Six New Diterpene Glycosides from the Soft Coral Lemnaliabournei
Abstract
1. Introduction
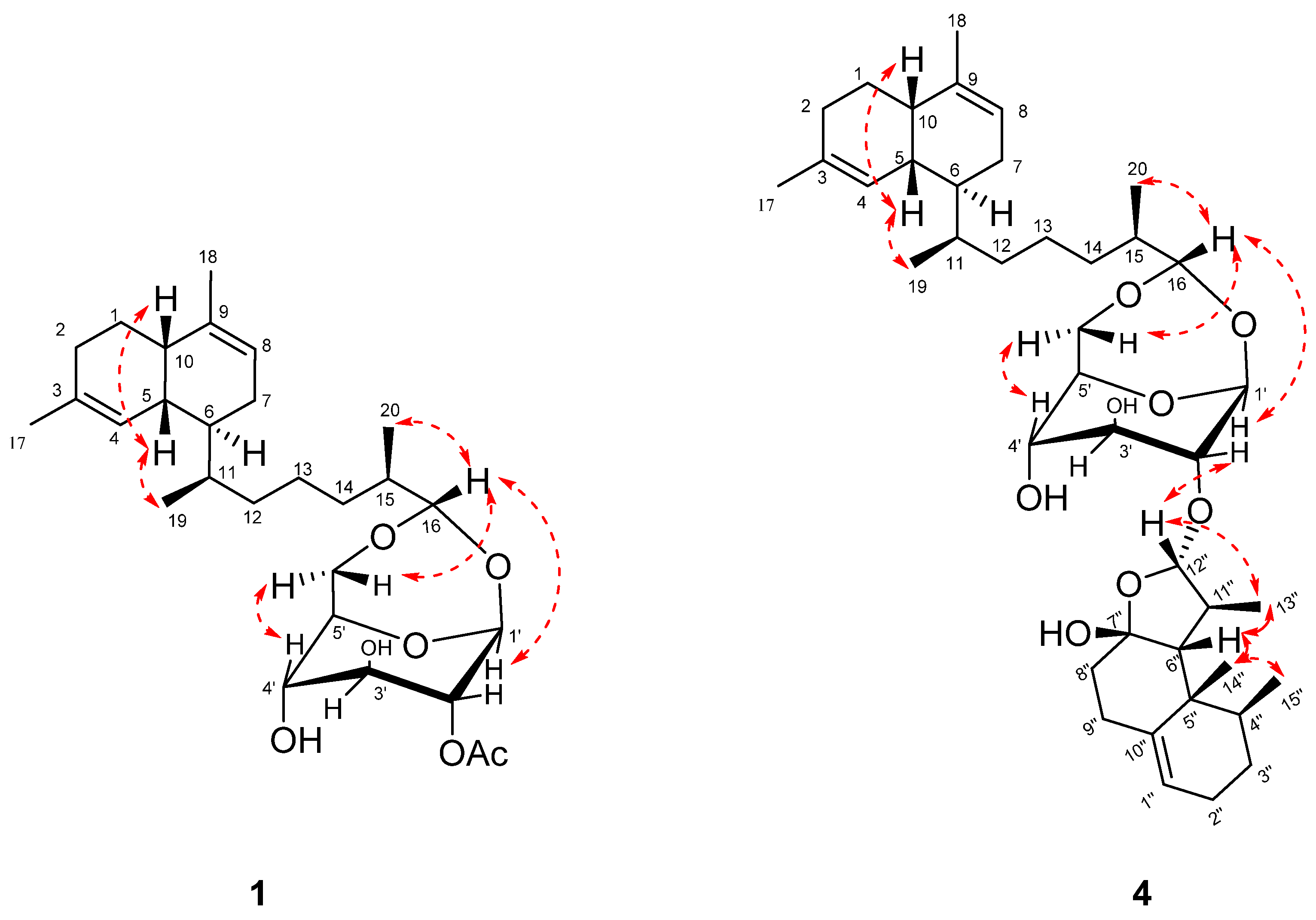
2. Results and Discussion
3. Materials and Methods
3.1. General Experimental Procedures
3.2. Animal Material
3.3. Extraction and Isolation
3.4. Acid Hydrolysis of Compounds 1–6
3.5. Computational Methods
3.6. Antibacterial Assays
3.7. Cytotoxic Activity Assay
3.8. Inhibition of Nitric Oxide Production Assay
4. Conclusions
Supplementary Materials
Author Contributions
Funding
Institutional Review Board Statement
Informed Consent Statement
Data Availability Statement
Acknowledgments
Conflicts of Interest
References
- Wu, Q.; Sun, J.; Chen, J.; Zhang, H.; Guo, Y.-W.; Wang, H. Terpenoids from marine soft coral of the genus Lemnalia: Chemistry and biological activities. Mar. Drugs 2018, 16, 320. [Google Scholar] [CrossRef] [PubMed]
- Liu, M.; Li, P.; Tang, X.; Luo, X.; Liu, K.; Zhang, Y.; Wang, Q.; Li, G. Lemnardosinanes A-I: New bioactive sesquiterpenoids from soft coral Lemnalia sp. J. Org. Chem. 2021, 86, 970–979. [Google Scholar] [CrossRef]
- Yang, F.; Li, S.-W.; Zhang, J.; Liang, L.-F.; Lu, Y.-H.; Guo, Y.-W. Uncommon nornardosinane, seconeolemnane and related sesquiterpenoids from Xisha soft coral Litophyton nigrum. Bioorg. Chem. 2020, 96, 103636. [Google Scholar] [CrossRef]
- Liu, M.; Li, P.; Luo, X.; van Ofwegen, L.; Tang, X.; Li, G. Sesquiterpenoids from the soft coral Lemnalia sp. Nat. Prod. Res. 2020, 1–5. [Google Scholar] [CrossRef] [PubMed]
- Wu, Q.; Gao, Y.; Zhang, M.-M.; Sheng, L.; Li, J.; Li, X.-W.; Wang, H.; Guo, Y.-W. New sesquiterpenoids from the South China Sea soft corals Clavularia viridis and Lemnalia flava. Beilstein J. Org. Chem. 2019, 15, 695–702. [Google Scholar] [CrossRef]
- Wu, Q.; Li, H.; Yang, M.; Jia, A.-Q.; Tang, W.; Wang, H.; Guo, Y.-W. Two new cembrane-type diterpenoids from the Xisha soft coral Lemnalia flava. Fitoterapia 2019, 134, 481–484. [Google Scholar] [CrossRef] [PubMed]
- Rudi, A.; Levi, S.; Benayahu, Y.; Kashman, Y. Lemnaflavoside, a new diterpene glycoside from the soft coral Lemnalia flava. J. Nat. Prod. 2002, 65, 1672–1674. [Google Scholar] [CrossRef] [PubMed]
- Yao, G.; Vidor, N.B.; Foss, A.P.; Chang, L.C. Lemnalosides A-D, decalin-type bicyclic diterpene glycosides from the marine soft coral Lemnalia sp. J. Nat. Prod. 2007, 70, 901–905. [Google Scholar] [CrossRef] [PubMed]
- Zhang, M.; Huang, Z. Two new diterpene glycosides from the soft coral Lemnalia bournei. J. Nat. Prod. 1998, 61, 1300–1301. [Google Scholar] [CrossRef] [PubMed]
- Zhang, M.; Long, K.; Wu, H.; Ma, K. A novel diterpene glycoside from the soft coral of Lemnalia bournei. J. Nat. Prod. 1994, 57, 155–160. [Google Scholar] [CrossRef]
- Zhang, B.; Huang, Z.; Li, H.; Qiu, G. Novel diterpene glycoside from the soft coral Lemnalia bournei. Tianran Chanwu Yanjiu Yu Kaifa 2003, 15, 487–489. [Google Scholar] [CrossRef]
- Tanaka, T.; Nakashima, T.; Ueda, T.; Tomii, K.; Kouno, I. Facile discrimination of aldose enantiomers by reversed-phase HPLC. Chem. Pharm. Bull. 2007, 55, 899–901. [Google Scholar] [CrossRef] [PubMed]
- Bowden, B.F.; Coll, J.C.; Mitchell, S.J. Studies of Australian soft corals. XIX. Two new sesquiterpenes with the nardosinane skeleton from a Paralemnalia species. Aust. J. Chem. 1980, 33, 885–890. [Google Scholar] [CrossRef]
- Wu, Z.; Xie, Z.; Wu, M.; Li, X.; Li, W.; Ding, W.; She, Z.; Li, C. New antimicrobial cyclopentenones from Nigrospora sphaerica ZMT05, a fungus derived from Oxya chinensis Thunber. J. Agric. Food Chem. 2018, 66, 5368–5372. [Google Scholar] [CrossRef] [PubMed]
- Appendino, G.; Gibbons, S.; Giana, A.; Pagani, A.; Grassi, G.; Stavri, M.; Smith, E.; Rahman, M.M. Antibacterial cannabinoids from Cannabis sativa: A structure-activity study. J. Nat. Prod. 2008, 71, 1427–1430. [Google Scholar] [CrossRef] [PubMed]
- Li, G.; Li, H.; Zhang, Q.; Yang, M.; Gu, Y.-C.; Liang, L.-F.; Tang, W.; Guo, Y.-W. Rare cembranoids from chinese soft coral Sarcophyton ehrenbergi: Structural and stereochemical studies. J. Org. Chem. 2019, 84, 5091–5098. [Google Scholar] [CrossRef] [PubMed]
- Yan, P.; Deng, Z.; van Ofwegen, L.; Proksch, P.; Lin, W. Lobophytones O-T, new biscembranoids and cembranoid from soft coral Lobophytum pauciflorum. Mar. Drugs 2010, 8, 2837–2848. [Google Scholar] [CrossRef] [PubMed]



| Position | 1 | 2 | 3 | 4 | 5 | 6 |
|---|---|---|---|---|---|---|
| δH, (J in Hz) | δH, (J in Hz) | δH, (J in Hz) | δH, (J in Hz) | δH, (J in Hz) | δH, (J in Hz) | |
| 1a | 1.37, m | 1.38, m a | 1.36, m a | 1.36, m a | 1.35, m a | 1.35, m |
| 1b | 1.17, m a | 1.21, m a | 1.20, m a | 1.36, m a | 1.35, m a | 1.16, m a |
| 2a | 1.98, m a | 1.98, dd (11.8, 6.3) | 1.98, m | 2.00, m a | 1.97, m a | 1.97, m |
| 2b | 1.90, brd (5.1) | 1.91, dd (17.0, 4.6) | 1.92, m a | 1.92, m a | 1.93, m a | 1.92, m a |
| 4 | 5.48, brd (3.7) | 5.48, m | 5.48, m | 5.48, m | 5.48, brd (3.0) | 5.49, brd (3.6) |
| 5 | 2.04, m | 2.02, dt (10.4, 4.5) | 2.04, m a | 2.02, m a | 2.03, m a | 2.03, m a |
| 6 | 1.50, m a | 1.49, m | 1.49, m | 1.50, m | 1.50, m | 1.49, dt (10.0, 5.8) |
| 7a | 1.85, m | 1.84, m | 1.84, m | 1.83, m | 1.84, m | 1.84, m |
| 7b | 1.77, m a | 1.77, m a | 1.77, m a | 1.76, m a | 1.78, m a | 1.76, m a |
| 8 | 5.40, brt (3.6) | 5.40, brt (3.6) | 5.40, brt (3.6) | 5.40, brs | 5.41, brs | 5.41, brs |
| 10 | 1.93, m a | 1.93, m a | 1.93, m a | 1.93, m a | 1.92, m a | 1.93, m a |
| 11 | 1.77, m a | 1.77, m a | 1.77, m a | 1.77, m a | 1.77, m a | 1.76, m a |
| 12a | 1.21, m a | 1.20, m a | 1.21, m a | 1.22, m a | 1.21, m a | 1.20, m a |
| 12b | 1.15, m a | 1.14, m | 1.15, m | 1.14, m a | 1.14, m a | 1.13, m a |
| 13 | 1.36, m a | 1.37, m a | 1.36, m a | 1.35, m a | 1.36, m | 1.35, m |
| 14a | 1.48, m a | 1.37, m a | 1.37, m a | 1.45, m a | 1.47, m | 1.45, dt (11.4, 5.6) |
| 14b | 1.09, m | 1.08, brq (8.5) | 1.09, m | 1.08, m | 1.08, m | 1.09, m |
| 15 | 1.69, m | 1.75, m a | 1.76, m a | 1.65, m | 1.70, m | 1.68, m a |
| 16a | 4.60, d (4.9) | 3.68, dd (9.4, 6.2) | 3.68, dd a | 4.59, d (4.6) | 4.58, d (5.1) | 4.60, d (5.1) |
| 16b | 3.38, dd (9.4, 6.2) | 3.38, dd(9.4, 7.9) | ||||
| 17 | 1.69, s | 1.67, s | 1.69, s | 1.69, s | 1.69, s | 1.68, s |
| 18 | 1.68, s | 1.69, s | 1.68, s | 1.68, s | 1.69, s | 1.68, s |
| 19 | 0.81, d (6.8) | 0.81, d (6.8) | 0.81, d (6.8) | 0.81, d (6.8) | 0.81, d (6.7) | 0.80, d (6.8) |
| 20 | 0.92, d (6.8) | 0.91, d (6.7) | 0.91, d (6.7) | 0.91, d (6.8) | 0.91, d (6.6) | 0.90, d (6.8) |
| 1′ | 4.93, s | 4.31, d (7.7) | 4.34, d (7.8) | 4.88, s | 4.94, s | 5.01, s |
| 2′ | 4.56, d (4.9) | 3.49, dd a | 3.57, dd (9.4, 7.9) | 3.36, d (5.8) | 3.62, d (5.7) | 3.66, m |
| 3′ | 3.75, dd (10.2, 5.3) | 4.93, t (9.0) | 5.12, t (9.5) | 3.71, dd (10.6, 5.8) | 3.38, dd (10.5, 5.8) | 3.74, m |
| 4′ | 4.32, dd (10.1, 7.7) | 3.52, dd a | 5.03, t (9.7) | 4.20, dd (10.3, 8.2) | 4.22, t (9.1) | 3.97, dd (8.1, 5.8) |
| 5′ | 3.89, d (7.7) | 3.51, m a | 3.67, m a | 3.86, d (7.7) | 3.85, d (7.7) | 4.04, m |
| 6′a | 3.95, d (12.5) | 4.43, dd (12.1, 4.2) | 4.27, dd (12.1, 4.9) | 3.94, d (12.1) | 3.92, d (12.6) | 4.15, d (12.6) |
| 6′b | 3.55, dd (12.6, 1.9) | 4.33, dd (11.4, 1.9) | 4.12, dd (12.2, 2.4) | 3.52, d (11.1) | 3.55, dd (12.5) | 3.53, dd (12.7, 2.3) |
| 1” | 5.53, brd (5.1) | 5.56, brd (4.5) | 5.53, d (4.9) | |||
| 2”a | 2.00, m a | 2.01, m a | 2.02, m a | |||
| 2”b | 1.93, m a | 1.96, m a | 1.93, m a | |||
| 3”a | 1.42, m a | 1.41, m | 1.41, m | |||
| 3”b | 1.39, m a | 1.41, m | 1.39, m a | |||
| 4” | 1.70, m a | 1.70, m | 1.67, m a | |||
| 6” | 1.81, d (11.1) | 1.83, d (11.1) | 1.74, d (10.6) | |||
| 8”a | 2.08, m | 2.03, m a | 2.03, m a | |||
| 8”b | 1.89, m a | 1.90, m a | 1.92, m a | |||
| 9”a | 2.46, brt (11.5) | 2.45, brt (14.2) | 2.46, brt (12.8) | |||
| 9”b | 2.05, m a | 2.07, m a | 2.03, m a | |||
| 11” | 2.03, m a | 2.06, m | 1.94, m a | |||
| 12” | 4.75, d (4.7) | 4.78, d (4.5) | 4.85, d (4.8) | |||
| 13” | 1.25, d (6.6) | 1.28, d (6.7) | 1.24, d (6.7) | |||
| 14” | 1.13, s | 1.13, s | 1.13, s | |||
| 15” | 0.85, d (6.5) | 0.86, d (6.5) | 0.85, d (6.6) | |||
| 2′-OAc | 2.16, s | |||||
| 3′-OAc | 2.17, s | 2.08, s | ||||
| 4′-OAc | 2.03, s | |||||
| 6′-OAc | 2.11, s | 2.08, s |
| Position | 1 | 2 | 3 | 4 | 5 | 6 |
|---|---|---|---|---|---|---|
| δC, Type | δC, Type | δC, Type | δc, Type | δC, Type | δC, Type | |
| 1 | 25.2, CH2 | 25.0, CH2 | 24.9, CH2 | 25.1, CH2 | 25.1, CH2 | 25.1, CH2 |
| 2 | 30.9, CH2 | 30.9, CH2 | 30.8, CH2 | 30.7, CH2 | 30.8, CH2 | 30.8, CH2 |
| 3 | 134.6, C | 134.6, C | 136.6, C | 134.3, C | 134.5, C | 134.5, C |
| 4 | 124.0, CH | 123.9, CH | 123.8, CH | 123.7, CH | 123.9, CH | 123.9, CH |
| 5 | 36.5, CH | 36.4, CH | 36.4, CH | 36.3, CH | 36.4, CH | 36.4, CH |
| 6 | 39.1, CH | 39.0, CH | 39.0, CH | 38.9, CH | 38.9, CH | 38.9, CH |
| 7 | 24.7, CH2 | 24.7, CH2 | 24.7, CH2 | 24.5, CH2 | 24.6, CH2 | 24.6, CH2 |
| 8 | 121.6, CH | 121.4 CH | 121.4 CH | 121.3, CH | 121.5, CH | 121.5, CH |
| 9 | 136.7, C | 136.8, C | 136.6, C | 136.5, C | 136.6, C | 136.6, C |
| 10 | 39.7, CH | 39.6, CH | 39.6, CH | 39.4, CH | 39.6, CH | 39.6, CH |
| 11 | 32.0, CH | 31.8, CH | 31.8, CH | 31.7, CH | 31.8, CH | 31.8, CH |
| 12 | 36.0, CH2 | 35.9, CH2 | 35.9, CH2 | 35.8, CH2 | 35.9, CH2 | 35.9, CH2 |
| 13 | 24.7, CH2 | 24.7, CH2 | 24.7, CH2 | 25.1, CH2 | 24.6, CH2 | 24.7, CH2 |
| 14 | 31.9, CH2 | 33.9, CH2 | 33.8, CH2 | 31.9, CH2 | 31.8, CH2 | 31.9, CH2 |
| 15 | 38.1, CH | 33.3, CH | 33.3, CH | 37.9, CH | 35.3, CH | 37.9, CH |
| 16 | 102.0, CH | 75.7, CH2 | 75.8, CH2 | 101.3, CH | 101.6, CH | 102.2, CH |
| 17 | 24.0, CH3 | 23.9, CH3 | 24.0, CH3 | 23.8, CH3 | 23.9, CH3 | 24.0, CH3 |
| 18 | 21.9, CH3 | 21.7, CH3 | 21.8, CH3 | 21.6, CH3 | 21.8, CH3 | 21.8, CH3 |
| 19 | 13.5, CH3 | 13.4, CH3 | 13.4, CH3 | 13.2, CH3 | 13.4, CH3 | 13.4, CH3 |
| 20 | 14.4, CH3 | 16.9, CH3 | 16.9, CH3 | 14.0, CH3 | 14.5, CH3 | 14.3, CH3 |
| 1′ | 98.2, CH | 103.0, CH | 103.0, CH | 100.0, CH | 100.4, CH | 100.0, CH |
| 2′ | 79.7, CH | 72.1, CH | 72.2, CH | 85.5, CH | 75.5, CH | 73.9, CH |
| 3′ | 74.5, CH | 77.4, CH | 74.4, CH | 74.8, CH | 86.9, CH | 72.8, CH |
| 4′ | 66.2, CH | 69.1, CH | 68.6, CH | 65.4, CH | 64.7, CH | 75.8, CH |
| 5′ | 79.6, CH | 74.2, CH | 71.8, CH | 79.8, CH | 79.8, CH | 78.9, CH |
| 6′ | 67.9, CH2 | 63.2, CH2 | 62.2, CH2 | 67.6, CH2 | 67.6, CH2 | 68.1, CH2 |
| 1” | 123.8, CH | 124.0, CH | 123.9, CH | |||
| 2” | 25.6, CH2 | 25.6, CH2 | 25.7, CH2 | |||
| 3” | 26.8, CH2 | 26.7, CH2 | 26.7, CH2 | |||
| 4” | 35.1, CH | 35.3, CH | 35.3, CH | |||
| 5” | 40.4, C | 40.6, C | 40.5, C | |||
| 6” | 59.1, CH | 59.3, CH | 59.5, CH | |||
| 7” | 107.2, C | 107.5, C | 106.9, C | |||
| 8” | 36.3, CH2 | 36.4, CH2 | 36.4, CH2 | |||
| 9” | 28.7, CH2 | 28.9, CH2 | 28.8, CH2 | |||
| 10” | 138.5, C | 138.7, C | 138.8, C | |||
| 11” | 42.1, CH | 42.2, CH | 42.6, CH | |||
| 12” | 109.7, CH | 110.6, CH | 109.4, CH | |||
| 13” | 19.7, CH3 | 20.2, CH3 | 19.8, CH3 | |||
| 14” | 20.6, CH3 | 20.7, CH3 | 20.8, CH3 | |||
| 15” | 16.3, CH3 | 16.5, CH3 | 16.5, CH3 | |||
| 2′-OAc | 172.2, C | |||||
| 21.1, CH3 | ||||||
| 3′-OAc | 172.5, C | 170.7, C | ||||
| 21.1, CH3 | 20.8, CH3 | |||||
| 4′-OAc | 169.7, C | |||||
| 20.7, CH3 | ||||||
| 6′-OAc | 171.7, C | 170.7, C | ||||
| 20.9, CH3 | 20.8, CH3 |
| No. | MIC (Against Staphylococcus aureus, µg/mL) | MIC (Against Bacillus subtilis, µg/mL) | IC50 (Against CCRF-CEM Cell Lines, µM) | IC50 (Against LPS-Induced NO Production; µM) |
|---|---|---|---|---|
| 1 | 8 | 4 | 21.04 | 24.25 |
| 2 | 4 | 4 | 12.27 | 21.56 |
| 3 | >128 | 64 | 17.74 | >30 |
| 4 | >128 | 64 | 17.21 | >30 |
| 5 | >128 | >128 | 10.44 | 28.06 |
| 6 | >128 | 64 | 22.56 | >30 |
| 7 | 8 | 4 | 17.59 | >30 |
| 8 | 4 | 4 | 21.04 | >30 |
| 9 | 8 | 8 | 27.40 | >30 |
| Gentamicin c | 4 | 4 | — | — |
| Chidamide c | — | — | 0.83 | — |
| Dexamethasone c | — | — | — | <0.1 |
Publisher’s Note: MDPI stays neutral with regard to jurisdictional claims in published maps and institutional affiliations. |
© 2021 by the authors. Licensee MDPI, Basel, Switzerland. This article is an open access article distributed under the terms and conditions of the Creative Commons Attribution (CC BY) license (https://creativecommons.org/licenses/by/4.0/).
Share and Cite
Yan, X.; Ouyang, H.; Li, T.; Shi, Y.; Wu, B.; Yan, X.; He, S. Six New Diterpene Glycosides from the Soft Coral Lemnaliabournei. Mar. Drugs 2021, 19, 339. https://doi.org/10.3390/md19060339
Yan X, Ouyang H, Li T, Shi Y, Wu B, Yan X, He S. Six New Diterpene Glycosides from the Soft Coral Lemnaliabournei. Marine Drugs. 2021; 19(6):339. https://doi.org/10.3390/md19060339
Chicago/Turabian StyleYan, Xia, Han Ouyang, Te Li, Yutong Shi, Bin Wu, Xiaojun Yan, and Shan He. 2021. "Six New Diterpene Glycosides from the Soft Coral Lemnaliabournei" Marine Drugs 19, no. 6: 339. https://doi.org/10.3390/md19060339
APA StyleYan, X., Ouyang, H., Li, T., Shi, Y., Wu, B., Yan, X., & He, S. (2021). Six New Diterpene Glycosides from the Soft Coral Lemnaliabournei. Marine Drugs, 19(6), 339. https://doi.org/10.3390/md19060339

