Monthly Variation of Tetrodotoxin Levels in Pufferfish (Lagocephalus sceleratus) Caught from Antalya Bay, Mediterranean Sea
Abstract
1. Introduction
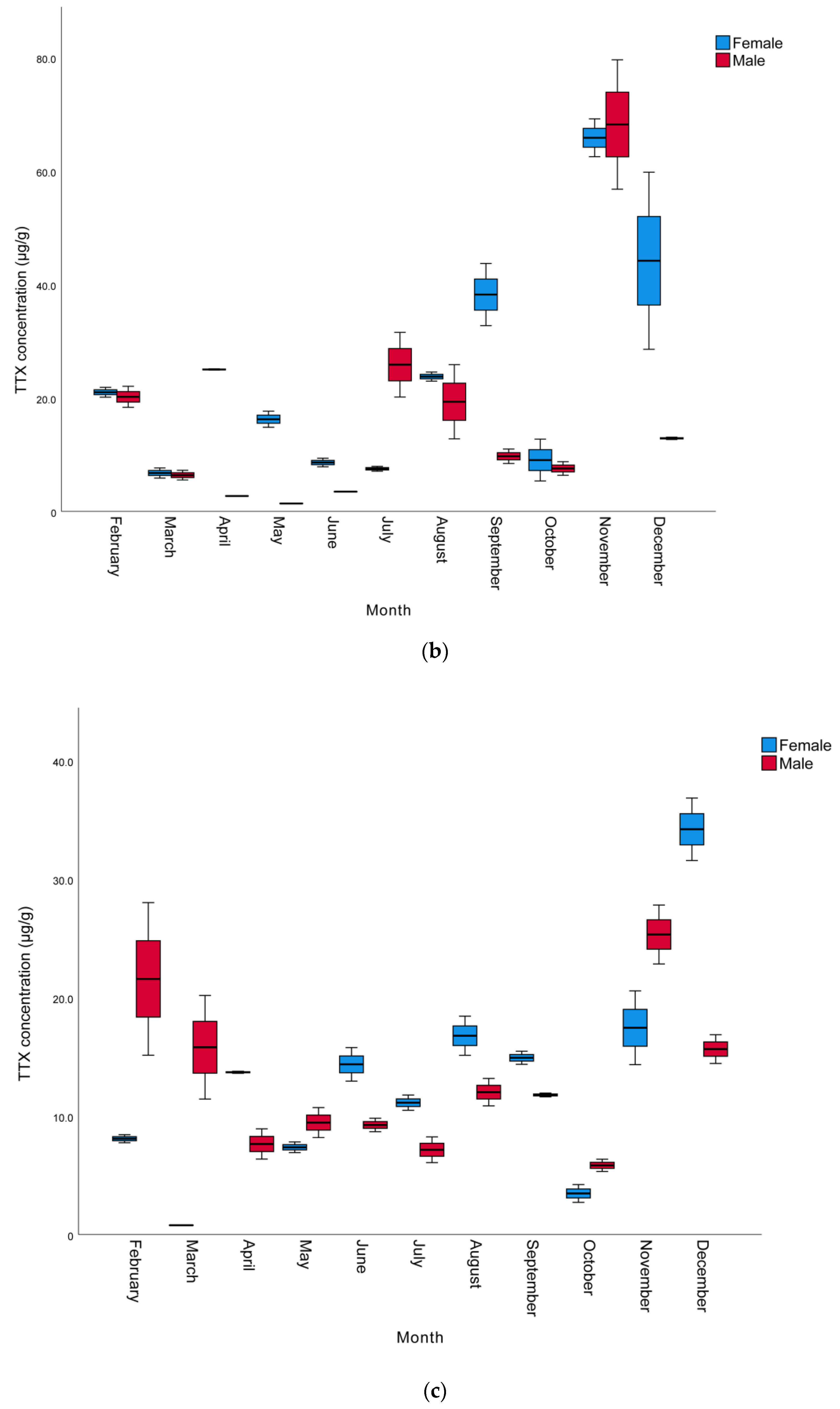
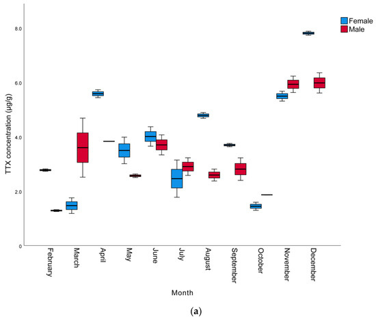
2. Results and Discussion
3. Materials and Methods
3.1. Tetrodotoxin Standard
3.2. Fish Collection, Measurements, and Identification
3.3. Preparation of Samples and Toxin Extraction
3.4. Tetrodotoxin Analysis
3.5. Statistical Analysis
4. Conclusions
Supplementary Materials
Author Contributions
Funding
Institutional Review Board Statement
Data Availability Statement
Acknowledgments
Conflicts of Interest
References
- Ulman, A.; Yildiz, T.; Demirel, N.; Canak, O.; Yemişken, E.; Pauly, D. The biology and ecology of the invasive silver-cheeked toadfish (Lagocephalus sceleratus), with emphasis on the Eastern Mediterranean. NeoBiota 2021, 68, 145–175. [Google Scholar] [CrossRef]
- Kosker, A.R.; Özogul, F.; Ayas, D.; Durmus, M.; Ucar, Y.; Regenstein, J.M.; Özogul, Y. Tetrodotoxin levels of three pufferfish species (Lagocephalus sp.) caught in the North-Eastern Mediterranean sea. Chemosphere 2019, 219, 95–99. [Google Scholar] [CrossRef]
- Akyol, O.; Ünal, V.; Ceyhan, T.; Bilecenoglu, M. First confirmed record of Lagocephalus sceleratus(Gmelin, 1789) in the Mediterranean Sea. J. Fish Biol. 2005, 66, 1183–1186. [Google Scholar] [CrossRef]
- Kasapidis, P.; Peristeraki, P.; Tserpes, G.; Magoulas, A. First record of the Lessepsian migrant Lagocephalus sceleratus (Gmelin 1789) (Osteichthyes: Tetraodontidae) in the Cretan Sea (Aegean, Greece). Aquat. Invasions 2007, 2, 71–73. [Google Scholar] [CrossRef]
- Jribi, I.; Bradai, M.N. First record of the lessepsian migrant species Lagocephalus sceleratus (Gmelin, 1789) (actinopterygii: Tetraodontidae) in the central mediterranean. BioInvasions Rec. 2012, 1, 49–52. [Google Scholar] [CrossRef]
- Milazzo, M.; Azzurro, E.; Badalamenti, F. On the occurrence of the silverstripe blaasop Lagocephalus sceleratus (Gmelin, 1789) along the Libyan coast. BioInvasions Rec. 2012, 1, 125–127. [Google Scholar] [CrossRef]
- Sulić Šprem, J.; Dobroslavić, T.; Kožul, V.; Kuzman, A.; Dulčić, J. First record of Lagocephalus sceleratus in the Adriatic Sea (Croatian coast), a Lessepsian migrant. Cybium 2014, 38, 147–148. [Google Scholar]
- Rambla-Alegre, M.; Reverté, L.; del Río, V.; de la Iglesia, P.; Palacios, O.; Flores, C.; Caixach, J.; Campbell, K.; Elliott, C.T.; Izquierdo-Muñoz, A.; et al. Evaluation of tetrodotoxins in puffer fish caught along the Mediterranean coast of Spain. Toxin profile of Lagocephalus sceleratus. Environ. Res. 2017, 158, 1–6. [Google Scholar] [CrossRef]
- Azzurro, E.; Castriota, L.; Falautano, M.; Giardina, F.; Andaloro, F. The silver-cheeked toadfish Lagocephalus sceleratus (Gmelin, 1789) reaches Italian waters. J. Appl. Ichthyol. 2014, 30, 1050–1052. [Google Scholar] [CrossRef]
- Guardone, L.; Gasperetti, L.; Maneschi, A.; Ricci, E.; Susini, F.; Guidi, A.; Armani, A. Toxic invasive pufferfish (Tetraodontidae family) along Italian coasts: Assessment of an emerging public health risk. Food Control 2018, 91, 330–338. [Google Scholar] [CrossRef]
- Zenetos, A.; Gofas, S.; Morri, C.; Rosso, A.; Violanti, D.; García Raso, J.E.; Çinar, M.E.; Almogi-Labin, A.; Ates, A.S.; Azzurro, E.; et al. Alien species in the Mediterranean Sea by 2012. A contribution to the application of European Union’s Marine Strategy Framework Directive (MSFD). Part 2. Introduction trends and pathways. Mediterr. Mar. Sci. 2012, 13, 328–352. [Google Scholar] [CrossRef]
- Thiery, A.P.; Shono, T.; Kurokawa, D.; Britz, R.; Johanson, Z.; Fraser, G.J. Spatially restricted dental regeneration drives pufferfish beak development. Proc. Natl. Acad. Sci. USA. 2017, 114, E4425–E4434. [Google Scholar] [CrossRef]
- Turingan, R.G. Ecomorphological relationships among Caribbean tetraodontiform fishes. J. Zool. 1994, 233, 493–521. [Google Scholar] [CrossRef]
- Ünal, V.; Göncüoğlu Bodur, H. The socio-economic impacts of the silver-cheeked toadfish on small-scale fishers: A comparative study from the Turkish coast. Ege J. Fish. Aquat. Sci. 2017, 34, 119–127. [Google Scholar] [CrossRef]
- Ünal, V.; Göncüoğlu, H.; Durgun, D.; Tosunoğlu, Z.; Deval, M.C.; Turan, C. Silver-cheeked toadfish, Lagocephalus sceleratus (Actinopterygii: Tetraodontiformes: Tetraodontidae), causes a substantial economic losses in the Turkish Mediterranean coast: A call for decision makers. Acta Ichthyol. Piscat. 2015, 45, 231–237. [Google Scholar] [CrossRef]
- Kleitou, P.; Moutopoulos, D.K.; Giovos, I.; Kletou, D.; Savva, I.; Cai, L.L.; Hall-Spencer, J.M.; Charitou, A.; Elia, M.; Katselis, G.; et al. Conflicting interests and growing importance of non-indigenous species in commercial and recreational fisheries of the Mediterranean Sea. Fish. Manag. Ecol. 2022, 29, 169–182. [Google Scholar] [CrossRef]
- Katikou, P.; Gokbulut, C.; Kosker, A.R.; Campàs, M.; Ozogul, F. An Updated Review of Tetrodotoxin and Its Peculiarities. Mar. Drugs 2022, 20, 47. [Google Scholar] [CrossRef] [PubMed]
- Bentur, Y.; Spanier, E. Ciguatoxin-like substances in edible fish on the eastern Mediterranean. Clin. Toxicol. 2007, 45, 695–700. [Google Scholar] [CrossRef] [PubMed]
- Kheifets, J.; Rozhavsky, B.; Girsh Solomonovich, Z.; Marianna, R.; Soroksky, A. Severe Tetrodotoxin Poisoning after Consumption of Lagocephalus sceleratus (Pufferfish, Fugu) Fished in Mediterranean Sea, Treated with Cholinesterase Inhibitor. Case Rep. Crit. Care 2012, 2012, 1–3. [Google Scholar] [CrossRef][Green Version]
- Abd Rabou, A.F.N. On the occurrence and health risks of the silver-cheeked Toadfish (Lagocephalus sceleratus Gmelin, 1789) in the marine ecosystem of the Gaza Strip, Palestine. Biodiversitas 2019, 20, 2620–2627. [Google Scholar] [CrossRef]
- Nader, M.; Indary, S.; Boustany, L. The Puffer Fish Lagocephalus Sceleratus (Gmelin, 1789) in the Eastern Mediterranean. Available online: http://www.fao.org/3/ap967e/ap967e.pdf (accessed on 11 August 2023).
- European Commission Regulation (EC) No 853/2004 of the European Parlamient and of the Council. Off. J. Eur. Union 2004, L 139, 55.
- Republic of Türkiye Ministry of Agriculture and Forestry. Hayvansal Gidalar için Özel Hijyen Kurallari Yönetmeliği, Sayı: 28155, 27 Aralık 2011; Canlı çift kabuklu yumuşakçalar için sağlık standartları: Madde 49. Available online: https://www.resmigazete.gov.tr/eskiler/2011/12/20111227-10.htm (accessed on 11 August 2023).
- Jal, S.; Khora, S.S. An overview on the origin and production of tetrodotoxin, a potent neurotoxin. J. Appl. Microbiol. 2015, 119, 907–916. [Google Scholar] [CrossRef] [PubMed]
- Magarlamov, T.Y.; Melnikova, D.I.; Chernyshev, A.V. Tetrodotoxin-producing bacteria: Detection, distribution and migration of the toxin in aquatic systems. Toxins 2017, 9, 166. [Google Scholar] [CrossRef] [PubMed]
- Bane, V.; Lehane, M.; Dikshit, M.; O’Riordan, A.; Furey, A. Tetrodotoxin: Chemistry, toxicity, source, distribution and detection. Toxins 2014, 6, 693–755. [Google Scholar] [CrossRef]
- Wu, Z.; Yang, Y.; Xie, L.; Xia, G.; Hu, J.; Wang, S.; Zhang, R. Toxicity and distribution of tetrodotoxin-producing bacteria in puffer fish Fugu rubripes collected from the Bohai Sea of China. Toxicon 2005, 46, 471–476. [Google Scholar] [CrossRef]
- Noguchi, T.; Arakawa, O.; Takatani, T. TTX accumulation in pufferfish. Comp. Biochem. Physiol.—Part D Genom. Proteom. 2006, 1, 145–152. [Google Scholar] [CrossRef]
- Knutsen, H.K.; Alexander, J.; Barregård, L.; Bignami, M.; Brüschweiler, B.; Ceccatelli, S.; Cottrill, B.; Dinovi, M.; Edler, L.; Grasl-Kraupp, B.; et al. Risks for public health related to the presence of tetrodotoxin (TTX) and TTX analogues in marine bivalves and gastropods. EFSA J. 2017, 15, e04752. [Google Scholar] [CrossRef] [PubMed]
- Kodama, M.; Sato, S.; Sakamoto, S.; Ogata, T. Occurrence of tetrodotoxin in Alexandrium tamarense, a causative dinoflagellate of paralytic shellfish poisoning. Toxicon 1996, 34, 1101–1105. [Google Scholar] [CrossRef]
- Vlamis, A.; Katikou, P.; Rodriguez, I.; Rey, V.; Alfonso, A.; Papazachariou, A.; Zacharaki, T.; Botana, A.M.; Botana, L.M. First detection of tetrodotoxin in greek shellfish by UPLC-MS/MS potentially linked to the presence of the dinoflagellate prorocentrum minimum. Toxins 2015, 7, 1779–1807. [Google Scholar] [CrossRef]
- Rodríguez, I.; Alfonso, A.; Alonso, E.; Rubiolo, J.A.; Roel, M.; Vlamis, A.; Katikou, P.; Jackson, S.A.; Menon, M.L.; Dobson, A.; et al. The association of bacterial C 9 -based TTX-like compounds with Prorocentrum minimum opens new uncertainties about shellfish seafood safety. Sci. Rep. 2017, 7, 40880. [Google Scholar] [CrossRef]
- Reverté, L.; De La Iglesia, P.; Del Río, V.; Campbell, K.; Elliott, C.T.; Kawatsu, K.; Katikou, P.; Diogène, J.; Campàs, M. Detection of Tetrodotoxins in Puffer Fish by a Self-Assembled Monolayer-Based Immunoassay and Comparison with Surface Plasmon Resonance, LC-MS/MS, and Mouse Bioassay. Anal. Chem. 2015, 87, 10839–10847. [Google Scholar] [CrossRef] [PubMed]
- Silva, M.; Azevedo, J.; Rodriguez, P.; Alfonso, A.; Botana, L.M.; Vasconcelos, V. New gastropod vectors and tetrodotoxin potential expansion in temperate waters of the Atlantic Ocean. Mar. Drugs 2012, 10, 712–726. [Google Scholar] [CrossRef] [PubMed]
- Nelson, J.S. Fishes of the World; John Wiley & Sons: Hoboken, NJ, USA, 2006; ISBN 978-0-471-25031-9. [Google Scholar]
- Rodríguez, P.; Alfonso, A.; Otero, P.; Katikou, P.; Georgantelis, D.; Botana, L.M. Liquid chromatography–mass spectrometry method to detect Tetrodotoxin and Its analogues in the puffer fish Lagocephalus sceleratus (Gmelin, 1789) from European waters. Food Chem. 2012, 132, 1103–1111. [Google Scholar] [CrossRef]
- Kosker, A.R.; Özogul, F.; Durmus, M.; Ucar, Y.; Ayas, D.; Šimat, V.; Özogul, Y. First report on TTX levels of the yellow spotted pufferfish (Torquigener flavimaculosus) in the Mediterranean Sea. Toxicon 2018, 148, 101–106. [Google Scholar] [CrossRef]
- Leonardo, S.; Kiparissis, S.; Rambla-Alegre, M.; Almarza, S.; Roque, A.; Andree, K.B.; Christidis, A.; Flores, C.; Caixach, J.; Campbell, K.; et al. Detection of tetrodotoxins in juvenile pufferfish Lagocephalus sceleratus (Gmelin, 1789) from the North Aegean Sea (Greece) by an electrochemical magnetic bead-based immunosensing tool. Food Chem. 2019, 290, 255–262. [Google Scholar] [CrossRef] [PubMed]
- Christidis, G.; Mandalakis, M.; Anastasiou, T.I.; Tserpes, G.; Peristeraki, P.; Somarakis, S. Keeping lagocephalus sceleratus off the table: Sources of variation in the quantity of ttx, ttx analogues, and risk of tetrodotoxication. Toxins 2021, 13, 896. [Google Scholar] [CrossRef]
- Hassoun, A.E.R.; Ujević, I.; Jemaa, S.; Roje-Busatto, R.; Mahfouz, C.; Fakhri, M.; Nazlić, N. Concentrations of Tetrodotoxin (TTX) and Its Analogue 4,9-Anhydro TTX in Different Tissues of the Silver-Cheeked Pufferfish (Lagocephalus sceleratus, Gmelin, 1789) Caught in the South-Eastern Mediterranean Sea, Lebanon. Toxins 2022, 14, 123. [Google Scholar] [CrossRef]
- Katikou, P.; Georgantelis, D.; Sinouris, N.; Petsi, A.; Fotaras, T. First report on toxicity assessment of the Lessepsian migrant pufferfish Lagocephalus sceleratus (Gmelin, 1789) from European waters (Aegean Sea, Greece). Toxicon 2009, 54, 50–55. [Google Scholar] [CrossRef]
- Kosker, A.R.; Özogul, F.; Durmus, M.; Ucar, Y.; Ayas, D.; Regenstein, J.M.; Özogul, Y. Tetrodotoxin levels in pufferfish (Lagocephalus sceleratus) caught in the Northeastern Mediterranean Sea. Food Chem. 2016, 210, 332–337. [Google Scholar] [CrossRef]
- Acar, C.; Ishizaki, S.; Nagashima, Y. Toxicity of the Lessepsian pufferfish Lagocephalus sceleratus from eastern Mediterranean coasts of Türkiye and species identification by rapid PCR amplification. Eur Food Res Technol 2017, 243, 49–57. [Google Scholar] [CrossRef]
- Akbora, H.D.; Kunter, İ.; Erçeti N, T.; Elagöz, A.M.; Çiçek, B.A. Determination of tetrodotoxin (TTX) levels in various tissues of the silver cheeked puffer fish (Lagocephalus sceleratus (Gmelin, 1789)) in Northern Cyprus Sea (Eastern Mediterranean). Toxicon 2020, 175, 1–6. [Google Scholar] [CrossRef] [PubMed]
- Malloggi, C.; Rizzo, B.; Giusti, A.; Guardone, L.; Gasperetti, L.; Dall’Ara, S.; Armani, A. First Toxicological Analysis of the Pufferfish Sphoeroides pachygaster Collected in Italian Waters (Strait of Sicily): Role of Citizens Science in Monitoring Toxic Marine Species. Animals 2023, 13, 1873. [Google Scholar] [CrossRef]
- Bentur, Y.; Ashkar, J.; Lurie, Y.; Levy, Y.; Azzam, Z.S.; Litmanovich, M.; Golik, M.; Gurevych, B.; Golani, D.; Eisenman, A. Lessepsian migration and tetrodotoxin poisoning due to Lagocephalus sceleratus in the eastern Mediterranean. Toxicon 2008, 52, 964–968. [Google Scholar] [CrossRef] [PubMed]
- Chamandi, S.C.; Kallab, K.; Mattar, H.; Nader, E. Human Poisoning after ingestion of puffer fish caught from Mediterranean sea. Middle East J. Anesthesiol. 2009, 20, 285–288. [Google Scholar] [PubMed]
- Ministry of Health, Labour and Welfare of Japan. Natural Toxin Risk Profile: Fish: Pufferfish Toxin. Available online: https://www.mhlw.go.jp/topics/syokuchu/poison/animal_det_01.html (accessed on 11 August 2023).
- Alkassar, M.; Sanchez-Henao, A.; Reverté, J.; Barreiro, L.; Rambla-Alegre, M.; Leonardo, S.; Mandalakis, M.; Peristeraki, P.; Diogène, J.; Campàs, M. Evaluation of Toxicity Equivalency Factors of Tetrodotoxin Analogues with a Neuro-2a Cell-Based Assay and Application to Puffer Fish from Greece. Mar. Drugs 2023, 21, 432. [Google Scholar] [CrossRef]
- Anastasiou, T.I.; Kagiampaki, E.; Kondylatos, G.; Tselepides, A.; Peristeraki, P.; Mandalakis, M. Assessing the Toxicity of Lagocephalus sceleratus Pufferfish from the Southeastern Aegean Sea and the Relationship of Tetrodotoxin with Gonadal Hormones. Mar. Drugs 2023, 21, 520. [Google Scholar] [CrossRef]
- Ujević, I.; Roje-Busatto, R.; Dragičević, B.; Dulčić, J. Tetrodotoxin in Invasive Silver-cheeked Toadfish Lagocephalus sceleratus (Gmelin, 1789) in the Adriatic Sea. Handb. Environ. Chem. 2021, 110, 141–149. [Google Scholar] [CrossRef]
- Farrag, M.M.S.; El-Haweet, A.E.A.K.; Osman, A.G.M.; Akel, E.S.K.A.; Moustafa, M.A. Reproductive behaviour of the silver-stripe blaasop; lagocephalus sceleratus (Gmelin, 1789) from the mediterranean coast, egypt. Egypt. J. Aquat. Biol. Fish. 2019, 23, 441–454. [Google Scholar] [CrossRef][Green Version]
- El-Sayed, M.; Yacout, G.A.; El-Samra, M.; Ali, A.; Kotb, S.M. Toxicity of the Red Sea pufferfish Pleuranacanthus sceleratus “El-Karad. ” Ecotoxicol. Environ. Saf. 2003, 56, 367–372. [Google Scholar] [CrossRef]
- Hwang, D.F.; Noguchi, T. Tetrodotoxin Poisoning. Adv. Food Nutr. Res. 2007, 52, 141–236. [Google Scholar] [CrossRef]
- Yu, C.F.; Yu, P.H.F. The annual toxicological profiles of two common puffer fish, Takifugu niphobles (Jordan and Snyder) and Takifugu alboplumbeus (Richardson), collected along Hong Kong coastal waters. Toxicon 2002, 40, 313–316. [Google Scholar] [CrossRef] [PubMed]
- Kawabata, T. The Manual for the Methods of Food Sanitation Tests; Japan Food Hygiene Association, Environmental Health Bureau: Tokyo, Japan, 1978. [Google Scholar]
- Köşker, A.R.; Özoğul, F.; Ayas, D.; Durmuş, M.; Uçar, Y. The new toxin of Mediterranean:Tetrodotoxin. Ege J. Fish. Aquat. Sci. 2015, 32, 15–24. [Google Scholar] [CrossRef]
- Finch, S.C.; Boundy, M.J.; Harwood, D.T. The acute toxicity of tetrodotoxin and tetrodotoxin–saxitoxin mixtures to mice by various routes of administration. Toxins 2018, 10, 423. [Google Scholar] [CrossRef] [PubMed]
- Finch, S.C.; Webb, N.G.; Boundy, M.J.; Harwood, D.T.; Munday, J.S.; Sprosen, J.M.; Somchit, C.; Broadhurst, R.B. A Sub-Acute Dosing Study of Saxitoxin and Tetrodotoxin Mixtures in Mice Suggests That the Current Paralytic Shellfish Toxin Regulatory Limit Is Fit for Purpose. Toxins 2023, 15, 437. [Google Scholar] [CrossRef] [PubMed]
- Bane, V.; Hutchinson, S.; Sheehan, A.; Brosnan, B.; Barnes, P.; Lehane, M.; Furey, A. LC-MS/MS method for the determination of tetrodotoxin (TTX) on a triple quadruple mass spectrometer. Food Addit. Contam.—Part A Chem. Anal. Control. Expo. Risk Assess. 2016, 33, 1728–1740. [Google Scholar] [CrossRef]
- Bucciarelli, G.M.; Lechner, M.; Fontes, A.; Kats, L.B.; Eisthen, H.L.; Shaffer, H.B. From poison to promise: The evolution of tetrodotoxin and its potential as a therapeutic. Toxins 2021, 13, 517. [Google Scholar] [CrossRef]



| Months | Gender | Length (cm) | Weight (g) |
|---|---|---|---|
| February | ♀ | 51.6 ± 2.96 | 1467.4 ± 253.49 |
| ♂ | 49.5 ± 3.73 | 1309.8 ± 339.97 | |
| March | ♀ | 52.9 ± 11.79 | 1702.7 ± 1058.14 |
| ♂ | 52.5 ± 1.19 | 1665.4 ± 320.84 | |
| April | ♀ | 54.5 ± 2.33 | 2062.2 ± 431.56 |
| ♂ | 47.8 ± 1.63 | 1338.0 ± 249.61 | |
| May | ♀ | 39.5 ± 1.95 | 750.9 ± 82.27 |
| ♂ | 49.0 ± 6.07 | 1595.0 ± 539.36 | |
| June | ♀ | 45.6 ± 1.45 | 1110.7 ± 110.86 |
| ♂ | 40.9 ± 6.33 | 835.5 ± 396.92 | |
| July | ♀ | 52.6 ± 2.99 | 1870.7 ± 472.26 |
| ♂ | 41.1 ± 1.15 | 715.2 ± 331.30 | |
| August | ♀ | 54.4 ± 4.48 | 1941.2 ± 305.86 |
| ♂ | 44.2 ± 8.01 | 951.8 ± 326.46 | |
| September | ♀ | 45.5 ± 5.69 | 1146.7 ± 484.61 |
| ♂ | 47.3 ± 1.60 | 1243.3 ± 83.26 | |
| October | ♀ | 53.0 ± 1.78 | 1664.1 ± 173.40 |
| ♂ | 44.5 ± 3.90 | 1048.8 ± 281.14 | |
| November | ♀ | 42.3 ± 0.46 | 844.9 ± 20.68 |
| ♂ | 49.2 ± 0.44 | 1260.1 ± 57.30 | |
| December | ♀ | 46.4 ± 3.26 | 1112.4 ± 323.96 |
| ♂ | 49.4 ± 8.01 | 1403.99 ± 445.84 | |
| Overall (n = 110) | ♀ | 47.8 ± 4.66 | 1316.0 ± 400.45 |
| ♂ | 47.7 ± 4.60 | 1313.0 ± 399.49 |
| Months | Gender | N | Muscle | Liver | Gonad |
|---|---|---|---|---|---|
| February | ♀ | 5 | 2.8 ± 0.04 e,x | 8.1 ± 0.34 f,y | 21.0 ± 0.87 c,x |
| ♂ | 5 | 1.3 ± 0.03 f,y | 21.6 ± 6.44 a,x | 20.2 ± 1.86 bc,x | |
| March | ♀ | 5 | 1.5 ± 0.29 f,y | 0.8 ± 0.03 h,y | 6.8 ± 0.89 d,x |
| ♂ | 5 | 3.6 ± 1.08 bc,x | 15.8 ± 4.37 b,x | 6.4 ± 0.85 de,x | |
| April | ♀ | 5 | 5.6 ± 0.14 b,x | 13.7 ± 0.09 d,x | 25.0 ± 0.12 c,x |
| ♂ | 5 | 3.8 ± 0.01 b,y | 7.6 ± 1.28 cd,y | 2.7 ± 0.00 e,y | |
| May | ♀ | 5 | 3.5 ± 0.49 d,x | 7.4 ± 0.45 f,x | 16.2 ± 1.42 cd,x |
| ♂ | 5 | 2.6 ± 0.06 de,y | 9.4 ± 1.26 cd,x | 1.4 ± 0.07 e,y | |
| June | ♀ | 5 | 4.0 ± 0.36 d,x | 14.4 ± 1.42 cd,x | 8.6 ± 0.76 d,x |
| ♂ | 5 | 3.7 ± 0.37 b,x | 9.2 ± 0.57 cd,y | 3.5 ± 0.06 e,y | |
| July | ♀ | 5 | 2.5 ± 0.68 e,x | 11.1 ± 0.64 e,x | 7.5 ± 0.43 d,y |
| ♂ | 5 | 2.9 ± 0.32 cd,x | 7.2 ± 1.09 cd,y | 25.9 ± 5.70 b,x | |
| August | ♀ | 5 | 4. 8 ± 0.11 c,x | 16.8 ± 1.67 bc,x | 23.8 ± 0.80 c,x |
| ♂ | 5 | 2.6 ± 0.22 de,y | 12.0 ± 1.15 bc,y | 19.3 ± 6.53 bc,x | |
| September | ♀ | 5 | 3.7 ± 0.06 d,x | 14.9 ± 0.55 bcd,x | 38.2 ± 5.48 b,x |
| ♂ | 5 | 2.8 ± 0.41 d,y | 11.8 ± 0.16 bc,y | 9.7 ± 1.27 de,y | |
| October | ♀ | 5 | 1.5 ± 0.15 f,y | 3.5 ± 0.75 g,y | 9.0 ± 3.69 d,x |
| ♂ | 5 | 1.9 ± 0.01 ef,x | 5.8 ± 0.52 d,x | 7.6 ± 1.20 de,y | |
| November | ♀ | 5 | 5.5 ± 0.18 b,x | 17.4 ± 3.11 b,y | 65.9 ± 3.34 a,x |
| ♂ | 5 | 5.9 ± 0.30 a,x | 25.3 ± 2.48 a,x | 68.2 ± 11.40 a,x | |
| December | ♀ | 5 | 7.8 ± 0.07 a,x | 34.2 ± 2.63 a,x | 44.2 ± 15.61 b,x |
| ♂ | 5 | 6.0 ± 0.37 a,y | 15.6 ± 1.22 b,y | 12.9 ± 0.21 cd,y | |
| Overall | ♀ | 55 | 3.9 ± 1.92 | 12.9 ± 8.88 | 24.4 ± 19.13 |
| ♂ | 55 | 3.4 ± 1.49 | 12.9 ± 6.19 | 15.9 ± 18.36 |
| Region | Muscle | Gonads | Liver | N | Analysis Method | Reference |
|---|---|---|---|---|---|---|
| Aegean Sea | <0.3–3.5 | 0.5–46.3 | <0.3–44.2 | 43 | LC-ESI-CID-MS/MS | Rodríguez et al. [36] |
| ND | 4.8 | 8.1 | 2 | LC-MS/MS | Reverté et al. [33] | |
| 0.5–2.1 | NA | NA | 2 | LC-HRMS | Leonardo et al. [38] | |
| 0.2–21.7 | 1.2–85.2 | 1.1–239.8 | 37 | LC-MS/MS | Anastasiou et al. [50] | |
| North–East Mediterranean | ND–2.8 | 0.4–52.1 | ND–46.2 | 16 | LC-MS/MS | Kosker et al. [42] |
| 0.7–5.1 | 0.7–35.6 | 0.9–21.1 | 20 | Q-TOF LC-MS | Kosker et al. [2] | |
| East Mediterranean | 0.1–0.6 | 0.3–253.0 | 1.4–46. 7 | 3 | LC-MS/MS | Hassoun et al. [40] |
| 0.1–3.4 | 0.2–80.0 | 0.1–25.4 | 20 | LC-MS/MS | Acar et al. [43] | |
| West Mediterranean | 1.0 | 26.0 | 3.1 | 1 | LC-MS/MS | Rambla-Alegre et al. [8] |
| 1.0 | 25.2 | 5.4 | 1 | LC-HRMS | Rambla-Alegre et al. [8] | |
| South Mediterranean | 0.0–20.7 | 0.3–189.0 | 0.0–104.41 | 83 | LC-MS/MS | Christidis et al. [39] |
| 7.6–36.5 | 2.1–1324.4 | 38.9–188.2 | 3 | LC-MS/MS | Alkassar et al. [49] | |
| Antalya Bay | 1.3–7.8 | 1.4–68.2 | 0.8–34.2 | 110 | Q-TOF LC-MS | Present Study |
Disclaimer/Publisher’s Note: The statements, opinions and data contained in all publications are solely those of the individual author(s) and contributor(s) and not of MDPI and/or the editor(s). MDPI and/or the editor(s) disclaim responsibility for any injury to people or property resulting from any ideas, methods, instructions or products referred to in the content. |
© 2023 by the authors. Licensee MDPI, Basel, Switzerland. This article is an open access article distributed under the terms and conditions of the Creative Commons Attribution (CC BY) license (https://creativecommons.org/licenses/by/4.0/).
Share and Cite
Kosker, A.R.; Karakus, M.; Katikou, P.; Dal, İ.; Durmus, M.; Ucar, Y.; Ayas, D.; Özogul, F. Monthly Variation of Tetrodotoxin Levels in Pufferfish (Lagocephalus sceleratus) Caught from Antalya Bay, Mediterranean Sea. Mar. Drugs 2023, 21, 527. https://doi.org/10.3390/md21100527
Kosker AR, Karakus M, Katikou P, Dal İ, Durmus M, Ucar Y, Ayas D, Özogul F. Monthly Variation of Tetrodotoxin Levels in Pufferfish (Lagocephalus sceleratus) Caught from Antalya Bay, Mediterranean Sea. Marine Drugs. 2023; 21(10):527. https://doi.org/10.3390/md21100527
Chicago/Turabian StyleKosker, Ali Rıza, Merve Karakus, Panagiota Katikou, İsmail Dal, Mustafa Durmus, Yılmaz Ucar, Deniz Ayas, and Fatih Özogul. 2023. "Monthly Variation of Tetrodotoxin Levels in Pufferfish (Lagocephalus sceleratus) Caught from Antalya Bay, Mediterranean Sea" Marine Drugs 21, no. 10: 527. https://doi.org/10.3390/md21100527
APA StyleKosker, A. R., Karakus, M., Katikou, P., Dal, İ., Durmus, M., Ucar, Y., Ayas, D., & Özogul, F. (2023). Monthly Variation of Tetrodotoxin Levels in Pufferfish (Lagocephalus sceleratus) Caught from Antalya Bay, Mediterranean Sea. Marine Drugs, 21(10), 527. https://doi.org/10.3390/md21100527

