Targeted Isolation of Xenicane Diterpenoids From Taiwanese Soft Coral Asterospicularia laurae
Abstract
1. Introduction
2. Results and Discussion
3. Experimental
3.1. General
3.2. Animal Material
3.3. Global Natural Product Social Molecular Networking
3.4. Extraction and Isolation
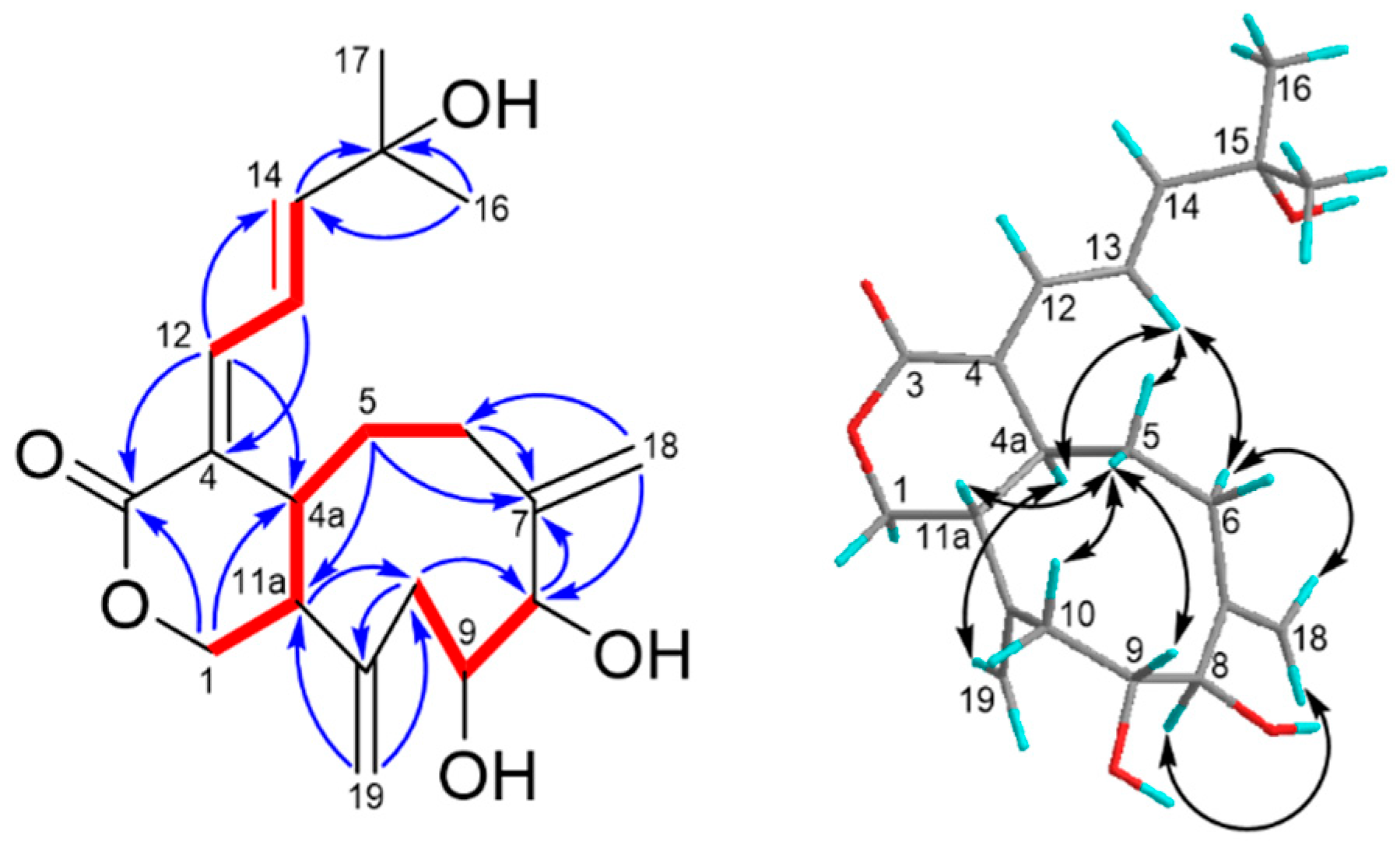
3.5. Spectroscopic Data
- Asterolaurin O (1) amorphous, colorless gum, −1.0° (c 0.05, MeOH); IR (neat) νmax 3424, 2960, 2929, 1719, 1379, 1261, 1167, 1033 cm−1; 1H-NMR and 13C-NMR (CD3OD, 700/175 MHz) see Table 1; HRESIMS m/z 451.10903 (calcd for C20H29BrNaO5, 451.10906).
- Asterolaurin P (2) pale yellowish amorphous gum, −47.6° (c 0.05, MeOH); IR (neat) νmax 3454, 2926, 1727, 1455, 1263, 1029 cm−1; 1H-NMR and 13C-NMR (CD3OD, 600/150 MHz) see Table 1; HRESIMS m/z 369.20379 (calcd for C21H30O4Na, 369.20363).
- Asterolaurin Q (3) amorphous, colorless gum, −1.0° (c 0.05, MeOH); IR (neat) νmax 3420, 2962, 2927, 2360, 1703, 1638, 1261, 1091 cm−1; 1H-NMR and 13C-NMR (CD3OD, 700/175 MHz) see Table 1; HRESIMS m/z 371.18294 (calcd for C20H28O5Na, 371.18290).
- Asterolaurin R (4) amorphous, colorless gum, −47.6° (c 0.05, MeOH); IR (neat) νmax 3433, 2964, 1643, 1260, 1072 cm−1; 1H-NMR and 13C-NMR (CDCl3, 600/150 MHz) see Table 1; HRESIMS m/z 387.21425 (calcd for C21H32O5Na, 387.21420).
3.6. Cytotoxic Assays
4. Conclusions
Supplementary Materials
Author Contributions
Funding
Institutional Review Board Statement
Data Availability Statement
Conflicts of Interest
References
- Newman, D.J.; Cragg, G.M. Natural products as sources of new drugs over the nearly four decades from 01/1981 to 09/2019. J. Nat. Prod. 2020, 83, 770–803. [Google Scholar] [CrossRef]
- Ksebati, M.B.; Schmitz, F.J. 24ξ-Methyl-5α-cholestane-3β,5,6β,22R,24-pentol 6-acetate: New polyhydroxylated sterol from the soft coral Asterospicularia randalli. Steroids 1984, 43, 639–649. [Google Scholar] [CrossRef]
- Bowden, B.; Cusack, B.; Dangel, A. 13-Epi-9-deacetoxyxenicin, a cytotoxic diterpene from the Soft Coral Asterospicularia laurae (Alcyonacea). Mar. Drugs 2003, 1, 18–26. [Google Scholar] [CrossRef]
- Lin, Y.-C.; El-Razek, M.H.A.; Hwang, T.-L.; Chiang, M.Y.; Kuo, Y.-H.; Dai, C.-F.; Shen, Y.-C. Asterolaurins A−F, xenicane diterpenoids from the Taiwanese soft coral Asterospicularia laurae. J. Nat. Prod. 2009, 72, 1911–1916. [Google Scholar] [CrossRef] [PubMed]
- Lin, Y.-S.; Fazary, A.E.; Chen, C.-H.; Kuo, Y.-H.; Shen, Y.-C.; Asterolaurins, G.-J. New xenicane diterpenoids from the Taiwanese soft coral Asterospicularia laurae. Helv. Chim. Acta 2011, 94, 273–281. [Google Scholar] [CrossRef]
- Lin, Y.-S.; Fazary, A.E.; Chen, C.-H.; Kuo, Y.-H.; Shen, Y.-C. Bioactive xenicane diterpenoids from the Taiwanese soft coral Asterospicularia laurae. Chem. Biodiv. 2011, 8, 1310–1317. [Google Scholar] [CrossRef]
- Su, J.-H.; Liu, C.-I.; Lu, M.-C.; Chang, C.-I.; Hsieh, M.-Y.; Lin, Y.-C.; Dai, C.-F.; Zhang, Y.-H.; Lin, Z.-Y.; Lin, Y.-S. New secondary metabolite with cytotoxicity from spawning soft coral Asterospicularia laurae in Taiwan. Nat. Prod. Res. 2019, 1–9. [Google Scholar] [CrossRef]
- Watrous, J.; Roach, P.; Alexandrov, T.; Heath, B.S.; Yang, J.Y.; Kersten, R.D.; van der Voort, M.; Pogliano, K.; Gross, H.; Raaijmakers, J.M.; et al. Mass spectral molecular networking of living microbial colonies. Proc. Natl. Acad. Sci. USA 2012, 109, 1743–1752. [Google Scholar] [CrossRef]
- Allard, P.-M.; Péresse, T.; Bisson, J.; Gindro, K.; Marcourt, L.; Pham, V.C.; Roussi, F.; Litaudon, M.; Wolfender, J.-L. Integration of molecular networking and in-silico ms/ms fragmentation for natural products de-replication. Anal. Chem. 2016, 88, 3317–3323. [Google Scholar] [CrossRef]
- Chao, R.; Hou, X.-M.; Xu, W.-F.; Hai, Y.; Wei, M.-Y.; Wang, C.-Y.; Gu, Y.-C.; Shao, C.-L. Targeted Isolation of Asperheptatides from a Coral-Derived Fungus Using LC-MS/MS-Based Molecular Networking and Antitubercular Activities of Modified Cinnamate Derivatives. J. Nat. Prod. 2021, 84, 11–19. [Google Scholar] [CrossRef]
- Kashman, Y.; Groweiss, A. Xeniolide-A and xeniolide-B, two new diterpenoids from the soft-coral xenia macrospiculata. Tetrahedron Lett. 1978, 48, 4833–4836. [Google Scholar] [CrossRef]
- Braekman, J.C.; Daloze, D.; Tursch, B.; Declercq, J.P.; Germain, G.; Meerssche, M.V. Chemical Studies of Marine Invertebrates. XXXIX. Three novel diterpenoids from the soft coral Xenia novae-britanniae. Bull. Soc. Chim. Belg. 1979, 88, 71–77. [Google Scholar] [CrossRef]
- Kashman, Y.; Groweiss, A. New diterpenoids from the soft corals Xenia macrospiculata and Xenia obscuronata. J. Org. Chem. 1980, 45, 3814–3824. [Google Scholar] [CrossRef]
- Anta, C.; González, N.; Santafé, G.; Rodríguez, J.; Jiménez, C. New xenia diterpenoids from the Indonesian soft coral Xenia sp. J. Nat. Prod. 2002, 65, 766–768. [Google Scholar] [CrossRef] [PubMed]
- Iwagawa, T.; Kawasaki, J.-I.; Hase, T. New xenia diterpenes isolated from the soft coral, Xenia florida. J. Nat. Prod. 1998, 61, 1513–1515. [Google Scholar] [CrossRef]
- Iwagawa, T.; Kawasaki, J.-I.; Hase, T.; Wright, J.L. New di- and tricarbocyclic diterpenes possessing a bicyclic [4.3.1] ring system isolated from the soft coral, Xenia florida. Tetrahedron 1997, 53, 6809–6816. [Google Scholar] [CrossRef]
- Iwagawa, T.; Kawasaki, J.-I.; Hase, T.; Yu, C.-M.; Walter, J.A.; Wright, J.L.C. A new tricarbocyclic diterpene structure from the soft coral Xenia florida. J. Chem. Soc. Chem. Com. 1994, 2073–2074. [Google Scholar] [CrossRef]
- El-Gamal, A.A.H.; Chiang, C.-Y.; Huang, S.-H.; Wang, S.-K.; Duh, C.-Y. Xenia diterpenoids from the formosan soft coral Xenia blumi. J. Nat. Prod. 2005, 68, 1336–1340. [Google Scholar] [CrossRef]
- El-Gamal, A.A.H.; Wang, S.-K.; Duh, C.-Y. Cytotoxic xenia diterpenoids from the soft coral Xenia umbellata. J. Nat. Prod. 2006, 69, 338–341. [Google Scholar] [CrossRef]
- Couperus, P.A.; Clague, A.D.H.; Van Dongen, J.P.C.M. 13C chemical shifts of some model olefins. Org. Mag. Reson. 1976, 8, 426–431. [Google Scholar] [CrossRef]
- Ou-Yang, F.; Tsai, I.-H.; Tang, J.-Y.; Yen, C.-Y.; Cheng, Y.-B.; Farooqi, A.A.; Chen, S.-R.; Yu, S.-Y.; Kao, J.-K.; Chang, H.-W. Antiproliferation for Breast Cancer Cells by Ethyl Acetate Extract of Nepenthes thorellii x (ventricosa x maxima). Int. J. Mol. Sci. 2019, 20, 3238. [Google Scholar] [CrossRef] [PubMed]
- Zhang, X.; Samadi, A.K.; Roby, K.F.; Timmermann, B.; Cohen, M.S. Inhibition of cell growth and induction of apoptosis in ovarian carcinoma cell lines CaOV3 and SKOV3 by natural withanolide Withaferin A. Gynecol. Oncol. 2012, 124, 606–612. [Google Scholar] [CrossRef] [PubMed]
- Kessner, D.; Chambers, M.; Burke, R.; Agus, D.; Mallick, P. ProteoWizard: Open source software for rapid proteomics tools development. Bioinformatics 2008, 24, 2534–2536. [Google Scholar] [CrossRef] [PubMed]
- Wang, M.; Carver, J.J.; Phelan, V.V.; Sanchez, L.M.; Garg, N.; Peng, Y.; Nguyen, D.D.; Watrous, J.; Kapono, C.A.; Luzzatto-Knaan, T.; et al. Sharing and community curation of mass spectrometry data with Global Natural Products Social Molecular Networking. Nat. Biotechnol. 2016, 34, 828–837. [Google Scholar] [CrossRef] [PubMed]
- Shannon, P.; Markiel, A.; Ozier, O.; Baliga, N.S.; Wang, J.T.; Ramage, D.; Amin, N.; Schwikowski, B.; Ideker, T. Cytoscape: A Software Environment for Integrated Models of Biomolecular Interaction Networks. Genome Res. 2003, 13, 2498–2504. [Google Scholar] [CrossRef]






| 1 b | 2 a | 3 b | 4 c | |||||
|---|---|---|---|---|---|---|---|---|
| δH (J in Hz) | δc | δH (J in Hz) | δc | δH (J in Hz) | δc | δH (J in Hz) | δc | |
| 1 | 176.9, s | 4.11, dd (5.9, 11.3) | 72.4, t | 4.09, dd (4.1, 11.0) | 71.5, t | 3.61, dd (6.5, 11.5) | 65.9, t | |
| 3.63, t (11.3) | 3.91, t (11.0) | 3.28, t (11.5) | ||||||
| 3 | 4.44, d (12.0) | 73.2, t | 171.4, s | 172.2, s | 5.17, brs | 99.2, d | ||
| 5.06, d (12.0) | ||||||||
| 4 | 137.0, s | 134.6, s | 133.3, s | 138.5, s | ||||
| 4a | 3.18, t (12.0) | 39.3, d | 2.70, dt (2.9, 11.0) | 52.0, d | 3.17, t (9.2) | 42.8, d | 2.97, brd (11.5) | 43.1, d |
| 5 | 1.95, m | 33.4, t | 1.61, m | 39.1, t | 1.84, m | 38.5, t | 1.61, m | 34.8, t |
| 1.87, m | 1.83, m | |||||||
| 6α | 2.08, m | 40.8, t | 2.19, m | 40.9, t | 1.92, m | 31.0, t | 2.20, t (3.6) | 40.5, t |
| 6β | 1.82, m | 2.22, t (3.6) | ||||||
| 7 | 37.4, s | 133.2, s | 149.0, s | 59.2, s | ||||
| 8 | 4.09, d (5.7) | 71.2, d | 5.26, d (7.4) | 131.8, d | 3.97, d (9.0) | 83.1, d | 3.00, d (8.0) | 66.9, d |
| 9 | 4.37, td (5.7, 8.7) | 75.1, d | 4.72, t (7.4) | 67.9, d | 4.06, dd (3.9, 9.0) | 70.5, d | 3.80, dd (8.0, 7.4) | 69.1, d |
| 10α | 2.24, d (8.7) | 39.8, t | 2.34, d (13.6) | 46.2, t | 2.48, m | 45.0, t | 2.45, m | 44.7, t |
| 10β | 2.22, d (5.7) | 2.50, dd (13.6, 6.4) | 2.60, m | 2.47, t (7.4) | ||||
| 11 | 72.5, s | 149.5, s | 148.3, s | 147.4, s | ||||
| 11a | 2.88, d (12.0) | 57.3, d | 2.06, dd (5.9, 11.0) | 51.1, d | 2.46, m | 44.7, d | 2.26, dd (6.5, 11.5) | 50.7, d |
| 12 | 6.15, d (11.1) | 129.7, d | 6.53, d (11.0) | 137.3, d | 7.04, d (11.8) | 140.4, d | 6.36, d (11.3) | 126.5, d |
| 13 | 6.34, dd (11.1, 15.3) | 122.3, d | 6.76, dd (11.0, 15.7) | 126.6, d | 6.57, dd (11.8, 15.1) | 121.7, d | 6.44, dd (11.3,14.9) | 120.4, d |
| 14 | 5.94, d (15.3) | 146.2, d | 5.98, d (15.7) | 146.4, d | 6.35, d (15.1) | 153.2, d | 5.97, d (14.9) | 144.6, d |
| 15 | 71.3, s | 76.5, s | 71.5, s | 71.0, s | ||||
| 16 | 1.30, s | 29.8, q | 1.30, s | 26.0, q | 1.34, s | 29.7, q | 1.32, s | 29.9, q |
| 17 | 1.30, s | 29.8, q | 1.30, s | 25.9, q | 1.34, s | 29.7, q | 1.32, s | 29.9, q |
| 18 | 1.15, s | 34.7, q | 1.70, s | 17.3, q | 5.20, d (1.6) | 120.2, t | 1.44, s | 17.3, q |
| 5.10, d (1.6) | ||||||||
| 19A | 1.76, d (14.6) | 44.7, t | 5.06, s | 115.3, t | 5.02, d (1.8) | 116.5, t | 4.85, s | 114.8, t |
| 19B | 1.84, d (14.6) | 4.95, s | 4.84, d (1.8) | 5.11, s | ||||
| OH | 4.61, brs | |||||||
| OMe | 3.16, s | 50.9, q | 3.47, s | 55.1, q | ||||
| Compound/Tumor Cells | MCF-7 | Ca9-22 | SK-OV-3 |
|---|---|---|---|
| 1 | 14.7 ± 0.23 | >100 | >100 |
| 2 | 25.1 ± 4.1 | >100 | >100 |
| 3 | >100 | >100 | >100 |
| 4 | >100 | >100 | >100 |
| 5 | >100 | >100 | >100 |
| 6 | >100 | >100 | >100 |
| 7 | >100 | >100 | >100 |
| 8 | >100 | >100 | >100 |
| 9 | >100 | >100 | >100 |
| 10 | >100 | >100 | >100 |
| Cisplatin a | 19.8 | 13.8 |
Publisher’s Note: MDPI stays neutral with regard to jurisdictional claims in published maps and institutional affiliations. |
© 2021 by the authors. Licensee MDPI, Basel, Switzerland. This article is an open access article distributed under the terms and conditions of the Creative Commons Attribution (CC BY) license (http://creativecommons.org/licenses/by/4.0/).
Share and Cite
Lin, Y.-C.; Chen, Y.-J.; Chen, S.-R.; Lien, W.-J.; Chang, H.-W.; Yang, Y.-L.; Liaw, C.-C.; Su, J.-H.; Chen, C.-Y.; Cheng, Y.-B. Targeted Isolation of Xenicane Diterpenoids From Taiwanese Soft Coral Asterospicularia laurae. Mar. Drugs 2021, 19, 123. https://doi.org/10.3390/md19030123
Lin Y-C, Chen Y-J, Chen S-R, Lien W-J, Chang H-W, Yang Y-L, Liaw C-C, Su J-H, Chen C-Y, Cheng Y-B. Targeted Isolation of Xenicane Diterpenoids From Taiwanese Soft Coral Asterospicularia laurae. Marine Drugs. 2021; 19(3):123. https://doi.org/10.3390/md19030123
Chicago/Turabian StyleLin, Yu-Chi, Yi-Jen Chen, Shu-Rong Chen, Wan-Ju Lien, Hsueh-Wei Chang, Yu-Liang Yang, Chia-Ching Liaw, Jui-Hsin Su, Ching-Yeu Chen, and Yuan-Bin Cheng. 2021. "Targeted Isolation of Xenicane Diterpenoids From Taiwanese Soft Coral Asterospicularia laurae" Marine Drugs 19, no. 3: 123. https://doi.org/10.3390/md19030123
APA StyleLin, Y.-C., Chen, Y.-J., Chen, S.-R., Lien, W.-J., Chang, H.-W., Yang, Y.-L., Liaw, C.-C., Su, J.-H., Chen, C.-Y., & Cheng, Y.-B. (2021). Targeted Isolation of Xenicane Diterpenoids From Taiwanese Soft Coral Asterospicularia laurae. Marine Drugs, 19(3), 123. https://doi.org/10.3390/md19030123

