Structure Revision of Penipacids A–E Reveals a Putative New Cryptic Natural Product, N-aminoanthranilic Acid, with Potential as a Transcriptional Regulator of Silent Secondary Metabolism
Abstract
:1. Introduction
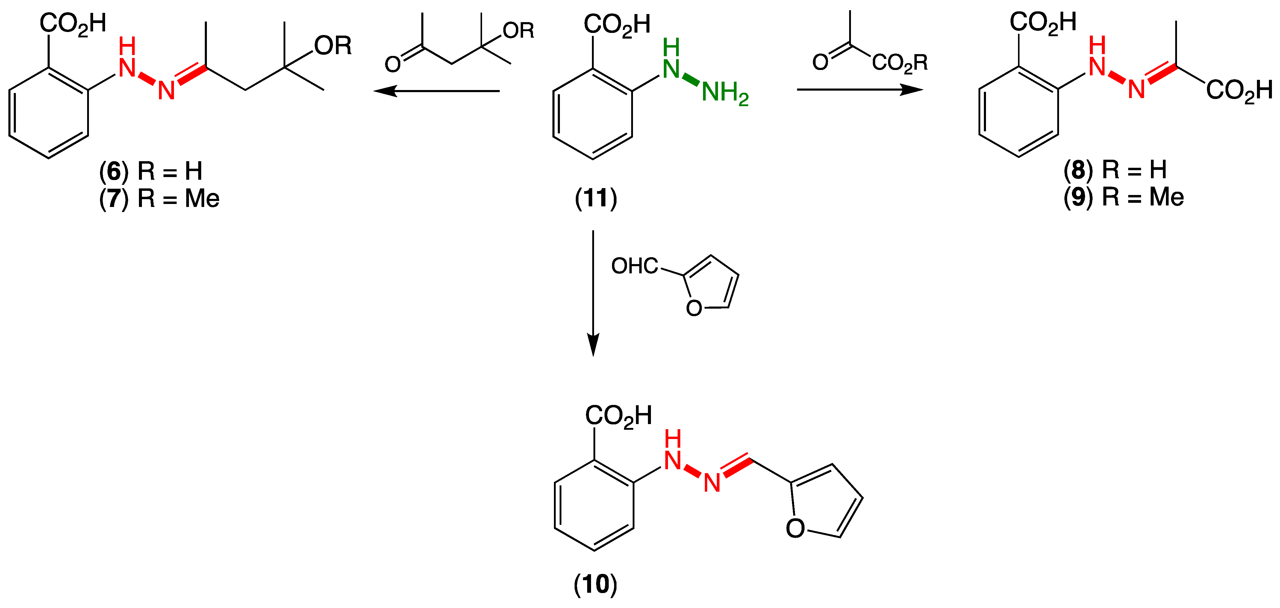
2. Results
- (i)
- In 1978, Minato et al. described a γ-glutamylphenylhydrazine anthglutin (17) from a Japanese fungus Pencillium oxalicum SANK 10477—a potential conjugate of 11 and l-homoserine [6];
- (ii)
- In 2011, Che et al. reported the phenylhydrazone farylhydrazones A (18) and B (19) from a Tibetan Cordyceps-colonising fungus Isaria farinose—potential Schiff base adducts of 11 and pyruvylglycine and pyruvic acid, respectively [7]. Note that the revised structure for penipacid C (8) is now identical to farylhydrazone B (19);
- (iii)
- In 2012, Ishibashi et al. reported the 2-azoquinone-phenylhydrazine katorazone (20) from a Japanese soil-derived Streptomyces sp. IFM 11299—a potential Schiff base adduct of 11 with the known fungal metabolite utahmycin A, which was coincidentally reported to be a cometabolite with 20 [8];
- (iv)
- In 2013, Zou et al. reported the first natural occurrence of N-acetyl-hydrazinobenzoic acid (21) from a Chinese endophytic fungus Pencillium citrinum—the N-acetate of 11 [9];
- (v)
- In 2016, Zhu et al. reported farylhydrazone C (22), along with 19 and 21 from an Antarctic soil-derived Penicillium sp. HDN14-431—potentially a Schiff base adduct of 11 with dimethylglyoxal, where the latter is known to be produced during thermal processing of carbohydrate-rich foods and as such could be a media constituent induced during authoclaving [10];
- (vi)
- In 2019, Jiao et al. reported the aromatic polyketide murayaquinone C (23) from the ant gut-derived Streptomyces sp. NA4286—a potential Schiff base adduct between 11 and a suitably substituted anthraquinone [11].
3. Materials and Methods
3.1. General Experimental Procedures
3.2. Synthesis of Penipacids
3.3. Antibacterial Assay
3.4. Antifungal Assay
3.5. Cytotoxicity (MTT) Assay
3.6. Activation Studies
Supplementary Materials
Author Contributions
Funding
Acknowledgments
Conflicts of Interest
References
- Li, C.-S.; Li, X.-M.; Gao, S.-S.; Lu, Y.H.; Wang, B.-G. Cytotoxic anthranilic acid derivatives from deep sea sediment-derived fungus Penicillium paneum SD-44. Mar. Drugs 2013, 11, 3068–3076. [Google Scholar] [CrossRef] [PubMed]
- Dang, T.; Suchy, M.; Truong, Y.J.; Oakden, W.; Lam, W.W.; Lazurko, C.; Facey, G.; Stanisz, G.J.; Shuhendler, A.J. Hydrazo-CEST: Hydrazone-dependent chemical exchange saturation transfer magnetic resonance imaging contrast agents. Chem. Eur. J. 2018, 24, 9148–9156. [Google Scholar] [CrossRef] [PubMed]
- Mohamed, O.G.; Mohamed, O.G.; Khalil, Z.G.; Capon, R.J. Prolinimines: N-Amino-l-proline methyl ester (hydrazine) Schiff bases from a fish gastrointestinal tract-derived fungus, Trichoderma sp. CMB-F563. Org. Lett. 2018, 20, 377–380. [Google Scholar] [CrossRef] [PubMed]
- Mohamed, O.G.; Khalil, Z.G.; Capon, R.J. N-Amino-l-proline methyl ester from an Australian fish gut-derived fungus: Challenging the distinction between natural product and artifact. Marine Drugs 2021, 19, 151. [Google Scholar] [CrossRef] [PubMed]
- Capon, R.J. Extracting value: Mechanistic insights into the formation of natural product artifacts-case studies in marine natural products. Nat. Prod. Rep. 2020, 37, 55–79. [Google Scholar] [CrossRef] [PubMed]
- Minato, S. Isolation of anthglutin, an inhibitor of γ-glutamyl transpeptidase from Penicillum oxalicum. Arch. Biochem. Biophys. 1979, 192, 235–240. [Google Scholar] [CrossRef]
- Ma, C.; Li, Y.; Niu, S.; Zhang, H.; Liu, X.; Che, Y. N-Hydroxypyridones, phenylhydrazones, and a quinazolinone from Isaria farinosa. J. Nat. Prod. 2011, 74, 32–37. [Google Scholar] [CrossRef] [PubMed]
- Abdelfattah, M.S.; Toume, K.; Arai, M.A.; Masu, H.; Ishibashi, M. Katorazone, a new yellow pigment with a 2-azaquinone-phenylhydrazone structure produced by Streptomyces sp. IFM 11299. Tet. Letts. 2012, 53, 3346–3348. [Google Scholar] [CrossRef]
- Li, X.; Zhang, L.; Liu, Y.; Guo, Z.; Deng, Z.; Chen, J.; Tu, X.; Zou, K. A new metabolite from the endophytic fungus Penicillium citrinum. Nat. Prod. Commun. 2013, 8, 587–588. [Google Scholar] [CrossRef] [Green Version]
- Zhang, T.; Zhu, M.-L.; Sun, G.-Y.; Li, N.; Gu, Q.-Q.; Li, D.-H.; Che, Q.; Zhu, T.-J. Exopisiod B and farylhydrazone C, two new alkaloids from the Antarctic-derived fungus Penicillium sp. HDN14-431. J. Asian Nat. Prod. Res. 2016, 18, 959–965. [Google Scholar] [CrossRef] [PubMed]
- Cheng, P.; Xu, K.; Chen, Y.C.; Wang, T.T.; Chen, Y.; Yang, C.L.; Ma, S.Y.; Liang, Y.; Ge, H.M.; Jiao, R.H. Cytotoxic aromatic polyketides from an insect derived Streptomyces sp. NA4286. Tet. Letts. 2019, 60, 1706–1709. [Google Scholar] [CrossRef]
- Khalil, Z.G.; Cruz-Morales, P.; Licona-Cassani, C.; Marcellin, E.; Capon, R.J. Inter-Kingdom beach warfare: Microbial chemical communication activates natural chemical defences. ISME J. 2019, 13, 147–158. [Google Scholar] [CrossRef] [PubMed]
- Kopp-Holtwiesche, B.; Rehm, H.J. Antimicrobial action of roquefortine. J. Environ. Pathol. Toxicol. Oncol. 1990, 10, 41–44. [Google Scholar] [PubMed]
- Aninat, C.; Hayashi, Y.; Andre, F.; Delaforge, M. Molecular requirements for inhibition of cytochrome P450 activities by roquefortine. Chem. Res. Toxicol. 2001, 14, 1259–1265. [Google Scholar] [CrossRef] [PubMed]
- Clark, B.; Capon, R.J.; Lacey, E.; Tennant, S.; Gill, J.H. Roquefortine E, a diketopiperazine from an Australian isolate of Gymnoascus reessii. J. Nat. Prod. 2005, 68, 1661–1664. [Google Scholar] [CrossRef] [PubMed]
- Koizumi, Y.; Arai, M.; Tomoda, H.; Omura, S. Oxaline, a fungal alkaloid, arrests the cell cycle in M phase by inhibition of tubulin polymerization. Biochim. Biophys. Acta Mol. Cell Res. 2004, 1693, 47–55. [Google Scholar] [CrossRef] [PubMed] [Green Version]
- Elbanna, A.H.; Khalil, Z.G.; Bernhardt, P.V.; Capon, R.J. Neobulgarones revisited: Anti and syn bianthrones from an Australian mud dauber wasp nest-associated fungus, Penicillium sp. CMB-MD22. J. Nat. Prod. 2021, 84, 762–770. [Google Scholar] [CrossRef] [PubMed]






Publisher’s Note: MDPI stays neutral with regard to jurisdictional claims in published maps and institutional affiliations. |
© 2022 by the authors. Licensee MDPI, Basel, Switzerland. This article is an open access article distributed under the terms and conditions of the Creative Commons Attribution (CC BY) license (https://creativecommons.org/licenses/by/4.0/).
Share and Cite
Khalil, Z.G.; Kankanamge, S.; Capon, R.J. Structure Revision of Penipacids A–E Reveals a Putative New Cryptic Natural Product, N-aminoanthranilic Acid, with Potential as a Transcriptional Regulator of Silent Secondary Metabolism. Mar. Drugs 2022, 20, 339. https://doi.org/10.3390/md20060339
Khalil ZG, Kankanamge S, Capon RJ. Structure Revision of Penipacids A–E Reveals a Putative New Cryptic Natural Product, N-aminoanthranilic Acid, with Potential as a Transcriptional Regulator of Silent Secondary Metabolism. Marine Drugs. 2022; 20(6):339. https://doi.org/10.3390/md20060339
Chicago/Turabian StyleKhalil, Zeinab G., Sarani Kankanamge, and Robert J. Capon. 2022. "Structure Revision of Penipacids A–E Reveals a Putative New Cryptic Natural Product, N-aminoanthranilic Acid, with Potential as a Transcriptional Regulator of Silent Secondary Metabolism" Marine Drugs 20, no. 6: 339. https://doi.org/10.3390/md20060339
APA StyleKhalil, Z. G., Kankanamge, S., & Capon, R. J. (2022). Structure Revision of Penipacids A–E Reveals a Putative New Cryptic Natural Product, N-aminoanthranilic Acid, with Potential as a Transcriptional Regulator of Silent Secondary Metabolism. Marine Drugs, 20(6), 339. https://doi.org/10.3390/md20060339

