1H NMR-Based Isolation of Anti-Inflammatory 9,11-Secosteroids from the Octocoral Sinularia leptoclados
Abstract
1. Introduction
2. Results and Discussion
2.1. 1H NMR-Based Isolation of Anti-Inflammatory 9,11-Secosteroids
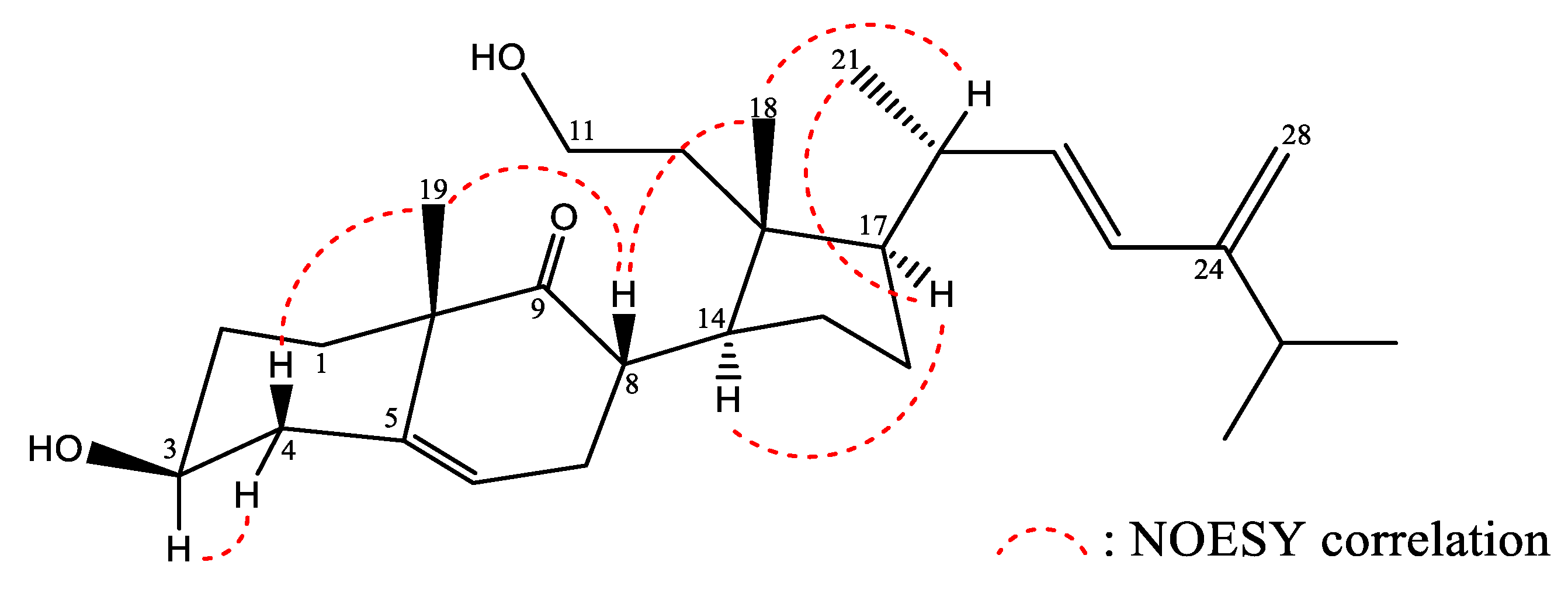
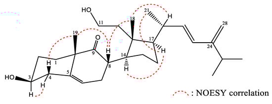
2.2. Chemical Identification of 9,11-Secosterols
2.3. Anti-Inflammatory Assessment of Isolated 9,11-Secosterols
3. Experimental
3.1. General Procedures
3.2. Coral Material
3.3. Extraction and Isolation
3.4. In Vitro Anti-Inflammatory Bioassay
3.4.1. Human Neutrophil Superoxide Anion Generation and Elastase Release
3.4.2. Receptor Binding Assay
3.4.3. Statistical Analysis
4. Conclusions
Supplementary Materials
Author Contributions
Funding
Conflicts of Interest
References
- Németh, T.; Sperandio, M.; Mócsai, A. Neutrophils as emerging therapeutic targets. Nat. Rev. Drug Discov. 2020, 19, 253–275. [Google Scholar] [CrossRef] [PubMed]
- Lin, S.C.; Shi, L.S.; Ye, Y.L. Advanced molecular knowledge of therapeutic drugs and natural products focusing on inflammatory cytokines in asthma. Cells 2019, 8, 685. [Google Scholar] [CrossRef] [PubMed]
- Sarma, N.S.; Krishna, M.S.; Pasha, S.G.; Rao, T.S.P.; Venkateswarlu, Y.; Parameswaran, P.S. Marine metabolites: The sterols of soft coral. Chem. Rev. 2009, 109, 2803–2828. [Google Scholar] [CrossRef] [PubMed]
- Su, J.H.; Tseng, Y.J.; Huang, H.H.; Ahmed, A.F.; Lu, C.K.; Wu, Y.C.; Sheu, J.H. 9,11-Secosterols from the soft corals Sinularia lochmodes and Sinularia leptoclados. J. Nat. Prod. 2006, 69, 850–852. [Google Scholar] [CrossRef]
- Cheng, S.Y.; Chen, H.P.; Wang, S.K.; Duh, C.Y. Three new 9,11-secosterols from the Formosan soft coral Sinularia leptoclados. Bull. Chem. Soc. Jpn. 2011, 84, 648–652. [Google Scholar] [CrossRef]
- Ngoc, N.T.; Hanh, T.T.H.; Thanh, N.V.; Thao, D.T.; Cuong, N.X.; Nam, N.H.; Thung, D.C.; Kiem, P.V.; Minh, C.V. Cytotoxic steroids from the Vietnamese soft coral Sinularia leptoclados. Chem. Pharm. Bull. 2017, 65, 593–597. [Google Scholar] [CrossRef]
- Sica, D.; Musumeci, D. Secosteroids of marine origin. Steroids 2004, 69, 743–756. [Google Scholar] [CrossRef]
- Tsai, C.R.; Huang, C.Y.; Chen, B.W.; Tsai, Y.Y.; Shih, S.P.; Hwang, T.L.; Dai, C.F.; Wang, S.Y.; Sheu, J.H. New bioactive steroids from the soft coral Klyxum flaccidum. RSC Adv. 2015, 5, 12546–12554. [Google Scholar] [CrossRef]
- Chang, Y.C.; Hwang, T.L.; Sheu, J.H.; Wu, Y.C.; Sung, P.J. New Anti-Inflammatory 9,11-Secosterols with a rare tricyclo[5,2,1,1]decane ring from a formosan gorgonian Pinnigorgia sp. Mar. Drugs 2016, 14, 218. [Google Scholar] [CrossRef]
- Chen, W.T.; Liu, H.L.; Yao, L.G.; Guo, Y.W. 9,11-Secosteroids and polyhydroxylated steroids from two South China Sea soft corals Sarcophyton trocheliophorum and Sinularia flexibilis. Steroids 2014, 92, 56–61. [Google Scholar] [CrossRef]
- Chang, Y.C.; Hwang, T.L.; Kuo, L.M.; Sung, P.J. Pinnisterols D–J, New 11-acetoxy-9,11-secosterols with a 1,4-quinone moiety from Formosan gorgonian coral Pinnigorgia sp. (Gorgoniidae). Mar. Drugs 2017, 15, 11. [Google Scholar] [CrossRef] [PubMed]
- Bonini, C.; Cooper, C.B.; Kazlauskas, R.; Wells, R.J.; Djerassi, C. Minor and trace sterols in marine invertebrates. 41. Structure and stereochemistry of naturally occurring 9,11-seco sterols. J. Org. Chem. 1983, 48, 2108–2111. [Google Scholar] [CrossRef]
- Tsai, Y.F.; Yang, S.C.; Hwang, T.L. Formyl peptide receptor modulators: A patent review and potential applications for inflammatory diseases (2012–2015). Expert Opin. Ther. Pat. 2016, 26, 1139–1156. [Google Scholar] [CrossRef] [PubMed]
- Schepetkin, I.A.; Kirpotina, L.N.; Khlebnikov, A.I.; Cheng, N.; Ye, R.D.; Quinn, M.T. Antagonism of human formyl peptide receptor 1 (FPR1) by chromones and related isoflavones. Biochem. Pharmacol. 2014, 92, 627–641. [Google Scholar] [CrossRef]
- Kirpotina, L.N.; Schepetkin, I.A.; Khlebnikov, A.I.; Ruban, O.I.; Ge, Y.; Ye, R.D.; Kominsky, D.J.; Quinn, M.T. 4-Aroyl-3-hydroxy-5-phenyl-1H-pyrrol-2(5H)-ones as N-formyl peptide receptor 1 (FPR1) antagonists. Biochem. Pharmacol. 2017, 142, 120–132. [Google Scholar] [CrossRef]
- Yang, S.C.; Chang, S.H.; Hsieh, P.W.; Huang, Y.T.; Ho, C.M.; Tsai, Y.F.; Hwang, T.L. Dipeptide HCH6-1 inhibits neutrophil activation and protects against acute lung injury by blocking FPR1. Free Radic. Biol. Med. 2017, 106, 254–269. [Google Scholar] [CrossRef]
- Yang, S.C.; Chung, P.J.; Ho, C.M.; Kuo, C.Y.; Hung, M.F.; Huang, Y.T.; Chang, W.Y.; Chang, Y.W.; Chan, K.H.; Hwang, T.L. Propofol inhibits superoxide production, elastase release, and chemotaxis in formyl peptide–activated human neutrophils by blocking formyl peptide receptor 1. J. Immunol. 2013, 190, 6511. [Google Scholar] [CrossRef]
- Yu, H.P.; Hsieh, P.W.; Chang, Y.J.; Chung, P.J.; Kuo, L.M.; Hwang, T.L. 2-(2-Fluorobenzamido)- benzoate ethyl ester (EFB-1) inhibits superoxide production by human neutrophils and attenuates hemorrhagic shock-induced organ dysfunction in rats. Free Radic. Biol. Med. 2011, 50, 1737–1748. [Google Scholar] [CrossRef]
- Enwall, E.L.; van der Helm, D.; Hsu, I.N.; Pattabhiraman, T.; Schmitz, F.J.; Spraggins, R.L.; Weinheimer, A.J. Crystal structure and absolute configuration of two cyclopropane containing marine steroids. J. Chem. Soc. Chem. Commun. 1972, 215–216. [Google Scholar] [CrossRef]
- Van Wyk, A.W.W.; Gray, C.A.; Whibley, C.E.; Osoniyi, O.; Hendricks, D.T.; Caira, M.R.; Davies-Coleman, M.T. Bioactive metabolites from the South African marine mollusk Trimusculus costatus. J. Nat. Prod. 2008, 71, 420–425. [Google Scholar] [CrossRef]
- Kawamura, A.; Kita, M.; Kigoshi, H. Aplysiasecosterol A: A 9,11-Secosteroid with an unprecedented tricyclic γ-diketone structure from the sea hare Aplysia kurodai. Angew. Chem. Int. Ed. 2015, 54, 7073–7076. [Google Scholar] [CrossRef] [PubMed]
- Chang, Y.C.; Kuo, L.M.; Su, J.H.; Hwang, T.L.; Kuo, Y.H.; Lin, C.S.; Wu, Y.C.; Sheu, J.H.; Sung, P.J. Pinnigorgiols A–C, 9,11-secosterols with a rare ring arrangement from a gorgonian coral Pinnigorgia sp. Tetrahedron 2016, 72, 999–1004. [Google Scholar] [CrossRef]
- Chang, Y.C.; Kuo, L.M.; Hwang, T.L.; Yeh, J.; Wen, Z.H.; Fang, L.S.; Wu, Y.C.; Lin, C.S.; Sheu, J.H.; Sung, P.J. Pinnisterols A–C, New 9,11-secosterols from a gorgonian Pinnigorgia sp. Mar. Drugs 2016, 14, 12. [Google Scholar] [CrossRef] [PubMed]
- Chang, Y.C.; Hwang, T.L.; Chao, C.H.; Sung, P.J. New marine sterols from a gorgonian Pinnigorgia sp. Molecules 2017, 22, 393. [Google Scholar] [CrossRef] [PubMed]
- Kuo, L.M.; Chen, P.J.; Sung, P.J.; Chang, Y.C.; Ho, C.T.; Wu, Y.H.; Hwang, T.L. The bioactive extract of Pinnigorgia sp. induces apoptosis of hepatic stellate cells via ROS-ERK/JNK-caspase-3 signaling. Mar. Drugs 2018, 16, 19. [Google Scholar] [CrossRef]




| Position | δH (J in Hz) | δC, Type | COSY | HMBC |
|---|---|---|---|---|
| 1a/b | 1.50 m; 1.81 m | 31.0, CH2 | H2-2 | C-3 |
| 2a/b | 1.40 m; 1.93 m | 30.8, CH2 | H2-1, H-3 | n. o. a |
| 3 | 3.51 m | 71.4, CH | H2-2, H2-4 | n. o. |
| 4a/b | 2.23 m; 2.44 m | 40.6, CH2 | H-3 | C-3, C-5, C-6 |
| 5 | - | 140.4, C | - | - |
| 6 | 5.47 brd (5.6) | 121.5, CH | H2-7 | C-4, C-7, C-8, C-10 |
| 7a/b | 1.98 m; 2.40 m | 33.1, CH2 | H-6, H-8 | C-5, C-6 |
| 8 | 3.03 ddd (12.4, 12.4, 6.8) | 43.8, CH | H2-7, H-14 | C-7, C-9, C-14 |
| 9 | - | 217.5, C | - | - |
| 10 | - | 48.4, C | - | - |
| 11a/b | 3.86 m; 3.74m | 59.4, CH2 | H2-12 | n. o. |
| 12 | 1.33 m; 1.67 m | 40.2, CH2 | H2-11 | C-11, C-13 |
| 13 | - | 45.5, C | - | - |
| 14 | 2.61 m | 42.1, CH | H-8, H2-15 | C-9 |
| 15 | 1.31 m; 1.58 m | 24.6, CH2 | H-14, H2-16 | C-14 |
| 16 | 1.31 m; 1.71 m | 24.8, CH2 | H2-15, H-17 | n. o. |
| 17 | 1.78 m | 49.6, CH | H2-16, H-20 | n. o. |
| 18 | 0.69 s | 17.7, CH3 | - | C-12, C-13, C-14, C-17 |
| 19 | 1.40 s | 22.8, CH3 | - | C-1, C-5, C-9, C-10 |
| 20 | 2.25 m | 38.5, CH | H-17, H3-21, H-22 | C-16 |
| 21 | 1.08 d (6.4) | 22.1, CH3 | H-20 | C-17, C-20 |
| 22 | 5.65 dd (16.0, 7.2) | 134.6, CH | H-20, H-23 | C-20, C-21, C-24 |
| 23 | 5.93 d (16.0) | 130.2, CH | H-22 | C-20, C-24, C-25, C-28 |
| 24 | - | 153.0, C | - | |
| 25 | 2.54 m | 29.4, CH | H3-26, H3-27 | C-24, C-28 |
| 26 | 1.06 d (6.8) | 22.4, CH3 | H-25 | C-24, C-25 |
| 27 | 1.07 d (6.8) | 21.5, CH3 | H-25 | C-24, C-25 |
| 28 | 4.83 d (6.8) | 109.8, CH2 | C-24, C-25 |
| Position | δH (J in Hz) | δC, Type | COSY | HMBC |
|---|---|---|---|---|
| 1a/b | 1.53 m; 1.90 m | 30.8, CH2 | H2-2 | n. o. a |
| 2a/b | 1.31 m; 1.93 m | 31.3, CH2 | H2-1, H-3 | n. o. |
| 3 | 3.51 m | 71.4, CH | H2-2, H2-4 | n. o. |
| 4a/b | 2.23 m; 2.44 m | 40.6, CH2 | H-3 | n. o. |
| 5 | - | 140.4, C | - | - |
| 6 | 5.48 brd (5.6) | 121.5, CH | H2-7 | C-4, C-7, C-8 |
| 7a/b | 2.02 m; 2.39 m | 33.0, CH2 | H-6, H-8 | n. o. |
| 8 | 3.03 td (12.4, 6.8) | 43.6, CH | H2-7, H-14 | C-7, C-9, C-14 |
| 9 | - | 217.5, C | - | - |
| 10 | - | 48.5, C | - | - |
| 11a/b | 3.69 m; 3.83m | 59.4, CH2 | H2-12 | n. o. |
| 12 | 1.32 m; 1.68 m | 40.3, CH2 | H2-11 | n. o. |
| 13 | - | 45.6, C | - | - |
| 14 | 2.61 m | 41.8, CH | H-8, H2-15 | n. o. |
| 15 | 1.30 m; 1.56 m | 24.4, CH2 | H-14, H2-16 | n. o. |
| 16 | 1.30 m; 1.74 m | 25.0, CH2 | H2-15, H-17 | - |
| 17 | 1.65 m | 49.2, CH | H2-16 | - |
| 18 | 0.67 s | 17.3, CH3 | - | C-11, C-12, C-13, C-14, C-17 |
| 19 | 1.38 s | 22.9, CH3 | - | C-1, C-5, C-9, C-10 |
| 20 | 1.41 m | 34.0, CH | H3-21 | n. o. |
| 21 | 1.01 d (6.8) | 19.4, CH3 | H-20 | C-17, C-20, C-22 |
| 22 | 1.17 m; 1.51 m | 34.7, CH2 | H-23 | n. o. |
| 23 | 1.81 m; 2.39 m | 31.0, CH2 | H-22 | n. o. |
| 24 | - | 148.5, C | - | |
| 25 | - | 142.7, C | - | |
| 26 | 4.59 d (1.2) | 112.5, CH2 | - | C-25 |
| 27 | 1.90 s | 21.2, CH3 | - | C-24, C-25, C-26 |
| 28 | 5.06 s | 112.0, CH2 | - | C-23, C-24, C-25 |
| Compound | Superoxide Anions | Elastase Release | ||
|---|---|---|---|---|
| IC50 (μM) a | Inh % | IC50 (μM) | Inh % | |
| 1 | 7.07 ± 0.52 | 64.76 ± 3.42 *** | 7.57 ± 0.40 | 65.04 ± 2.76 *** |
| 2 | 4.68 ± 0.57 | 76.30 ± 5.09 *** | 4.29 ± 0.25 | 105.09 ± 5.25 *** |
| 3 | 1.97 ± 0.12 | 90.47 ± 2.44 *** | 3.12 ± 0.07 | 112.23 ±5.01 *** |
| 4 | 2.96 ± 0.91 | 91.11 ± 4.51 *** | 1.63 ± 0.15 | 93.74 ± 1.23 *** |
| 5 | 8.07 ± 0.53 | 57.93 ± 2.30 *** | 4.73 ± 0.57 | 86.32 ± 2.91 *** |
| 6 | 4.09 ± 0.50 | 60.51 ± 4.06 *** | >10 | 25.38 ± 6.68 ** |
| 7 | >10 | 10.29 ± 5.42 *** | >10 | 18.87 ± 3.86 *** |
© 2020 by the authors. Licensee MDPI, Basel, Switzerland. This article is an open access article distributed under the terms and conditions of the Creative Commons Attribution (CC BY) license (http://creativecommons.org/licenses/by/4.0/).
Share and Cite
Chang, Y.-C.; Lai, K.-H.; Kumar, S.; Chen, P.-J.; Wu, Y.-H.; Lai, C.-L.; Hsieh, H.-L.; Sung, P.-J.; Hwang, T.-L. 1H NMR-Based Isolation of Anti-Inflammatory 9,11-Secosteroids from the Octocoral Sinularia leptoclados. Mar. Drugs 2020, 18, 271. https://doi.org/10.3390/md18050271
Chang Y-C, Lai K-H, Kumar S, Chen P-J, Wu Y-H, Lai C-L, Hsieh H-L, Sung P-J, Hwang T-L. 1H NMR-Based Isolation of Anti-Inflammatory 9,11-Secosteroids from the Octocoral Sinularia leptoclados. Marine Drugs. 2020; 18(5):271. https://doi.org/10.3390/md18050271
Chicago/Turabian StyleChang, Yu-Chia, Kuei-Hung Lai, Sunil Kumar, Po-Jen Chen, Yi-Hsuan Wu, Ching-Long Lai, Hsi-Lung Hsieh, Ping-Jyun Sung, and Tsong-Long Hwang. 2020. "1H NMR-Based Isolation of Anti-Inflammatory 9,11-Secosteroids from the Octocoral Sinularia leptoclados" Marine Drugs 18, no. 5: 271. https://doi.org/10.3390/md18050271
APA StyleChang, Y.-C., Lai, K.-H., Kumar, S., Chen, P.-J., Wu, Y.-H., Lai, C.-L., Hsieh, H.-L., Sung, P.-J., & Hwang, T.-L. (2020). 1H NMR-Based Isolation of Anti-Inflammatory 9,11-Secosteroids from the Octocoral Sinularia leptoclados. Marine Drugs, 18(5), 271. https://doi.org/10.3390/md18050271

