Kim, Y.H.; Yoo, I.D.; Yu, S.H. GTRI-02, a new lipid peroxidation inhibitor from Micromonospora sp. SA246. J. Antibiot. 1998, 51, 952–953. [Google Scholar] [CrossRef]
- Wu, C.; Ichinose, K.; Choi, Y.H.; van Wezel, G.P. Aromatic Polyketide GTRI-02 is a Previously Unidentified Product of the act Gene Cluster in Streptomyces coelicolor A3(2). Chembiochem 2017, 18, 1428–1434. [Google Scholar] [CrossRef]
- Koyama, J.; Ogura, T.; Tagahara, K. Naphtho [2,3-c]furan-4,9-dione and its derivatives from Aloe ferox. Phytochemistry 1994, 37, 1147–1148. [Google Scholar] [CrossRef]
- Fotso, S.; Maskey, R.P.; Grün-Wollny, I.; Schulz, K.-P.; Munk, M.; Laatsch, H. Bhimamycin AE and bhimanone: Isolation, structure elucidation and biological activity of novel quinone antibiotics from a terrestrial streptomycete. J. Antibiot. 2003, 56, 931–941. [Google Scholar] [CrossRef]
- Smith, S.G.; Goodman, J.M. Assigning stereochemistry to single diastereoisomers by GIAO NMR calculation: The DP4 probability. J. Am. Chem. Soc. 2010, 132, 12946–12959. [Google Scholar] [CrossRef] [PubMed]
- Grimblat, N.; Zanardi, M.M.; Sarotti, A.M. Beyond DP4: An Improved Probability for the Stereochemical Assignment of Isomeric Compounds using Quantum Chemical Calculations of NMR Shifts. J. Org. Chem. 2015, 80, 12526–12534. [Google Scholar] [CrossRef] [PubMed]
- Grimblat, N.; Gavín, J.A.; Hernández Daranas, A.; Sarotti, A.M. Combining the Power of J Coupling and DP4 Analysis on Stereochemical Assignments: The J-DP4 Methods. Org. Lett. 2019, 21, 4003–4007. [Google Scholar] [CrossRef] [PubMed]
- Tsai, Y.H.; Amichetti, M.; Zanardi, M.M.; Grimson, R.; Daranas, A.H.; Sarotti, A.M. ML-J-DP4: An Integrated Quantum Mechanics-Machine Learning Approach for Ultrafast NMR Structural Elucidation. Org. Lett. 2022, 24, 7487–7491. [Google Scholar] [CrossRef]
- Daranas, A.H.; Sarotti, A.M. Are Computational Methods Useful for Structure Elucidation of Large and Flexible Molecules? Belizentrin as a Case Study. Org. Lett. 2021, 23, 503–507. [Google Scholar] [CrossRef]
- Rodríguez-Expósito, R.; Nicolás-Hernández, D.; Sifaoui, I.; Cuadrado, C.; Salazar, L.; Reyes Batlle, M.; Hernández-Daranas, A.; Omaña-Molina, M.; Fernández, J.; Diaz-Marrero, A.; et al. Gongolarones as antiamoeboid chemical scaffold. Biomed. Pharmacother. 2023, 158, 114185. [Google Scholar] [CrossRef]
- Sosa-Rueda, J.; Domínguez-Meléndez, V.; Ortiz-Celiseo, A.; López-Fentanes, F.C.; Cuadrado, C.; Fernández, J.J.; Daranas, A.H.; Cen-Pacheco, F. Squamins C-F, four cyclopeptides from the seeds of Annona globiflora. Phytochemistry 2022, 194, 112839. [Google Scholar] [CrossRef]
- Li, S.W.; Mudianta, I.W.; Cuadrado, C.; Li, G.; Yudasmara, G.A.; Setiabudi, G.I.; Daranas, A.H.; Guo, Y.W. Litosetoenins A-E, Diterpenoids from the Soft Coral Litophyton setoensis, Backbone-Rearranged through Divergent Cyclization Achieved by Epoxide Reactivity Inversion. J. Org. Chem. 2021, 86, 11771–11781. [Google Scholar] [CrossRef]
- Li, Y.; Li, S.-W.; Cuadrado, C.; Gao, C.-L.; Wu, Q.; Li, X.; Pang, T.; Daranas, A.; Guo, Y.-W.; Li, X.-W. Polyoxygenated anti-inflammatory biscembranoids from the soft coral Sarcophyton tortuosum and their stereochemistry. Chin. Chem. Lett. 2020, 32, 271–276. [Google Scholar] [CrossRef]
- Domínguez, H.J.; Cabrera-García, D.; Cuadrado, C.; Novelli, A.; Fernández-Sánchez, M.T.; Fernández, J.J.; Daranas, A.H. Prorocentroic Acid, a Neuroactive Super-Carbon-Chain Compound from the Dinoflagellate Prorocentrum hoffmannianum. Org. Lett. 2021, 23, 13–18. [Google Scholar] [CrossRef]
- Li, S.W.; Cuadrado, C.; Huan, X.J.; Yao, L.G.; Miao, Z.H.; Hernandez Daranas, A.; Guo, Y.W. Rare new bicyclic cembranoid ethers and a novel trihydroxy prenylated guaiane from the Xisha soft coral Lobophytum sp. Bioorg. Chem. 2020, 103, 104223. [Google Scholar] [CrossRef] [PubMed]
- Li, S.W.; Cuadrado, C.; Yao, L.G.; Daranas, A.H.; Guo, Y.W. Quantum Mechanical-NMR-Aided Configuration and Conformation of Two Unreported Macrocycles Isolated from the Soft Coral Lobophytum sp.: Energy Calculations versus Coupling Constants. Org. Lett. 2020, 22, 4093–4096. [Google Scholar] [CrossRef] [PubMed]
- Cuadrado, C.; Daranas, A.H.; Sarotti, A.M. May the Force (Field) Be with You: On the Importance of Conformational Searches in the Prediction of NMR Chemical Shifts. Mar. Drugs 2022, 20, 699. [Google Scholar] [CrossRef] [PubMed]
- Frisch, M.J.; Trucks, G.W.; Schlegel, H.B.; Scuseria, G.E.; Robb, M.A.; Cheeseman, J.R.; Scalmani, G.; Barone, V.; Petersson, G.A.; Nakatsuji, H.; et al. Gaussian 16 Rev. C.01, Gaussian: Wallingford, CT, USA, 2016.
- Ditchfield, R. Molecular Orbital Theory of Magnetic Shielding and Magnetic Susceptibility. J. Chem. Phys. 2003, 56, 5688–5691. [Google Scholar] [CrossRef]
- Ditchfield, R. Self-consistent perturbation theory of diamagnetism. Mol. Phys. 1974, 27, 789–807. [Google Scholar] [CrossRef]
- McMichael Rohlfing, C.; Allen, L.C.; Ditchfield, R. Proton and carbon-13 chemical shifts: Comparison between theory and experiment. Chem. Phys. 1984, 87, 9–15. [Google Scholar] [CrossRef]
- Wolinski, K.; Hinton, J.F.; Pulay, P. Efficient implementation of the gauge-independent atomic orbital method for NMR chemical shift calculations. J. Am. Chem. Soc. 1990, 112, 8251–8260. [Google Scholar] [CrossRef]
- Legault, C.Y. CYLview, 1.0b; Université de Sherbrooke: Sherbrooke, QC, Canada, 2009. [Google Scholar]









| Compound 19 a | Compound 20 b | |||||||
|---|---|---|---|---|---|---|---|---|
| C/H | δH (J in Hz) | δC * | gCOSY | gHMBC | δH (J in Hz) | δC | gCOSY | gHMBC |
| 1 | 147.9 | 145.6 | ||||||
| 2 | 6.87, s | 117.2 | C3, 4, C10a, C11 | 6.62, d (2.5) | 120.0 | H4 | C-10a | |
| 3 | 164.3 | ** | ||||||
| 4 | 7.19, s | 112.3 | C2, C5, C10a | 7.21, d (2.5) | 111.7 | H2 | C-10a | |
| 4a | 156.3 | 155.8 | ||||||
| 5 | 71.5 | 71.8 | ||||||
| 5a | 150.9 | 153.9 | ||||||
| 6 | 7.25, d (8.2) | 116.6 | H7, H8 | C5, C8, C9a | 6.77, d (2.4) | 105.7 | H8 | C-5, C-8, C-9a |
| 7 | 7.38, t (8.2) | ** | H6, H8 | C5a, C6, C9 | ** | |||
| 8 | 6.75, d (8.2) | 116.8 | H6, H7 | C6, C9a | 6.16, d (2.4) | 102.6 | H6 | |
| 9 | 162.8 | ** | ||||||
| 9a | 115.5 | 109.4 | ||||||
| 10 | ** | 189.3 | ||||||
| 10a | 119.8 | 120.6 | ||||||
| 11 | 4.66, d (14.3) | 65.9 | C1, C2, C10a | 2.70, s | 24.6 | C-1, C2, C10a | ||
| 4.92, d (14.3) | ||||||||
| 12 | 1.47, s | 39.5 | C4a, C5, C5a | 1.52, s | 39.4 | C-4a, C5, C5a | ||
| Compound 21 | Compound 22 | |||||||
|---|---|---|---|---|---|---|---|---|
| C/H | δH (J in Hz) | δC | gCOSY | gHMBC | δH (J in Hz) | δC ** | gCOSY | gHMBC |
| 1 | 145.6 | *** | ||||||
| 3 | 161.6 | 160.1 | ||||||
| 3a | 117.5 * | 117.7 | ||||||
| 4 | 186.2 | *** | ||||||
| 4a | 114.4 | *** | ||||||
| 5 | 163.0 | *** | ||||||
| 6 | 6.95, dd (8.0, 1.0) | 116.9 | H7, H8 | C-4a, C8a | 6.87, d (8.0) | 115.8 | H7 | C-8 |
| 7 | 7.57, t (8.0) | 137.3 | H6, H8 | C-5, C8a | 7.47, t (8.0) | *** | H6, H8 | |
| 8 | 7.42, dd (8.0, 1.0) | 117.5 * | H6, H7 | C-4a, C6, C9 | 6.91, d (8.0) | 115.7 | H7 | C-6 |
| 8a | 148.9 | 148.1 | ||||||
| 9 | 67.7 | 4.58, q (7.1) | 32.2 | H13 | C-9a | |||
| 9a | 141.4 | 136.9 | ||||||
| 10 | 190.4 | 187.9 | ||||||
| 11 | 2.62, s | 26.6 | C-1, C10 | 2.54, s | 26.7 | C-10 | ||
| 12 | 2.82, s | 14.7 | C-3, C3a | 2.82, s | *** | C-3, C3a | ||
| 13 | 1.69, s | 35.4 | C-8a, C9, C9a | 1.53, d (7.1) | 26.1 | H9 | C-8a, C9, C9a | |
| 5-OH | 12.68, s | C-4a, C5, C6 | 12.82, s | |||||
| 9-OH | 6.05, s | C-8a, C9 | ||||||
| C/H | δH (J in Hz) | δC | gCOSY | gHMBC |
|---|---|---|---|---|
| 1 | 198.7 | |||
| 2 | 2.53, dd (16.4, 8.1) 2.81, dd (16.4, 8.1) | 49.4 | H3 | C-1, C3, C4, C8a |
| 3 | 4.21, tt (8.1, 4.0) | 65.8 | H2, H4 | |
| 4 | 2.83, dd (16.4, 4.0) 3.03, dd (16.4, 4.0) | 39.4 | H3 | C-2, C3, C4a, C5, C8a |
| 4a | 143.3 | |||
| 5 | 6.51, s | 115.5 | C-4, C6, C7, C8a | |
| 6 | 160.6 | |||
| 7 | 127.5 | |||
| 8 | 139.2 | |||
| 8a | 124.3 | |||
| 9 | 5.31, q (6.7) | 68.0 | H10 | C-6, C7, C10 |
| 10 | 1.42, d (6.7) | 22.0 | H9 | C-7, C9 |
| 11 | 2.42, s | 16.4 | C-7, C8, C8a |
Disclaimer/Publisher’s Note: The statements, opinions and data contained in all publications are solely those of the individual author(s) and contributor(s) and not of MDPI and/or the editor(s). MDPI and/or the editor(s) disclaim responsibility for any injury to people or property resulting from any ideas, methods, instructions or products referred to in the content. |
© 2023 by the authors. Licensee MDPI, Basel, Switzerland. This article is an open access article distributed under the terms and conditions of the Creative Commons Attribution (CC BY) license (https://creativecommons.org/licenses/by/4.0/).
Share and Cite
Martín-Aragón, V.R.; Millán, F.R.; Cuadrado, C.; Daranas, A.H.; Medarde, A.F.; López, J.M.S. Induction of New Aromatic Polyketides from the Marine Actinobacterium Streptomyces griseorubiginosus through an OSMAC Approach. Mar. Drugs 2023, 21, 526. https://doi.org/10.3390/md21100526
Martín-Aragón VR, Millán FR, Cuadrado C, Daranas AH, Medarde AF, López JMS. Induction of New Aromatic Polyketides from the Marine Actinobacterium Streptomyces griseorubiginosus through an OSMAC Approach. Marine Drugs. 2023; 21(10):526. https://doi.org/10.3390/md21100526
Chicago/Turabian StyleMartín-Aragón, Víctor Rodríguez, Francisco Romero Millán, Cristina Cuadrado, Antonio Hernández Daranas, Antonio Fernández Medarde, and José M. Sánchez López. 2023. "Induction of New Aromatic Polyketides from the Marine Actinobacterium Streptomyces griseorubiginosus through an OSMAC Approach" Marine Drugs 21, no. 10: 526. https://doi.org/10.3390/md21100526
APA StyleMartín-Aragón, V. R., Millán, F. R., Cuadrado, C., Daranas, A. H., Medarde, A. F., & López, J. M. S. (2023). Induction of New Aromatic Polyketides from the Marine Actinobacterium Streptomyces griseorubiginosus through an OSMAC Approach. Marine Drugs, 21(10), 526. https://doi.org/10.3390/md21100526

