Exploring Marine as a Rich Source of Bioactive Peptides: Challenges and Opportunities from Marine Pharmacology
Abstract
1. Introduction
2. Review of Methodological Approach: Inclusion/Exclusion Criteria
3. Marine Biome—A Rich Source of MBPs
4. Marine Bioactive Peptides (MBPs)
5. Bioactivities—An Overview
6. FDA-Approved MBPs in the Market and Clinical Trials
7. Sustainable Development Goals (SDGs) and Legislation to Valorize Marine Biome
8. Conclusions, Current Challenges, and Future Considerations
Supplementary Materials
Funding
Institutional Review Board Statement
Informed Consent Statement
Data Availability Statement
Acknowledgments
Conflicts of Interest
References
- Centella, M.H.; Arévalo-Gallegos, A.; Parra-Saldivar, R.; Iqbal, H.M. Marine-derived bioactive compounds for value-added applications in bio-and non-bio sectors. J. Clean. Prod. 2017, 168, 1559–1565. [Google Scholar] [CrossRef]
- Sosa-Hernández, J.E.; Escobedo-Avellaneda, Z.; Iqbal, H.; Welti-Chanes, J. State-of-the-art extraction methodologies for bioactive compounds from algal biome to meet bio-economy challenges and opportunities. Molecules 2018, 23, 2953. [Google Scholar] [CrossRef] [PubMed]
- DeVierno Kreuder, A.; House-Knight, T.; Whitford, J.; Ponnusamy, E.; Miller, P.; Jesse, N.; Rodenborn, R.; Sayag, S.; Gebel, M.; Aped, I.; et al. A method for assessing greener alternatives between chemical products following the 12 principles of green chemistry. ACS Sustain. Chem. Eng. 2017, 5, 2927–2935. [Google Scholar] [CrossRef]
- Wang, X.; Yu, H.; Xing, R.; Li, P. Characterization, preparation, and purification of marine bioactive peptides. BioMed Res. Int. 2017, 2017, 9746720. [Google Scholar] [CrossRef]
- Li, D.; Liao, X.; Zhong, S.; Zhao, B.; Xu, S. Synthesis of Marine Cyclopeptide Galaxamide Analogues as Potential Anticancer Agents. Mar. Drugs 2022, 20, 158. [Google Scholar] [CrossRef]
- Tyagi, A.; Tuknait, A.; Anand, P.; Gupta, S.; Sharma, M.; Mathur, D.; Joshi, A.; Singh, S.; Gautam, A.; Raghava, G.P. CancerPPD: A database of anticancer peptides and proteins. Nucleic Acids Res. 2015, 43, D837–D843. [Google Scholar] [CrossRef]
- Delattre, C.; Pierre, G.; Laroche, C.; Michaud, P. Production, extraction and characterization of microalgal and cyanobacterial exopolysaccharides. Biotechnol. Adv. 2016, 34, 1159–1179. [Google Scholar] [CrossRef]
- Al-Dhafri, K.S.; Ching, C.L. Isolation and Characterization of Antimicrobial Peptides Isolated from Fagonia bruguieri. Appl. Biochem. Biotechnol. 2022, 1–14. [Google Scholar] [CrossRef]
- Hernández, Y.; Lobo, M.G.; González, M. Factors affecting sample extraction in the liquid chromatographic determination of organic acids in papaya and pineapple. Food Chem. 2009, 114, 734–741. [Google Scholar] [CrossRef]
- Hamayeli, H.; Hassanshahian, M.; Hesni, M.A. Identification of Bioactive Compounds and Evaluation of the Antimicrobial and Anti-biofilm Effect of Psammocinia sp. and Hyattella sp. Sponges from the Persian Gulf. Thalass. Int. J. Mar. Sci. 2021, 37, 357–366. [Google Scholar] [CrossRef]
- Lim, S.M.; Agatonovic-Kustrin, S.; Lim, F.T.; Ramasamy, K. High-performance thin layer chromatography-based phytochemical and bioactivity characterisation of anticancer endophytic fungal extracts derived from marine plants. J. Pharm. Biomed. Anal. 2021, 193, 113702. [Google Scholar] [CrossRef] [PubMed]
- Nguyen, T.T.; Heimann, K.; Zhang, W. Protein Recovery from Underutilised Marine Bioresources for Product Development with Nutraceutical and Pharmaceutical Bioactivities. Mar. Drugs 2020, 18, 391. [Google Scholar] [CrossRef] [PubMed]
- Cheung RC, F.; Ng, T.B.; Wong, J.H. Marine peptides: Bioactivities and applications. Mar. Drugs 2015, 13, 4006–4043. [Google Scholar] [CrossRef] [PubMed]
- De Morais, M.G.; Vaz BD, S.; de Morais, E.G.; Costa, J.A.V. Biologically active metabolites synthesized by microalgae. BioMed Res. Int. 2015, 2015, 835761. [Google Scholar] [CrossRef]
- Talero, E.; García-Mauriño, S.; Ávila-Román, J.; Rodríguez-Luna, A.; Alcaide, A.; Motilva, V. Bioactive compounds isolated from microalgae in chronic inflammation and cancer. Mar. Drugs 2015, 13, 6152–6209. [Google Scholar] [CrossRef]
- Rosenthal, A.; Pyle, D.L.; Niranjan, K. Aqueous and enzymatic processes for edible oil extraction. Enzym. Microb. Technol. 1996, 19, 402–420. [Google Scholar] [CrossRef]
- Sánchez, A.; Vázquez, A. Bioactive peptides: A review. Food Qual. Saf. 2017, 1, 29–46. [Google Scholar] [CrossRef]
- Möller, N.P.; Scholz-Ahrens, K.E.; Roos, N.; Schrezenmeir, J. Bioactive peptides and proteins from foods: Indication for health effects. Eur. J. Nutr. 2008, 47, 171–182. [Google Scholar] [CrossRef]
- Chi, C.F.; Hu, F.Y.; Wang, B.; Li, T.; Ding, G.F. Antioxidant and anticancer peptides from the protein hydrolysate of blood clam (Tegillarca granosa) muscle. J. Funct. Foods 2015, 15, 301–313. [Google Scholar] [CrossRef]
- Jose, D.T.; Uma, C.; Sivagurunathan, P.; Aswini, B.; Dinesh, M.D. Extraction and antibacterial evaluation of marine AMPs against diabetic wound pathogens. J. Appl. Pharm. Sci. 2020, 10, 087–092. [Google Scholar]
- Ucak, I.; Afreen, M.; Montesano, D.; Carrillo, C.; Tomasevic, I.; Simal-Gandara, J.; Barba, F.J. Functional and bioactive properties of peptides derived from marine side streams. Mar. Drugs 2021, 19, 71. [Google Scholar] [CrossRef] [PubMed]
- Zhang, Q.T.; Liu, Z.D.; Wang, Z.; Wang, T.; Wang, N.; Wang, N.; Zhang, B.; Zhao, Y.F. Recent Advances in Small Peptides of Marine Origin in Cancer Therapy. Mar. Drugs 2021, 19, 115. [Google Scholar] [CrossRef] [PubMed]
- Safronova, V.N.; Panteleev, P.V.; Sukhanov, S.V.; Toropygin, I.Y.; Bolosov, I.A.; Ovchinnikova, T.V. Mechanism of Action and Therapeutic Potential of the β-Hairpin Antimicrobial Peptide Capitellacin from the Marine Polychaeta Capitella teleta. Mar. Drugs 2022, 20, 167. [Google Scholar] [CrossRef]
- Zeng, Z.; Wang, Y.; Anwar, M.; Hu, Z.; Wang, C.; Lou, S.; Li, H. Molecular cloning and expression analysis of mytilin-like antimicrobial peptides from Asian green mussel Perna viridis. Fish Shellfish Immunol. 2022, 121, 239–244. [Google Scholar] [CrossRef]
- Olivera, B.M. Biodiversity-based Discovery and Exogenomics. J. Biol. Chem. 2006, 281, 31173–31177. [Google Scholar]
- Morlighem, J.É.R.; Radis-Baptista, G. The place for enzymes and biologically active peptides from marine organisms for application in industrial and pharmaceutical biotechnology. Curr. Protein Pept. Sci. 2019, 20, 334–355. [Google Scholar] [CrossRef]
- Messina, C.M.; Manuguerra, S.; Arena, R.; Renda, G.; Ficano, G.; Randazzo, M.; Fricano, S.; Sadok, S.; Santulli, A. In Vitro Bioactivity of Astaxanthin and Peptides from Hydrolisates of Shrimp (Parapenaeus longirostris) By-Products: From the Extraction Process to Biological Effect Evaluation, as Pilot Actions for the Strategy “From Waste to Profit”. Mar. Drugs 2021, 19, 216. [Google Scholar] [CrossRef]
- Dahiya, R.; Rampersad, S.; Ramnanansingh, T.G.; Kaur, K.; Kaur, R.; Mourya, R.; Chennupati, S.V.; Fairman, R.; Jalsa, N.K.; Sharma, A.; et al. Synthesis and Bioactivity of a Cyclopolypeptide from Caribbean Marine Sponge. Iran. J. Pharm. Res. IJPR 2020, 19, 156. [Google Scholar]
- Leisch, M.; Egle, A.; Greil, R. Plitidepsin: A potential new treatment for relapsed/refractory multiple myeloma. Future Oncol. 2019, 15, 109–120. [Google Scholar] [CrossRef]
- Nowruzi, B.; Blanco, S.; Nejadsattari, T. Chemical and molecular evidences for the poisoning of a duck by anatoxin-a, nodularin and cryptophycin at the coast of Lake Shoormast (Mazandaran province, Iran). Int. J. Algae 2018, 20, 359–376. [Google Scholar] [CrossRef]
- Nowruzi, B.; Haghighat, S.; Fahimi, H.; Mohammadi, E. Nostoc cyanobacteria species: A new and rich source of novel bioactive compounds with pharmaceutical potential. J. Pharm. Health Serv. Res. 2018, 9, 5–12. [Google Scholar] [CrossRef]
- Zhu, Y.; Cheng, J.; Min, Z.; Yin, T.; Zhang, R.; Zhang, W.; Hu, L.; Cui, Z.; Gao, C.; Xu, S.; et al. Effects of fucoxanthin on autophagy and apoptosis in SGC-7901cells and the mechanism. J. Cell. Biochem. 2018, 119, 7274–7284. [Google Scholar] [CrossRef] [PubMed]
- Han, Y.; Cui, Z.; Li, Y.H.; Hsu, W.H.; Lee, B.H. In vitro and in vivo anticancer activity of pardaxin against proliferation and growth of oral squamous cell carcinoma. Mar. Drugs 2016, 14, 2. [Google Scholar] [CrossRef] [PubMed]
- Hassana MA, K.; Azeminb, W.A.; Dharmaraja, S.; Mohdb, K.S. Hepcidin TH1-5 Induces Apoptosis and Activate Caspase-9 in MCF-7 Cells. J. Appl. Pharm. Sci. 2016, 6, 081–086. [Google Scholar] [CrossRef][Green Version]
- Chang, W.T.; Pan, C.Y.; Rajanbabu, V.; Cheng, C.W.; Chen, J.Y. Tilapia (Oreochromis mossambicus) antimicrobial peptide, hepcidin 1–5, shows antitumor activity in cancer cells. Peptides 2011, 32, 342–352. [Google Scholar] [CrossRef] [PubMed]
- Chen, J.Y.; Lin, W.J.; Lin, T.L. A fish antimicrobial peptide, tilapia hepcidin TH2-3, shows potent antitumor activity against human fibrosarcoma cells. Peptides 2009, 30, 1636–1642. [Google Scholar] [CrossRef] [PubMed]
- Lai, W.T.; Cheng, K.L.; Baruchello, R.; Rondanin, R.; Marchetti, P.; Simoni, D.; Lee, R.M.; Guh, J.H.; Hsu, L.C. Hemiasterlin derivative (R)(S)(S)-BF65 and Akt inhibitor MK-2206 synergistically inhibit SKOV3 ovarian cancer cell growth. Biochem. Pharmacol. 2016, 113, 12–23. [Google Scholar] [CrossRef]
- Sato, S.I.; Murata, A.; Orihara, T.; Shirakawa, T.; Suenaga, K.; Kigoshi, H.; Uesugi, M. Marine natural product aurilide activates the OPA1-mediated apoptosis by binding to prohibitin. Chem. Biol. 2011, 18, 131–139. [Google Scholar] [CrossRef]
- Han, B.; Gross, H.; Goeger, D.E.; Mooberry, S.L.; Gerwick, W.H. Aurilides B and C, Cancer Cell Toxins from a Papua New Guinea Collection of the Marine Cyanobacterium Lyngbya majuscula. J. Nat. Prod. 2006, 69, 572–575. [Google Scholar] [CrossRef]
- Suenaga, K.; Mutou, T.; Shibata, T.; Itoh, T.; Fujita, T.; Takada, N.; Hayamizu, K.; Takagi, M.; Irifune, T.; Kigoshi, H. Aurilide, a cytotoxic depsipeptide from the sea hare Dolabella auricularia: Isolation, structure determination, synthesis, and biological activity. Tetrahedron 2004, 60, 8509–8527. [Google Scholar] [CrossRef]
- Simmons, T.L.; Nogle, L.M.; Media, J.; Valeriote, F.A.; Mooberry, S.L.; Gerwick, W.H. Desmethoxymajusculamide C, a cyanobacterial depsipeptide with potent cytotoxicity in both cyclic and ring-opened forms. J. Nat. Prod. 2009, 72, 1011–1016. [Google Scholar] [CrossRef] [PubMed]
- Lachia, M.; Moody, C.J. The synthetic challenge of diazonamide A, a macrocyclic indole bis-oxazole marine natural product. Nat. Prod. Rep. 2008, 25, 227–253. [Google Scholar] [CrossRef] [PubMed]
- Zheng, L.; Ling, P.; Wang, Z.; Niu, R.; Hu, C.; Zhang, T.; Lin, X. A novel polypeptide from shark cartilage with potent anti-angiogenic activity. Cancer Biol. Ther. 2007, 6, 775–780. [Google Scholar] [CrossRef] [PubMed]
- Li, B.; Gao, M.H.; Zhang, X.C.; Chu, X.M. Molecular immune mechanism of C-phycocyanin from Spirulina platensis induces apoptosis in HeLa cells in vitro. Biotechnol. Appl. Biochem. 2006, 43, 155–164. [Google Scholar]
- Sewell, J.M.; Mayer, I.; Langdon, S.P.; Smyth, J.F.; Jodrell, D.I.; Guichard, S.M. The mechanism of action of Kahalalide F: Variable cell permeability in human hepatoma cell lines. Eur. J. Cancer 2005, 41, 1637–1644. [Google Scholar] [CrossRef]
- Edler, M.C.; Fernandez, A.M.; Lassota, P.; Ireland, C.M.; Barrows, L.R. Inhibition of tubulin polymerization by vitilevuamide, a bicyclic marine peptide, at a site distinct from colchicine, the vinca alkaloids, and dolastatin 10. Biochem. Pharmacol. 2002, 63, 707–715. [Google Scholar] [CrossRef]
- Chen, Y.; Xu, X.; Hong, S.; Chen, J.; Liu, N.; Underhill, C.B.; Creswell, K.; Zhang, L. RGD-Tachyplesin inhibits tumor growth. Cancer Res. 2001, 61, 2434–2438. [Google Scholar]
- Erba, E.; Bergamaschi, D.; Ronzoni, S.; Faretta, M.; Taverna, S.; Bonfanti, M.; Catapano, C.V.; Faircloth, G.; Jimeno, J.; D’incalci, M. Mode of action of thiocoraline, a natural marine compound with anti-tumour activity. Br. J. Cancer 1999, 80, 971–980. [Google Scholar] [CrossRef]
- Li, Y.X.; Wijesekara, I.; Li, Y.; Kim, S.K. Phlorotannins as bioactive agents from brown algae. Process Biochem. 2011, 46, 2219–2224. [Google Scholar] [CrossRef]
- Valverde, F.; Romero-Campero, F.J.; León, R.; Guerrero, M.G.; Serrano, A. New challenges in microalgae biotechnology. Eur. J. Protistol. 2016, 55, 95–101. [Google Scholar] [CrossRef]
- De Sousa Santos AK, F.; da Fonseca, D.V.; Salgado PR, R.; Muniz, V.M.; de Arruda Torres, P.; Lira, N.S.; da Silva Dias, C.; de Morais Pordeus, L.C.; Barbosa-Filho, J.M.; de Almeida, R.N. Antinociceptive activity of Sargassum polyceratium and the isolation of its chemical components. Rev. Bras. Farmacogn. 2015, 25, 683–689. [Google Scholar]
- Arumugam, V.; Venkatesan, M.; Ramachandran, K.; Ramachandran, S.; Palanisamy, S.K.; Sundaresan, U. Purification, Characterization and Antibacterial Properties of Peptide from Marine Ascidian Didemnum sp. Int. J. Pept. Res. Ther. 2020, 26, 201–208. [Google Scholar] [CrossRef]
- El Gamal, A.A. Biological importance of marine algae. Saudi Pharm. J. 2010, 18, 1–25. [Google Scholar] [CrossRef] [PubMed]
- Mazard, S.; Penesyan, A.; Ostrowski, M.; Paulsen, I.T.; Egan, S. Tiny microbes with a big impact: The role of cyanobacteria and their metabolites in shaping our future. Mar. Drugs 2016, 14, 97. [Google Scholar] [CrossRef] [PubMed]
- Tan, L.T.; Okino, T.; Gerwick, W.H. Bouillonamide: A mixed polyketide–peptide cytotoxin from the marine cyanobacterium Moorea bouillonii. Mar. Drugs 2013, 11, 3015–3024. [Google Scholar] [CrossRef] [PubMed]
- Lawrence, J.F.; Niedzwiadek, B.; Menard, C.; Lau, B.P.; Lewis, D.; Kuper-Goodman, T.; Carbone, S.; Holmes, C. Comparison of liquid chromatography/mass spectrometry, ELISA, and phosphatase assay for the determination of microcystins in blue-green algae products. J. AOAC Int. 2001, 84, 1035–1044. [Google Scholar] [CrossRef] [PubMed]
- Abdel-Rahman, G.N.E. Cytotoxicity and antibacterial activity of the blue green alga Microcystis aeruginosa extracts against human cancer cell lines and foodborne bacteria. Egypt. J. Chem. 2020, 63, 2–3. [Google Scholar] [CrossRef]
- Ghalamara, S.; Silva, S.; Brazinha, C.; Pintado, M. Valorization of fish by-products: Purification of bioactive peptides from codfish blood and sardine cooking wastewaters by membrane processing. Membranes 2020, 10, 44. [Google Scholar] [CrossRef]
- Falaise, C.; François, C.; Travers, M.A.; Morga, B.; Haure, J.; Tremblay, R.; Turcotte, F.; Pasetto, P.; Gastineau, R.; Hardivillier, Y.; et al. Antimicrobial compounds from eukaryotic microalgae against human pathogens and diseases in aquaculture. Mar. Drugs 2016, 14, 159. [Google Scholar] [CrossRef]
- Sukmarini, L. Drug Development from Peptide-derived Marine Natural Products. In IOP Conference Series: Materials Science and Engineering; IOP Publishing: Tangerang, Indonesia, 2021; Volume 1011, p. 012063. [Google Scholar]
- Plaza, M.; Santoyo, S.; Jaime, L.; Reina GG, B.; Herrero, M.; Señoráns, F.J.; Ibáñez, E. Screening for bioactive compounds from algae. J. Pharm. Biomed. Anal. 2010, 51, 450–455. [Google Scholar] [CrossRef]
- Bule, M.H.; Ahmed, I.; Maqbool, F.; Bilal, M.; Iqbal, H.M. Microalgae as a source of high-value bioactive compounds. Front. Biosci 2018, 10, 197–216. [Google Scholar]
- Winokur, P.; Chenoweth, C.E.; Rice, L.; Mehrad, B.; Lynch, J.P. Resistant pathogens: Emergence and control. In Ventilator-Associated Pneumonia; Springer: Boston, MA, USA, 2001; pp. 131–164. [Google Scholar]
- Zheng, L.H.; Wang, Y.J.; Sheng, J.; Wang, F.; Zheng, Y.; Lin, X.K.; Sun, M. Antitumor peptides from marine organisms. Mar. Drugs 2011, 9, 1840–1859. [Google Scholar] [CrossRef] [PubMed]
- Liu, H.; Shi, Y.; Qian, F. Opportunities and delusions regarding drug delivery targeting pancreatic cancer-associated fibroblasts. Adv. Drug Deliv. Rev. 2021, 172, 37–51. [Google Scholar] [CrossRef] [PubMed]
- Liu, F.H.; Hou, C.Y.; Zhang, D.; Zhao, W.J.; Cong, Y.; Duan, Z.Y.; Qiao, Z.Y.; Wang, H. Enzyme-sensitive cytotoxic peptide–dendrimer conjugates enhance cell apoptosis and deep tumor penetration. Biomater. Sci. 2018, 6, 604–613. [Google Scholar] [CrossRef]
- Mirza, A.Z. Advancement in the development of heterocyclic nucleosides for the treatment of cancer-A review. Nucleosides Nucleotides Nucleic Acids 2019, 38, 836–857. [Google Scholar] [CrossRef]
- Böhmová, E.; Pola, R.; Pechar, M.; Parnica, J.; Machová, D.; Janoušková, O.; Etrych, T. Polymer Cancerostatics Containing Cell-Penetrating Peptides: Internalization Efficacy Depends on Peptide Type and Spacer Length. Pharmaceutics 2020, 12, 59. [Google Scholar] [CrossRef]
- Lobine, D.; Rengasamy, K.R.; Mahomoodally, M.F. Functional foods and bioactive ingredients harnessed from the ocean: Current status and future perspectives. Crit. Rev. Food Sci. Nutr. 2021, 1–30. [Google Scholar] [CrossRef]
- Reddy, P.A.; Jones, S.T.; Lewin, A.H.; Carroll, F. Synthesis of hemopressin peptides by classical solution phase fragment condensation. Int. J. Pept. 2012, 2012, 186034. [Google Scholar] [CrossRef]
- Fan, X.; Bai, L.; Zhu, L.; Yang, L.; Zhang, X. Marine algae-derived bioactive peptides for human nutrition and health. J. Agric. Food Chem. 2014, 62, 9211–9222. [Google Scholar] [CrossRef]
- Robertson, R.C.; Guihéneuf, F.; Bahar, B.; Schmid, M.; Stengel, D.B.; Fitzgerald, G.F.; Ross, R.P.; Stanton, C. The anti-inflammatory effect of algae-derived lipid extracts on lipopolysaccharide (LPS)-stimulated human THP-1 macrophages. Mar. Drugs 2015, 13, 5402–5424. [Google Scholar] [CrossRef]
- Bélanger, W.; Arnold, A.A.; Turcotte, F.; Saint-Louis, R.; Deschênes, J.S.; Genard, B.; Marcotte, I.; Tremblay, R. Extraction Improvement of the Bioactive Blue–Green Pigment “Marennine” from Diatom Haslea ostrearia’s Blue Water: A Solid-Phase Method Based on Graphitic Matrices. Mar. Drugs 2020, 18, 653. [Google Scholar] [CrossRef] [PubMed]
- Bilal, M.; Iqbal, H.M. Biologically active macromolecules: Extraction strategies, therapeutic potential and biomedical perspective. Int. J. Biol. Macromol. 2020, 151, 1–18. [Google Scholar] [CrossRef] [PubMed]
- Anjum, K.; Abbas, S.Q.; Akhter, N.; Shagufta, B.I.; Shah SA, A.; Hassan SS, U. Emerging biopharmaceuticals from bioactive peptides derived from marine organisms. Chem. Biol. Drug Des. 2017, 90, 12–30. [Google Scholar] [CrossRef] [PubMed]
- Alves, C.; Silva, J.; Pinteus, S.; Gaspar, H.; Alpoim, M.C.; Botana, L.M.; Pedrosa, R. From marine origin to therapeutics: The antitumor potential of marine algae-derived compounds. Front. Pharmacol. 2018, 9, 777. [Google Scholar] [CrossRef] [PubMed]
- Ghareeb, M.A.; Tammam, M.A.; El-Demerdash, A.; Atanasov, A.G. Insights about clinically approved and Preclinically investigated marine natural products. Curr. Res. Biotechnol. 2020, 2, 88–102. [Google Scholar] [CrossRef]



| Search Terms | Total Articles | Total Number of Articles Published and Filtered with Best Match Term on | |||||
| 2021 | 2020 | 2019 | 2018 | 2017 | All Past Years | ||
| Bioactive compounds from marine sources | 995 | 74 | 172 | 147 | 97 | 101 | 404 |
| Bioactive peptides from marine sources | 307 | 15 | 41 | 52 | 36 | 34 | 129 |
| Biomedical applications of marine peptides | 76 | 3 | 10 | 15 | 11 | 6 | 31 |
| Peptide Name | Structure | Chemical Formula | Molar Mass (g/mol) | Class or Type of Chemical Compounds | Bioactivities and/or Proposed Applications | References |
|---|---|---|---|---|---|---|
| Astaxanthin | ![]() | C40H52O4 | 596.84 | Terpenes | Nutraceutical and pharmaceutical applications | Messina et al. [27] |
| Cyclopolypeptide, e.g., α-amanitin, rolloamide A | ![]() | C39H54N10O14S | 918.97 | Cyclic octopeptide | Antibacterial activity, antifungal activity, anthelmintic activity | Dahiya et al. [28] |
| Plitidepsin | ![]() | C57H87N7O15 | 1110.357 | Cyclic depsipeptide | Effective against various cancers, e.g., breast, thyroid, lung, etc. | Leisch et al. [29] |
| Borophycin | ![]() | C44H68BO14 | 831.8 | Organic compounds | Various carcinoma types, e.g., epidermoid and human colorectal adenocarcinoma | Nowruzi et al. [30] |
| Cryptophycin-52 | ![]() | C35H43ClN2O8 | 655.2 | Depsipeptide | Tumor cell lines | Nowruzi et al. [31] |
| Fucoxanthin | ![]() | C42H58O6 | 658.920 | Carotenoids | Gastric cancer | Zhu et al. [32] |
| Pardaxin | _ | C154H248N36O45 | 3323.8 | Cationic peptide | Oral squamous cell carcinoma | Han et al. [33] |
| Hepcidin | _ | C113H170N34O31S9 | 2789.4 | Cationic amphipathic peptide | Human cervical carcinoma, hepatocellular carcinoma, breast adenocarcinoma cell line | Hassana et al. [34]; Chang et al. [35]; Chen et al. [36] |
| Hemiasterlin | _ | C30H46N4O4 | 526.7 | Peptide | Inhibitory effect on microtubule assembly, cell cycle arrest, Apoptosis induction | Lai et al. [37] |
| Aurilide | ![]() | C44H75N5O10 | 834.1 | Depsipeptides | Human lung tumor, leukemia, renal, and prostate cancer cell lines | Sato et al. [38]; Han et al. [39]; Suenaga et al. [40] |
| Desmethoxymajusculamide C | ![]() | C49H78N8O11 | 955.2 | Cyclic depsipeptide | Human colon HCT-116 | Simmons et al. [41] |
| Diazonamide A | ![]() | C40H34CI2N6O6 | 765.6 | Oxazoles | Human tumor cells | Lachia and Moody [42] |
| PG155 | _ | _ | 15,500 | Polypeptide | Potent antiangiogenic activity | Zheng et al. [43] |
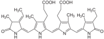
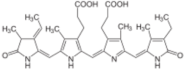
| C-phycocyanin (e.g., Phycocyanobilin) | ![]() | C33H38N4O6 | 586.7 | Phycobiliprotein | Apoptosis induction | Li et al. [44] |
| Kahalalide F | _ | C75H124N14O16 | 1477.9 | Depsipeptide | Ovaries, breast, prostate, colon, and liver tumor cells | Sewell et al. [45] |
| Vitilevuamide | ![]() | C77H114N14O21S | 1603.9 | Cyclic peptide | Lymphocytic inhibition of tubulin polymerization | Edler et al. [46] |
| Tachyplesin | ![]() | C99H151N35O19S4 | 2263.8 | Cationic Peptides | Prostate, Melanoma, and endothelial cancer cell | Chen et al. [47] |
| Thiocoraline | ![]() | C48H56N10O12S6 | 1157.4 | Depsipeptides | Human colon cancer | Erba et al. [48] |
| Compound Name | Formula | Molar Mass | CAS Number | Source | Natural/Derivative | Legal Status | Bioavailability 1 | Elimination Half-Life | Applications |
|---|---|---|---|---|---|---|---|---|---|
| Ziconotide (intrathecal ziconotide) | C102H172N36O32S7 | 2639.14 (g/mol) | 107452-89-1 | Cone Snail | Natural product | Prescription only | 50% | 2.9 to 6.5 h | Analgesics |
| Adcetris (Brentuximab vedotin) | C6476H9930N1690O2030S40 | 149.2–151.8 (kg/mol) | 914088-09-8 | Dolabella auricularia | Derivative | Prescription only | 50–80% | Approximately 4 to 6 days | Cancer treatment, treatment for patients with cutaneous T-cell lymphoma |
| Dactinomycin | C62H86N12O16 | 1255.438 (g/mol) | 50-76-0 | Streptomyces parvullus | Derivative | Prescription only | Not Available | 36 h | Cancer treatment including for Gestational trophoblastic neoplasia, Wilms’ tumor, Rhabdomyosarcoma, Ewing’s sarcoma |
| Bacitracin (Baciim) | C66H103N17O16S | 1422.71 (g/mol) | 1405-87-4 | Bacillus subtilis | Natural product | Prescription-only for injection and OTC | Not Available | Not Available | Acute and chronic localized skin infections |
| Dutasteride (Avodart) | C27H30F6N2O2 | 528.539 (g/mol) | 164656-23-9 | _ | Synthetic | Prescription-only | 60% | 4–5 Weeks | Treat enlarged prostate, Prostate cancer, hormone therapy |
| Curacin A | C23H35NOS | 373.60 (g/mol) | 155233-30-0 | Lyngbya majuscula | Natural product | Not Available | Not Available | Not Available | Cancer treatment |
| Eribulin (Halaven) | C40H59NO11 | 729.908 (g/mol) | 253128-41-5 | Marine Sponge | _ | Prescription-only | Not Available | 40 h | Cancer treatment |
| Trabectedin (Yondelis) | C39H43N3O11S | 761.84 (g/mol) | 114899-77-3 | Marine Tunicate | Prescription-only | Not Available | 180 h | Antitumor chemotherapy medication for the treatment of advanced soft-tissue sarcoma and ovarian cancer |
Publisher’s Note: MDPI stays neutral with regard to jurisdictional claims in published maps and institutional affiliations. |
© 2022 by the authors. Licensee MDPI, Basel, Switzerland. This article is an open access article distributed under the terms and conditions of the Creative Commons Attribution (CC BY) license (https://creativecommons.org/licenses/by/4.0/).
Share and Cite
Ahmed, I.; Asgher, M.; Sher, F.; Hussain, S.M.; Nazish, N.; Joshi, N.; Sharma, A.; Parra-Saldívar, R.; Bilal, M.; Iqbal, H.M.N. Exploring Marine as a Rich Source of Bioactive Peptides: Challenges and Opportunities from Marine Pharmacology. Mar. Drugs 2022, 20, 208. https://doi.org/10.3390/md20030208
Ahmed I, Asgher M, Sher F, Hussain SM, Nazish N, Joshi N, Sharma A, Parra-Saldívar R, Bilal M, Iqbal HMN. Exploring Marine as a Rich Source of Bioactive Peptides: Challenges and Opportunities from Marine Pharmacology. Marine Drugs. 2022; 20(3):208. https://doi.org/10.3390/md20030208
Chicago/Turabian StyleAhmed, Ishtiaq, Muhammad Asgher, Farooq Sher, Syed Makhdoom Hussain, Nadia Nazish, Navneet Joshi, Ashutosh Sharma, Roberto Parra-Saldívar, Muhammad Bilal, and Hafiz M. N. Iqbal. 2022. "Exploring Marine as a Rich Source of Bioactive Peptides: Challenges and Opportunities from Marine Pharmacology" Marine Drugs 20, no. 3: 208. https://doi.org/10.3390/md20030208
APA StyleAhmed, I., Asgher, M., Sher, F., Hussain, S. M., Nazish, N., Joshi, N., Sharma, A., Parra-Saldívar, R., Bilal, M., & Iqbal, H. M. N. (2022). Exploring Marine as a Rich Source of Bioactive Peptides: Challenges and Opportunities from Marine Pharmacology. Marine Drugs, 20(3), 208. https://doi.org/10.3390/md20030208














