Insights into Cytotoxic Behavior of Lepadins and Structure Elucidation of the New Alkaloid Lepadin L from the Mediterranean Ascidian Clavelina lepadiformis
Abstract
:1. Introduction
2. Results and Discussion
2.1. Isolation of Lepadins A, B, and L and Structure Elucidation of Lepadin L
2.2. In Vitro Evaluation of Cytotoxic Effects of Lepadins 1–3 on Different Cancer Cell Lines
2.3. Further Insights into the Cytotoxic Effects of Lepadin A on A375 Cells
2.3.1. Impact on Cell Migration
2.3.2. Cell Cycle Analysis
2.3.3. Clonogenic Assay
3. Materials and Methods
3.1. General Experimental Procedures
3.2. Collection, Extraction, and Isolation
- Lepadin A (1): colorless oil; −29.1 (c 0.001, CHCl3); 1H NMR spectrum (CD3OD) is reported in Supplementary Material (Figure S1); HRMS (ESI): m/z 336.2527 [M + H]+ (calcd. for C20H34O3N: 336.2533); m/z 358.2346 [M + Na]+ (calcd. for C20H33O3NNa: 358.2353) (Figure S2).
- Lepadin B (2): colorless oil; −47.3 (c 0.001, CHCl3); 1H NMR spectrum (CD3OD) is reported in Supplementary Material (Figure S3); HRMS (ESI): m/z 278.2484 [M + H]+ (calcd. for C18H32ON: 278.2478) (Figure S4).
- Lepadin L (3): colorless oil; −8.1 (c 0.001, CHCl3); 1H and 13C NMR data (CD3OD) are reported in Table 1; 2D NMR data, Figures S5–S6 and S9–S12; HRMS (ESI): m/z 370.2585 [M + H]+ (calcd. for C20H36O5N: 370.2588); m/z 392.2403 [M + Na]+ (calcd. for C20H35O5NNa 392.2407) (Figures S7 and S8).
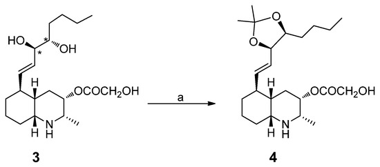
3.3. Synthesis of Lepadin L Acetonide (4)
- Lepadin L acetonide (4): colorless oil; 1H NMR spectrum (CD3OD) is reported in Supplementary Material (Figure S13); HRMS (ESI): m/z 410.2899 [M + H]+ (calcd. for C23H40O5N: 410.2901); m/z 432.2718 [M + Na]+ (calcd. for C23H39O5NNa 432.2720) (Figure S15). 1H NMR (700 MHz, CD3OD) δH 3.64 (H-2, overlapped, 1H), 5.18 (H-3, m, 1H), 1.87–2.31 (H-4ax, H-4eq, m, 2H), 1.81 (H-4a, overlapped, 1H), 2.14 (H-5, m, 1H), 1.77–2.08 (H-6ax, H-6eq, overlapped, 2H), 1.75 (H-7ax, overlapped, 1H), 1.24 (H-7eq, m, 1H), 1.30–2.05 (H-8ax, H-8eq, overlapped, 2H), 3.57 (H-8a, overlapped, 1H), 1.33 (H-9, d, J = 7 Hz, 3H), 5.49 (H-1′, m, 1H), 5.39 (H-2′, m, 1H), 4.45 (H-3′, m, 1H), 4.43 (H-4′, m, 1H), 1.38 (H-5′, overlapped, 2H), 1.31 (H-6′, overlapped, 2H), 1.35 (H-7′, overlapped, 2H), 0.91 (H-8′, t, J = 14 Hz, 3H), 4.22 (H-2′’, s, 2H), 1.32 (H-1‴, s, 3H), 1.43 (H-3‴, s, 3H). 13C NMR (175 MHz, CD3OD) δC 56.2 (C-2, CH), 69.7 (C-3, CH), 29.5 (C-4, CH2), 37.1 (C-4a, CH2), 39.7 (C-5, CH), 29.1 (C-6, CH2), 34.0 (C-7, CH2), 29.3 (C-8, CH2), 58.5 (C-8a, CH), 14.7 (C-9, CH3), 127.1 (C-1′, CH), 139.3 (C-2′, CH), 81.1 (C-3′, CH), 81.1 (C-4′, CH), 33.9 (C-5′, CH2), 31.0 (C-6′, CH2), 23.4 (C-7′, CH2), 14.1 (C-8′, CH3), 171.8 (C-1′’, CO), 61.3 (C-2′’, CH2), 25.8 (C-1‴, CH3), 107.5 (C-2‴, C), 28.5 (C-3‴, CH3).
3.4. Cell Culture
3.5. Cell Viability Assay
3.6. Clonogenic Assay
3.7. Cell Cycle Analysis
3.8. Statistical Analysis
4. Conclusions
Supplementary Materials
Author Contributions
Funding
Institutional Review Board Statement
Informed Consent Statement
Data Availability Statement
Conflicts of Interest
References
- Mayer, A.M.S.; Guerrero, A.J.; Rodríguez, A.D.; Taglialatela-Scafati, O.; Nakamura, F.; Fusetani, N. Marine Pharmacology in 2016–2017: Marine Compounds with Antibacterial, Antidiabetic, Antifungal, Anti-Inflammatory, Antiprotozoal, Antituberculosis and Antiviral Activities; Affecting the Immune and Nervous Systems, and Other Miscellaneous Mechanisms of Action. Mar. Drugs 2021, 19, 49. [Google Scholar]
- Shikov, A.N.; Flisyuk, E.V.; Obluchinskaya, E.D.; Pozharitskaya, O.N. Pharmacokinetics of Marine-Derived Drugs. Mar. Drugs 2020, 18, 557. [Google Scholar] [CrossRef] [PubMed]
- Franchi, N.; Ballarin, L. Immunity in Protochordates: The Tunicate Perspective. Front. Immunol. 2017, 8, 674. [Google Scholar] [CrossRef]
- Ramesh, C.; Tulasi, B.R.; Raju, M.; Thakur, N.; Dufossé, L. Marine Natural Products from Tunicates and Their Associated Microbes. Mar. Drugs 2021, 19, 308. [Google Scholar] [CrossRef] [PubMed]
- Casertano, M.; Menna, M.; Imperatore, C. The ascidian-derived metabolites with antimicrobial properties. Antibiotics 2020, 9, 510. [Google Scholar] [CrossRef] [PubMed]
- Casertano, M.; Imperatore, C.; Luciano, P.; Aiello, A.; Putra, M.Y.; Gimmelli, R.; Ruberti, G.; Menna, M. Chemical Investigation of the Indonesian Tunicate Polycarpa aurata and Evaluation of the Effects Against Schistosoma mansoni of the Novel Alkaloids Polyaurines A and B. Mar. Drugs 2019, 17, 278. [Google Scholar] [CrossRef] [PubMed] [Green Version]
- Luciano, P.; Imperatore, C.; Senese, M.; Aiello, A.; Casertano, M.; Guo, Y.; Menna, M. Assignment of the Absolute Configuration of Phosphoeleganin via Synthesis of Model Compounds. J. Nat. Prod. 2017, 80, 2118–2123. [Google Scholar] [CrossRef] [PubMed] [Green Version]
- Youssef, D.T.A.; Almagthali, H.; Shaala, L.A.; Schmidt, E.W. Secondary Metabolites of the Genus Didemnum: A Comprehensive Review of Chemical Diversity and Pharmacological Properties. Mar. Drugs 2020, 18, 307. [Google Scholar] [CrossRef] [PubMed]
- Steffan, B. Lepadin A, a decahydroquinoline alkaloid from the tunicate Clavelina lepadiformis. Tetrahedron 1991, 47, 8729–8732. [Google Scholar] [CrossRef]
- Kubanek, J.; Williams, D.E.; de Silva, E.D.; Allen, T.; Andersen, R.J. Cytotoxic Alkaloids from the Flatworm Prostheceraeus villatus and its Tunicate prey Clavelina lepadiformis. Tetrahedron Lett. 1995, 36, 6189–6192. [Google Scholar] [CrossRef]
- Wright, A.D.; Goclik, E.; König, G.M.; Kaminsky, R. Lepadins D–F: Antiplasmodial and Antitrypanosomal Decahydroquinoline Derivatives from the Tropical Marine Tunicate Didemnum sp. J. Med. Chem. 2002, 45, 3067–3072. [Google Scholar] [CrossRef] [PubMed]
- Ómarsdóttir, S.; Wang, X.; Liu, H.-B.; Duggan, B.M.; Molinski, T.F. Lepadins I–K, 3-O-(3′-Methylthio)acryloyloxy-decahydroquinoline Esters from a Bahamian Ascidian Didemnum sp. Assignment of Absolute Stereostructures. J. Org. Chem. 2018, 83, 13670–13677. [Google Scholar] [CrossRef] [PubMed]
- Li, X.; Hu, L.; Jia, J.; Gu, H.; Jia, Y.; Chen, X. A Stereoselective Approach toward (−)-Lepadins A–C. Org. Lett. 2017, 19, 5372–5375. [Google Scholar] [CrossRef]
- Pu, X.; Ma, D. Total Synthesis of Lepadins B, d, e, and h; Determination of the Configuration of the Latter Three Alkaloids. Angew. Chem. Int. Ed. 2004, 43, 4222–4225. [Google Scholar] [CrossRef]
- Niethe, A.; Fischer, D.; Blechert, S. Total Synthesis of ent-Lepadin F and G by a Tandem Ene-Yne-Ene Ring Closing Metathesis. J. Org. Chem. 2008, 73, 3088–3093. [Google Scholar] [CrossRef]
- Gu, H.; Hu, Y.; Jia, Y.; Zhou, Q.; Luo, G.; Chen, X. Total Synthesis of (−)-Lepadin F based on a Stereoselective Diels–Alder Reaction Controlled by a Ketolactone-type Dienophile. Chem. Eur. J. 2021, 27, 4141–4149. [Google Scholar] [CrossRef]
- Ma, F.; He, C.; Wang, E.; Tong, R. Collective Asymmetric Total Syntheses of Marine Decahydroquinoline Alkaloid Lepadins A–E, H, and ent-I. Org. Lett. 2021, 23, 6583–6588. [Google Scholar] [CrossRef] [PubMed]
- Genovese, M.; Imperatore, C.; Casertano, M.; Aiello, A.; Balestri, F.; Piazza, L.; Menna, M.; Del Corso, A.; Paoli, P. Dual Targeting of PTP1B and Aldose Reductase with Marine Drug Phosphoeleganin: A Promising Strategy for Treatment of Type 2 Diabetes. Mar. Drugs 2021, 19, 535. [Google Scholar] [CrossRef]
- Gimmelli, R.; Persico, M.; Imperatore, C.; Saccoccia, F.; Guidi, A.; Casertano, M.; Luciano, P.; Pietrantoni, A.; Bertuccini, L.; Paladino, A.; et al. Thiazinoquinones as new promising multistage schistosomicidal compounds impacting Schistosoma mansoni and egg viability. ACS Infect. Dis. 2020, 6, 124–137. [Google Scholar] [CrossRef] [PubMed]
- Lombardo, M.; Morganti, S.; Trombini, C. 3-Bromopropenyl Esters in Organic Synthesis: Indium- and Zinc-Mediated Entries to Alk-1-ene-3,4-diols. J. Org. Chem. 2003, 68, 997–1006. [Google Scholar] [CrossRef]
- Chanda, M.; Cohen, M.S. Advances in the discovery and development of melanoma drug therapies. Expert Opin. Drug Discov. 2021, 16, 1319–1347. [Google Scholar] [CrossRef]
- Freitas, J.T.; Jozic, I.; Bedogni, B. Wound Healing Assay for Melanoma Cell Migration. Methods Mol. Biol. 2021, 2265, 65–71. [Google Scholar] [PubMed]
- Verga Falzacappa, M.V.; Ronchini, C.; Reavie, L.B.; Pelicci, P.G. Regulation of self-renewal in normal and cancer stem cells. FEBS J. 2012, 279, 3559–3572. [Google Scholar] [CrossRef]
- Lori, G.; Paoli, P.; Caselli, A.; Cirri, P.; Marzocchini, R.; Mangoni, M.; Talamonti, C.; Livi, L.; Raugei, G. Targeting LMW-PTP to sensitize melanoma cancer cells toward chemo- and radiotherapy. Cancer Med. 2018, 7, 1933–1943. [Google Scholar] [CrossRef]









| Pos. | δH, Mult. (J in Hz) | δC (mult.) | NOESY | COSY | HMBC |
|---|---|---|---|---|---|
| 2 | 3.63 b | 56.5 (CH) | 3, 4ax, 4a, 8a, 8eq | 3, 9 | 9 |
| 3 | 5.18, bs | 69.5 (CH) | 2, 4ax, 9 | 2, 4ax, 4eq | 1″, 4a |
| 4ax | 1.87, m | 29.5 (CH2) | 2, 8a, 4eq | 3, 4eq | 3, 4a, 5, 8a |
| 4eq | 2.31, d (15.6) | 4ax, 6ax | 3, 4ax | 2, 3, 4a, 5 | |
| 4a | 1.81, m | 37.1 (CH) | 2, 6ax, 8a | 3, 5 | 4, 5, 68a, 1′ |
| 5 | 2.48, m | 40.6 (CH) | 6ax, 7eq, 1′, 2′ | 4a, 1′ | 4a, 1′ |
| 6ax | 1.79, qd (13.3, 3.5) | 29.2 (CH2) | 4eq, 5, 7eq, 8a, 1′ | 5, 6eq, 7ax, 7eq | 4a, 5, 7, 8 |
| 6eq | 2.06, m | 6ax, 7ax | 6ax, 7ax, 7eq | 4a, 7, 8 | |
| 7ax | 1.76, qt (13.3, 3.3) | 34.1 (CH2) | 6ax, 6eq, 8a, 8eq | 6eq, 6ax,7eq, 8ax, 8eq | 5, 6, 8a |
| 7eq | 1.24, m | 6ax | 6eq, 7ax | 5, 8 | |
| 8ax | 1.70 b | 19.8 (CH2) | 6ax | 7, 8a, 8eq | 6, 7, 8a |
| 8eq | 1.70 b | 7ax, 8a | 7, 8a, 8ax | 6, 7, 8a | |
| 8a | 3.60 b | 58.6 (CH) | 2, 4ax, 4a, 8eq | 4a, 8ax, 8eq | 7 |
| 9 | 1.33, d (6.0) | 14.7 (CH3) | 2, 3, 2″ | 2 | 3 |
| 1′ | 5.46, dd (15.8, 9.3) | 136.1 (CH) | 6ax, 3′, 5 | 5, 2′ | 5, 2′, 3′ |
| 2′ | 5.63, dd (15.8, 10.7) | 132.3 (CH) | 3′, 5 | 5, 3′ | 5, 1′, 3′, 4′ |
| 3′ | 3.85, dd (16.0, 3.0) | 76.5 (CH) | 4′ | 2′, 4′ | 1′, 2′, 4′, 5′ |
| 4′ | 3.45, m | 75.4 (CH) | 3′ | 3′, 5′ | 2′ |
| 5′ | 1.31 b | 33.1 (CH2) | 4′, 6′ | 4′ | |
| 6′ | 1.30 b | 31.3 (CH2) | 5′, 7′ | 7′ | |
| 7′ | 1.35, m | 23.4 (CH2) | 6′, 8′ | 6′, 8′ | |
| 8′ | 0.91, t (7.0) | 14.1 (CH3) | 7′ | 6′, 7′ | |
| 1″ | - | 171.8 (CO) | |||
| 2″ | 4.30, s | 61.0 (CH2) | 9 | 1″ |
Publisher’s Note: MDPI stays neutral with regard to jurisdictional claims in published maps and institutional affiliations. |
© 2022 by the authors. Licensee MDPI, Basel, Switzerland. This article is an open access article distributed under the terms and conditions of the Creative Commons Attribution (CC BY) license (https://creativecommons.org/licenses/by/4.0/).
Share and Cite
Casertano, M.; Genovese, M.; Paoli, P.; Santi, A.; Aiello, A.; Menna, M.; Imperatore, C. Insights into Cytotoxic Behavior of Lepadins and Structure Elucidation of the New Alkaloid Lepadin L from the Mediterranean Ascidian Clavelina lepadiformis. Mar. Drugs 2022, 20, 65. https://doi.org/10.3390/md20010065
Casertano M, Genovese M, Paoli P, Santi A, Aiello A, Menna M, Imperatore C. Insights into Cytotoxic Behavior of Lepadins and Structure Elucidation of the New Alkaloid Lepadin L from the Mediterranean Ascidian Clavelina lepadiformis. Marine Drugs. 2022; 20(1):65. https://doi.org/10.3390/md20010065
Chicago/Turabian StyleCasertano, Marcello, Massimo Genovese, Paolo Paoli, Alice Santi, Anna Aiello, Marialuisa Menna, and Concetta Imperatore. 2022. "Insights into Cytotoxic Behavior of Lepadins and Structure Elucidation of the New Alkaloid Lepadin L from the Mediterranean Ascidian Clavelina lepadiformis" Marine Drugs 20, no. 1: 65. https://doi.org/10.3390/md20010065
APA StyleCasertano, M., Genovese, M., Paoli, P., Santi, A., Aiello, A., Menna, M., & Imperatore, C. (2022). Insights into Cytotoxic Behavior of Lepadins and Structure Elucidation of the New Alkaloid Lepadin L from the Mediterranean Ascidian Clavelina lepadiformis. Marine Drugs, 20(1), 65. https://doi.org/10.3390/md20010065

