Abstract
We describe the efficient synthesis of a series of new simplified hamigeran B and 1-hydroxy-9-epi-hamigeran B norditerpenoid analogs (23 new members in all), structurally related to cyathane diterpenoid scaffold, and their anti-neuroinflammatory and neurite outgrowth-stimulating (neurotrophic) activity. Compounds 9a, 9h, 9o, and 9q exhibited moderate nerve growth factor (NGF)-mediated neurite-outgrowth promoting effects in PC-12 cells at the concentration of 20 μm. Compounds 9b, 9c, 9o, 9q, and 9t showed significant nitric oxide (NO) production inhibition in lipopolysaccharide (LPS)-activated BV-2 microglial cells, of which 9c and 9q were the most potent inhibitors, with IC50 values of 5.85 and 6.31 μm, respectively. Two derivatives 9q and 9o as bifunctional agents displayed good activities as NO production inhibitors and neurite outgrowth-inducers. Cytotoxicity experiments, H2O2-induced oxidative injury assay, and ELISA reaction speculated that compounds may inhibit the TNF-α pathway to achieve anti-inflammatory effects on nerve cells. Moreover, molecular docking studies provided a better understanding of the key structural features affecting the anti-neuroinflammatory activity and displayed significant binding interactions of some derivatives (like 9c, 9q) with the active site of iNOS protein. The structure-activity relationships (SARs) were also discussed. These results demonstrated that this structural class compounds offered an opportunity for the development of a new class of NO inhibitors and NGF-like promotors.
1. Introduction
In recent years, the prevalence of neurodegenerative disorders is increasing [1,2,3,4]. Dementias are responsible for the greatest burden of neurodegenerative diseases. For example, it is estimated that there are currently almost 47 million people worldwide living with dementia. Alzheimer’s disease (AD) is the most common type of dementia and it causes aberrant synapse pruning in neurologic disorders. Individuals from the aging population are suffering from AD [5,6,7,8], without any available disease-modifying treatments to prevent or treat cognitive deficits associated [9,10,11]. There has been an explosion of new findings in the nervous system, from contributions to migration of cells and synapse elimination during development to detrimental damage of nerve cells in autoimmunity and aberrant synapse pruning in neurologic disorders [12,13,14]. Meanwhile, studies suggest that the promotion of an anti-inflammatory response may slow or prevent diseases [15]. Therefore, there is a continuous need to search for high potent compounds as primary sources of medicines to optimize drug discovery and to develop more effective therapies. On the other hand, nerve growth factor (NGF), brain-derived neurotrophic factor (BDNF), neurotrophins like NT-3, NT-4, NT-5, have attracted attention as potential therapeutics for severe neurodegenerative diseases such as AD or as regeneration-promoting compounds [16]. However, their protein properties such as complex structures and high molecular weight eliminated them for using as clinical medication. Hence, the search for small molecules with the NGF biological functions or the NGF-induced neurotrophic activity arouses high interest [17].
The hamigeran diterpenoids, possessing a unique [5,6,6] or [5,6,7] fused tricyclic framework (Figure 1), also known as A-B-C rings, are structurally intriguing, marine-derived natural products. Among them, hamigerans A and B (1 and 2), discovered in 2000 from the poecilosclerid sponge, Hamigera tarangaensis [18], share the first naturally occurring [5,6,6] skeleton. Interestingly, the cyathanes comprise a structurally diverse class of diterpenoids with over 100 members reported from higher fungi thus far [19], featuring a unique [5,6,7] tricarbocyclic scaffold (Figure 1). Except that the seven-membered ring in cyathane scaffold is replaced by a benzene ring in hamigerans, they all have tricarbocyclic ring system, multiple stereogenic centers, and are punctuated by carbons at a variety of oxidation states. Very recently, our group discovered a series of novel natural cyathane diterpenoids with neurotrophic and anti-neuroinflammatory effects from higher basidiomycetes such as Cyathus africanus, Sarcodon scabrosus [20,21], such as sarcodonin G (3), striatoid B (4), cyafricanin C (5), and allocyathin B2 (6). The two small families of natural products have aroused considerable interest from the research communities of natural products, pharmacology, and synthetic chemistry because of their unique structures with intriguing biological potential [22,23,24,25]. Many synthetic endeavors have been devoted to the synthesis of hamigeran B (2), and our group achieved the total synthesis of hamigeran B in 2018 [23,24,25,26,27]. However, the novel pharmacological properties of hamigeran B analogs have not been assessed in anti-neuroinflammatory and neurotrophic activity so far. Because of the similarity of the ABC ring scaffold in their structures, we speculated the hamigeran B derivatives may also possess analogous neurological activity to the cyathanes. As a result, the substantial interest in the synthesis has resulted in the biological investigation on neurite-outgrowth stimulation and anti-neuroinflammatory activity. Herein, we present a concise synthesis of simplified hamigeran B and 1-hydroxy-9-epi-hamigeran B analogs and biological evaluation thereof.
Figure 1.
Selected structures of hamigerans (1–2) and cyathanes (3–6).
2. Results
2.1. Chemistry
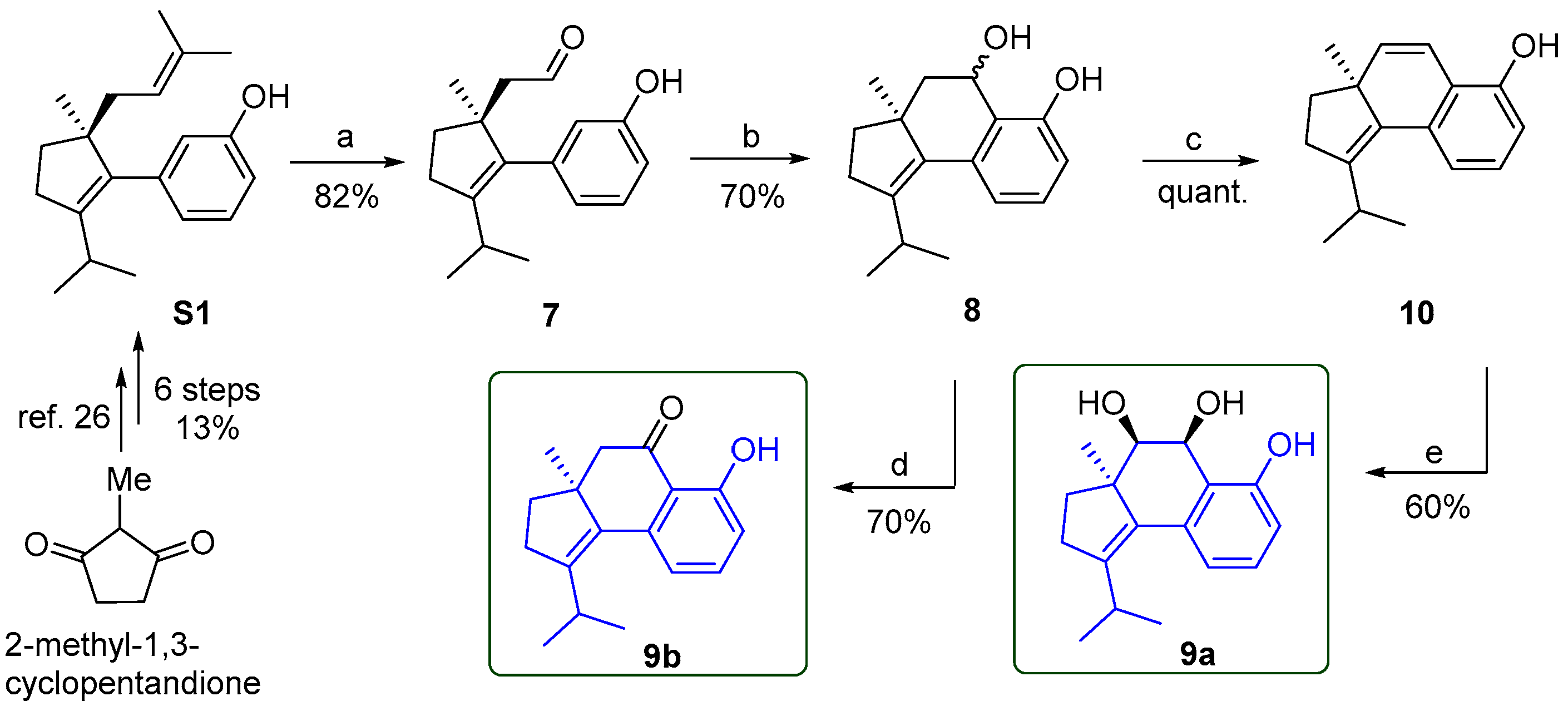
The synthetic route for the synthesis of the hamigeran B skeleton is illustrated in Scheme 1. The synthesis of diol 9a commenced with preparation of chiral phenolic compound 7 starting from precursor S1 which was prepared from a readily affordable 2-methyl-1,3-cyclopentanedione over six steps with 13% total yield, according to the previously reported protocol [26]. The compound S1 was treated by OsO4 and NaIO4 to give the aldehyde 7 a 70% yield, which was unstable in air [26]. The tricyclic compound 8 is envisioned as being constructed through a key intramolecular Friedel–Crafts cyclization of aldehyde 7 with 70% yield. The exclusively high regioselectivity may be attributed to the formation of a coordination intermediate, which fixes the nucleophilic site at the ortho position to the phenolic OH. The compound 8 was treated with PCC to give the oxidative product 9b in 70% yield. After obtaining the dehydrated intermediate 10, the regioselective dihydroxylation of the double bond in the central B ring of 10 with OsO4 and 4-methylmorpholine N-oxide (NMO) proceeded anti to the angular methyl group to give the diol 9a in 60% yield.
Scheme 1.
Synthesis of hamigeran B derivatives 9a and 9b. (a) OsO4, NaIO4, dioxane/H2O, rt, 82%; (b) EtMgBr, THF, −78 °C, 70%; (c) 85 °C, 12 h, quant; (d) PCC, NaOAc, CH2Cl2, 0 °C, 70%; (e) OsO4, NMO, THF/H2O, rt, 60%.
The synthetic route for the synthesis of 1-hydroxyl-9-epi-hamigeran B intermediate is illustrated in Scheme 2. The synthesis of intermediate diol 9p, began with the known chiral cyclopentaneone 11 as the previous study [28]. Using imidazole and TBSCl to treat compound 11 afforded the α-hydroxy protected compound 12. Isopropylation of the compound 12 with i-PrI followed by a base enolization with LiHMDS and Comins’ reagent (PhNTf2 is comins’ reagent, named after a person, Daniel Comins) provided enol triflate 13 in two steps with 70% yield. For the coupled product 14, we preferred to examine the Suzuki cross-coupling of 13 with pinacol boronate instead of the corresponding boronic acid that was used previously in Trost’s synthesis [29]. Oxidation of the olefinic 14 was conducted by using a combination of OsO4 and NaIO4 to give 90% yield of the aldehyde 15, which was unstable in the air [26]. The compound 16 was envisioned as being constructed via an intramolecular Friedel–Crafts cyclization as the key reaction of 15 followed by protection of the phenol hydroxyl with MeI. We are failed to obtain the pure 16 as the by-product has the similar polarity. To our delight, the by-product can be removed next step. The compound 16 was affected by PCC to give the oxidative product 9o. A couple of enantiomers with ipsilateral dihydroxyl obtained by regioselective dihydroxylation of TBS protected 17 are difficult to purify. Therefore, the compound 17 were constructed through removing the protective group followed by dehydration. The regioselective dihydroxylation of the double bond in the B ring of 17 with OsO4 and NMO anti to the angular methyl group afforded the intermediate diol 9p. We have established a concise route for the synthesis of 1-hydroxyl-9-epi-hamigeran B cores 9p and 9o that proceeds via an eight-step sequence from the known ketone 11. To the best of our knowledge, this synthetic route represents the first time that can accomplish the synthesis of 1-hydroxyl-9-epi-hamigeran B intermediates within 10 steps from a known compound. Moreover, most of the transformations employed herein could be performed on multigram scale. This makes our synthetic route highly useful for mass production.
Scheme 2.
Synthesis of 1-hydroxyl-9-epi-hamigeran B intermediates 9o and 9p. (a) TBSCl, Imidazole, DMF, rt, 91%; (b) 1. i-PrI, NaH, THF, Reflux, 88%; 2. LiHMDS, PhNTf2, THF, −78 °C, 80%; (c) K2CO3, Cat. Pd, DMF/EtOH, rt, 90%; (d) OsO4, NaIO4, Dioxane/H2O, 80 °C, 80%; (e) EtMgBr, THF, then K2CO3, MeI, 50 °C, 70%; (f) PCC, NaOAc, CH2Cl2, 0 °C, 73%; (g) 1. TBAF, THF, 0 °C, 76%; 2. TsOH, THF, 70 °C, 92%; (h) OsO4, MMNO, THF/H2O, rt, 60%.
The hamigeran B skeleton-based derivatives 9b–n and 1-hydroxyl-9-epi-hamigeran B-based 9o-w obtained (Figure 2) were prepared according to the methods in the section of Materials and Methods. Protecting the hydroxyl of 9a afforded the corresponding compound 9h-n. Hydrogenation of 9h and 9g proceeded very efficiently to provide the hydrogenated product 9c and 9e. The compounds 9h, 9m, and 9n were constructed via esterification from 9a. Hydrolysis and concomitant oxidation proceeded 9c to produce 9d, followed by the condensation which afforded 9g. Using trifluoroacetic acid to treat compound 9e afforded the product 9f. Compounds 9q and 9s were constructed via removing methyl on the phenolic group of 9o and 9r. The compound 9t was established through simply eliminating 1-Hydroxy of 9s. Protecting the hydroxyl of 9p afforded the corresponding compound 9u-w. There are also six annellation compounds (9e, 9g, 9i–j, 9l, 9w) and two trisubstituted ester molecules (9m bearing Boc-alaester and 9n bearing nitrobenzoate). After chromatographic purification, all compounds including 9a–w were subjected to spectroscopic analysis, and their structures and purity (≥95%) for biological analysis were confirmed by means of HRESIMS and 1H and 13C NMR analysis.
Figure 2.
Hamigeran B series of derivatives 9a–n and 1-Hydroxy-9-epi-hamigeran B series of derivatives 9o–w.
2.2. Biological Evaluation
According to previously reported methods [30,31], we used rat pheochromocytoma PC12 cells as a model system of neuronal differentiation to measure the effects of the synthesized compounds hamigeran B (2), 9a–n and 9o–w on neurite outgrowth, with NGF (10 ng/mL) as positive control. Specifically, as shown in Figure 3, most of them in combination with NGF (10 ng/mL) showed NGF-mediated neurite-outgrowth promoting activities, and 9a, 9h, 9o, and 9q exhibited significant neuritogenic effects with the percentage of neurite-bearing PC12 cells of 15.94%, 14.99%, 24.23%, and 16.68%, respectively, compared to NGF control cells (9.35%) and the parent molecule 2 (11.34%). Among them, 9o, possessing an ether bond, and in particular large bulky TBS and OMe groups, was the most potent neurotrophic NGF-like inducer.
Figure 3.
Effects of test compounds on neurite outgrowth in PC-12 cells after 72 h treatment. (top) Morphological characteristics of PC12 cell after treatment with compound 9o. (bottom) Percentage of neurite-bearing PC12 Cells. Cell with one or more neurites whose lengths were at least twice the diameter of the cell body were counted as neurite-bearing cells. The purple bars mean statistically significant compounds. In all panels, error bars indicate ± SD (n = 3). * p < 0.05, ** p < 0.01, *** p < 0.001, **** p < 0.0001 compared with the nerve growth factor (NGF) group.
The inhibitory effects of the hamigeran B derivatives (9a–n) and 1-hydroxyl-9-epi-hamigeran B ones (9o–w) on LPS-stimulated NO production in BV2 cells were assessed according to our reported methods [32,33]. The results of inhibitory effects are depicted in Figure 4. As a result, most of the tested compounds showed inhibitory effects on NO production, and 9b–c, 9f, 9o, 9q, and 9t exerted significant effects, with IC50 values in the approximate range 5.8–24 μm. Among them, the most potent inhibitors, 9c (IC50 = 5.85 μm) and 9q (IC50 = 6.31 μm) showed a comparable inhibition potency to natural product quercetin (IC50 = 4.3 μm). The most important thing is that they can be cheaply stored and transported as the less deliquescent than quercetin.
Figure 4.
Inhibitory effects of compounds NO production in BV-2 cells. In all panels, error bars indicate ± SD (n = 3). * p < 0.05, ** p < 0.01, *** p < 0.001 compared with DMSO.
The effect on NO production could technically be due to toxicity on the cells. To exclude the possibility that their inhibitory activity was simply due to the cytotoxicity of the tested compounds, a cytotoxicity assay was conducted in BV-2 cells. As shown in Figure 5, when compared to the vehicle control at 10 μm, all 16 compounds failed to affect cell viability significantly. While the compounds display mild toxicity, the toxicity cannot account for the other observed effects. It is further proved that 16 compounds have certain anti-neuritis activity, which has nothing to do with cytotoxic activity.
Figure 5.
Cellular activity of compounds on BV-2 cells. The viability of control cells was defined as 100%. In all panels, error bars indicate ± SD (n = 3).
The accumulation of H2O2 can lead to amyloid production, dopamine oxidation, and cerebral ischemia. Therefore, the formed H2O2 can be easily converted into highly toxic hydroxyl radicals generated by Fenton’s chemical method to damage lipids, proteins, and DNA. The oxidative damage may lead to mitochondrial dysfunction, calcium imbalance, inflammation, and apoptosis of nerve cells [34]. At a concentration of 10 μm, compound 9o has better protective activity in the oxidative stress response of PC12 cells caused by H2O2 and other compounds have weak activity in Figure 6.
Figure 6.
Cell-protective effect of citrus flavanones on H2O2-induced cytotoxicity in PC12 cells. The viability of control cells was defined as 100%. In all panels, error bars indicate ± SD (n = 3). ### p < 0.001, compared with control-H2O2 group, * p < 0.05, ** p < 0.01, *** p < 0.001 compared with the H2O2-treated group.
TNF-α is a cytokine produced in response to infection and is closely related to the NF-κB pathway in the inflammatory response [35]. Based on the above experiments, in order to further prove the anti-neuritis activity of 9b, 9c, 9o, and 9q, we used enzyme-linked immune response (ELISA) to determine the secretion of TNF-α in BV-2 cells stimulated by LPS under the action of the above compounds. When BV-2 were treated with different concentrations of 9b, 9c, 9o, and 9q, TNF-α was reduced to varying degrees in a dose-dependent manner in Figure 7.
Figure 7.
Production of TNF-α secretion in BV-2 cells with compounds. In all panels, error bars indicate ± SD (n = 3). ### p < 0.001, compared with control-LPS group, * p < 0.05, ** p < 0.01, *** p < 0.001 compared with the LPS-treated group.
3. Discussion
Based on the NO inhibition profile of these hamigeran B analogs (Figure 4), the structure-activity relationships (SARs) are summarized in Figure 8: (1) For whether hamigeran B or 9-epi-hamigeran B series, the [5,6,6]-tricarbocyclic system (ABC ring) is essential to activity, and introduction of an N-or O-heterocyclic ring (D ring) at C-7/C-8, or acylation or ether bond of three hydroxyl groups in 9a were detrimental to or led to a loss in activity (9e, 9g, 9k, 9w); (2) for hamigeran B series, hydrogenation of the double bond at C-3/C-4 is crucial to improved activity (9c IC50 = 5.85 μm) relative to 9h, hydrogenation of the keto group at C-8 enhanced activity (9f, IC50 = 24.91 μm vs. 9d, IC50 > 50 μm); for 9-epi-hamigeran B series, the presence of the phenol hydroxyl at C14 was important for activity (9q, IC50 = 6.31 μm vs. 9o, IC50 = 11.9 μm, the IC50 concentration curves in Supplementary Materials), and introduction of a large steric hindrance group (a sterically hindered group TBS), that is, TBS, at C-1 was able to highly increase activity (9o) compared to 9r; the large conjugated system with benzene-ring was important for enhancing the activity, for example, 9t (IC50 = 11.98 μm) with a conjugated cyclpentan-1,3-diene unit was far more active in comparison with 9s.
Figure 8.
Structure-activity relationships (SARs) of hamigeran B analogues.
Cytotoxicity experiments showed that 16 compounds had no cytotoxic activity, proving that anti-neuritis activity was not caused by cytotoxicity. Therefore, compounds 9b, 9c, 9o, and 9q have no neuroprotective activity under the action of oxidative stress, further indicating that the 4 compounds have good anti-neuritis activity. Using ELISA reaction, it was found that 9b, 9c, 9o, and 9q and 4 compounds all inhibited the secretion of TNF-α in LPS activated BV-2 cells. Among them, the inhibitory effect of 9b was particularly obvious, and the tumor necrosis factor (TNF-α) was down-regulated in a dose-dependent manner. TNF-α is an important factor in the NF-κB inflammation pathway, and it is speculated that compounds may inhibit the pathway to achieve anti-inflammatory effects on nerve cells.
In order to investigate the putative binding mode of the potent inhibitors 9b, 9c, 9o, and 9q on the inducible nitric oxide synthase (iNOS), a molecular modeling study was carried out. As a result, the binding mode predicted for 9b, 9c, 9o, and 9q in the docking studies is shown in Figure 9, the phenolic hydroxyl group at the C-14 position in 9b facilitated hydrogen bonding interaction with TYR-373 (binding-length: 2.124 Å) and ASP-382 (binding-length: 2.079 Å and 2.325 Å). The carboxide of acetate group at the C-8 position in 9c was favorably placed in the pocket facilitating hydrogen bonding interaction with TRP-346 (binding-length: 3.304 Å) and TYR-373 (binding-length: 1.984 Å), and the carboxide of acetate group at C-7 position facilitated hydrogen bonding interaction with GLN-263 (binding-length: 1.948 Å). The carboxide at the C-7 position in 9o was favorably placed in the pocket facilitating hydrogen bonding interaction with TYR-373 (binding-length: 3.548 Å). Intriguingly, the protected α-hydroxy with TBS in 9q facilitated hydrogen bonding with GLN-263 (binding-length: 1.996 Å and 3.311 Å). The results showed that the four compounds are stabilized by different and significant binding interactions (i.e., hydrogen bonding). These interactions were determined between the synthesized compounds and the active site of the iNOS enzyme model; furthermore, the calculated binding-lengths were in good agreement with the experimental IC50 values. The two most active compounds, that is, 9c and 9q, in these series exhibited several strong interactions with the active site of the enzyme (Figure 9).
Figure 9.
Molecular-docking simulations of 9b, 9c, 9o, and 9q into the iNOS binding site obtained in the lowest energy conformation.
4. Materials and Methods
4.1. Chemistry
4.1.1. General
The NMR spectra (detail in Supplementary Materials) were recorded on Bruker AV at 300 and 500 MHz. Chemical shifts are given in ppm relative to TMS or the appropriate solvent resonance as the internal standard (CDCl3: 7.26; 77.16 ppm). High resolution mass spectra were obtained from IonSpec 4.7 Tesla FTMS mass spectrometer (MALDI), Bruker APEXIII 7.0 TESLA FTMS (ESI). Thin layer chromatography was conducted on Merck 60 F254 pre-coated silica gel plates. Column chromatography (CC) was carried out by normal silica gel (40–60 µm, 200–400 mesh, Silicycle P60). All reagents were obtained from commercial sources and used without further purification. Non-aqueous reactions were conducted under an inert atmosphere of argon in flame-dried glassware. Anhydrous solvents were treated under argon atmosphere as follow: tetrahydrofuran and diethyl ether were distilled from sodium, dichloromethane and toluene were distilled from calcium hydride. Anhydrous acetonitrile (Adamas, SafeDry, with molecular sieves) was commercially available.
4.1.2. Detailed Procedure for Synthesis of Compounds S1, 7, 8, 10, 12–17 and 9a–w
(S)-3-(2-isopropyl-5-methyl-5-(3-methylbut-2-en-1-yl)cyclopent-1-en-1-yl)phenol (S1). To a solution of (S)-2-isopropyl-5-methyl-5-(3-methylbut-2-en-1-yl)cyclopent-1-en-1-yl trifluoromethanesulfonate (2.1 g, 6.2 mmol) in the mixed solvents of DMF (60 mL) and EtOH (60 mL), (3-hydroxyphenyl)boronic acid (1.7 g, 12.4 mmol), palladacycle [36] (0.18 g, 0.3 mmol), K2CO3 (1.7 g, 12.4 mmol) were added at room temperature under nitrogen. The resulting mixture was stirred at the same temperature for 24 h. The reaction mixture was then poured into water (60 mL) and extracted with ethyl acetate (3 × 60 mL). The organic layers were combined, washed with brine (5 × 15 mL), dried over Na2SO4 and concentrated in vacuum. The residue was purified by silica-gel CC to afford the desired cross-coupling product S1 (5.50 g, 90%) as a colorless oil (Rf = 0.48 petroleum ether/ethyl acetate = 5/1). 1H NMR (300 MHz, CDCl3) δ 6.78–6.74 (m, 1H), 6.66 (dt, J = 7.6, 1.2 Hz, 1H), 6.58 (dd, J = 2.6, 1.4 Hz, 1H), 5.23–5.17 (m, 2H), 4.98 (s, 1H), 2.46–2.37 (m, 1H), 2.32 (d, J = 14.6 Hz, 2H), 2.04–1.96 (m, 2H), 1.95–1.83 (m, 1H), 1.73 (d, J = 1.5 Hz, 3H), 1.69–1.57 (m, 4H), 1.02 (s, 3H), 0.95 (t, J = 7.1 Hz, 6H). 13C NMR (75 MHz, CDCl3) δ 154.79, 144.81, 141.73, 140.41, 132.26, 128.81, 122.40, 121.9, 116.51, 113.10, 51.84, 38.16, 35.90, 28.11, 27.71, 26.40, 26.13, 21.59, 21.40, 18.01. HRESIMS m/z Calcd for C20H28O ([M + H]+): 285.2213; Found: 285.2219.
(S)-2-(2-(3-hydroxyphenyl)-3-isopropyl-1-methylcyclopent-2-en-1-yl)acetaldehyde (7). To a solution of NaIO4 (2.75 g, 12.89 mmol), pyridine (1.03 mL, 12.89 mmol), and S1 (0.92 g, 3.22 mmol) in dioxane/H2O (30 mL/10 mL) OsO4 (0.039 M in H2O, 2.48 mL, 0.09 mmol) was added dropwise at room temperature. After stirring for 16 h, the reaction mixture was quenched with saturated aq. Na2SO3 (40 mL) and stirred for 30 min. The aqueous layer was extracted with EtOAc (3 × 20 mL). The combined organic layer was washed successively with H2O (2 × 20 mL) and brine (20 mL), dried over Na2SO4, and concentrated in vacuum. The residue was purified by silica-gel CC to provide 7 (0.68 g, 82% yield) as a colorless oil (Rf = 0.4, petroleum ether/EtOAc = 4:1).
(S)-2-(2-(3-hydroxyphenyl)-3-isopropyl-1-methylcyclopent-2-en-1-yl)acetaldehyde (8). To a solution of 7 (0.6 g, 2.32 mmol) in THF (23 mL), ethylmagnesium bromide (0.3 M in THF, 7.7 mL, 2.32 mmol) was added dropwise at −78 °C and stirred for 1 h. The reaction mixture was heated to room temperature stirred overnight, then quenched with saturated aq. NH4Cl (30 mL), and then extracted with EtOAc (3 × 20 mL). The combined organic layer was washed successively with H2O (2 × 20 mL) and brine (20 mL), dried over Na2SO4 and concentrated in vacuum. The residue was purified by silica-gel CC to give 8 (0.42 g, 70% yield) as a white solid (Rf = 0.3, petroleum ether/EtOAc = 4:1). 1H NMR (300 MHz, CDCl3) δ 7.17 (t, J = 8.0 Hz, 1H), 6.98 (d, J = 7.8 Hz, 1H), 6.78 (d, J = 8.1 Hz, 1H), 5.20 (dd, J = 10.8, 6.7 Hz, 1H), 3.21 (p, J = 6.8 Hz, 1H), 2.60–2.33 (m, 3H), 1.83–1.60 (m, 3H), 1.16 (d, J = 6.9 Hz, 3H), 1.02 (d, J = 7.8 Hz, 6H). HRESIMS m/z Calcd for C17H22O2 ([M + Na]+): 281.1512; Found: 281.1506.
(S)-1-isopropyl-3a-methyl-3,3a-dihydro-2H-cyclopenta[a]naphthalen-6-ol (10). To a solution of 7 (0.6 g, 2.32 mmol) in THF (23 mL), ethylmagnesium bromide (0.3 M in THF, 7.7 mL, 2.32 mmol) was added dropwise at −78 °C and stirred for 1 h. The reaction mixture was then heated at 85 °C for 12 h. The reaction mixture was cooled to room temperature, quenched with saturated aq. NH4Cl (30 mL), and extracted with EtOAc (3 × 20 mL). The combined organic layer was washed successively with H2O (2 × 20 mL) and brine (20 mL), dried over Na2SO4, and concentrated in vacuum. The residue was purified by silica-gel CC to give 10 (0.39 g, 70% yield) as a brown solid (Rf = 0.5, petroleum ether/EtOAc = 4:1). 1H NMR (300 MHz, CDCl3) δ 7.14–6.97 (m, 2H), 6.74–6.51 (m, 2H), 6.06 (d, J = 9.8 Hz, 1H), 3.21 (p, J = 6.7 Hz, 1H), 2.45–2.33 (m, 2H), 1.90 (t, J = 5.9 Hz, 2H), 1.20 (d, J = 6.7 Hz, 3H), 1.03 (d, J = 6.6 Hz, 3H), 0.94 (s, 3H). HRESIMS m/z Calcd for C17H20O ([M − H]−): 239.1430; Found: 239.1438.
(2S,3S)-3-((tert-butyldimethylsilyl)oxy)-2-methyl-2-(3-methylbut-2-en-1-yl)cyclopentan-1-one (12). To a solution of 11 (5.70 g, 31.27 mmol) in DMF (60 mL) imidazole (2.56 g, 37.52 mmol) and TBSCl (5.66 g, 37.52 mmol) were added. After stirring overnight at room temperature, the reaction mixture was poured into aq. NaHCO3 (50 mL) and extracted with EtOAc (3 × 120 mL). The combined organic layer was washed with brine (5 × 30 mL), dried over Na2SO4 and concentrated in vacuum. The resulting residue was purified by silica-gel CC to afford 12 (7.42 g, 80%) as a colorless oil. (Rf = 0.4, petroleum ether/EtOAc = 15/1). 1H NMR (300 MHz, CDCl3) δ 5.10 (t, J = 7.7 Hz, 1H), 4.04 (t, J = 5.1 Hz, 1H), 2.47–2.36 (m, 1H), 2.29–2.00 (m, 4H), 1.96–1.87 (m, 1H), 1.70 (d, J = 1.7 Hz, 3H), 1.60 (s, 3H), 0.90 (d, J = 10.9 Hz, 12H), 0.09 (d, J = 4.8 Hz, 6H). 13C NMR (75 MHz, CDCl3) δ 220.19, 133.34, 119.71, 77.88, 53.71, 34.19, 34.15, 34.12, 28.93, 28.21, 28.19, 25.88, 25.84, 25.63, 25.60, 19.28, 19.25, 17.87, 17.82, 17.72, 17.69, 17.67, −4.39, −4.42, −5.09, −5.12. HRESIMS m/z Calcd for C17H32O2Si ([M + Na]+): 319.2056; Found: 319.2064.
(4S,5S)-4-((tert-butyldimethylsilyl)oxy)-2-isopropyl-5-methyl-5-(3-methylbut-2-en-1-yl)cyclopent-1-en-1-yl trifluoromethanesulfonate (13). To a stirred suspension of NaH (60% dispersion in m ineral oil, 5.7 g, 142.5 mmol) in THF (160 mL) a solution of 12 (8.45 g, 28.5 mmol) in THF (40 mL) was added dropwise at 0 °C, then 2-iodopropane (28.5 mL, 285.0 mmol) was added. After refluxed overnight, the reaction mixture was quenched at 0 °C by adding H2O. Then 2M HCl (80 mL) was added, and the mixture stirred at room temperature for 1.5 h. Then brine was added, and the layers were separated. The aqueous layer was extracted with EtOAc (3 × 100 mL), and the combined organic layer was washed with brine (50 mL), dried over Na2SO4 and concentrated under reduced pressure. The resulting crude residue was purified by silica-gel CC to afford intermediate (8.46 g, 88% yield) as a colorless oil. The intermediate (8.57 g, 25.31 mmol) was dissolved in dry THF (50 mL) and cooled to −78 °C. LiHMDS (1.0 M in THF, 32.9 mL, 32.90 mmol) was added and stirred for 1 h. Then PhNTf2 (11.75 g, 32.90 mmol) dissolved in dry THF (50 mL) was slowly added and the mixture was heated to room temperature stirring for 3 h. Then brine (50 mL) was added to the reaction mixture, and the layers were separated. The aqueous layer was extracted with EtOAc (3 × 50 mL), and the combined organic layer was dried over Na2SO4 and concentrated in vacuum. The residue was purified by flash chromatography to afford 13 (10.84 g, 91% yield) as a colorless oil (Rf = 0.4, petroleum ether/CH2Cl2 = 50/1). 1H NMR (300 MHz, CDCl3) δ 5.28–5.22 (m, 1H), 4.04 (t, J = 7.7 Hz, 1H), 2.83 (p, J = 6.8 Hz, 1H), 2.44 (dd, J = 15.1, 7.8 Hz, 1H), 2.24–2.05 (m, 3H), 1.68 (d, J = 1.3 Hz, 3H), 1.58 (d, J = 1.4 Hz, 3H), 1.11 (s, 3H), 1.04 (d, J = 6.8 Hz, 3H), 0.93 (d, J = 3.9 Hz, 12H), 0.10 (d, J = 2.2 Hz, 6H). 13C NMR (75 MHz, CDCl3) δ 143.10, 135.49, 133.14, 120.74, 77.20, 50.24, 34.64, 32.82, 25.99, 25.74, 25.41, 22.68, 20.28, 20.15, 17.97, 17.51, −4.44, −4.89. HRESIMS m/z Calcd for C21H38F3O4SSi ([M + H]+): 471.2207; Found: 471.2197.
3-((4S,5R)-4-((tert-butyldimethylsilyl)oxy)-2-isopropyl-5-methyl-5-(3-methylbut-2-en-1-yl)cyclopent-1-en-1-yl)phenol (14). To a solution of vinyltriflate 13 (6.60 g, 14.0 mmol) in the mixed solvents of DMF (60 mL) and EtOH (60 mL), arylboronic acid (3.86 g, 28.0 mmol), palladacycle [36] (0.40 g, 0.06 mmol), K2CO3 (3.87 g, 28.0 mmol) were added at room temperature under nitrogen. When the vinyl triflate had disappeared as monitored by TLC analysis, the reaction mixture was then poured into water (60 mL) and extracted with ethyl acetate (3 × 60 mL). The organic layer was combined, washed with brine (5 × 15 mL), dried over Na2SO4, and concentrated in vacuum. The residue was purified by silica-gel CC to afford the desired cross-coupling product 14 (5.50 g, 80%, Rf = 0.4, petroleum ether/EtOA c = 5/1). 1H NMR (300 MHz, CDCl3) δ 7.17 (t, J = 7.8 Hz, 1H), 6.75–6.69 (m, 1H), 6.64 (dt, J = 7.6, 1.2 Hz, 1H), 6.55 (dd, J = 2.7, 1.4 Hz, 1H), 5.33–5.23 (m, 1H), 4.80 (dd, J = 6.8, 2.8 Hz, 1H), 4.02 (t, J = 7.6 Hz, 1H), 2.49–2.38 (m, 2H), 2.33–2.18 (m, 2H), 1.94 (dd, J = 15.0, 5.8 Hz, 1H), 1.68–1.56 (m, 6H), 0.91 (d, J = 8.6 Hz, 18H), 0.09 (s, 6H). 13C NMR (75 MHz, CDCl3) δ 154.87, 142.02, 130.45, 128.86, 123.00, 122.13, 116.36, 113.32, 80.67, 53.55, 37.32, 33.21, 27.50, 26.10, 25.95, 25.40, 21.46, 21.31, 18.21, 18.16, −4.27, −4.74. HRESIMS m/z Calcd for C26H42O2Si ([M + Na]+): 437.2846; Found: 437.2840.
2-((1R,5S)-5-((tert-butyldimethylsilyl)oxy)-2-(3-hydroxyphenyl)-3-isopropyl-1-methylcyclopent-2-en-1-yl)acetaldehyde (15). To a solution of 14 (6.34 g, 15.5 mmol) in the mixed solvent of dioxane (125 mL) and H2O (25 mL), NaIO4 (16.58 g, 77.5 mmol), pyridine (3.74 g, 46.5 mmol), and 15.5 mL solution of OsO4 in H2O (0.04 M) were added. The mixture was stirred at 80 °C until compound 14 had disappeared as monitored by TLC. H2O (100 mL) and EtOAc (200 mL) were added to the mixture. The organic phase was separated, and the aqueous layer was extracted with EtOAc (3 × 80 mL). The combined organic layer was dried over Na2SO4 and concentrated in vacuum. The resulting residue was purified by flash column chromatography to provide crude 15 (4.35 g, 80%) as a brown liquid (Rf = 0.5, petroleum ether/EtOAc = 4:1). 1H NMR (300 MHz, CDCl3) δ 7.54 (s, 1H), 7.17 (t, J = 7.8 Hz, 1H), 6.90–6.70 (m, 2H), 4.97 (s, 1H), 4.87 (d, J = 9.5 Hz, 1H), 4.22 (t, J = 8.4 Hz, 1H), 2.60–2.35 (m, 2H), 2.28 (dd, J = 15.4, 8.5 Hz, 1H), 2.10 (d, J = 14.6 Hz, 1H), 1.69 (d, J = 7.9 Hz, 1H), 1.04 (s, 3H), 0.96 (s, 9H), 0.91 (d, J = 7.7 Hz, 6H), 0.14 (d, J = 3.8 Hz, 6H).
(3S,3aR)-3-((tert-butyldimethylsilyl)oxy)-1-isopropyl-6-methoxy-3a-methyl-3,3a,4,5-tetrahydro-2H-cyclopenta[a]naphthalen-5-ol (16). To a solution of aldehyde 15 (4.8 g) in THF (120 mL), ethylmagnesium bromide (0.5 M in THF, 27 mmol) was added dropwise at −78 °C and stirred for 1 h. After heating at 50 °C for 12 h, the reaction mixture was cooled to room temperature, quenched with saturated aq. NH4Cl (30 mL), and then extracted with EtOAc (3 × 80 mL). The combined organic layer was washed successively with H2O (150 mL) and brine (150 mL), dried over Na2SO4, and concentrated in vacuum. The resulting residue was purified by silica-gel CC to provide 16 (3.5 g, 70% yield) as a brown solid (Rf = 0.5, petroleum ether/EtOAc = 5:1). HRESIMS m/z Calcd for C24H38O3Si ([M + Na]+): 425.2482; Found: 425.2470.
(3S,3aR)-1-isopropyl-6-methoxy-3a-methyl-3,3a-dihydro-2H-cyclopenta[a]naphthalen-3-ol (17). To a solution of compound 16 (201 mg, 0.5 mmol) in THF (5 mL), TBAF (0.5 mL, 1M in THF) was added dropwise at 0 °C and stirred for 2 h. The reaction mixture was heated to room temperature, quenched with ammonium chloride aqueous (10 mL), and then extracted with EtOAc (3 × 10 mL). The combined organic layer was washed successively with brine (20 mL), dried over Na2SO4, and concentrated in vacuum. The resulting residue was purified by silica-gel CC to provide an intermediate (110 mg, 76% yield) as a white solid (Rf = 0.3, petroleum ether/EtOAc = 1:1). To a solution of intermediate (77 mg, 0.25 mmol) in THF (3 mL), p-toluenesulfonic acid (2.2 mg, 0.01 mmol) was added at room temperature. The reaction mixture was stirred at 75 °C for 8 h, quenched with aq. NH4Cl (5 mL), and then extracted with EtOAc (3 × 5 mL). The combined organic layer was washed successively with brine (10 mL), dried over Na2SO4, and concentrated in vacuum. The resulting residue was purified by silica-gel CC to provide 17 (62 mg, 92% yield) as a white solid (Rf = 0.7, petroleum ether/EtOAc = 1:1). 1H NMR (300 MHz, CDCl3) δ 7.19 (t, J = 8.0 Hz, 1H), 7.05 (d, J = 7.8 Hz, 1H), 6.89 (d, J = 10.0 Hz, 1H), 6.78 (d, J = 8.2 Hz, 1H), 6.15 (d, J = 9.9 Hz, 1H), 4.14 (d, J = 4.5 Hz, 1H), 3.85 (s, 3H), 3.30 (h, J = 6.9 Hz, 1H), 2.81 (dd, J = 17.0, 4.4 Hz, 1H), 2.45 (d, J = 17.0 Hz, 1H), 1.20 (d, J = 6.9 Hz, 3H), 1.09 (d, J = 6.9 Hz, 3H), 1.02 (s, 3H). 13C NMR (75 MHz, CDCl3) δ 155.22, 145.29, 133.38, 132.56, 131.19, 127.52, 120.63, 119.63, 109.50, 79.42, 55.61, 55.31, 38.84, 26.92, 22.12, 21.62, 21.27. HRESIMS m/z Calcd for C18H22O2 ([M + Na]+): 293.1512; Found: 293.1509.
(3aR,4R,5S)-1-isopropyl-3a-methyl-3,3a,4,5-tetrahydro-2H-cyclopenta[a]naphthalene-4,5,6-triol (9a). To a solution of 4-methylmorpholine N-oxide (0.78 g, 5.80 mmol) and 10 (0.35 g, 1.45 mmol) in THF/H2O (12 mL/3 mL), osmium tetroxide (0.039 M in H2O, 1.86 mL, 0.072 mmol) was added dropwise at room temperature. The reaction mixture was stirred at room temperature for 12 h. The reaction mixture was then quenched with saturated solution of sodium sulfite (20 mL) and stirred for 30 min. The mixture was extracted with ethyl acetate (3 × 10 mL). The combined organic layer was washed successively with H2O (2 × 10 mL) and brine (10 mL), dried over Na2SO4 and concentrated under reduced pressure. The crude reaction mixture was purified by silica-gel CC to provide 9a (0.24 g, 60% yield) as a white solid (Rf = 0.3, petroleum ether/ethyl acetate = 4:1). 1H NMR (300 MHz, Chloroform-d) δ 8.65 (s, 1H), 7.19 (t, J = 7.9 Hz, 1H), 6.97 (d, J = 7.7 Hz, 1H), 6.87–6.77 (m, 1H), 5.03 (dd, J = 11.0, 4.0 Hz, 1H), 3.77–3.58 (m, 2H), 3.27 (p, J = 6.9 Hz, 1H), 2.63–2.50 (m, 2H), 2.19 (dt, J = 13.4, 9.0 Hz, 1H), 1.61–1.70 (m, 1H), 1.44 (d, J = 11.0 Hz, 1H), 1.20 (d, J = 6.9 Hz, 3H), 1.10–1.00 (m, 6H). 13C NMR (75 MHz, CDCl3) δ 158.57, 149.47, 131.85, 129.09, 128.94, 119.86, 119.06, 115.83, 77.45, 77.02, 76.60, 75.52, 70.18, 54.68, 31.15, 29.83, 27.51, 22.29, 22.04, 21.19. HMRS Calcd for C17H22O3 ([M + Na]+): 297.1461; Found: 297.1461.
(S)-6-hydroxy-1-isopropyl-3a-methyl-2,3,3a,4-tetrahydro-5H-cyclopenta[a]naphthalen-5-one (9b). The compound 8 (26 mg, 0.1 mmol) in dichloromethane (0.5 mL) was added to a stirred solution of PCC (86 mg, 0.4 mmol), NaOAc (33 mg, 0.4 mmol), and celite (20 mg) in dichloromethane (1 mL) at 0 °C. Then the solution was stirred at room temperature for 2 h. The reaction mixture was filtered through celite and washed repeatedly with Et2O. The solvent was removed under reduced pressure. The crude reaction mixture was purified by silica-gel CC to provide the ketone 9b (18 mg, 70% yield) as a white solid (Rf = 0.6, petroleum ether/ethyl acetate = 4:1). 1H NMR (300 MHz, CDCl3) δ 12.71 (s, 1H), 7.45 (t, J = 8.0 Hz, 1H), 6.96 (d, J = 7.6 Hz, 1H), 6.85 (d, J = 8.4 Hz, 1H), 3.28–3.14 (m, 1H), 2.74 (s, 2H), 2.60 (dd, J = 8.8, 6.5 Hz, 2H), 1.94–1.78 (m, 2H), 1.22 (d, J = 6.9 Hz, 3H), 1.13–1.02 (m, 6H). 13C NMR (75 MHz, CDCl3) δ 205.59, 162.91, 146.94, 138.43, 136.21, 133.21, 118.25, 116.15, 77.45, 77.02, 76.60, 54.45, 49.99, 36.70, 29.57, 27.40, 24.56, 21.42, 21.18. HRMS Calcd for C17H20O2 ([M + H]+): 257.1536; Found: 257.1532.
(1R,3aR,4R,5S,9bR)-1-isopropyl-3a-methyl-2,3,3a,4,5,9b-hexahydro-1H-cyclopenta[a]naphthalene-4,5,6-triyl triacetate (9c). To a solution of compound 9h (100 mg, 0.25 mmol) in EtOH (5 mL), Pd(OH)2/C (25 mg, 10%) was added in a high-pressure autoclave. The reaction mixture was hydrogenated for 24 h under 32 atm H2 at room temperature. Pd(OH)2/C was removed by filtration and the filtration was concentrated under reduced pressure without further purification to provide 9c (100 mg, quant) as a white solid (Rf = 0.6, petroleum ether/ethyl acetate = 2:1). 1H NMR (500 MHz, CDCl3) δ 7.30 (t, J = 8.6 Hz, 1H), 7.12 (d, J = 7.9 Hz, 1H), 6.97 (d, J = 8.0 Hz, 1H), 6.34 (d, J = 3.7 Hz, 1H), 4.90 (d, J = 3.6 Hz, 1H), 3.19 (d, J = 7.1 Hz, 1H), 2.45–2.38 (m, 1H), 2.23 (t, J = 1.7 Hz, 3H), 2.04–1.89 (m, 7H), 1.96–1.88 (m, 1H), 1.66–1.57 (m, 2H), 1.46–1.35 (m, 2H), 1.19 (d, J = 1.4 Hz, 3H), 1.14 (dd, J = 6.2, 1.4 Hz, 3H), 0.71 (dd, J = 6.5, 1.4 Hz, 3H). 13C NMR (75 MHz, CDCl3) δ 170.65, 170.19, 169.44, 149.40, 139.26, 128.85, 127.78, 125.76, 120.02, 77.48, 77.06, 76.63, 75.02, 63.38, 53.61, 52.98, 42.59, 34.38, 30.95, 28.10, 26.10, 24.07, 21.44, 20.94, 20.87, 20.84. HRMS Calcd for C23H30O6 ([M + Na]+): 425.1935; Found: 425.1926.
(1R,3aR,9bR)-6-hydroxy-1-isopropyl-3a-methyl-2,3,3a,9b-tetrahydro-1H-cyclopenta[a]naphthalene-4,5-dione (9d). To a solution of lithium hydroxide (105 mg, 2.5 mmol) in H2O (2.5 mL), a solution of compound 9c (100 mg, 0.25 mmol) in THF (2.5 mL) was added at 0 °C. The reaction mixture was stirred at room temperature for 12 h under oxygen atmosphere. To the mixture, 2N HCl (5 mL) was added and extracted with ethyl acetate (3 × 10 mL). The combined organic layer was washed successively with H2O (2 × 10 mL) and brine (10 mL), dried over Na2SO4, and concentrated under reduced pressure. The crude reaction mixture was purified by silica-gel CC to provide 9d (48 mg, 70% yield) as a yellow solid (Rf = 0.5, petroleum ether/ethyl acetate = 4:1). 1H NMR (300 MHz, CDCl3) δ 11.91 (s, 1H), 7.56 (t, J = 8.0 Hz, 1H), 6.92 (dd, J = 13.0, 7.9 Hz, 2H), 3.49 (d, J = 9.0 Hz, 1H), 2.64 (dd, J = 9.1, 3.9 Hz, 1H), 2.38–2.24 (m, 1H), 1.92–1.52 (m, 3H), 1.33 (s, 3H), 1.22 (dt, J = 13.4, 6.5 Hz, 1H), 0.56 (d, J = 6.5 Hz, 3H), 0.42 (d, J = 6.5 Hz, 3H). 13C NMR (75 MHz, CDCl3) δ 199.69, 185.32, 164.45, 144.48, 138.52, 122.15, 118.58, 116.01, 77.45, 77.02, 76.60, 56.98, 56.58, 51.48, 33.82, 28.21, 26.98, 24.31, 23.15, 19.87. HRMS Calcd for C17H20O3 ([M + Na]+): 295.1305; Found: 295.1303.
(3aR,3bR,6R,6aR,10bS)-6-isopropyl-2,2,3b-trimethyl-3a,3b,5,6,6a,10b-hexahydro-4H-cyclopenta [3,4]naphtho[1,2-d][1,3]dioxol-10-ol (9e). To a solution of compound 9j (31 mg, 0.1 mmol) in CH2Cl2 (1 mL), Pd(OH)2/C (25 mg, 10%) was added in a high-pressure autoclave. The reaction mixture was hydrogenated for 24 h under 30 atm H2 at room temperature. Pd(OH)2/C was removed by filtration and the filtration was concentrated under reduced pressure without further purification to provide 9e (31 mg, quant) as a white solid (Rf = 0.7, petroleum ether/ethyl acetate = 4:1). 1H NMR (500 MHz, CDCl3) δ 7.42 (s, 1H), 7.08 (t, J = 7.9 Hz, 1H), 6.80 (dd, J = 7.8, 1.0 Hz, 1H), 6.72 (dt, J = 8.0, 0.9 Hz, 1H), 5.18 (d, J = 4.7 Hz, 1H), 4.14 (d, J = 4.8 Hz, 1H), 3.09 (d, J = 8.3 Hz, 1H), 2.24–2.14 (m, 2H), 2.05–1.98 (m, 1H), 1.94–1.87 (m, 1H), 1.72–1.64 (m, 1H), 1.49–1.43 (m, 4H), 1.25 (s, 3H), 1.12 (s, 3H), 0.66 (d, J = 6.7 Hz, 3H), 0.51 (d, J = 6.6 Hz, 3H). 13C NMR (75 MHz, CDCl3) δ 156.77, 137.22, 128.07, 123.15, 120.23, 113.39, 109.96, 79.80, 73.47, 51.96, 51.72, 41.45, 35.52, 28.90, 28.01, 27.37, 26.91, 26.44, 24.21, 21.38. HRMS Calcd for C20H28O3 ([M + Na]+): 339.1931; Found: 339.1927.
(1R,3aR,4R,9bR)-4,6-dihydroxy-1-isopropyl-3a-methyl-1,2,3,3a,4,9b-hexahydro-5H-cyclopenta[a]naphthalen-5-one (9f). To a solution of compound 9e (32 mg, 0.1 mmol) in CH2Cl2 (1 mL), trifluoroacetic acid (35 μL, 0.4 mmol) was added at 0 °C. Then the reaction mixture was stirred at that temperature for 2 h and concentrated in vacuum. The crude reaction mixture was purified by silica-gel CC to provide 9f (23 mg, 84% yield) as a white solid (Rf = 0.6, petroleum ether/ethyl acetate = 5:1) [37]. 1H NMR (300 MHz, CDCl3) δ 7.09 (t, J = 7.8 Hz, 1H), 6.84 (d, J = 7.7 Hz, 1H), 6.69 (d, J = 7.9 Hz, 1H), 5.55 (s, 1H), 3.74 (d, J = 21.4 Hz, 1H), 3.47–3.32 (m, 2H), 2.58–2.51 (m, 1H), 2.31–2.21 (m, 1H), 1.84–1.68 (m, 1H), 1.61–1.46 (m, 1H), 1.45–1.24 (m, 2H), 1.21 (s, 3H), 0.54 (dd, J = 17.7, 6.6 Hz, 6H). 13C NMR (75 MHz, CDCl3) δ 214.89, 152.69, 137.31, 126.78, 123.18, 120.46, 112.49, 77.45, 77.03, 76.61, 57.10, 54.33, 50.74, 36.64, 34.86, 28.23, 27.14, 24.83, 23.30, 19.58. HRMS Calcd for C20H28O3 ([M − H]−): 273.1485; Found: 273.1478.
(3bR,6R,6aR)-6-isopropyl-2,2,3b-trimethyl-2,3b,4,5,6,6a-hexahydrocyclopenta[3,4]naphtho[1,2-d]imidazol-10-ol (9g). To a stirred solution of compound 9d (27 mg, 0.1 mmol) and ammonium acetate (54 mg, 0.7 mmol) in AcOH (0.5 mL), acetone (8 μL, 0.11 mmol) was added. Then the reaction mixture was heated to 120 °C for 7 h. To the mixture was added ethyl acetate (5 mL) and washed with brine (10 mL) and sodium bicarbonate solution (10 mL), dried over Na2SO4 and concentrated under reduced pressure. The crude reaction mixture was purified by silica-gel CC to provide 9g (22 mg, 71% yield) as a yellow solid (Rf = 0.5, petroleum ether/ethyl acetate = 4:1) [38]. 1H NMR (300 MHz, CDCl3) δ 10.88 (s, 1H), 7.35 (t, J = 7.9 Hz, 1H), 6.90 (dd, J = 17.9, 7.9 Hz, 2H), 3.32 (d, J = 9.7 Hz, 1H), 2.61–2.49 (m, 1H), 2.32–2.19 (m, 1H), 1.84 (q, J = 7.2 Hz, 2H), 1.55 (m, 7H), 1.29 (s, 3H), 1.06 (q, J = 6.7 Hz, 1H), 0.42 (dd, J = 8.4, 6.6 Hz, 6H). 13C NMR (75 MHz, CDCl3) δ 172.37, 160.54, 159.18, 141.56, 132.99, 122.18, 114.19, 113.24, 104.61, 77.44, 77.02, 76.60, 55.68, 51.96, 45.23, 37.53, 28.02, 27.82, 24.39, 24.02, 23.48, 19.66. HRMS Calcd for C20H26O3 ([M + H]+): 311.2118; Found: 311.2115.
(3aR,4R,5S)-1-isopropyl-3a-methyl-3,3a,4,5-tetrahydro-2H-cyclopenta[a]naphthalene-4,5,6-triyl triacetate (9h). To a solution of 9a (0.1 g, 0.37 mmol) in pyridine (5 mL), acetic anhydride (0.5 mL, 5.5 mmol) was added at room temperature. The reaction mixture was heated at 100 °C for 3 h. The reaction mixture was cooled to room temperature. To the mixture, 2N HCl (5 mL) was added and stirred for 10 min. The mixture was extracted with ethyl acetate (3 × 10 mL). The combined organic layer was washed successively with H2O (2 × 10 mL) and brine (10 mL), dried over Na2SO4 and concentrated under reduced pressure. The crude reaction mixture was purified by silica-gel CC to provide 9h (0.13 g, 86% yield) as a white solid (Rf = 0.5, petroleum ether/ethyl acetate = 2:1). 1H NMR (300 MHz, CDCl3) δ 7.37 (t, J = 7.9 Hz, 1H), 7.31–7.26 (m, 1H), 6.96 (dd, J = 8.0, 1.3 Hz, 1H), 5.18 (d, J = 4.6 Hz, 1H), 3.20 (p, J = 6.8 Hz, 1H), 2.62–2.45 (m, 2H), 2.26 (s, 3H), 2.02 (d, J = 11.4 Hz, 6H), 1.97–1.88 (m, 1H), 1.68–1.60 (m, 1H), 1.20 (d, J = 6.9 Hz, 3H), 1.09 (s, 3H), 1.02 (d, J = 6.7 Hz, 3H). 13C NMR (75 MHz, CDCl3) δ 170.93, 170.03, 169.26, 149.71, 146.22, 135.98, 131.65, 129.23, 125.08, 124.35, 121.15, 77.47, 77.04, 76.62, 75.32, 66.63, 52.04, 32.92, 29.68, 27.29, 23.46, 21.43, 21.25, 20.98, 20.91, 20.71. HRMS Calcd for C23H28O6 ([M + Na]+): 423.1778; Found: 423.1771.
(3aR,3bR,10bS)-10-hydroxy-6-isopropyl-3b-methyl-3a,3b,5,10b-tetrahydro-4H-cyclopenta[3,4]naphtho[1,2-d][1,3]dioxol-2-one (9i). To a stirred solution of compound 9a (27 mg, 0.1 mmol) and pyridine (80 μL, 1 mmol) in CH2Cl2 (1.5 mL), a solution of triphosgene (45 mg, 0.15 mmol) in CH2Cl2 (0.5 mL) was added dropwise at −78 °C. Then the reaction mixture was allowed to warm to room temperature slowly. The reaction mixture was quenched using saturated aqueous NH4Cl followed by extraction of the aqueous phase with CH2Cl2. The organic extracts were washed with 1 M HCl, saturated NaHCO3, saturated NaCl, H2O, dried with MgSO4, and filtered. The crude reaction mixture was purified by silica-gel CC to provide 9i (25 mg, 82% yield) as a white solid (Rf = 0.2, petroleum ether/ethyl acetate = 2:1) [39]. 1H NMR (300 MHz, CDCl3) δ 7.24 (t, J = 8.0 Hz, 1H), 6.91 (d, J = 7.7 Hz, 1H), 6.73 (d, J = 8.1 Hz, 1H), 6.06 (d, J = 7.7 Hz, 1H), 5.63 (s, 1H), 4.87 (d, J = 7.7 Hz, 1H), 3.21–3.00 (m, 1H), 2.58 (td, J = 9.9, 5.7 Hz, 2H), 2.39–2.24 (m, 1H), 1.79–1.69 (m, 1H), 1.19 (d, J = 6.8 Hz, 3H), 1.00 (d, J = 7.5 Hz, 6H). 13C NMR (75 MHz, CDCl3) δ 155.27, 148.98, 135.51, 130.76, 128.47, 119.97, 116.86, 114.50, 83.47, 77.45, 77.02, 76.60, 72.74, 51.98, 31.59, 29.96, 27.45, 23.09, 21.41, 21.34. HRMS Calcd for C18H20O4 ([M + Na]+): 323.1254; Found: 323.1250.
(3aR,3bR,10bS)-6-isopropyl-2,2,3b-trimethyl-3a,3b,5,10b-tetrahydro-4H-cyclopenta[3,4]naphtho[1,2-d][1,3]dioxol-10-ol (9j). To a stirred solution of compound 9a (55 mg, 0.2 mmol) and pyridinium p-toluenesulfonate acid (5 mg, 2% mmol) in CH2Cl2 (2 mL), 2,2-dimethoxypropane (52 mg, 0.5 mmol) was added at room temperature. Then the reaction mixture was stirred for 6 h at 40 °C. The solvent was removed under reduced pressure. The crude reaction mixture was purified by silica-gel CC to provide 9j (51 mg, 82% yield) as a white solid (Rf = 0.5, petroleum ether/ethyl acetate = 4:1) [40]. 1H NMR (300 MHz, CDCl3) δ 7.19 (t, J = 7.9 Hz, 1H), 6.98 (d, J = 7.7 Hz, 1H), 6.81 (d, J = 8.0 Hz, 1H), 6.54 (s, 1H), 5.29 (d, J = 5.1 Hz, 1H), 4.25 (d, J = 5.1 Hz, 1H), 3.27–3.13 (m, 1H), 2.54 (t, J = 7.6 Hz, 2H), 2.31–2.17 (m, 1H), 1.69–1.56 (m, 1H), 1.44 (s, 3H), 1.19 (d, J = 6.8 Hz, 3H), 1.13 (s, 3H), 1.05–0.96 (m, 6H). 13C NMR (75 MHz, CDCl3) δ 156.16, 145.93, 133.34, 130.50, 128.71, 120.96, 119.54, 114.59, 110.18, 82.36, 73.51, 52.16, 31.80, 29.58, 27.83, 27.37, 26.98, 23.53, 21.62, 21.30. HRMS Calcd for C20H26O3 ([M + Na]+): 337.1774; Found: 337.1771.
(3aR,4R,5S)-4,6-bis((tert-butyldimethylsilyl)oxy)-1-isopropyl-3a-methyl-3,3a,4,5-tetrahydro-2H-cyclopenta[a]naphthalen-5-ol (9k). To a stirred solution of compound 9a (27 mg, 0.1 mmol) and 2,6-lutidine (70 μL, 0.7 mmol) in CH2Cl2 (1 mL), TBSOtf (114 μL, 0.5 mmol) was added at −40 °C. Then the reaction mixture was stirred for 5 h at −40°C. The mixture was dilute with CH2Cl2 (10 mL) and washed with 1N HCl aqueous (4 mL) and brine (10 mL), dried over Na2SO4 and concentrated under reduced pressure. The crude reaction mixture was purified by silica-gel CC to provide 9k (33 mg, 66% yield) as a white solid (Rf = 0.5, petroleum ether/ethyl acetate = 40:1) [41]. 1H NMR (300 MHz, CDCl3) δ 7.18 (t, J = 7.9 Hz, 1H), 7.08 (d, J = 7.8 Hz, 1H), 6.76 (d, J = 7.9 Hz, 1H), 4.72 (d, J = 2.0 Hz, 1H), 3.87 (s, 1H), 3.34 (d, J = 2.0 Hz, 1H), 3.22 (q, J = 6.8 Hz, 1H), 2.48 (dd, J = 8.8, 5.9 Hz, 2H), 2.15 (dt, J = 12.9, 7.7 Hz, 1H), 1.59–1.45 (m, 1H), 1.21 (d, J = 6.9 Hz, 3H), 1.08 (d, J = 7.8 Hz, 12H), 1.00 (d, J = 6.7 Hz, 3H), 0.84 (s, 9H), 0.39 (s, 3H), 0.25 (s, 3H), 0.15 (d, J = 2.8 Hz, 6H). 13C NMR (75 MHz, CDCl3) δ 154.47, 145.48, 134.50, 131.88, 127.52, 120.66, 116.07, 78.18, 71.17, 51.05, 32.14, 29.99, 27.38, 25.80, 25.72, 23.79, 21.66, 21.51, 18.02, 17.92, −3.35, −4.47, −4.74, −4.81. HRMS Calcd for C29H50O3Si2 ([M + Na]+): 525.3191; Found: 525.3185.
(3aR,3bR,10bS)-6-isopropyl-2,2,3b-trimethyl-3a,3b,5,10b-tetrahydro-4H-cyclopenta[3,4]naphtho[1,2-d][1,3]dioxol-10-yl (tert-butoxycarbonyl)alaninate (9l). To a stirred solution of compound 9j (31 mg, 0.1 mmol) in CHCl3/THF (0.5/1.5 mL), Boc-l-Ala (68 mg, 0.36 mmol), DMAP (4 mg, 0.03 mmol), and EDCI (63 mg, 0.33 mmol) were added. The reaction was stirred for 18 h at room temperature. The solvent was removed in vacuum, and the crude reaction mixture was purified by silica-gel CC to provide 9l (39 mg, 82% yield) as a white solid (Rf = 0.7, petroleum ether/ethyl acetate = 1:1). 1H NMR (300 MHz, CDCl3) δ 7.33 (t, J = 7.8 Hz, 1H), 7.23 (d, J = 7.7 Hz, 1H), 6.98 (d, J = 7.9 Hz, 1H), 5.36 (d, J = 8.1 Hz, 1H), 5.20 (d, J = 5.8 Hz, 1H), 4.73–4.61 (m, 1H), 4.24 (d, J = 5.9 Hz, 1H), 3.14 (p, J = 6.9 Hz, 1H), 2.53 (dt, J = 9.4, 5.1 Hz, 2H), 2.31–2.22 (m, 1H), 1.61–1.56 (m, 4H), 1.47 (d, J = 6.5 Hz, 9H), 1.36 (s, 3H), 1.20 (d, J = 6.9 Hz, 3H), 1.05 (s, 3H), 1.01–0.93 (m, 6H). 13C NMR (75 MHz, CDCl3) δ 155.29, 150.21, 146.67, 135.17, 130.46, 128.50, 127.07, 125.04, 120.85, 109.12, 82.52, 79.73, 72.03, 52.64, 49.56, 31.93, 29.99, 28.38, 27.42, 27.39, 26.39, 23.81, 21.48, 18.42. HRMS Calcd for C28H39NO6 ([M + Na]+): 508.2670; Found: 508.2661.
(3aR,4R,5S)-1-isopropyl-3a-methyl-3,3a,4,5-tetrahydro-2H-cyclopenta[a]naphthalene-4,5,6-triyl tris(2-((tert-butoxycarbonyl)amino)propanoate) (9m). To a stirred solution of compound 9a (27 mg, 0.1 mmol) in CHCl3/THF (0.5/1.5 mL), Boc-l-Ala (68 mg, 0.36 mmol), DMAP (4 mg, 0.03 mmol), and EDCI (63 mg, 0.33 mmol) were added. The reaction was stirred for 18 h at room temperature. The solvent was removed in vacuum, and the crude reaction mixture was purified by silica-gel CC to provide 9m (25 mg, 83% yield) as a white solid (Rf = 0.7, petroleum ether/ethyl acetate = 1:1) [42]. 1H NMR (300 MHz, CDCl3) δ 7.40 (t, J = 7.9 Hz, 1H), 7.06 (d, J = 8.1 Hz, 1H), 6.29 (d, J = 4.0 Hz, 1H), 5.68 (s, 1H), 5.17 (s, 2H), 4.45–4.18 (m, 3H), 3.23–3.07 (m, 1H), 2.50 (dt, J = 9.6, 5.2 Hz, 2H), 2.00 (d, J = 11.0 Hz, 1H), 1.64 (s, 3H), 1.55 (d, J = 7.2 Hz, 3H), 1.51–1.37 (m, 30H), 1.33 (d, J = 7.3 Hz, 3H), 1.18 (d, J = 6.8 Hz, 3H), 1.10–0.99 (m, 6H). 13C NMR (75 MHz, CDCl3) δ 172.83, 172.30, 171.83, 155.25, 154.90, 149.44, 145.53, 133.32, 130.01, 125.08, 124.17, 120.95, 79.73, 77.50, 77.28, 77.08, 76.65, 67.05, 50.23, 49.18, 33.41, 28.75, 28.35, 28.30, 26.88, 24.63, 21.26, 18.88, 18.14, 17.52. HRMS Calcd for C41H61N3O12 ([M + Na]+): 810.4147; Found: 810.4133.
(3aR,4R,5S)-1-isopropyl-3a-methyl-3,3a,4,5-tetrahydro-2H-cyclopenta[a]naphthalene-4,5,6-triyltris(4-nitrobenzoate) (9n). To a stirred solution of compound 9a (55 mg, 0.2 mmol) and DMAP (54 mg, 0.8 mmol) in CH2Cl2 (1.5 mL), a solution of 4-nitrobenzoyl chloride (100 mg, 0.11 mmol) in CH2Cl2 (0.5 mL) was added. Then the reaction mixture was stirred for 3 h at room temperature. The mixture was dilute with CH2Cl2 (10 mL) and washed with brine (10 mL), dried over Na2SO4 and concentrated under reduced pressure. The crude reaction mixture was purified by silica-gel CC to provide 9n (104 mg, 72% yield) as a white solid (Rf = 0.5, petroleum ether/ethyl acetate = 2:1) [43]. 1H NMR (300 MHz, CDCl3) δ 8.24–7.94 (m, 10H), 7.73–7.65 (m, 2H), 7.55 (d, J = 3.9 Hz, 2H), 7.15 (dd, J = 5.5, 3.8 Hz, 1H), 6.83 (d, J = 4.4 Hz, 1H), 5.60 (d, J = 4.4 Hz, 1H), 3.41 (p, J = 6.7 Hz, 1H), 2.74–2.53 (m, 2H), 2.06 (dt, J = 13.5, 9.0 Hz, 1H), 1.80 (dd, J = 12.7, 8.7, 3.4 Hz, 1H), 1.35–1.25 (m, 6H), 1.19 (d, J = 6.6 Hz, 3H). 13C NMR (75 MHz, CDCl3) δ 164.26, 163.32, 162.95, 150.75, 150.69, 150.42, 149.55, 147.01, 135.98, 134.85, 134.39, 133.89, 131.29, 131.12, 130.69, 130.35, 130.11, 125.92, 123.60, 123.39, 123.27, 123.18, 121.57, 77.48, 77.05, 76.63, 76.49, 68.51, 52.21, 32.70, 29.74, 27.39, 23.71, 21.54, 21.49. HRMS Calcd for C38H31N3O12 ([M + Na]+): 744.1800; Found: 744.1782.
(3S,3aR)-3-((tert-butyldimethylsilyl)oxy)-1-isopropyl-6-methoxy-3a-methyl-2,3,3a,4-tetrahydro-5H-cyclopenta[a]naphthalen-5-one (9o). The compound 16 (4.02 g, 10 mmol) in dichloromethane (10 mL) was added to a stirred solution of PCC (4.7 g, 22 mmol), NaOAc (1.5 g, 11 mmol) and celite (4 g) in dichloromethane (40 mL) at 0 °C. Then the solution was stirred at room temperature for 2 h. The reaction mixture was filtered through celite and washed repeatedly with Et2O. The solvent was removed under reduced pressure. The crude reaction mixture was purified by silica-gel CC to provide the ketone 9o (2.9 g, 73% yield) as a colorless liquid (Rf = 0.3, petroleum ether/ethyl acetate = 5:1). 1H NMR (300 MHz, CDCl3) δ 7.43 (t, J = 8.1 Hz, 1H), 7.03 (d, J = 7.7 Hz, 1H), 6.87 (d, J = 8.4 Hz, 1H), 4.01 (dd, J = 6.5, 3.2 Hz, 1H), 3.91 (s, 3H), 3.25–3.00 (m, 2H), 2.85 (dd, J = 17.1, 6.4 Hz, 1H), 2.47–2.27 (m, 2H), 1.17 (d, J = 6.9 Hz, 3H), 1.07–0.98 (m, 6H), 0.89 (s, 9H), 0.07 (d, J = 2.0 Hz, 6H). 13C NMR (75 MHz, CDCl3) δ 199.08, 160.23, 143.06, 139.83, 133.73, 132.77, 120.49, 119.85, 110.52, 77.59, 77.51, 77.09, 76.66, 56.01, 53.96, 49.01, 40.07, 27.19, 25.82, 23.40, 21.22, 21.17, 18.09, −4.60, −4.89. HRMS Calcd for C24H36O3Si ([M + Na]+): 423.2326; Found: 423.2319.
(3S,3aR,4S,5R)-1-isopropyl-6-methoxy-3a-methyl-3,3a,4,5-tetrahydro-2H-cyclopenta[a]naphthalene-3,4,5-triol (9p). To a solution of 4-methylmorpholine N-oxide (68 mg, 0.5 mmol) and compound 17 (27 mg, 0.1 mmol) in THF/H2O (0.8 mL/0.2 mL), osmium tetroxide (0.039 M in H2O, 0.25 mL, 0.01 mmol) was added dropwise at room temperature. After stirring for 36 h, the reaction mixture was quenched with saturated solution of sodium sulfite (10 mL) and stirred for 30 min. The mixture was extracted with ethyl acetate (3 × 50 mL). The combined organic layer was washed successively with H2O (2 × 50 mL) and brine (10 mL), dried over Na2SO4, and concentrated under reduced pressure. The crude reaction mixture was purified by silica-gel CC to provide 9p (18 mg, 60% yield) as a dark green solid (Rf = 0.3, petroleum ether/ethyl acetate = 1:1). 1H NMR (500 MHz, CDCl3) δ 7.25 (td, J = 7.9, 2.3 Hz, 1H), 6.97 (dd, J = 7.7, 2.3 Hz, 1H), 6.79 (dd, J = 8.4, 2.3 Hz, 1H), 5.16 (t, J = 3.0 Hz, 1H), 4.07 (dd, J = 5.5, 2.8 Hz, 1H), 3.93 (t, J = 3.0 Hz, 1H), 3.85 (d, J = 2.3 Hz, 3H), 3.12 (pd, J = 6.9, 2.2 Hz, 1H), 2.93–2.88 (m, 1H), 2.36 (dt, J = 17.3, 2.3 Hz, 1H), 1.13 (dd, J = 6.9, 2.4 Hz, 3H), 1.01–0.93 (m, 6H). 13C NMR (75 MHz, CDCl3) δ 157.44, 142.94, 134.76, 132.16, 128.70, 124.53, 120.24, 109.00, 78.64, 77.51, 77.08, 76.66, 76.20, 66.54, 55.53, 54.29, 40.59, 26.84, 23.14, 21.55, 21.14. HMRS Calcd for C18H24O4 ([M + Na]+): 327.1567; Found: 327.1563.
(3S,3aR)-3-((tert-butyldimethylsilyl)oxy)-6-hydroxy-1-isopropyl-3a-methyl-2,3,3a,4-tetrahydro-5H-cyclopenta[a]naphthalen-5-one (9q). To a solution of compound 9o (40 mg, 0.1 mmol) in THF (1.5 mL), BBr3 (48 μL, 0.5 mmol) was added dropwise at −78 °C and stirred for 2 h. The reaction mixture was heated to room temperature slowly, quenched with ice water (5 mL), and then extracted with ethyl acetate (3 × 5 mL). The combined organic layer was washed successively with brine (10 mL), dried over Na2SO4 and concentrated under reduced pressure. The crude reaction mixture was purified by silica-gel CC to provide 9q (29 mg, 76% yield) as a white solid (Rf = 0.2, petroleum ether/ethyl acetate = 2:1) [44]. 1H NMR (300 MHz, CDCl3) δ 12.76 (s, 1H), 7.45 (t, J = 8.0 Hz, 1H), 7.00 (d, J = 7.7 Hz, 1H), 6.86 (dd, J = 8.4, 1.0 Hz, 1H), 4.08 (dd, J = 6.3, 2.1 Hz, 1H), 3.33–3.21 (m, 2H), 3.02 (dd, J = 17.8, 6.2 Hz, 1H), 2.58–2.45 (m, 2H), 1.20 (d, J = 7.0 Hz, 3H), 1.13–1.06 (m, 6H), 0.89 (s, 9H), 0.07 (d, J = 2.0 Hz, 6H). 13C NMR (75 MHz, CDCl3) δ 205.99, 162.90, 144.34, 137.68, 136.29, 131.04, 118.33, 116.48, 114.92, 77.45, 77.03, 76.66, 76.61, 53.92, 45.88, 40.19, 27.32, 23.41, 21.39, 20.91. HRMS Calcd for C23H34O3Si ([M + Na]+): 409.2169; Found: 409.1616.
(3S,3aR)-3-hydroxy-1-isopropyl-6-methoxy-3a-methyl-2,3,3a,4-tetrahydro-5H-cyclopenta[a]naphthalen-5-one (9r). To a solution of compound 9o (40 mg, 0.1 mmol) in THF (1 mL), TBAF (1M in THF, 0.15 mmol) was added dropwise at 0 °C and stirred for 1 h. The reaction mixture was cooled to room temperature, quenched with saturated solution of ammonium chloride (5 mL), and then extracted with ethyl acetate (3 × 5 mL). The combined organic layer was washed successively with H2O (10 mL) and brine (10 mL), dried over Na2SO4, and concentrated under reduced pressure. The crude reaction mixture was purified by silica-gel CC to provide 9r (22 mg, 76% yield) as a white solid (Rf = 0.1, petroleum ether/ethyl acetate = 2:1). 1H NMR (300 MHz, CDCl3) δ 7.45 (t, J = 8.1 Hz, 1H), 7.06 (d, J = 7.8 Hz, 1H), 6.89 (d, J = 8.4 Hz, 1H), 4.08 (dd, J = 6.6, 2.8 Hz, 1H), 3.91 (s, 3H), 3.24–2.91 (m, 3H), 2.52–2.41 (m, 2H), 2.16 (s, 1H), 1.18 (d, J = 6.9 Hz, 3H), 1.10–1.01 (m, 6H). 13C NMR (75 MHz, CDCl3) δ 198.54, 160.21, 143.18, 139.50, 133.92, 132.53, 120.38, 119.88, 110.67, 77.49, 77.12, 77.07, 76.65, 56.00, 53.58, 48.11, 39.78, 27.22, 23.52, 21.32, 21.10. HRMS Calcd for C18H22O3 ([M + Na]+): 309.1461; Found: 309.1458.
(3S,3aR)-3,6-dihydroxy-1-isopropyl-3a-methyl-2,3,3a,4-tetrahydro-5H-cyclopenta[a]naphthalen-5-one (9s). To a solution of compound 9r (43 mg, 0.15 mmol) in THF (1.5 mL), BBr3 (58 μL, 0.6 mmol) was added dropwise at −78 °C and stirred for 2 h. The reaction mixture was heated to room temperature slowly, quenched with ice water (5 mL), and then extracted with ethyl acetate (3 × 5 mL). The combined organic layer was washed successively with brine (10 mL), dried over Na2SO4, and concentrated under reduced pressure. The crude reaction mixture was purified by silica-gel CC to provide 9s (31 mg, 76% yield) as a white solid (Rf = 0.6, petroleum ether/ethyl acetate = 1:1). 1H NMR (300 MHz, CDCl3) δ 12.75 (s, 1H), 7.43 (t, J = 8.0 Hz, 1H), 6.98 (d, J = 7.5 Hz, 1H), 6.84 (dd, J = 8.4, 1.0 Hz, 1H), 4.05 (s, 1H), 3.30–3.20 (m, 2H), 3.05–2.96 (m, 1H), 2.56–2.45 (m, 2H), 1.19 (d, J = 6.9 Hz, 3H), 1.09 (dd, J = 3.7, 2.9 Hz, 6H). 13C NMR (75 MHz, CDCl3) δ 205.98, 162.90, 144.34, 137.68, 136.30, 131.04, 118.33, 116.49, 114.92, 77.46, 77.03, 76.66, 76.61, 53.92, 45.88, 40.19, 27.32, 23.41, 21.39, 20.91. HRMS Calcd for C17H20O3 ([M + Na]+): 273.1485; Found: 273.1486.
(S)-1-isopropyl-6-methoxy-3a-methyl-3a,4-dihydro-5H-cyclopenta[a]naphthalen-5-one (9t). To a stirred solution of compound 9r (31 mg, 0.11 mmol) in THF (1 mL) containing triphenylphophine (58 mg, 0.22 mmol) and p-nitrobenzoic acid (37mg, 0.22 mmol), DEAD (3 μL, 0.22 mmol) was added dropwise over 10 min period at 0 °C under argon, and the reaction mixture was stirred at 50 °C for 12 h. The solvent was removed under reduced pressure to leave an oil, which was purified by column chromatography to provide 9t (21 mg, 72% yield) as a white solid (Rf = 0.4, petroleum ether/ethyl acetate = 2:1). 1H NMR (300 MHz, CDCl3) δ 7.52 (t, J = 8.1 Hz, 1H), 7.06 (dd, J = 7.8, 1.0 Hz, 1H), 6.89 (dd, J = 8.5, 1.0 Hz, 1H), 6.60 (d, J = 5.3 Hz, 1H), 6.53 (d, J = 5.3 Hz, 1H), 3.96 (s, 3H), 3.24 (p, J = 6.8 Hz, 1H), 2.92 (d, J = 15.3 Hz, 1H), 2.15 (d, J = 15.2 Hz, 1H), 1.33 (d, J = 6.9 Hz, 3H), 1.17–1.08 (m, 6H). 13C NMR (75 MHz, CDCl3) δ 197.41, 160.69, 147.11, 146.54, 139.83, 139.39, 134.27, 130.63, 119.20, 118.86, 109.95, 77.47, 77.04, 76.62, 56.52, 56.01, 50.95, 26.28, 22.54, 22.09, 19.09. HRMS Calcd for C18H20O2 ([M + H]+): 269.1536; Found: 269.1539.
(3S,3aR,4S,5R)-1-isopropyl-6-methoxy-3a-methyl-3,3a,4,5-tetrahydro-2H-cyclopenta[a]naphthalene-3,4,5-triyl triacetate (9u). To a solution of 9p (30 g, 0.1 mmol) in pyridine (1.5 mL), acetic anhydride (0.13 mL, 1.5 mmol) was added at room temperature. The reaction mixture was heated at 100 °C for 3 h. The reaction mixture was cooled to room temperature. To the mixture 2N HCl (3 mL) was added and stirred for 10 min. The mixture was extracted with ethyl acetate (3 × 10 mL). The combined organic layer was washed successively with H2O (5 × 10 mL) and brine (50 mL), dried over Na2SO4, and concentrated under reduced pressure. The crude reaction mixture was purified by silica-gel CC to provide 9u (37 mg, 86% yield) as a white solid (Rf = 0.6, petroleum ether/ethyl acetate = 1:1). 1H NMR (300 MHz, CDCl3) δ 7.31 (t, J = 8.1 Hz, 1H), 6.94 (d, J = 7.7 Hz, 1H), 6.80 (d, J = 8.3 Hz, 1H), 6.40 (d, J = 5.2 Hz, 1H), 5.44 (d, J = 5.1 Hz, 1H), 5.14 (dd, J = 9.0, 6.3 Hz, 1H), 3.78 (s, 3H), 3.24 (p, J = 6.9 Hz, 1H), 3.06 (dd, J = 17.3, 9.0 Hz, 1H), 2.39 (dd, J = 17.3, 6.3 Hz, 1H), 2.05–1.97 (m, 9H), 1.22–1.14 (m, 6H), 1.02 (d, J = 6.7 Hz, 3H). 13C NMR (75 MHz, CDCl3) δ 171.13, 170.25, 169.81, 158.63, 142.83, 134.85, 130.28, 129.30, 119.72, 119.47, 109.52, 79.33, 77.49, 77.06, 76.64, 71.34, 66.77, 55.48, 55.41, 38.51, 27.22, 22.13, 21.43, 21.24, 21.09, 20.88, 20.57. HRMS Calcd for C24H30O7 ([M + Na]+): 453.1884; Found: 453.1875.
(3S,3aR,4S,5R)-5,6-dihydroxy-1-isopropyl-3a-methyl-3,3a,4,5-tetrahydro-2H-cyclopenta[a]naphthalene-3,4-diyl diacetate (9v). To a solution of compound 9u (43 mg, 0.1 mmol) in THF (1.5 mL), BBr3 (48 μL, 0.5 mmol) was added dropwise at −78 °C and stirred for 2 h. The reaction mixture was warm to room temperature slowly, quenched with ice water (5 mL), and then extracted with ethyl acetate (3 × 5 mL). The combined organic layer was washed successively with brine (10 mL), dried over Na2SO4, and concentrated under reduced pressure. The crude reaction mixture was purified by silica-gel CC to provide 9v (28 mg, 75% yield) as a white solid (Rf = 0.2, petroleum ether/ethyl acetate = 2:1) [42]. 1H NMR (300 MHz, CDCl3) δ 7.22 (t, J = 7.9 Hz, 1H), 6.92–6.76 (m, 2H), 5.40–5.24 (m, 2H), 5.13 (dd, J = 9.0, 6.0 Hz, 1H), 3.24–2.98 (m, 2H), 2.40 (dd, J = 17.4, 6.0 Hz, 1H), 2.06 (d, J = 2.8 Hz, 6H), 1.23–1.15 (m, 6H), 1.00 (d, J = 6.8 Hz, 3H). 13C NMR (75 MHz, CDCl3) δ 171.99, 171.23, 157.12, 142.39, 133.15, 130.22, 129.24, 119.31, 118.35, 115.59, 79.70, 77.45, 77.03, 76.60, 73.69, 69.27, 55.49, 38.59, 27.11, 22.89, 21.45, 21.31, 21.21, 20.93. HRMS Calcd for C21H26O6 ([M + Na]+): 397.1622; Found: 397.1617.
(3aS,3bR,4S,10bR)-6-isopropyl-10-methoxy-2,2,3b-trimethyl-3a,3b,5,10b-tetrahydro-4H-cyclopenta[3,4]naphtho[1,2-d][1,3]dioxol-4-ol (9w). To a stirred solution of compound 9p (46 mg, 0.15 mmol) and Pyridinium p-Toluenesulfonate acid (5 mg, 0.02 mmol) in CH2Cl2 (2 mL), 2,2-dimethoxypropane (40 mg, 0.38 mmol) was added at room temperature. Then the reaction mixture was stirred for 6 h at 40 °C. The solvent was removed under reduced pressure. The crude reaction mixture was purified by silica-gel CC to provide 9w (51 mg, 67% yield) as a white solid (Rf = 0.3, petroleum ether/ethyl acetate = 3:1). 1H NMR (300 MHz, CDCl3) δ 7.27 (t, J = 8.0 Hz, 1H), 6.82 (t, J = 7.9 Hz, 2H), 5.59 (d, J = 6.8 Hz, 1H), 4.51 (d, J = 6.8 Hz, 1H), 4.24–4.14 (m, 1H), 3.88 (d, J = 1.4 Hz, 3H), 3.13–2.90 (m, 3H), 2.35 (dd, J = 16.9, 6.5 Hz, 1H), 1.44 (s, 3H), 1.24 (s, 3H), 1.16 (d, J = 6.9 Hz, 3H), 0.96 (d, J = 6.8 Hz, 3H), 0.91 (d, J = 1.4 Hz, 3H). 13C NMR (75 MHz, CDCl3) δ 158.42, 143.06, 135.70, 130.93, 128.97, 122.69, 119.73, 109.23, 109.01, 80.42, 79.79, 77.50, 77.08, 76.65, 71.51, 55.88, 55.22, 41.71, 27.08, 27.00, 25.50, 22.88, 21.84, 21.15. HRMS Calcd for C21H28O4 ([M + Na]+): 367.1880; Found: 367.1879.
4.2. Biological Activity Evaluation
4.2.1. No Inhibition Assay
BV-2 cells were from Peking Union Medical College, Cell Bank (Beijing, China) and maintained in DMEM medium supplemented with 10% fetal bovine serum, penicillin (100 U/mL), and streptomycin (100 μg/mL) in a humidified incubator containing 95% air and 5% CO2 at 37 °C. Cell viability was measured by CCK8 assay. The NO production inhibitions were assessed as previously described [33]. BV-2 cells were seeded in 96-well plates at a concentration of 2 × 104 cells/well. After 24 h of incubation at 37 °C, the cells were treated with 1 μg/mL of lipopolysaccharide (LPS) (Escherichia coli 0111:B4, Sigma-China, Shanghai, China) and various concentrations of test compounds (DMSO as solvent) for 24 h. An equal amount of DMSO and LPS served as the controls; quercetin (J&K Scientific, Beijing, China) was taken as the positive control. The NO production in microglial culture was measured indirectly from the supernatant using a NO assay kit (Beyotime Institute of Biotechnology Company, Jiangsu, China) based on the Griess reaction. Briefly, 50 μL of the culture supernatant was put into a new 96-well plate. Subsequently, 50 μL of Griess reagents I and II was added to each well. The absorbance at 540 nm was measured on a microplate reader (Mode 680, Bio-Rad, Tokyo, Japan). The concentration of nitrite was measured by using a standard curve via the standard sodium nitrite solutions. The IC50 was calculated as the concentration that reduced NO production by 50%.
4.2.2. Neurite Outgrowth Assay
Cell culture. Rat pheochromocytoma PC12 cell line was purchased from the Shanghai Institute of Biochemistry and Cell Biology (Chinese Academy of Sciences), and maintained in DMEM containing 10% heat-inactivated HS and 5% FBS with 1% penicillin/streptomycin at 37 °C in a humidified 5% CO2 atmosphere. During logarithmic growth phase, PC-12 cells (2 × 104 cells/well) were placed into a 24-well plate coated with poly-l-lysine (Sigma-Aldrich-China, Shanghai, China) in normal serum medium for 24 h, followed with low-serum (2% HS and 1% FBS) medium treatment for 14 h. The cells were treated with compounds at various concentrations (20 μm, DMSO as solvent) in the absence or presence of NGF (10 ng/mL). Cells treated with 10 ng/mL of NGF served as a positive control. The same concentration experiment was repeated in three wells. After an additional 72 h of incubation, neurite outgrowth of PC-12 cells was observed under an inverted microscope using phase-contrast objectives and photographed with a digital camera. Morphological analysis and quantification of neurite bearing cells were performed using phase-contrast microscope as described previously [33]. For each well, five images were randomly captured under a microscope. In each selected field, at least 100 cells were scored. The cells with neurites that were greater than or equal to the length of the cell body served as positive hits and then expressed as a percentage of the total cell number in the five fields.
4.2.3. Cell Viability Assay
BV-2 cells were seeded into 96-well plates at 2 × 104 cells/well. After 24 h, drugs were added and incubated for another 24 h. 10 μL CCK8 (APExBIO, Houston, TX, USA) was added to each well. After 4 h, the microplate reader measured absorbance at 450 nm.
4.2.4. Neuroprotective Effects against H2O2-Induced Oxidative Injury in PC12 Cells
PC12 cells were maintained in DMEM supplemented with 10% heat-inactivated horse serum and 5% fetal bovine serum in humidified 5% CO2/95% air at 37 °C. All cells were cultured in collagen coated culture dishes or flasks. The medium was changed every other day. Before treatment, cells were plated at an appropriate density on culture plates or dishes according to each experimental scale and cultured for 24 h. Cells were pretreated for 6 h with various concentrations of samples. Then, the medium was refreshed without adding sample, and the cells were exposed to 400 µm H2O2 for another 16 h [34].
4.2.5. Cytokine Release Was Measured Using an ELISA Kit
BV-2 microglial cells were cultured in a 24-well plate at 2 × 105 cells/mL and 500 μL for 24 h. Then stimulated with the control group, model group, and administration group for 24 h. The supernatant was collected from the culture, and supernatant was used to measure the concentrations of TNF-α using an ELISA kit (Boster Biological Technology, Pleasanton, CA, USA) [35].
4.3. Molecular Docking Studies
Molecular docking simulations were performed using the software SYBYL-X 2.0 as the previous studies [45]. We performed a re-docking of the extracted ligand present in the iNOS complex. The similarity range were 0.3–0.6 (<0.8), which indicated the docking protocol was feasible. The three-dimensional (3D) crystal structure of iNOS (PDB code: 3E7G) was obtained from the RCSB Protein Data Bank.
5. Conclusions
In summary, we have enantioselectively synthesized for the first time hamigeran B norditerpenoid analogs with high yield. This methodology provides a route for the rapid assembly of the hamigeran pool in a practical fashion and sufficient quantities to facilitate drug discovery. In this work, the neurotrophic and anti-neuroinfammatory activities of hamigeran B analogs were first investigated. Cytotoxicity experiments, H2O2-induced oxidative injury assay, and ELISA reaction speculated that compounds may inhibit the TNF-α pathway to achieve anti-inflammatory effects on nerve cells. The SARs outlined provided an insight into the interactions between iNOS and a new class of the most potent NO inhibitors (9c, 9q) to facilitate the further structural modification of this compound class, and two derivatives 9q and 9o have potential as dual-role therapeutic agents for AD treatment. Our investigations would expand and enrich the chemical and biological diversity of hamigeran-like norditerpenoid analogs.
Supplementary Materials
The following are available online at https://www.mdpi.com/1660-3397/18/6/306/s1, Figure S1: The IC50 concentration curves of compounds 9b, 9c, 9f, 9o, 9q and 9t. Table S1: Percentage of neurite-bearing PC12 cells and inhibitory effects in BV-2 cells of compounds.
Author Contributions
Conceptualization, J.-M.G.; data curation, R.-X.L., R.H., and G.-J.W.; funding acquisition, F.-S.H. and J.-M.G.; methodology, R.-X.L.; project administration, R.-X.L. The authors R.-X.L. and R.H. contributed equally to this work. All authors have read and agreed to the published version of the manuscript.
Funding
This research was supported by the National Natural Science Foundation of China (Nos. 21572182, 21572215 and 21602215), and the Specialized Research Fund for the Doctoral Program of Higher Education (20120204110029).
Conflicts of Interest
The authors declare no conflict of interest.
References
- Prince, M.J. World Alzheimer Report 2015: The Global Impact of Dementia. Available online: https://www.alz.co.uk/research/world-report (accessed on 29 March 2019).
- Brewster, J.T., II; Thiabaud, G.D.; Harvey, P.; Zafar, H.; Reuther, J.F.; Dell’Acqua, S.; Johnson, R.M.; Root, H.D.; Metola, P.; Jasanoff, A.; et al. Metallotexaphyrins as MRI-Active Catalytic Antioxidants for Neurodegenerative Disease: A Study on Alzheimer’s Disease. Chem 2020, 6, 1–22. [Google Scholar] [CrossRef] [PubMed]
- Mastellos, D.C.; Deangelis, R.A.; Lambris, J.D. Complementtriggered pathways orchestrate regenerative responses throughout phylogenesis. Semin. Immunol. 2013, 25, 29–38. [Google Scholar] [CrossRef]
- Lambris, J.D.; Reid, K.B.; Volanakis, J.E. The evolution, structure, biology and pathophysiology of complement. Immunology 1999, 20, 207–211. [Google Scholar] [CrossRef]
- Elvington, M.; Liszewski, M.K.; Atkinson, J.P. Evolution of the complement system: From defense of the single cell to guardian of the intravascularspace. Immunol. Rev. 2016, 274, 9–15. [Google Scholar] [CrossRef]
- Coulthard, L.G.; Hawksworth, O.A.; Woodruff, T.M. Complement: The emerging architect of the developing brain. Trends Neurosci. 2018, 41, 373–384. [Google Scholar] [CrossRef] [PubMed]
- Ka, Y.K.; Suh, Y.H.; Chang, K.A. Therapeutic Effects of Human Amniotic Epithelial Stem Cells in a Transgenic Mouse Model of Alzheimer’s Disease. Int. J. Mol. Sci. 2020, 21, 2658. [Google Scholar]
- Nestor, J.; Arinuma, Y.; Huerta, T.S.; Kowal, C.; Nasiri, E.; Kello, N.; Fujieda, Y.; Bialas, A.; Hammond, T.; Sriram, U. Lupus antibodies induce behavioral changes mediated by microglia and blocked by ACE inhibitors. J. Exp. Med. 2018, 215, 2554–2566. [Google Scholar] [CrossRef]
- Tenner, A.J.; Stevens, B.; Woodruff, T.M. New tricks for an ancient system: Physiological and pathological roles of complement in the CNS. Mol. Immunol. 2018, 102, 3–13. [Google Scholar] [CrossRef] [PubMed]
- Presumey, J.; Bialas, A.R.; Carroll, M.C. Complement system in neural synapse elimination in development and disease. Adv. Immunol. 2017, 135, 53–79. [Google Scholar] [PubMed]
- West, E.E.; Kolev, M.; Kemper, C. Complement and the regulation of T cell responses. Annu. Rev. Immunol. 2018, 36, 309–338. [Google Scholar] [CrossRef]
- Harada, K.; Zaha, K.; Bando, R.; Irimaziri, R.; Kubo, M.; Koriyama, Y.; Fukuyama, Y. Structure-activity relationships of talaumidin derivatives: Their neurite-outgrowth promotion in vitro and optic nerve regeneration in vivo. Eur. J. Med. Chem. 2018, 148, 86–94. [Google Scholar] [CrossRef]
- Kubo, M.; Okada, C.; Huang, J.M.; Harada, K.; Hioki, H.; Fukuyama, Y. Novel Pentacyclic seco-Prezizaane-Type Sesquiterpenoids with Neurotrophic Properties from Illicium jiadifengpi. Org. Lett. 2009, 11, 5190–5193. [Google Scholar] [CrossRef]
- Saada, M.C.; Montero, J.L.; Vullo, D.; Scozzafava, A.; Winum, J.Y.; Supuran, C.T. Carbonic Anhydrase Activators: Gold Nanoparticles Coated with Derivatized Histamine, Histidine, and Carnosine Show Enhanced Activatory Effects on Several Mammalian Isoforms. J. Med. Chem. 2011, 54, 1170–1177. [Google Scholar] [CrossRef]
- Zhang, B.; Gaiteri, C.; Bodea, L.G.; Wang, Z.; McElwee, J.; Podtelezhnikov, A.A.; Zhang, C.; Xie, T.; Tran, L.; Dobrin, R. Integrated systems approach identifies genetic nodes and networks in late-onset Alzheimer’s disease. Cell 2013, 153, 707–720. [Google Scholar] [CrossRef]
- Huang, E.J.; Reichardt, L.F. Neurotrophins: Roles in Neuronal Development and Function. Annu. Rev. Neurosci. 2001, 24, 677–736. [Google Scholar] [CrossRef]
- Calissano, P.; Matrone, C.; Amadoro, G. Nerve growth factor as a paradigm of neurotrophins related to Alzheimer’s disease. Dev. Neurobiol. 2010, 70, 372–383. [Google Scholar] [CrossRef]
- Wellington, K.D.; Cambie, R.C.; Rutledge, P.S.; Bergquist, P.R. Chemistry of Sponges. 19. Novel Bioactive Metabolites from Hamigeratarangaensis. J. Nat. Prod. 2000, 63, 79–85. [Google Scholar] [CrossRef]
- Tang, H.Y.; Yin, X.; Zhang, C.C.; Jia, Q.; Gao, J.M. Structure Diversity, Synthesis, and Biological Activity of Cyathane Diterpenoids in Higher Fungi. Curr. Med. Chem. 2015, 22, 2375–2391. [Google Scholar] [CrossRef]
- Bai, R.; Zhang, C.C.; Yin, X.; Wei, J.; Gao, J.M. Striatoids A–F, Cyathane Diterpenoids with Neurotrophic Activity from Cultures of the Fungus Cyathus striatus. J. Nat. Prod. 2015, 78, 783–788. [Google Scholar] [CrossRef] [PubMed]
- Shi, X.W.; Liu, L.; Gao, J.M.; Zhang, A.L. Cyathane diterpenes from Chinese mushroom Sarcodon scabrosus and their neurite outgrowth-promoting activity. Eur. J. Med. Chem. 2011, 46, 3112–3117. [Google Scholar] [CrossRef]
- Douglass, F.T.; Tian, W.W. Synthesis of (-)-hamigeran B. J. Org. Chem. 2008, 73, 7560–7564. [Google Scholar]
- Sperry, J.B.; Wright, D.L. Synthesis of the hamigeran skeleton through an electro-oxidative coupling reaction. Tetrahedron Lett. 2005, 46, 411–414. [Google Scholar] [CrossRef]
- Li, X.; Xue, D.; Wang, C.; Gao, S.H. Total Synthesis of the Hamigerans. Angew. Chem. Int. Ed. 2016, 55, 9942–9946. [Google Scholar] [CrossRef]
- Lin, H.; Xiao, L.J.; Zhou, M.J.; Yu, H.M.; Xie, J.H.; Zhou, Q.L. Enantioselective Approach to (-)-Hamigeran B and (-)-4-Bromohamigeran B via Catalytic Asymmetric Hydrogenation of Racemic Ketone to Assemble the Chiral Core Framework. Org. Lett. 2016, 18, 1434–1437. [Google Scholar] [CrossRef]
- Cao, B.C.; Wu, G.J.; Yu, F.; He, Y.P.; Han, F.S. A Total Synthesis of (-)-Hamigeran B and (-)-4-Bromohamigeran B. Org. Lett. 2018, 20, 3687–3690. [Google Scholar] [CrossRef]
- Nicolaou, K.C.; David, L.F.G.; Tae, J. Total Synthesis of Hamigerans and Analogues Thereof. Photochemical Generation and Diels−Alder Trapping of Hydroxy-o-quinodimethanes. J. Am. Chem. Soc. 2004, 126, 613–627. [Google Scholar] [CrossRef] [PubMed]
- Wu, G.J.; Yu, F.; He, Y.P.; Han, F.S. Total synthesis of cyrneines A-B and glaucopine C. Nat. Commun. 2018, 9, 2148. [Google Scholar] [CrossRef]
- Trost, B.M.; Pissot, S.C.; Chen, I. A Short and Concise Asymmetric Synthesis of Hamigeran B. Chem. Eur. J. 2005, 11, 951–959. [Google Scholar] [CrossRef] [PubMed]
- Wei, J.; Cheng, Y.; Guo, W.H.; Wang, D.C.; Zhang, Q.; Li, D.; Rong, J.; Gao, J.M. Molecular Diversity and Potential Anti-neuroinflammatory Activities of Cyathane Diterpenoids from the Basidiomycete Cyathus africanus. Sci. Rep. 2017, 7, 8883. [Google Scholar] [CrossRef] [PubMed]
- Yin, X.; Wei, J.; Wang, W.W.; Gao, Y.Q.; Stadler, M.; Kou, R.W.; Gao, J.M. New cyathane diterpenoids with neurotrophic and anti-neuroinflammatory activity from the bird’s nest fungus Cyathus africanus. Fitoterapia 2019, 134, 201–209. [Google Scholar] [CrossRef] [PubMed]
- Xu, Y.Z.; Tang, D.; Wang, J.P.; Wei, H.B.; Gao, J.M. Neuroprotection of Andrographolide Against Microglia-Mediated Inflammatory Injury and Oxidative Damage in PC12 Neurons. Neurochem. Res. 2019, 44, 2619–2630. [Google Scholar] [CrossRef]
- Tang, D.; Xu, Y.Z.; Wang, W.W.; Yang, Z.; Liu, B.; Marc, S.; Liu, L.L.; Gao, J.M. Cyathane Diterpenes from Cultures of the Bird’s Nest Fungus Cyathushookeri and their Neurotrophic and Anti-neuroinflammatory Activities. J. Nat. Prod. 2019, 82, 1599–1608. [Google Scholar] [CrossRef] [PubMed]
- Sam, L.H.; Gow, C.Y. Neuroprotective Effects of the Citrus Flavanones against H2O2-Induced Cytotoxicity in PC12 Cells. J. Agric. Food Chem. 2008, 56, 859–865. [Google Scholar]
- Na, K.-S.; Jung, H.Y.; Kim, K.K. The role of proinflammatory cytokines in the neuroinflammation and neurogenesis of schizophrenia. Prog. Neuro-Psychopharmacol. Biol. Psychiatry 2014, 48, 277–286. [Google Scholar]
- Du, Z.J.; Guan, J.; Wu, G.J.; Xu, P.; Gao, L.X.; Han, F.S. Pd(II)-Catalyzed Enantioselective Synthesis of P-Stereogenic Phosphinamides via Desymmetric C–H Arylation. J. Am. Chem. Soc. 2015, 137, 632–635. [Google Scholar] [CrossRef] [PubMed]
- Goverdhan, M.; Senaiar, S.; Ramesh, P. Novel conduritol and carbasugar hybrids as new glycosidase inhibitors. Can. J. Chem. 2005, 83, 581–594. [Google Scholar]
- Wu, X.L.; Dong, L. Synthesis of α-Ketone-isoquinoline Derivatives via Tandem Ruthenium(II)-Catalyzed C–H Activation and Annulation. Org. Lett. 2018, 20, 6990–6993. [Google Scholar] [CrossRef]
- Donald, J.D.; Samuel, J.L.; Jody, L.; Jason, C.Y. Carbon Dioxide/Epoxide Coupling Reactions Utilizing Lewis Base Adducts of Zinc Halides as Catalysts. Cyclic Carbonate versus Polycarbonate Production. Inorg. Chem. 2003, 42, 581–589. [Google Scholar]
- Thiery, E.; Chevrin, C.; Le Bras, J.; Harakat, D.; Muzart, J. Mechanistic Insights into the PalladiumII-Catalyzed Hydroxyalkoxylation of 2-Allylphenols. J. Org. Chem. 2007, 72, 1859–1862. [Google Scholar] [CrossRef]
- Lee, W.D.; Kwangho, K.; Gary, A.S. Studies into the Stereoselectivity of Tartrate-Derived Dienophiles. Org. Lett. 2005, 7, 1687–1689. [Google Scholar] [CrossRef]
- Chen, C.; Xiang, Y.; Yang, K.W.; Zhang, Y.J.; Wang, W.M.; Su, J.-P.; Ge, Y.; Liu, Y. A protein structure-guided covalent scaffold selectively targets the B1 and B2 subclass metallo-b-lactamases. Chem. Commun. 2018, 54, 4802–4805. [Google Scholar] [CrossRef] [PubMed]
- Zhou, T.; Shi, Q.; Kenneth, F.B.; Lee, K.H. Antitumor Agents 286. Design, Synthesis, and Structure-Activity Relationships of 3′R,4′ R-Disubstituted-2′,2′ -dimethyldihydropyrano[2,3-f] chromone (DSP) Analogues as Potent Chemosensitizers to Overcome Multidrug Resistance. J. Med. Chem. 2010, 53, 8700–8708. [Google Scholar] [CrossRef] [PubMed]
- Stephen, D.C.; Timothy, W.W. 2-Methoxy-6-methylbenzaldehyde and Related Compounds. Synthesis 1983, 12, 1000–1002. [Google Scholar]
- Dai, J.K.; Dan, W.J.; Li, N.; Wang, J.R. Design, synthesis and biological evaluations of quaternization harman analogues as potential antibacterial agents. Eur. J. Med. Chem. 2018, 160, 23–36. [Google Scholar] [CrossRef] [PubMed]
© 2020 by the authors. Licensee MDPI, Basel, Switzerland. This article is an open access article distributed under the terms and conditions of the Creative Commons Attribution (CC BY) license (http://creativecommons.org/licenses/by/4.0/).










