Abstract
A series of novel substituted 1-O-alkylglycerols (AKGs) containing methoxy (8), gem-difluoro (9), azide (10) and hydroxy (11) group at 12 position in the alkyl chain were synthesized from commercially available ricinoleic acid (12). The structures of these new synthesized AKGs were established by NMR experiments as well as from the HRMS and elementary analysis data. The antimicrobial activities of the studied AKGs 8–11 were evaluated, respectively, and all compounds exhibited antimicrobial activity to different extents alone and also when combined with some commonly used antibiotics (gentamicin, tetracycline, ciprofloxacin and ampicillin). AKG 11 was viewed as a lead compound for this series as it exhibited significantly higher antimicrobial activity than compounds 8–10.
1. Introduction
Natural 1-O-alkylglycerols (AKGs) 1 are bioactive ether lipids present in body cells and fluids. They are precursors of ether phospholipids, which participate in structures and functions of membranes in certain cells such as white blood cells or macrophages. AKGs are also found in bone marrow lipids and in milk [1]. Marine sources of AKGs such as the liver oil of certain shark species or rat fish (elasmobranch fishes) contain high levels of these compounds as a mixture of few species varying by length and unsaturation or saturation of the alkyl chain.
The usual composition of alkyl chains in AKGs from Greenland shark (Centrophorus squamosus) liver oil (SLO) is as follows: 12:0, 1–2%; 14:0, 1–3%; 16:0, 9–13%; 16:1, n-7, 11–13%; 18:0, 1–5%; 18:1, n-9, 54–68%; 18:1, n-7, 4–6%; and minor species (<1%). Beneficial effects of SLO on health have been recognized in traditional medicine of northern countries involved in fishing such as Japan, Norway and Iceland. In these countries, the ancestral use of SLO was empirical as strengthening or wound healing medication [2].
Experimental studies were performed during the last century, aiming to demonstrate whether AKGs from SLO had biological properties and beneficial effects. Indeed, several studies did observe interesting effects such as hematopoiesis stimulation [3], lowering radiotherapy-induced injuries [4], reducing tumor growth [5] and improving vaccination efficiency [6,7]. However, in most cases, conclusions were mainly impaired by the poor definition of the mixtures used in terms of purity as well as chemical composition. It was then established that the alkyl chain is bound to the glycerol backbone at the sn-1 position, thus leading to an S configuration at the asymmetric carbon [8] (Figure 1).
Figure 1.
Natural 1-O-alkylglycerols (AKGs) (1).
To assess the biological activity of each individual AKG, Legrand et al. [9,10,11] reported the antitumor activity (against lung cancer in mice) of each of the six prominent components 2–7 of the natural mixture. These derivatives were obtained in pure form by total synthesis and it was observed that the biological activity was heavily dependent upon the unsaturation of the alkyl chain. When this chain was saturated, the corresponding 1-O-alkylglycerols 2–5 exhibited little or no activity. However, when it was monounsaturated 6–7, a good antitumor activity was observed, thus indicating that the antitumor activity of the natural SLO mixture was heavily related to its unsaturated components (Figure 2).
Figure 2.
Synthesized AKGs 2–7, prominent components of natural shark liver oil (SLO) mixture.
Currently, resistance to the existing antibiotics and increasing numbers of diseases result in identifying new drug candidates with new forms of activity. Thus, synthesized natural or non-natural AKGs derivatives of natural fatty acids could be one new source of drug delivery systems of antibiotics. Additionally, defined synthetic routes for these targets will facilitate further investigation of biological activities, as natural AKGs were found present in various human cells, but only in trace quantities. Among known natural fatty acids, ricinoleic acid (RA) is one of the major fatty acids occurring in castor oil (almost 90%) [12]. Such a high concentration of this unusual unsaturated fatty acid may be responsible for castor oil’s remarkable healing abilities. It is known to be effective in preventing the growth of numerous species of viruses, bacteria, yeasts and molds [13,14]. Due to the many beneficial effects of this fatty acid component, the use of castor oil can be applied topically to treat a wide variety of health complaints [15], and it also has pharmacological effects on the human gastrointestinal tract [16]. An RA-based glycine derivative was reported to exhibit excellent antimicrobial and anti-biofilm activities against the tested Gram-positive bacterial strains and specifically against various Candida strains [17], and it is used for the preparation of several bioactive molecules [18,19,20].
The presence of the hydroxyl group in RA provides a functional group location for performing a variety of chemical reactions including esterification, halogenation, dehydration, alkoxylation and nucleophilic substitution. In this direction, non-natural AKG 8–11 derivatives from ricinoleic acid have been synthesized in a stereo-controlled manner. Taking into account RA and natural alkylglycerols’ beneficial effects, herein, we report the synthesis of new non-natural RA-derived methoxy, gem-difluorino, azide, and hydroxy-substituted 1-O-alkylglycerols 8–11 and their respective antimicrobial activities (Figure 3).
Figure 3.
Synthesized AKGs 8–11 from ricinoleic acid.
2. Results and Discussion
2.1. Chemistry
Ether lipids bearing a methoxy group at the alkyl chain can be divided into two groups of compounds, namely the methoxylated fatty acids and the methoxy-substituted alkylglycerols [21]. These compounds display interesting biological activities such as antibacterial, antifungal, antitumor and antiviral activities and have been isolated from either bacterial or marine sources, or are mainly of synthetic origin [22]. Hallgren et al. [23] reported that the mixture of methoxylated alkylglycerols made up to 4% of the glyceryl ether content, and in three shark species and three ratfish species they accounted for 0.1% to 0.3% of the total liver lipid content [24].
Methoxy-substituted glyceryl ethers displayed antibacterial and antifungal activities and inhibited some cancer cell lines and metastasis formation in mice [21]. AKGs containing a methoxy group at position 2 in the alkyl chain isolated from the natural SLO mixture of Greenland shark were able to inhibit tumor growth and metastasis formation, and also to stimulate the immunoreactivity in mice [25,26]. Likewise, a synthesized AKG from oleic acid bearing a methoxy group at position 2 in the alkyl chain was reported as an analog of bioactive ether lipid [27].
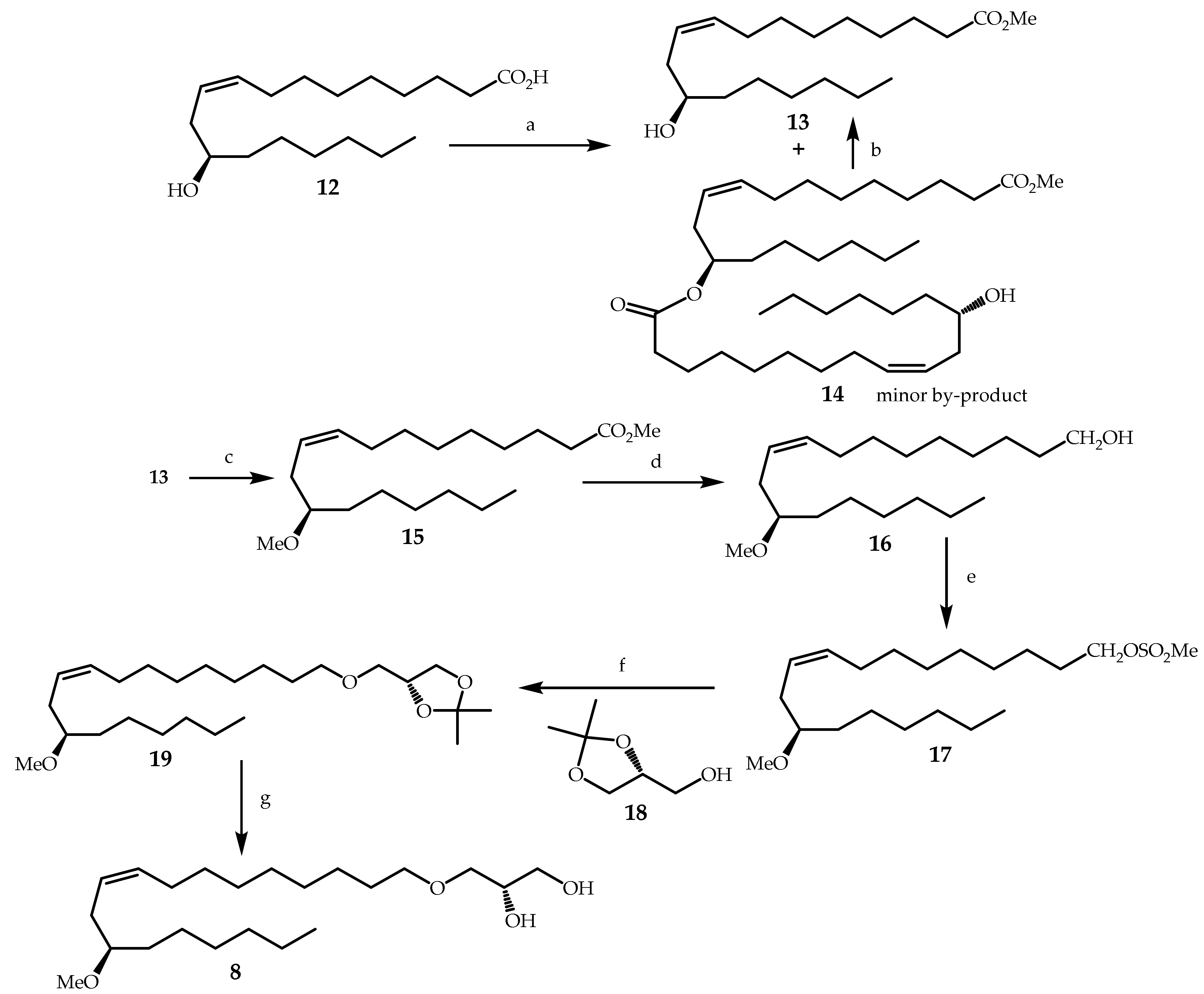
Therefore, methoxy-substituted AKG 8 was designed as an analog of the AKG 7 with the same alkyl chain length C18 and Δ9 unsaturation, but with a methoxy group at position 12 in the alkyl chain to evaluate the beneficial effects of a methoxy group in an other position than 2 in a 1-O-alkylglycerol alkyl chain [21,27]. The synthesis of 8 began with the esterification of RA 12 into methyl ricinoleate 13 in 75% yield using boron trifluoride in methanol, along with 4% of a by-product (dimer) 14, which arises from a subsequent esterification of the secondary alcohol of 13 formed with RA [28]. Compound 14 gave spectroscopic properties (1H and 13C NMR, as well as correlation spectra) in full agreement with its structure. This was confirmed by HRMS (ESI, m/z) showing 615.4971 for [M + Na]+ (Scheme 1). Although it is not strictly necessary, the process could be improved by converting this very minor by-product 14 into 13 by transesterification and thus eliminating it by a subsequent treatment of 13 containing 14 by potassium carbonate in methanol (see experimental section). The secondary alcohol functionality of 13 was then methylated in situ with methyl iodide in the presence of sodium hydroxide in DMSO to provide 15 in 72% yield. This method compares favorably to the hitherto reported cobalt-catalyzed etherification of 13 using diazomethane [29]. Then, 15 was reduced to alcohol 16 in 82% yield using as a reducing agent, Red-Al in Et2O at 0 °C. Following this, alcohol 16 underwent mesylation using mesyl chloride in dichloromethane (DCM) with triethylamine, affording 17 in 74% yield, which was in turn alkylated with 2,3-isopropylidene-sn-glycerol 18 in the presence of potassium hydroxide and tetra-n-butylammonium bromide in DMSO to provide acetonide 19 in 93% yield. Acetonide 19 was hydrolyzed under acidic conditions using a catalytic amount of p-toluenesulfonic acid monohydrate in MeOH/H2O (9:1) to afford 8 in 99% yield (Scheme 1). Supplementary Materials of all synthetic compounds for this sequence is attached in a file as Figures S1.1–S1.14.
Scheme 1.
Synthesis of AKG 8. Reagents and conditions: (a) BF3.2MeOH, MeOH, 50 °C, 15 h, 75% of 13 and 4% of 14; (b) K2CO3, MeOH, rt, 42 h, quantitative conversion of 14 into 13; (c) MeI, NaOH, n-Bu4NBr, DMSO, rt, 18 h, 72%; (d) Red-Al, Et2O, 0 °C, 16 h, 82%; (e) MsCl, Et3N, DCM, −50 °C, 5 h, 74%; (f) KOH, n-Bu4NBr, DMSO, 35 °C, 14 h, 93%; (g) p-TsOH.H2O (0.05 equiv), MeOH/H2O (9:1), 60 °C, 5 h, 99%.
The hydroxyl functionality of RA makes the castor oil a natural polyol providing oxidative stability to the oil and a relatively long shelf life, compared to other oils, by preventing peroxide formation. As a result, this unique functionality allows the castor oil to be used in industrial applications such as paints, coatings, inks and lubricants [30]. With that in mind, the AKG 11 was designed as an analog of 8, without a methoxy group at the 12 position in the alkyl chain, to study the influence of the hydroxyl group in the AKG’s alkyl chain, and the structure–activity relationship (SAR) by comparing their biological activity, respectively. The preparation of the AKG 11 with the hydroxyl group required a protection–deprotection sequence to yield the penultimate intermediate alcohol 21.
Attempt to protect the hydroxy group of 13 using 2-(bromomethyl)naphthalene in the presence of sodium hydroxide and of tetra-n-butylammonium bromide in DMSO for 18 h at rt failed. Thereafter, a trace of 20 was observed when chlorotriisopropylsilane in the presence of DIPEA in dichloromethane was used to protect 13 as silyl ether [31]. When DIPEA was replaced by imidazole as a base and in DMF, 20 was obtained in 61% yield. Afterward, 20 was reduced to the penultimate intermediate alcohol 21 in 75% yield using Red-Al in diethyl ether (Scheme 2). Compound 21, upon mesylation conditions using mesyl chloride in DCM, and Et3N provided 22 in 76% yield, which was then alkylated under anhydrous conditions with 2,3-isopropylidene-sn-glycerol 18 in DMF in the presence of sodium hydride to provide acetonide 23 in 68% yield. Sodium hydride was used as a base instead of KOH to eliminate the by-products formed when reacting 22 with 18. Following this, silyl ether group was removed using TBAF in THF at rt for 20 h to provide 24 in 92% yield. Easy acetonide cleavage on 24 under acidic conditions (0.05 equiv of p-toluenesulfonic acid monohydrate in MeOH/H2O (9:1)) gave 11 in 84% yield (Scheme 2).
Scheme 2.
Synthesis of AKG 11. Reagents and conditions: (a) 2-(bromomethyl)naphthalene, NaOH, n-Bu4NBr, DMSO, 18 h, rt; (b) ClSii-Pr3, imidazole, DMF, 48 h, rt, 61%; (c) Red-Al, Et2O, 0 °C, 5 h, 94%; (d) MsCl, Et3N, DCM, −50 °C, 2 h, 76%; (e) 18, NaH, DMF, 15 h, rt, 68%; (f) TBAF, THF, rt, 20 h, 92%; (g) p-TsOH.H2O (0.05 equiv), MeOH/H2O (9:1), 60 °C, 4 h, 84%.
We envisioned that the AKG 9 with a gem-difluorinated group in the alkyl chain could exhibit more biological activity than other AKGs studied, as compounds containing a difluoromethylene group were reported to exhibit excellent biological activities [32]. Moreover, introduction of fluorine atoms in molecules heavily modifies their physical, chemical and physiological properties. These fluorinated compounds have found many applications in pharmaceutical and agrochemical fields [33]. Thus, a gem-difluorinated 26 key intermediate for the synthesis of 9 was obtained by a classic two-step sequence. Oxidation of 13 by PCC in DCM provided the ketone 25 in 68% yield, which was then subjected to fluorination at rt using (diethylamino)sulfur trifluoride (DAST) in DCM, and the fluorinated product 26 was obtained in 54% yield. Following this, 26 was reduced to alcohol 27 in 79% yield using Red-Al in Et2O, which upon treatment with mesyl chloride in DCM in the presence of Et3N furnished 28 in 68% yield. Alkylation of 28 in DMSO with 2,3-isopropylidene-sn-glycerol (18) in the presence of 50% aqueous sodium hydroxide and tetra-n-butylammonium bromide gave the expected product 29 in 63% yield, along with 6% of a by-product 30 (Scheme 3). Compound 29 was obtained as a pure green oil after column chromatography on florisil gel and showed spectroscopic properties (1H and 13C NMR as well as correlation spectra) in full agreement with its structure, and confirmation was made by HRMS (ESI, m/z) that showed 441.3149 for [M + Na]+. Sodium hydroxide solution (50%) in H2O was used instead of others bases (NaH, KOH) to decrease the formation of the by-product 30. Acetonide cleavage on compound 29 under acidic conditions using catalytic amount of p-toluenesulfonic acid monohydrate in MeOH/H2O (9:1) provided 9 in 92% yield (Scheme 3).
Scheme 3.
Synthesis of AKG 9. Reagents and conditions: (a) PCC, DCM, 1 h, rt, 68%; (b) DAST, DCM, 21 days, rt, 54%; (c) Red-Al, Et2O, 0 °C, 5 h, 77%; (d) MsCl, Et3N, DCM, −35 °C to −5 °C, 4–5 h, 69% from 26; (e) 18, 50% aqueous NaOH, n-Bu4NBr, DMSO, 40 °C, 15 h, 63%; (f) p-TsOH.H2O (0.05 equiv), MeOH/H2O (9:1), 60 °C, 5 h, 92%.
At last, the AKG 10 was designed as another analog with an azide group at the same position in the alkyl chain to evaluate the beneficial effects of the azide group on the biological activity, and to estimate the dissimilarity between the studied AKGs. Subsequently, 10 was obtained in a classical seven step sequence. Starting under mesylation conditions of methyl ricinoleate 13 using mesyl chloride and Et3N in DCM, 31 was obtained in 65% yield, which under substitution of the intermediate mesylate group by SN2 substitution reaction using sodium azide in DMSO provided 32 in 80% yield. Dibal in Et2O was used to reduce the ester functionality of 32 into alcohol 34, but surprisingly an aldehyde 33 was formed in 68% yield instead of the expected alcohol 34. Dibal was chosen as a reducing agent for its non-interaction with the azide group. Moreover, use of another reducing system such as Zn-AlCl3 was reported to reduce the azide 32 into the amino derivative [17,19]. Thereafter, aldehyde 33 was then reduced into alcohol 34 in 74% yield using NaBH4 in EtOH, which upon reaction with mesyl chloride in DCM in the presence of Et3N provided 35 in 59% yield (Scheme 4). Following this, alkylation of 35 in DMSO with 2,3-isopropylidene-sn-glycerol (18) in the presence of 50% aqueous NaOH and tetra-n-butylammonium bromide provided a ~1:1 mixture of two compounds: the expected product 36 along with a closer polar by-product 37, arising from a subsequent elimination of the azide group as indicated in Scheme 4.
Scheme 4.
Synthesis of AKG 10. Reagents and conditions: (a) MsCl, Et3N, DCM, −10 °C, 4 h, 65%; (b) NaN3, DMSO, 80 °C, 18 h, 80%; (c) Dibal, Et2O, −80 °C, 2 h, 68%; (d) NaBH4, EtOH, 0 °C, 1 h, 74%; (e) MsCl, Et3N, DCM, −50 °C, 4 h and then up to −5 °C, 59%; (f) 18, 50% aqueous NaOH, n-Bu4NBr, DMSO, 40 °C, 15 h; (g) maleic anhydride, cyclohexane, 72 h, 45 °C; (h) p-TsOH.H2O (0.05 equiv), MeOH/H2O (9:1), 60 °C, 5 h, 97%.
An attempt to separate the mixture of compounds (36,37) failed when subjected to maleic anhydride in cyclohexane for 72 h at 45 °C with vigorous stirring. Under these conditions, only 37 was supposed to react with maleic anhydride, leading to a polar product other than 36, which could ease separation via column chromatography. Compound 36 was then obtained without a trace of by-product 37 by column chromatography on basic alumina gel, and visualization of these two compounds (36 and 37) was easily followed on TLC plates as they stained differently with an acidic ethanolic solution of p-anisaldehyde. Easy acetonide cleavage on 36 under acidic conditions (p-toluenesulfonic acid monohydrate in MeOH/H2O (9:1)) provided 10 in 97% yield (Scheme 4). Supplementary Materials of all synthetic compounds for this sequence is attached in a file as Figures S4.1–S4.14.
The synthesized compounds 8–11 were evaluated for their respective antimicrobial activities.
2.2. Antimicrobial Activities of AKGs 8–11
The results of the MIC determination presented in Table 1 indicate detectable values recorded for the (S)-3-(((R,Z)-12-hydroxyoctadec-9-en-1-yl)oxy)propane-1,2-diol (11) on all the eleven studied organisms including bacteria and fungi. All other AKGs, namely (S)-3-(((R,Z)-12-methoxyoctadec-9-en-1-yl)oxy)propane-1,2-diol (8), (S,Z)-3-((12,12-difluorooctadec-9-en-1-yl)oxy)propane-1,2-diol (9), and (S)-3-(((S,Z)-12-azidooctadec-9-en-1-yl)oxy)propane-1,2-diol (10) showed selective activity. Compound 10 was active on 5 of the 11 (45.5%) whilst AKGs 8 and 9 were active on 8 of the 11 (72.7%) studied microbial species. The lowest MIC value of 19.53 µg/mL was recorded for compound 8 (52.42 µM) on E. coli LMP701 and S. faecalis, and compound 11 (54.47 µM) on E. coli LMP701, S. typhi and C. glabrata. This lowest MIC value was in some cases equal to that of gentamicin or nystatin on the corresponding microbial species. It appeared from colony count assay (Figure 4) that AKGs 8 and 11 were able to reduce the bacterial concentration after 480 min when tested at the MIC values. A more pronounced effect was reported at 4 × MIC (Figure 5). No growth was observed after treatment with compounds 9 and 10 at 4 × MIC. These data suggest that compounds 8 and 11 might exhibit a killing effect, whilst compounds 9 and 10 could induce a bacteriostatic effect on susceptible microorganisms. Concerning the structure–activity relationship (SAR) studies of AKGs 8–11, it was noticed that the substitution of the hydroxy group at position 12 in the alkyl chain of compound 11 by a methoxy, or a gem-difluoro or azide group corresponding to AKGs 8–10 respectively, significantly reduced the antimicrobial activity.
Table 1.
Minimal inhibition concentration (µg/mL and in µM in parenthesis) of AKGs and reference antibiotics.
Figure 4.
Time-effect of the studied AKGs on the growth of E. coli LMP701 when tested with the MIC of the studied samples.
Figure 5.
Time-effect of the studied AKGs on the growth of E. coli LMP701 when tested with the 4× MIC of the studied samples.
AKGs 8–11 were also tested in combination with some commonly used antibiotics (Table 2). The results showed that synergistic effects could be obtained in some cases, especially when the AKG 8 was combined with gentamicin, and compound 11 was combined with ciprofloxacin and ampicillin. More than four-fold increase of the activity of these antibiotics was recorded on the three selected bacteria, suggesting that the study should be emphasized on such combinations. The overall activity could be considered as important, mainly when viewed that most of the organisms used were antibiotic resistant. This study therefore provides supportive data for the potential use of the studied 1-O-alkylglycerols, in particular AKG 11, as well as in combination with some antibiotics for the treatment of microbial infections. However, this is to be confirmed by further toxicological studies.
Table 2.
Effect of the studied AKGs combined with some commonly used antibiotics on the susceptibility of three bacterial strains to some reference antibiotics.
3. Materials and Methods
3.1. General Experimental Procedures
Moisture sensitive reactions were performed under nitrogen. Anhydrous tetrahydrofuran (THF) and diethyl ether (Et2O) were obtained by percolation through a column of a drying resin. Anhydrous N,N-dimethylformamide (DMF) over molecular sieves was used as commercially supplied (Acros). Room temperature (rt) means a temperature generally in the range of 18–20 °C. Column chromatography was performed over silica gel Kielselgel 60 (40–60 µm) or basic alumina (Brockmann activity II; basic; pH 10 ± 0.5). Routine monitoring of reactions was carried out using Merck silica gel 60 F254 TLC plates (TLC: thin layer chromatography) purchased from Fluka and visualized by UV light (254 nm) inspection followed by staining with an acidic ethanolic solution of p-anisaldehyde, or with a solution of phosphomolybdic acid (5 g in 100 mL 95% ethanol). Infrared spectra were recorded with a Thermo Nicolet Avatar 250 FTIR and were reported using the frequency of absorption (cm−1). 1H NMR spectra (400.13 MHz) and 13C NMR spectra (100.61 MHz) were recorded on an Avance 400 Bruker spectrometer using TMS as an internal standard. Multiplicity was tabulated using standard abbreviations: s for singlet, d for doublet, dd for doublet of doublets, t for triplet, q for quadruplet, dtt for doublet of triplets of triplets and m for multiplet (br means broad). Quite obvious first-order 1H NMR multiplets were analyzed. As a helpful guidance for this analysis, two articles of Hoye et al. appeared in 1994 and 2002 [34,35]. NMR spectra were processed with zero filling (512 k or 1024 k points). Sometimes resolution enhancement in 1H NMR using Traficante facilitated the assignments. Specific rotations were measured on a Perkin Elmer 341 polarimeter, with a cell of 1 dm long and a Na- or Hg-source (Na at 589 nm; Hg at 578 nm, 546 nm, 436 nm and 365 nm), and concentrations were expressed in g/100 mL. High resolution mass spectra (HRMS) were recorded using a MicrO-Tof-Q II spectrometer under electrospray using methanol as solvent. Microanalyses were performed with a CHNS analyzer. The compound 2,3-isopropylidene-sn-glycerol (18) (≥95% pure) was purchased from Alfa Aesar (France, article # B23037); and ricinoleic acid (12) (~80% pure) was purchased from Fluka (Switzerland, article # 83903). Boron trifluoride dimethanol complex (BF3.2MeOH) was purchased from Acros (Belgium, article # 15890). Products which were used for biological studies were purchased from Maneesh Pharmaceutic PVT (Mumbai, India), Sigma-Aldrich (Johannesburg, South Africa), and Jinling Pharmaceutic Group corp. (Nanjing, China).
3.2. Synthesis of Compounds 8–11,13–17,19–29 and 31–36
3.2.1. (R,Z)-Methyl 12-hydroxyoctadec-9-enoate (13) (Methyl ricinoleate)
To a solution of ricinoleic acid (12) (21 g, technical, ~80% pure, ca. 56 mmol) in methanol (140 mL) with stirring, was added BF3.2MeOH (3.85 mL, 35.5 mmol, 0.63 equiv). Stirring was continued overnight at 50 °C. TLC monitoring showed completion of the reaction mixture after 16 h. Methanol was removed in vacuo, and the resulting oily residue was transferred into a separating funnel with ethyl acetate (100 mL). After washing with brine (3 × 30 mL) and drying over Na2SO4, ethyl acetate was removed under reduced pressure, and the crude product was purified by column chromatography on silica gel (86 g, 0–4% acetone in petroleum ether) to afford methyl ricinoleate 13 as a colorless oil (16.59 g, 75%) along with a small amount (4%) of a slightly less polar by-product 14. It eluted after a minor amount of a less polar mixture of methyl oleate and methyl linoleate, Rf ca. 0.75 (petroleum ether/acetone 80:20), which was the result of the esterification of the ~15% oleic + linoleic acids, which were contained in technical ricinoleic acid. When potassium carbonate (600 mg) was added to a solution of 13 containing 14 (3.17 g) in methanol (30 mL) with stirring for 42 h (followed by quenching with a solution of citric acid (834 mg) in water (7.5 mL)), the by-product 14 disappeared to afford compound 13 alone, Rf = 0.4 (petroleum ether/acetone 80:20).
IR (KBr) ν 3445 (broad, O–H), 3007, 2928, 2855, 1741 (C=O), 1461, 1436, 1246, 1198, 1173, 725 cm−1.
1H NMR (400 MHz, CDCl3): δ 5.56 (dtt, 1H, J = 10.9, 7.3, 1.5 Hz, CH=CH–CH2–CHOH), 5.40 (dtt, 1H, J = 10.9, 7.5, 1.5 Hz, CH=CH–CH2–CHOH), 3.67 (s, 3H, CO2Me), 3.66–3.56 (m, 1H, CHOH), 2.30 (dd, 2H, J = 7.7, 7.4 Hz, CH2CO2Me), 2.24–2.18 (m, 2H, CHOH–CH2–CH=CH), 2.05 (br qd, 2H, J = 7.2, 1.2 Hz, CH=CH–CH2), 1.62 (br tt, 2H, J = 7.5, 7.3 Hz, CH2CH2CO2Me), 1.58 (br d, 1H, J = 0.9 Hz, OH, could be s and overlapped at another δ), 1.51–1.41 (m, 3H, CH2CHOH and 1H of CH2CH2CHOH), 1.39–1.23 (m, 15H, 1H of CH2CH2CHOH, CH3(CH2)3 and (CH2)4CH2CH2CO2Me), 0.88 (t (approximately t because not first order due to coupling to a rather close CH2 at ~1.25 ppm), 3H, J = 6.9 Hz, CH3).
13C NMR (100 MHz, CDCl3): δ 174.35 (Cquat, CO), 133.39 (CH=CH), 125.24 (CH=CH), 71.52 (CHOH), 51.46 (CO2CH3), 36.87 (CH2), 35.37 (CH2), 34.10 (CH2CO2Me), 31.85 (CH2CH2CH3), 29.58 (CH2), 29.37 (CH2), 29.13 (CH2), 29.10 (2 CH2), 27.38 (CH2), 25.73 (CH2), 24.93 (CH2CH2CO2Me), 22.63 (CH2CH3), 14.10 (CH3).
[α]D22: +4.2; [α]57822: +4.3; [α]54622: +4.7; [α]43622: +7.0; [α]36522: +8.7 (c 6.00, CHCl3),
[α]D22: +5.7; [α]57822: +5.9; [α]54622: +6.6; [α]43622: +10.7; [α]36522: +15.4 (c 6.00, acetone).
3.2.2. Physical data for (R,Z)-(R,Z)-18-methoxy-18-oxooctadec-9-en-7-yl 12-hydroxyoctadec-9-enoate (14)
Rf = 0.61 (petroleum ether/acetone 80:20).
IR (KBr) ν 3465 (O–H), 3010, 2928, 2855, 1737 (C=O), 1466, 1456, 1436, 1245, 1194, 1175, 725 cm−1.
1H NMR (400 MHz, CDCl3): δ 5.56 (dtt, 1H, J = 10.9, 7.3, 1.5 Hz, CH=CH–CH2–CHOH), 5.46 (dtt, 1H, J = 10.9, 7.2, 1.5 Hz, CH=CH–CH2–CHOCO), 5.40 (dtt, 1H, J = 10.9, 7.5, 1.5 Hz, CH=CH–CH2–CHOH), 5.32 (dtt, 1H, J = 10.9, 7.3, 1.5 Hz, CH=CH–CH2–CHOCO), 4.88 (tt, 1H, J = 6.3, 6.3 Hz, CHOCO), 3.67 (s, 3H, CO2Me), 3.61 (br tt, 1H, J = 6.1, 5.7 Hz, CHOH), 2.33–2.24 (m, 6H), 2.23–2.18 (m, 2H), 2.08–1.98 (m, 4H, 2 CH=CH–CH2), 1.66–1.43 (m, ~12H, 2 CH2CH2CO2, CH2CHOCO, CH2CHOH,OH, H2O), 1.38–1.21 (m, 32H, 2 CH3(CH2)4 and 2 (CH2)4CH2CH2CO2), 0.884 (t, 3H, J = 6.9 Hz, CH3), 0.876 (t, 3H, J = 6.9 Hz, CH3).
13C NMR (100 MHz, CDCl3): δ 174.33 (Cquat, CO2Me), 173.59 (CO2CH), 133.39 (CH=CH), 132.53 (CH=CH), 125.22 (CH=CH), 124.35 (CH=CH), 73.70 (CHOCO), 71.51 (CHOH), 51.46 (CO2CH3), 36.87 (CH2), 35.38 (CH2), 34.68 (CH2), 34.10 (CH2CO2Me), 33.65 (CH2CO2CH), 32.00 (CH2), 31.85 (CH2CH2CH3), 31.76 (CH2), 29.62 (CH2), 29.53 (CH2), 29.36 (CH2), 29.19 (CH2), 29.18 (CH2), 29.16 (CH2), 29.14 (CH2), 29.13 (CH2), 29.12 (2 CH2), 27.40 (CH2), 27.34 (CH2), 25.73 (CH2), 25.37 (CH2), 25.10 (CH2), 24.95 (CH2CH2CO2Me), 22.63 (CH2), 22.59 (CH2), 14.10 (CH3), 14.08 (CH3).
[α]D21: +17.4; [α]57821: +18.1; [α]54621: +20.7; [α]43621: +34.9; [α]36521: +54.8 (c 2.56, CHCl3).
HRMS (ESI, m/z) calculated for C37H68O5Na [M + Na]+: 615.4964, found: 615.4971.
3.2.3. (R,Z)-Methyl 12-methoxyoctadec-9-enoate (15)
In a flask containing a solution of 13 (625 mg, 2.0 mmol), tetra-n-butylammonium bromide (709.2 mg, 2.2 mmol, 1.2 equiv) in DMSO (2.0 mL) with stirring, was added finely crushed (with a mortar and pestle) sodium hydroxide (250 mg, 6 mmol, 3 equiv) and methyl iodide (0.63 mL, 10 mmol, 5 equiv). The reaction flask was flushed under nitrogen, tightly stoppered and protected from light by wrapping with an aluminum foil. After stirring overnight for 18 h, TLC monitoring showed that the reaction was mostly done. An aqueous solution of 10% citric acid (10 mL) was added, and extraction was done with petroleum ether/EtOAc (80:20). Organic layers were dried over Na2SO4, and solvent was removed under reduced pressure. Then, the residue was purified by column chromatography on basic alumina (5 g, 0%–0.2% acetone in petroleum ether) to afford 15 as a colorless oil (471 mg, 72%). Rf = 0.6 (petroleum ether/acetone 90:10).
IR (KBr) ν 3465 (small, harmonic of C=O), 3009, 2929, 2855, 1742 (C=O), 1463, 1456, 1436, 1360, 1245, 1195, 1173, 1099 (C–O of OMe), 725 cm−1.
1H NMR (400 MHz, CDCl3): δ 5.50–5.34 (m, 2H: CH=CH partly distorted due to strong coupling at 5.45 and 5.38 ppm (dtt, J = 10.9, 6.9, 1.4 Hz)), 3.67 (s, 3H, CO2Me), 3.34 (s, 3H, CHOCH3), 3.17 (tt, 1H, J = 6.2, 5.5 Hz, CHOMe), 2.30 (dd, 2H, J = 7.7, 7.4 Hz, CH2CO2Me), 2.30–2.17 (m, 2H, CHOMe–CH2–CH=CH), 2.03 (br q, 2H, J = 6.7 Hz, CH=CH–CH2), 1.67–1.57 (m, 2H, CH2CH2CO2Me), 1.49–1.41 (m, 2H, CH2CHOMe), 1.40–1.21 (m, 16H, CH3(CH2)4 and (CH2)4CH2CH2CO2Me), 0.88 (t, 3H, J = 6.9 Hz, CH3).
13C NMR (100 MHz, CDCl3): δ 174.33 (Cquat, CO), 131.73 (CH=CH), 125.42 (CH=CH), 80.99 (CHOMe), 56.58 (CHOCH3), 51.46 (CO2CH3), 34.11 (CH2CO2Me), 33.57 (CH2), 31.88 (CH2CH2CH3), 31.05 (CH2), 29.56 (CH2), 29.50 (CH2), 29.18 (CH2), 29.15 (CH2), 29.13 (CH2), 27.41 (CH2), 25.36 (CH2), 24.95 (CH2CH2CO2Me), 22.65 (CH2CH3), 14.10 (CH3).
[α]D17.5: +13.6; [α]57817.5: +14.1; [α]54617.5: +16.1; [α]43617.5: +27.5; [α]36517.5: +43.2 (c 5.00, CHCl3)
[α]D17.5: +16.2; [α]57817.5: +16.9; [α]54617.5: +19.2; [α]43617.5: +32.6 (neat liquid).
3.2.4. (R,Z)-12-Methoxyoctadec-9-en-1-ol (16)
Red-Al (0.52 mL, ~3 M in toluene, 1.56 mmol, 1.2 equiv) was added dropwise to a cooled solution of 15 (422 mg, 1.29 mmol) in anhydrous Et2O (4 mL) at 0 °C with stirring and under nitrogen. After the addition, the stirring was continued overnight for 18 h at 0 °C (use of a Dewar with ice-cooling). TLC monitoring confirmed disappearance of the starting material. A solution of citric acid (400 mg) in distilled water (5 mL) was added to the reaction mixture, which was allowed to stir again for 30 min. Extraction was done with petroleum ether/EtOAc (80:20). Organic layers were dried over Na2SO4, and solvent was evaporated under reduced pressure. The crude product was then purified by column chromatography on basic alumina (5 g, 0%–3% acetone in petroleum ether) to afford 16 as a colorless oil (318 mg, 82%). Rf = 0.32 (petroleum ether/acetone 85:15).
IR (KBr) ν 3372 (broad, O–H), 3009, 2927, 2855, 1464, 1456, 1377, 1357, 1099 (C–O of OMe), 1058, 724 cm−1.
1H NMR (400 MHz, CDCl3): δ 5.50–5.34 (m, 2H: CH=CH partly distorted due to strong coupling at 5.46 and 5.38 ppm (dtt, J = 10.9, 7.0, 1.4 Hz)), 3.64 (t, 2H, J = 6.6 Hz, CH2OH), 3.34 (s, 3H, CHOCH3), 3.17 (tt, 1H, J = 6.2, 5.5 Hz, CHOMe), 2.31–2.17 (m, 2H, CHOMe–CH2–CH=CH), 2.03 (br q, 2H, J = 6.7 Hz, CH=CH–CH2), 1.66 (br s, 1H, OH), 1.56 (br tt, 2H, J = 7.5, 6.6 Hz, CH2CH2OH), 1.49–1.41 (m, 2H, CH2CHOMe), 1.41–1.23 (m, 18H, CH3(CH2)4 and (CH2)5CH2CH2OH), 0.88 (t, 3H, J = 6.9 Hz, CH3).
13C NMR (100 MHz, CDCl3): δ 131.81 (CH=CH), 125.38 (CH=CH), 81.02 (CHOMe), 63.06 (CH2OH), 56.58 (CHOCH3), 33.57 (CH2), 32.80 (CH2CH2OH), 31.88 (CH2), 31.07 (CH2), 29.61 (CH2), 29.50 (2 CH2), 29.40 (CH2), 29.27 (CH2), 27.43 (CH2), 25.74 (CH2), 25.36 (CH2), 22.65 (CH2), 14.12 (CH3).
[α]D23.5: +12.8; [α]57823.5: +13.4; [α]54623.5: +15.2; [α]43623.5: +25.9; [α]36523.5: +40,6 (c 5.02, CHCl3).
[α]D23.5: +17.0; [α]57823.5: +17.4; [α]54623.5: +19.8; [α]43623.5: +33.6; [α]36523.5: +53.2 (c 5.02, acetone).
[α]D23: +15.7; [α]57823: +16.4; [α]54623: +18.6; [α]43623: +31.7 (neat liquid).
HRMS (ESI, m/z) calculated for C19H38O2Na [M + Na]+: 321.4892, found: 321.4886.
3.2.5. (R,Z)-12-Methoxyoctadec-9-en-1-yl methanesulfonate (17)
To a stirred solution of 16 (6.64 g, 22.2 mmol), Et3N (4.7 mL, 33.4 mmol, 1.5 equiv) in DCM (67 mL) under nitrogen at −30 °C, mesyl chloride (2.2 mL, 28 mmol, 1.25 equiv) in DCM (9 mL) was added dropwise. The addition of mesyl chloride was completed by rinsing with DCM (3 × 0.3 mL). The corresponding mixture was then stirred for 15 h at −30 °C. TLC monitoring (elution with DCM, mesylate showed far bigger Rf than starting alcohol with this eluent) showed completion of the reaction, and distilled water (75 mL) was added to quench the reaction. Extraction was done with DCM. Organic layers were washed with brine and dried over Na2SO4. Solvent was removed under reduced pressure to provide the crude product as a light yellow oil. The crude product was then purified by column chromatography on silica gel (10 g, 0%–2% acetone in petroleum ether) to provide 17 as a colorless oil (5.40 g, 74%). Rf = 0.45 (petroleum ether/acetone 80:20).
IR (KBr) ν 3011, 2928, 2855, 1464, 1358, 1177 (S=O), 1098 (C–O of OMe), 974, 945, 831, 724, 529 cm−1.
1H NMR (400 MHz, CDCl3): δ 5.50–5.34 (m, 2H: CH=CH partly distorted due to strong coupling at 5.46 and 5.38 ppm (dtt, J = 10.9, 6.9, 1.3 Hz)), 4.22 (t, 2H, J = 6.6 Hz, CH2OMs), 3.34 (s, 3H, CHOCH3), 3.17 (tt, 1H, J = 6.1, 5.5 Hz, CHOMe), 3.00 (s, 3H, SO2CH3), 2.31–2.17 (m, 2H, CHOMe–CH2–CH=CH), 2.03 (br q, 2H, J = 6.7 Hz, CH=CH–CH2), 1.75 (br tt, 2H, J = 7.5, 6.6 Hz, CH2CH2OMs), 1.50–1.22 (m, 20H, CH3(CH2)5 and (CH2)5CH2CH2OMs), 0.88 (t, 3H, J = 6.9 Hz, CH3).
13C NMR (100 MHz, CDCl3): δ 131.70 (CH=CH), 125.47 (CH=CH), 80.98 (CHOMe), 70.16 (CH2OMs), 56.59 (CHOCH3), 37.38 (SO2CH3), 33.57 (CH2), 31.88 (CH2), 31.08 (CH2), 29.57 (CH2), 29.49 (CH2), 29.34 (CH2), 29.21 (CH2), 29.13 (CH2), 29.02 (CH2), 27.41 (CH2), 25.43 (CH2), 25.36 (CH2), 22.64 (CH2), 14.10 (CH3).
[α]D23.5: +13.7; [α]57823.5: +14.1; [α]54623.5: +16.0; [α]43623.5: +27.5; [α]36523.5: +43.4 (c 5.01, acetone).
[α]D23.5: +10.3; [α]57823.5: +10.5; [α]54623.5: +11.9; [α]43623.5: +20.3; [α]36523.5: +31.5 (c 2.60, CHCl3).
[α]D23.5: +13.7; [α]57823.5: +14.3; [α]54623.5: +16.3; [α]43623.5: +27.2 (neat liquid).
3.2.6. (R)-4-((((R,Z)-12-Methoxyoctadec-9-en-1-yl)oxy)methyl)-2,2-dimethyl-1,3-dioxolane (19)
In a flask containing a solution of 17 (4.97 g, 13.2 mmol), n-Bu4NBr (1.06 g, 3.3 mmol, 0.25 equiv), and finely crushed (with a mortar and pestle) potassium hydroxide (3.48 g, 52.75 mmol, ~85% KOH, 4 equiv) in DMSO (26.4 mL) with stirring and under nitrogen at rt for 10 min, was added (R)-solketal (18) (2.07 g, ≥95% pure, 14.9 mmol, 1.13 equiv), and the corresponding mixture was stirred overnight for 14 h at 35 °C. TLC monitoring showed completion of the reaction and distilled water (50 mL) was added to the reaction mixture. Extraction was done with petroleum ether/EtOAc (80:20). Organic layers were washed with brine and dried over Na2SO4. Solvent was removed under reduced pressure. The crude product was then purified by column chromatography on basic alumina (25 g, 0%–1% acetone in petroleum ether) to afford 19 as a colorless oil (4.65 g, 93%). Rf = 0.45 (petroleum ether/acetone 95:5).
IR (KBr) ν 2985, 2929, 2856, 2821, 1466, 1456, 1379, 1369, 1256, 1237, 1214, 1118, 1100 (C–O of OMe), 1056, 847, 724, 514 cm−1.
1H NMR (400 MHz, CDCl3): δ 5.50–5.34 (m, 2H: CH=CH partly distorted due to strong coupling at 5.46 and 5.38 ppm (dtt, J = 10.9, 6.9, 1.3 Hz)), 4.27 (dddd (apparent tt), 1H, J = 6.4, 6.4, 5.7, 5.6 Hz, CH–O in dioxolane), 4.06 (dd, 1H, J = 8.2, 6.4 Hz, CH2O in dioxolane), 3.73 (dd, 1H, J = 8.2, 6.4 Hz, CH2O in dioxolane), 3.54–3.39 (m, 4H, CH2OCH2O with 1H dd at 3.52 ppm, J = 9.9, 5.7 Hz and 1H dd at 3.42 ppm, J = 9.9, 5.6 Hz), 3.34 (s, 3H, CHOCH3), 3.17 (br tt, 1H, J = 6.2, 5.4 Hz, CHOMe), 2.31–2.17 (m, 2H, CHOMe–CH2–CH=CH), 2.03 (br q, 2H, J = 6.7 Hz, CH=CH–CH2), 1.62–1.52 (m, 2H, CH2CH2O), 1.50–1.41 (m, 2H, CH2CHOMe), 1.42 (q, 3H, J = 0.7 Hz (w coupling), CH3), 1.36 (q, 3H, J = 0.7 Hz (w coupling), CH3), 1.39–1.23 (m, 18H, CH3(CH2)4 and (CH2)3CH2CH2O), 0.88 (t, 3H, J = 6.9 Hz, CH3).
13C NMR (100 MHz, CDCl3): δ 131.82 (CH=CH), 125.35 (CH=CH), 109.37 (CMe2), 80.99 (CHOMe), 74.76 (CH–O), 71.88 and 71.83 (CH2OCH2(CH2)7), 66.93 (CH2OCMe2), 56.58 (CHOCH3), 33.57 (CH2), 31.88 (CH2), 31.04 (CH2), 29.63 (CH2), 29.56 (CH2), 29.51 (CH2), 29.50 (CH2), 29.45 (CH2), 29.30 (CH2), 27.44 (CH2), 26.78 (C–CH3), 26.06 (CH2), 25.43 (C–CH3), 25.36 (CH2), 22.64 (CH2), 14.11 (CH3).
[α]D18: +4.4; [α]57818: +4.1; [α]54618: +4.7; [α]43618: +7.3; [α]36518: +10.7 (c 3.01, acetone).
[α]D18: +2.7; [α]57818: +2.8; [α]54618: +3.0; [α]43618: +4.8; [α]36518: +6.3 (c 2.42, CHCl3).
HRMS (ESI, m/z) calculated for C25H48O4Na [M + Na]+: 435.3450, found: 435.3452.
Elementary analysis calculated for C25H48O4: C, 72.77; H, 11.72, found: C, 73.23; H, 11.94.
3.2.7. (S)-3-(((R,Z)-12-Methoxyoctadec-9-en-1-yl)oxy)propane-1,2-diol (8)
To a solution of acetonide 19 (4.65 g, 11.2 mmol) in methanol (45.1 mL), was added p-toluenesulfonic acid monohydrate (107.3 mg, 0.55 mmol, 0.05 equiv) and distilled water (4.5 mL). The flask was then purged with nitrogen, stoppered and dipped in a preheated bath at 60 °C. Stirring was maintained for 5 h at 60 °C. TLC monitoring showed completion of the reaction, and sodium bicarbonate (52.1 mg, 0.62 mmol, 0.055 equiv) was added. Stirring was continued for 1 h at 60 °C. Methanol was then removed under reduced pressure, and the crude product was purified by column chromatography on silica gel (20 g, 0%–5% acetone in petroleum ether and then petroleum ether + 5% acetone + 12% methanol) to afford 8 as a colorless oil (4.16 g, 99%). Rf = 0.03 (petroleum ether/acetone 90:10).
1H NMR (400 MHz, CDCl3): δ 5.50–5.34 (m, 2H: CH=CH partly distorted due to strong coupling at 5.46 and 5.38 ppm (dtt, J = 10.9, 7.0, 1.4 Hz)), 3.90–3.83 (m, 1H, CHOH), 3.72 (broad ddd, 1H, J = 11.3, 6.7 (with OH), 3.9 Hz, CH2OH), 3.65 (broad ddd, 1H, J = 11.3, 5.1 (with OH), 4.9 Hz, CH2OH), 3.56–3.42 (m, 4H, CH2OCH2 with 1H dd at 3.54 ppm, J = 9.7, 4.0 Hz), 3.34 (s, 3H, CHOCH3), 3.17 (tt, 1H, J = 6.2, 5.4 Hz, CHOMe), 2.67 (d, 1H, J = 5.0 Hz, CHOH), 2.28 (broad dd, 1H, J = 6.7, 5.1 Hz, resolution ω = 1.3 Hz, CH2OH), 2.30–2.17 (m, 2H, CHOMe–CH2–CH=CH), 2.03 (br q, 2H, J = 6.7 Hz, CH=CH–CH2), 1.57 (broad tt, 2H, J = 7.1, 6.7 Hz, CH2CH2O), 1.50–1.41 (m, 2H, CH2CHOMe), 1.41–1.23 (m, 18H, CH3(CH2)4 and (CH2)5CH2CH2O), 0.88 (t, 3H, J = 6.9 Hz, CH3).
13C NMR (100 MHz, CDCl3): δ 131.81 (CH=CH), 125.36 (CH=CH), 81.00 (CHOMe), 72.51 and 71.82 (CH2OCH2(CH2)7), 70.41 (CHOH), 64.29 (CH2OH), 56.59 (CHOCH3), 33.54 (CH2), 31.88 (CH2), 31.04 (CH2), 29.60 (CH2), 29.57 (CH2), 29.49 (CH2), 29.46 (CH2), 29.40 (CH2), 29.26 (CH2), 27.42 (CH2), 26.06 (CH2), 25.35 (CH2), 22.64 (CH2), 14.11 (CH3).
[α]D22.5: +9.8; [α]57822.5: +9.6; [α]54622.5: +11.1; [α]43622.5: +19.6; [α]36522.5: +31.5 (c 1.10, acetone).
HRMS (ESI, m/z) calculated for C22H44O4Na [M + Na]+: 395.3137, found: 395.3132.
3.2.8. (R,Z)-Methyl 12-((triisopropylsilyl)oxy)octadec-9-enoate (20)
To a vigorously stirred solution of 13 (625 mg, 2.0 mmol) and imidazole (334 mg, 4.9 mmol, 2.45 equiv) in DMF (1.6 mL), which was cooled under nitrogen at 0 °C, was added dropwise triisopropylsilyl chloride (0.53 mL, 97% pure, 2.4 mmol, 1.2 equiv). The corresponding mixture was allowed to stir for 48 h at rt. TLC monitoring showed completion of the reaction. Petroleum ether/EtOAc (80:20) was added. After washing with brine and drying over MgSO4, solvent was removed under reduced pressure, and the residue was purified by column chromatography on silica gel (5 g, 0%–0.2% acetone in petroleum ether) to provide 20 as a colorless oil (574.7 mg, 61%). Rf = 0.73 (petroleum ether/acetone 95:5).
IR (KBr) ν 3006, 2929, 2865, 1744, 1464, 1436, 1366, 1096, 883, 678 cm−1.
1H NMR (400 MHz, CDCl3): δ 5.46–5.36 (m, 2H), 3.83 (tt, 1H, J = 5.8, 5.6 Hz), 3.67 (s, 3H), 2.30 (dd, 2H, J = 7.8, 7.4 Hz), 2.27–2.22 (m, 2H), 2.06–1.97 (m, 2H), 1.67–1.57 (m, 2H), 1.54–1.38 (m, 2H), 1.38–1.20 (m, 16H), 1.06 (s, 21H, Si(CH(CH3)2)3, due to the shielding effect on neighboring CH, CH and CH3 of isopropyl groups being very close, so coupling was not seen and these signals were superimposed, HSQC showed CH at 1.061 ppm and CH3 at 1.059 ppm), 0.88 (t, 3H, J = 6.9 Hz, CH3).
13C NMR (100 MHz, CDCl3): δ 174.33 (CO), 131.31 (CH=CH), 125.72 (CH=CH), 72.26 (CH), 51.46 (CH3), 36.56 (CH2), 34.68 (CH2), 34.11 (CH2), 31.92 (CH2), 29.64 (2 CH2), 29.20 (CH2), 29.19 (CH2), 29.15 (CH2), 27.51 (CH2), 24.96 (CH2), 24.81 (CH2), 22.64 (CH2), 18.21 (6 CH3), 14.11 (CH3), 12.63 (3 CH).
[α]D18: +12.3; [α]57818: +12.5; [α]54618: +14.2; [α]43618: +24.3; [α]36518: +38.6 (c 4.00, acetone).
[α]D18: +10.6; [α]57818: +11.0; [α]54618: +12.6; [α]43618: +21.5; [α]36518: +33.7 (c 4.00, CHCl3).
HRMS (ESI, m/z) calculated for C26H51O3Si [M–C2H5]+: 439.3607, found: 439.3607, calculated for C25H49O3Si [M–iPr]+: 425.3451, found: 425.3455, calculated for C24H45O2Si [M–iPr-MeOH]+: 393.3189, found: 393.3177.
3.2.9. (R,Z)-12-((Triisopropylsilyl)oxy)octadec-9-en-1-ol (21)
In a flame-dried two-necked flask, a solution of 20 (574.7 mg, 1.22 mmol) in anhydrous Et2O (3.7 mL) was cooled at 0 °C under nitrogen. A solution of Red-Al (65% in toluene, ~3 M, 0.5 mL, 1.5 mmol, 1.23 equiv) was added dropwise under stirring. Stirring was continued for 5 h at 0 °C. TLC monitoring confirmed completion of the reaction. Citric acid (400 mg) and distilled water (5 mL) were added to the mixture and stirring was continued for 30 min. Extraction was then done with petroleum ether/EtOAc (80:20), and organic layers were dried over Na2SO4. Solvent was evaporated under reduced pressure, and the crude product was purified by column chromatography on silica gel (2.5 g, 0%–0.5% acetone in petroleum ether) to afford 21 as a colorless oil (509.6 mg, 94%). Rf = 0.39 (petroleum ether/acetone 85:15).
1H NMR (400 MHz, CDCl3): δ 5.47–5.36 (m, 2H), 3.83 (tt, 1H, J = 6.0, 5.6 Hz), 3.64 (t, 2H, J = 6.6 Hz, CH2OH), 2.27–2.22 (m, 2H), 2.02 (br q, 2H, J = 6.5 Hz), 1.61–1.52 (m, 3H, CH2 and OH), 1.52–1.40 (m, 2H), 1.40–1.19 (m, 18H), 1.06 (s, 21H), 0.88 (t, 3H, J = 6.9 Hz, CH3).
13C NMR (100 MHz, CDCl3): δ 131.38 (CH=CH), 125.68 (CH=CH), 72.27 (CH), 63.10 (CH2), 36.55 (CH2), 34.68 (CH2), 32.81 (CH2), 31.92 (CH2), 29.69 (CH2), 29.64 (CH2), 29.54 (CH2), 29.42 (CH2), 29.32 (CH2), 27.54 (CH2), 25.74 (CH2), 24.81 (CH2), 22.64 (CH2), 18.21 (6 CH3), 14.11 (CH3), 12.63 (3 CH).
3.2.10. (R,Z)-12-((Triisopropylsilyl)oxy)octadec-9-en-1-yl methanesulfonate (22)
To a solution of 21 (509.6 mg, 1.15 mmol) and Et3N (0.245 mL, 1.75 mmol, 1.5 equiv) in DCM (4.6 mL) with stirring and under nitrogen cooled at −50 °C, was added dropwise mesyl chloride (0.112 mL, 1.45 mmol, 1.25 equiv) in DCM (0.6 mL). Transfer of mesyl chloride was completed by rinsing twice with a few drops of DCM. The reaction mixture was then allowed to warm up slowly in 2 h up to −5 °C. TLC monitoring (elution with DCM) showed completion of the reaction, and distilled water (5.8 mL) was added to quench the reaction. Extraction was done with DCM. Organic layers were washed with brine and dried over Na2SO4. DCM was removed under reduced pressure, and the crude product was purified by column chromatography on silica gel (4 g, 0%–1% acetone in petroleum ether) to afford 22 as a colorless oil (453 mg, 76%). Rf = 0.41 (petroleum ether/acetone 80:20).
1H NMR (400 MHz, CDCl3): δ 5.47–5.37 (m, 2H), 4.22 (t, 2H, J = 6.6 Hz, CH2OMs), 3.83 (tt, 1H, J = 6.0, 5.6 Hz), 3.00 (s, 3H), 2.29–2.19 (m, 2H), 2.08–1.96 (m, 2H), 1.75 (dq, 2H, J = 8.2, 6.6 Hz), 1.54–1.20 (m, 20H), 1.06 (s, 21H), 0.88 (t, 3H, J = 6.9 Hz, CH3).
13C NMR (100 MHz, CDCl3): δ 131.28 (CH=CH), 125.75 (CH=CH), 72.25 (CH), 70.16 (CH2), 37.37 (CH3), 36.56 (CH2), 34.69 (CH2), 31.91 (CH2), 29.65 (CH2), 29.63 (CH2), 29.37 (CH2), 29.25 (CH2), 29.14 (CH2), 29.04 (CH2), 27.51 (CH2), 25.44 (CH2), 24.81 (CH2), 22.64 (CH2), 18.22 (6 CH3), 14.11 (CH3), 12.64 (3 CH).
HRMS (ESI, m/z) calculated for C28H58O4NaSiS [M + Na]+: 541.3723, found: 541.3724.
3.2.11. (((R,Z)-18-(((R)-2,2-Dimethyl-1,3-dioxolan-4-yl)methoxy)octadec-9-en-7-yl)oxy)triisopropylsilane (23)
A 60% dispersion of sodium hydride in mineral oil (29.5 mg, 0.7 mmol, 2.5 equiv) was washed three times with petroleum ether under nitrogen and with stirring. Anhydrous DMF (0.2 mL) was then added and the mixture was cooled at 0 °C. Following this, a solution of 2,3 isopropylidene-sn-glycerol 18 (50.2 mg, ≥95% pure, 0.36 mmol, 1.25 equiv) in DMF (0.2 mL) was added dropwise to the mixture, and the flask containing 18 was rinsed with DMF (2 × 0.1 mL). The corresponding mixture was allowed to stir for 10 min at 0 °C, and a solution of 22 (153 mg, 0.29 mmol) in DMF (0.2 mL) was added to the resulting white suspension. Transfer of 22 was completed by rinsing with DMF (2 × 0.1 mL). The mixture was then vigorously stirred overnight for 16 h at rt. TLC monitoring showed completion of the reaction, and 10% aqueous ammonium acetate was added as a buffer. Extraction was done with petroleum ether. Organic layers were dried over Na2SO4. Solvent was removed under reduced pressure, and the crude product was purified by column chromatography on silica gel (1.5 g, 0%–0.5% acetone in petroleum ether) to provide 23 as a colorless oil (110.8 mg, 68%). Rf = 0.71 (petroleum ether/acetone 95:5).
IR (KBr) ν 2930, 2865, 1464, 1379, 1369, 1255, 1097, 883, 849, 678 cm−1.
1H NMR (400 MHz, CDCl3): δ 5.47–5.36 (symmetrical m, 2H), 4.27 (tt, 1H, J = 6.4, 5.6 Hz), 4.06 (dd, 1H, J = 8.2, 6.4 Hz), 3.83 (broad tt, 1H, J = 5.9, 5.5 Hz), 3.73 (dd, 1H, J = 8.2, 6.4 Hz), 3.54–3.39 (m, 4H with 1H dd at 3.52 ppm, J = 9.9, 5.6 Hz and 1H dd at 3.42 ppm, J = 9.9, 5.6 Hz), 2.29–2.20 (m, 2H), 2.07–1.96 (m, 2H), 1.62–1.53 (m, 2H plus signal of water as a singlet at 1.59 ppm), 1.53–1.39 (m, 5H including CH3, q, 3H at 1.42 ppm, J = 0.6 Hz), 1.37 (q, 3H, J = 0.6 Hz, CH3), 1.36–1.20 (m, 18H), 1.06 (s, 21H), 0.88 (t, 3H, J = 6.9 Hz, CH3).
13C NMR (100 MHz, CDCl3): δ 131.40 (CH=CH), 125.66 (CH=CH), 109.37 (CMe2), 74.76 (CH), 72.27 (CH), 71.89 (CH2), 71.83 (CH2), 66.94 (CH2), 36.55 (CH2), 34.68 (CH2), 31.92 (CH2), 29.71 (CH2), 29.64 (CH2), 29.57 (CH2), 29.53 (CH2), 29.47 (CH2), 29.34 (CH2), 27.55 (CH2), 26.78 (CH3), 26.07 (CH2), 25.43 (CH3), 24.81 (CH2), 22.64 (CH2), 18.22 (6 CH3), 14.11 (CH3), 12.64 (3 CH).
[α]D19: +4.1; [α]57819: +4.2; [α]54619: +4.9; [α]43619: +8.2; [α]36519: +12.4 (c 3.62, CHCl3).
[α]D19: +4.0; [α]57819: +3.9; [α]54619: +4.5; [α]43619: +7.9; [α]36519: +12.2 (c 2.51, acetone).
HRMS (ESI, m/z) calculated for C33H66O4NaSi [M + Na]+: 577.4628, found: 577.4627.
Elementary analysis calculated for C33H66O4Si: C, 71.42; H, 11.99, found: C, 71.88; H, 12.09.
3.2.12. (R,Z)-18-(((R)-2,2-Dimethyl-1,3-dioxolan-4-yl)methoxy)octadec-9-en-7-ol (24)
To a stirred solution at of 23 (278 mg, 0.5 mmol) in anhydrous THF (1.5 mL) under nitrogen, which was cooled at -20 °C, was added a 1 M solution of TBAF in THF (0.67 mL, 0.67 mmol, 1.3 equiv). The reaction mixture was then left under stirring for 20 h at rt. TLC monitoring showed completion of the reaction, and distilled water (1.5 mL) was added to the mixture. Extraction was done with EtOAc and organic layers were washed with brine and dried over Na2SO4. Solvent was removed under reduced pressure, and the crude product was purified by column chromatography on silica gel (2.5 g, 0%–4% acetone in petroleum ether) to provide 24 as a colorless oil (184.2 mg, 92%). Rf = 0.18 (petroleum ether/acetone 95:5).
IR (KBr) ν 3457, 2928, 2856, 1466, 1370, 1256, 1214, 1120, 846, 724 cm−1.
1H NMR (400 MHz, CDCl3): δ 5.56 (dtt, 1H, J = 10.9, 7.3, 1.5 Hz), 5.40 (dtt, 1H, J = 10.9, 7.3, 1.5 Hz), 4.27 (dddd, 1H, J = 6.4, 6.4, 5.7, 5.7 Hz), 4.06 (dd, 1H, J = 8.2, 6.4 Hz, ddd with improving the resolution, J = 8.2, 6.4, 0.2 Hz), 3.73 (dd, 1H, J = 8.2, 6.4 Hz), 3.66–3.56 (m, 1H), 3.54–3.39 (m, 4H with 1H dd at 3.52 ppm, J = 9.9, 5.7 Hz (ddd with improving the resolution, J = 9.9, 5.7, 0.3 Hz) and 1H dd at 3.42 ppm, J = 9.9, 5.6 Hz), 2.24–2.18 (m, 2H), 2.05 (br dtd (apparent qd), 2H, J = 7.2, 7.2, 1 Hz), 1.61–1.52 (m, 3H, CH2 and OH), 1.51–1.43 (m, 2H), 1.43 (q, 3H, J = 0.6 Hz, CH3), 1.37 (q, 3H, J = 0.6 Hz, CH3), 1.37–1.23 (m, 18H), 0.88 (t, 3H, J = 6.9 Hz, CH3).
13C NMR (100 MHz, CDCl3): δ 133.49 (CH=CH), 125.16 (CH=CH), 109.37 (CMe2), 74.76 (CH), 71.87 (CH2), 71.83 (CH2), 71.51 (CH), 66.94 (CH2), 36.86 (CH2), 35.37 (CH2), 31.85 (CH2), 29.66 (CH2), 29.55 (CH2), 29.46 (CH2), 29.41 (CH2), 29.36 (CH2), 29.25 (CH2), 27.42 (CH2), 26.78 (CH3), 26.04 (CH2), 25.73 (CH2), 25.43 (CH3), 22.63 (CH2), 14.10 (CH3).
[α]D20: -5.0; [α]57820: −5.4; [α]54620: −12.5; [α]43620: −11.9; [α]36520: −21.2 (c 6.00, CHCl3).
Elementary analysis calculated for C24H46O4: C, 72.31; H, 11.63, found: C, 71.79; H, 11.66.
3.2.13. (S)-3-(((R,Z)-12-Hydroxyoctadec-9-en-1-yl)oxy)propane-1,2-diol (11)
To a solution of 24 (1.26 g, 3.15 mmol) in methanol (12.6 mL), was added p-toluenesulfonic acid monohydrate (30 mg, 0.16 mmol, 0.05 eq) and distilled water (1.26 mL). The flask was then purged with nitrogen, stoppered and dipped in a preheated bath at 60 °C. Stirring was maintained for 4 h at 60 °C. TLC monitoring showed completion of the reaction, and sodium bicarbonate (14.5 mg, 0.173 mmol, 0.055 equiv) was added and stirring was continued for 1 h at 60 °C. Methanol was removed under reduced pressure, and the crude product was purified by column chromatography on silica gel eluting with 0%–5% acetone in petroleum ether to remove non polar impurities and then with petroleum ether + 5% acetone + 12% methanol to give 11 as a colorless oil (945.6 mg, 84%). Rf = 0.02 (petroleum ether/acetone 80:20).
IR (KBr) ν 3383, 2926, 2855, 1654, 1466, 1124, 1045, 858, 724 cm−1.
1H NMR (400 MHz, CDCl3): δ 5.56 (dtt, 1H, J = 10.8, 7.3, 1.4 Hz), 5.40 (dtt, 1H, J = 10.7, 7.4, 1.5 Hz), 3.91–3.81 (m, 1H), 3.72 (very broad dd, 1H, J = 10, 4 Hz (br dd after exchange with D2O, J = 11.3, 3.5 Hz), 1H of CH2OH), 3.69–3.58 (m, 2H, 1H of CH2OH and H12), 3.57–3.41 (m, 4H, CH2OCH2), 2.80–2.50 (envelope, 1H, CHOH), 2.42–2.12 (envelope, 1H, CH2OH), 2.21 (broad ddd, 2H, J = 7.4, 6.2, 1.1 Hz), 2.05 (br dt (apparent q), 2H J = 7.0, 6.9 Hz), 1.90–1.51 (m, 6H with an envelope centered at 1.63 ppm), 1.51–1.41 (m, 3H), 1.40–1.19 (m, 18H), 0.88 (pseudo t, 3H, J = 6.8 Hz, CH3).
13C NMR (100 MHz, CDCl3): δ 133.50 (CH=CH), 125.18 (CH=CH), 72.53 (CH2), 71.79 (CH2), 71.52 (CH), 70.40 (CH), 64.31 (CH2), 36.83 (CH2), 35.36 (CH2), 31.85 (CH2), 29.61 (CH2), 29.53 (CH2), 29.38 (CH2), 29.36 (CH2), 29.32 (CH2), 29.17 (CH2), 27.39 (CH2), 26.02 (CH2), 25.73 (CH2), 22.63 (CH2), 14.10 (CH3).
[α]D22: +1.2; [α]57822: +0.5; [α]54622: +0.6; [α]43622: +1.3; [α]36522: +1.6 (c 1.115, acetone).
HRMS (ESI, m/z) calculated for C21H42O4Na [M + Na]+: 381.2981, found: 381.2982.
3.2.14. Methyl (Z)-12-oxooctadec-9-enoate (25)
Pyridium chlorochromate (18.06 g, 83.8 mmol, 2.6 equiv) was suspended in DCM (111.7 mL) with stirring for 5 min. Following this, a solution of methyl ricinoleate 13 (10 g, 32 mmol) in DCM (15 mL) was added rapidly to the mixture and the flask containing 13 was rinsed with DCM (3 x 2 mL). Stirring was pursued for 1 h at rt under nitrogen. TLC monitoring showed completion of the reaction, and petroleum ether/EtOAc (90:10) (111.7 mL) was added. The resulting mixture was filtered over a short plug of silica gel with rinsing of silica gel by petroleum ether/EtOAc (90:10). Evaporation of the filtrate under reduced pressure followed by the purification of the crude by column chromatography on silica gel (55 g, 0%–1% acetone in petroleum ether) afforded 25 as a colorless oil (6.73 g, 68%). Rf = 0.36 (petroleum ether/acetone 90:10).
1H NMR (400 MHz, CDCl3): δ 5.62–5.50 (m, 2H), 3.67 (s, 3H), 3.15 (br d, 2H, J = 6.0 Hz), 2.43 (dd, 2H, J = 7.5, 7.4, Hz), 2.30 (dd, 2H, J = 7.7, 7.4 Hz), 2.02 (br dt (apparent q), 2H, J = 7.5, 7.0 Hz), 1.67–1.51 (m, 4H), 1.40–1.20 (m, 14H), 0.88 (t, 3H, J = 6.8 Hz, CH3).
13C NMR (100 MHz, CDCl3): δ 209.36 (CO), 174.31(CO), 133.53 (CH=CH), 120.99 (CH=CH), 51.45 (CH3), 42.37 (CH2), 41.64 (CH2), 34.04 (CH2), 31.59 (CH2), 29.25 (CH2), 29.11 (CH2), 29.06 (CH2), 29.05 (CH2), 28.88 (CH2), 27.46 (CH2), 24.90 (CH2), 23.77 (CH2), 22.49 (CH2), 14.04 (CH3).
3.2.15. Methyl (Z)-12,12-difluorooctadec-9-enoate (26)
To a solution of 25 (6 g 19.3 mmol) in DCM (22.5 mL) with stirring and under nitrogen at rt, was added dropwise DAST (6.22 mL, 47 mmol, 2.4 equiv). The corresponding mixture was stirred for 21 days at rt. TLC monitoring showed that the reaction was mostly done and saturated aqueous sodium bicarbonate (32 mL) plus water (20 mL) were added to quench unreacted DAST. After partitioning and extraction of the aqueous layer with DCM, combined organic layers were washed with brine and dried over Na2SO4. DCM was removed under reduced pressure, and the crude product was purified by column chromatography on silica gel (20 g). First, elution with 0%–0.5% acetone in petroleum ether) afforded 26 as a colorless oil (3.48 g, 54%). Rf = 0.39 (petroleum ether/acetone 95:5). Then unreacted 25 (2.00 g, 33%) was eluted with 1% acetone in petroleum ether.
IR (KBr) ν 3465, 3021, 2953, 2930, 2856, 1742, 1467, 1436, 1198, 1170, 876, 726 cm−1.
1H NMR (400 MHz, CDCl3): δ 5.64–5.55 (m, 1H), 5.39 (dtt, 1H, J = 10.9, 7.3, 1.5 Hz), 3.67 (s, 3H), 2.65–2.52 (m, which could be analyzed as a td (JHF = 15.9 Hz, JHH = 7.3 Hz) with further very small couplings, 2H), 2.30 (dd, 2H, J = 7.7, 7.4 Hz), 2.03 (br dt (apparent q), 2H, J = 7, 7 Hz), 1.87–1.72 (m, 2H), 1.67–1.57 (m, 2H), 1.51–1.41 (m, 2H), 1.40–1.22 (m, 14H), 0.89 (t, 3H, J = 6.8 Hz, CH3).
13C NMR (100 MHz, CDCl3): δ 174.32 (CO), 134.52 (CH=CH), 124.87 (C12, t, J = 241.2 Hz), 120.30 (CH=CH, t, J = 5.8 Hz), 51.47 (CH3), 35.98 (CH2, t, J = 25.0 Hz), 34.62 (CH2, t, J = 26.4 Hz), 34.09 (CH2), 31.60 (CH2), 29.30 (CH2), 29.14 (CH2), 29.09 (CH2), 29.08 (CH2), 29.06 (CH2), 27.40 (CH2), 24.93 (CH2), 22.51 (CH2), 22.16 (CH2, t, J =4.6 Hz), 14.04 (CH3).
19F NMR (376 MHz, CDCl3): δ −96.88 (pentuplet, J = 16.3 Hz on 19F-undecoupled spectrum).
3.2.16. (Z)-12,12-Difluorooctadec-9-en-1-ol (27)
To a stirred solution of 26 (199.5 mg, 0.6 mmol) in anhydrous Et2O (2 mL) under nitrogen, which was cooled at 0 °C, was added dropwise a solution of Red-Al (65% in toluene, ~3 M, 0.3 mL, 0.9 mmol, 1.5 equiv); then stirring was continued for 5 h at 0 °C. TLC monitoring confirmed completion of the starting material. A solution of citric acid (400 mg) in water (5 mL) was added, and stirring was still continued for 30 min. Extraction was done with petroleum ether/EtOAc (80:20), and organic layers were dried over Na2SO4. Solvent was evaporated under reduced pressure, and the crude product was purified by column chromatography on silica gel (4 g, 0%–2% acetone in petroleum ether) to afford 27 as a colorless oil (141.3 mg, 77%). Rf = 0.21 (petroleum ether/acetone 85:15). This reduction was subsequently performed on a larger scale (15 ×), and the crude alcohol, which was thus obtained, was used as such for the next step.
1H NMR (400 MHz, CDCl3): δ 5.65–5.56 (m, 1H), 5.39 (dtt, 1H, J = 10.9, 7.4, 1.6 Hz), 3.64 (t, 2H, J = 6.6 Hz), 2.65–2.53 (m, which could be analyzed as a tdd with further very small couplings at 2.59 ppm, 2H, JHF = 15.9 Hz, JHH = 7.3, 1.4 Hz), 2.04 (br dt (apparent q), 2H, J = 7, 7 Hz), 1.87–1.72 (m, 2H), 1.61–1.52 (m, 2H), 1.50–1.41 (m, 2H), 1.40–1.23 (m, 16H), 0.89 t, 3H, J = 6.9 Hz, CH3).
13C NMR (100 MHz, CDCl3): δ 134.59 (CH=CH), 124.89 (CF2, t, J = 241.2 Hz), 120.25 (t, CH=CH, J = 5.8 Hz), 63.07 (CH2), 35.97 (t, CH2, J = 25.0 Hz), 34.62 (t, CH2, J = 26.4 Hz), 32.78 (CH2), 31.60 (CH2), 29.47 (CH2), 29.38 (CH2), 29.36 (CH2), 29.22 (CH2), 29.06 (CH2), 27.42 (CH2), 25.73 (CH2), 22.51 (CH2), 22.16 (t, CH2, J = 4.6 Hz), 14.04 (CH3).
19F NMR (376 MHz, CDCl3): δ −96.85 (pentuplet, J = 16.3 Hz on 19F-undecoupled spectrum).
HRMS (ESI, m/z) calculated for C18H34OF2Na [M + Na]+: 327.2475 found: 327.2478, calculated for C18H33OFNa [M – HF + Na]+: 307.2413, found: 307.2415.
3.2.17. (Z)-12,12-Difluorooctadec-9-en-1-yl methanesulfonate (28)
To a stirred solution of crude 27 (made from 3.09 g of 26, 9.3 mmol) and Et3N (1.95 mL, 14.0 mmol, 1.5 equiv) in DCM (28 mL) under nitrogen, which was cooled at −35 °C, was added dropwise mesyl chloride (0.9 mL, 11.6 mmol, 1.25 equiv) in DCM (3.7 mL). Transfer of mesyl chloride was completed by rinsing with DCM (3 × 0.2 mL). The reaction mixture was then allowed to warm up slowly to −5 °C (in 4–5 h) and TLC monitoring (elution with DCM) showed completion of the reaction. Distilled water (96 mL) was added to quench the reaction, and extraction of the aqueous layer was done with DCM. Combined organic layers were washed with brine and dried over Na2SO4. DCM was removed under reduced pressure, and the crude product was purified by column chromatography on silica gel (10 g, 0%–1% acetone in petroleum ether) to afford 28 as a colorless oil (2.44 g, 69% from 26). Rf = 0.61 (petroleum ether/acetone 80:20).
1H NMR (400 MHz, CDCl3): δ 5.65–5.55 (m, 1H), 5.39 (dtt, 1H, J = 10.9, 7.3, 1.6 Hz), 4.22 (t, 2H, J = 6.6 Hz), 3.00 (s, 3H), 2.65–2.52 (m, which could be analyzed as a tdd with further very small couplings at 2.59 ppm, 2H, JHF = 16.0 Hz, JHH = 7.3, 1.3 Hz), 2.04 (br dt (apparent q), 2H, J = 7, 7 Hz), 1.87–1.70 (m, 4H), 1.58–1.21 (m, 18H), 0.89 (t, 3H, J = 6.9 Hz, CH3).
13C NMR (100 MHz, CDCl3): δ 134.51 (CH=CH), 124.87 (C12, t, J = 241.2 Hz), 120.30 (t, CH=CH, J = 5.8 Hz), 70.16 (CH2), 37.36 (CH3), 35.97 (t, CH2, J = 25.0 Hz), 34.61 (t, CH2, J = 26.4 Hz), 31.60 (CH2), 29.31 (CH2), 29.29 (CH2), 29.13 (CH2), 29.12 (CH2), 29.05 (CH2), 28.98, (CH2), 27.39 (CH2), 25.40 (CH2), 22.50 (CH2), 22.16 (t, CH2, J = 4.6 Hz), 14.05 (CH3).
19F NMR (376 MHz, CDCl3): δ −96.86 (pentuplet, J = 16.3 Hz on 19F-undecoupled spectrum).
3.2.18. (R,Z)-4-(((12, 12-Difluorooctadec-9-en-1-yl)oxy)methyl)-2,2-dimethyl-1,3-dioxolane (29)
To a stirred mixture of 28 (115 mg, 0.3 mmol), n-Bu4NBr (24.2 mg, 0.075 mmol, 0.25 equiv), DMSO (0.6 mL) and 50% aqueous NaOH (63 µL, 1.2 mmol of NaOH, 4 equiv), was added (R)-solketal 18 (49 mg, ≥95% pure, 0.35 mmol, 1.17 equiv). The corresponding mixture was stirred for 5 h at 60 °C. TLC monitoring showed completion of the reaction, and distilled water was added. Extraction was done with petroleum ether/EtOAc (80:20). Organic layers were washed again with brine and dried over Na2SO4. Solvent was removed under reduced pressure, and the crude product was purified by column chromatography on silica gel (5 g, 0%–0.5% acetone in petroleum ether) to provide 29 as a colorless oil (79.3 mg, 63%). Rf = 0.44 (petroleum ether/acetone 95:5).
1H NMR (400 MHz, CDCl3): δ 5.64–5.56 (m, 1H), 5.38 (dtt, 1H, J = 10.9, 7.3, 1.6 Hz), 4.27 (dddd (apparent tt), 1H, J = 6.4, 6.4, 5.7, 5.7 Hz), 4.06 (dd, 1H, J = 8.2, 6.4 Hz), 3.73 (dd, 1H, J = 8.2, 6.4 Hz), 3.54–3.39 (m, 4H), 2.65–2.53 (m, which could be analyzed as a tdd with further very small couplings at 2.59 ppm, 2H, JHF = 15.9 Hz, JHH = 7.4, 1.3 Hz), 2.03 (br dt (apparent q), 2H, J = 7, 7 Hz), 1.87–1.72 (m, 2H), 1.62–1.51 (m, 2H), 1.43 (q, 3H, J = 0.6 Hz), 1.37 (q, 3H, J = 0.6 Hz), 1.40–1.21 (m, 18H), 0.89 (t, 3H, J = 6.8 Hz, CH3).
13C NMR (100 MHz, CDCl3): δ 134.59 (CH=CH), 124.88 (CF2, t, J = 241.2 Hz), 120.23 (t, CH=CH, J = 5.8 Hz), 109.37 (CMe2), 74.76 (CH), 71.87 (CH2), 71.84 (CH2), 66.93 (CH2), 35.96 (t, CH2, J = 25.0 Hz), 34.62 (t, CH2, J = 26.4 Hz), 31.60 (CH2), 29.55 (CH2), 29.45 (CH2), 29.41 (CH2), 29.37 (CH2), 29.23 (CH2), 29.06 (CH2), 27.43 (CH2), 26.78 (CH3), 26.05 (CH2), 25.43 (CH3), 22.50 (CH2), 22.15 (t, CH2, J = 4.6 Hz), 14.04 (CH3).
19F NMR (376 MHz, CDCl3): δ −96.85 (pentuplet, J = 16.3 Hz on 19F-undecoupled spectrum).
HRMS (ESI, m/z) calculated for C24H44O3F2Na [M + Na]+: 441.3156, found: 441.3149, calculated for C24H43O3FNa [M – HF + Na]+: 421.3094, found: 421.3100, calculated for C24H42O3Na [M – 2HF + Na]+: 401.3032, found: 401.3044.
3.2.19. (S,Z)-3-((12,12-Difluorooctadec-9-en-1-yl)oxy)propane-1,2-diol (9)
To a solution of acetonide 29 (971.9 mg, 2.32 mmol) in methanol (9.3 mL) and distilled water (0.93 mL) was added p-toluenesulfonic acid monohydrate (22.1 mg, 0.116 mmol, 0.05 equiv). The flask was then purged with nitrogen, stoppered and dipped in a preheated bath at 60 °C. Stirring was maintained for 5 h at 60 °C. TLC monitoring showed completion of the reaction, and sodium bicarbonate (10.9 mg, 0.13 mmol, 0.056 equiv) was added to the mixture and the stirring was continued for 1 h at 60 °C. Methanol was removed under reduced pressure, and then the crude product was purified by column chromatography on silica gel (6 g, 0%–5% acetone in petroleum ether and then petroleum ether + 5% acetone + 12% methanol) to provide 9 as a green oil (811.2 mg, 92%). Rf = 0.04 (petroleum ether/acetone 90:10).
1H NMR (400 MHz, CDCl3): δ 5.65–5.55 (m, 1H), 5.39 (dtt, 1H, J = 10.9, 7.3, 1.6 Hz), 3.91–3.82 (m (ddt after exchange with D2O, J = 6.0, 5.2, 3.9 Hz), 1H), 3.72 (ddd, 1H, J = 11.4, 6.9, 3.8 Hz (dd after exchange with D2O, J = 11.4, 3.9 Hz)), 3.65 (ddd, 1H, J = 11.4, 5.1, 5.0 Hz (dd after exchange with D2O, J = 11.4, 5.2 Hz)), 3.56–3.42 (m with 1H dd at 3.54 ppm, J = 9.7, 3.9 Hz, 4H), 2.67 (d, which was suppressed after exchange with D2O, 1H, J = 5.1, Hz, OH), 2.65–2.53 (m, which could be analyzed as a tdd with further very small couplings at 2.59 ppm, 2H, JHF = 15.9 Hz, JHH = 7.3, 1.2 Hz, 2H), 2.26 (br dd, 1H, J = 6.6, 5.6 Hz), 2.04 (br dt (apparent q), 2H, J = 7, 7 Hz), 1.87–1.73 (m, 2H), 1.58 (br tt, 2H, J = 7.2, 6.7 Hz), 1.51–1.41 (m, 2H), 1.40–1.22 (m, 16H), 0.89 (t, 3H, J = 6.9 Hz, CH3).
13C NMR (100 MHz, CDCl3): δ 134.58 (CH=CH), 124.89 (CF2, t, J = 241.2 Hz), 120.25 (t, CH=CH, J = 5.8 Hz), 72.53 (CH2), 71.82 (CH2), 70.41 (CH), 64.30 (CH2), 35.96 (t, CH2, J= 25.0 Hz), 34.62 (t, CH2, J = 26.4 Hz), 31.60 (CH2), 29.57 (CH2), 29.44 (CH2), 29.40 (CH2), 29.36 (CH2), 29.22 (CH2), 29.05 (CH2), 27.42 (CH2), 26.07 (CH2), 22.50 (CH2), 22.15 (t, CH2, J= 4.6 Hz), 14.05 (CH3).
19F NMR (376 MHz, CDCl3): δ −96.84 (pentuplet, J= 16.3 Hz on 19F-undecoupled spectrum).
[α]D24: −4.6; [α]57824: −5.8; [α]54624: −6.4; [α]43624: −9.9; [α]36524: −14.3 (c 0.94, acetone).
HRMS (ESI, m/z) calculated for C21H40O3F2Na [M + Na]+: 401.2843, found: 401.2840, calculated for C21H39O3FNa [M – HF + Na]+: 381.2781, found: 381.2791, calculated for C21H38O3Na [M – 2HF + Na]+: 361.2719, found: 361.2726.
3.2.20. Methyl (R,Z)-12-((methylsulfonyl)oxy)octadec-9-enoate (31)
To a stirred solution of 13 (10.0 g, 32.0 mmol) and Et3N (9.15 mL, 65.5 mmol, 2.05 equiv) in DCM (80 mL), which was cooled under nitrogen cooled at −40 °C, mesyl chloride (5.0 mL, 64.0 mmol, 2.0 equiv) in DCM (10 mL) was added dropwise. Transfer of mesyl chloride was completed by rinsing with DCM (2 × 1 mL). The reaction mixture was allowed to warm up slowly to −10 °C and then further stirred for 4 h at −10 °C. TLC monitoring showed completion of the reaction, and distilled water (120 mL) was added. Extraction of the aqueous layer was done with DCM. Combined organic layers were washed with brine and dried over Na2SO4. DCM was removed under reduced pressure, and the crude product was purified by column chromatography on silica gel (36 g, 0%–1% acetone in petroleum ether) to afford 31 as a colorless oil (8.06 g, 65%). Rf = 0.26 (petroleum ether/acetone 80:20).
1H NMR (400 MHz, CDCl3): δ 5.55 (dtt, 1H, J = 10.9, 7.3, 1.5 Hz), 5.37 (dtt, 1H, J = 10.9, 7.2, 1.5 Hz), 4.69 (tt, 1H, J = 6.2, 6.1 Hz), 3.67 (s, 3H), 2.99 (s, 3H), 2.55–2.37 (m, 2H), 2.30 (t, 2H, J = 7.5 Hz), 2.03 (br dt (apparent q), 2H, J = 7, 6.5 Hz), 1.72–1.57 (m, 4H), 1.49–1.18 (m, 16H), 0.88 (t, 3H, J = 6.9 Hz, CH3).
13C NMR (100 MHz, CDCl3): δ 174.32 (Cquat, CO), 133.81 (CH=CH), 123.03 (CH=CH), 83.66 (CH), 51.47 (CH3), 38.68 (CH3), 34.25 (CH2), 34.08 (CH2), 32.54 (CH2), 31.64 (CH2), 29.39 (CH2), 29.14 (CH2), 29.10 (CH2), 29.08 (CH2), 29.00 (CH2), 27.42 (CH2), 25.05 (CH2), 24.92 (CH2), 22.56 (CH2), 14.05 (CH3).
[α]D18: +12.3; [α]57818: +12.5; [α]54618: +14.2; [α]43618: +24.3; [α]36518: +38.6 (c 4.00, acetone).
[α]D18: +10.6; [α]57818: +11.0; [α]54618: +12.6; [α]43618: +21.5; [α]36518: +33.7 (c 4.00, CHCl3).
3.2.21. Methyl (S,Z)-12-azidooctadec-9-enoate (32)
To a solution of 31 (9.1 g, 23.3 mmol) in DMSO (34.9 mL), was added NaN3 (2.6 g, 40.0 mmol, 1.7 equiv). The flask was then purged with nitrogen, stoppered and dipped in a preheated bath at 80 °C. Stirring was maintained for 16 h at the same temperature. TLC monitoring showed completion of the reaction, and it was brought back to rt, then quenched with an aqueous solution of NH4Cl. Extraction was done with petroleum ether/EtOAc (80:20, 185 mL), and organic layers were washed with brine and dried over Na2SO4. Solvent was removed under reduced pressure to obtain the crude product as a light-yellow oil. The crude product was then purified by column chromatography on silica gel (30 g, 0%–0.5% acetone in petroleum ether) to provide 32 as an oil (6.26 g, 80%). Rf = 0.58 (petroleum ether/acetone 80:20).
IR (KBr) ν 3011, 2929, 2855, 2100, 1742, 1456, 1250, 1197, 726 cm−1.
1H NMR (400 MHz, CDCl3): δ 5.52 (dtt, 1H, J = 10.9, 7.3, 1.5 Hz), 5.38 (dtt, 1H, J = 10.9, 7.2, 1.5 Hz), 3.67 (s, 3H), 3.33–3.25 (m, which could be analyzed as a dddd at 3.29 ppm with J= 7.6, 6.5, 6.5, 5.3 Hz, 1H, CHN3), 2.33–2.25 (m, 4H with a dd at 2.34 ppm integrating for 2 protons, J = 7.7, 7.4 Hz), 2.04 (br td (apparent q), 2H, J = 7.0, 6.8 Hz), 1.68–1.57 (m, 2H), 1.56–1.40 (m, 3H), 1.40–1.22 (m, 15H), 0.89 (t, 3H, J = 6.9 Hz, CH3).
13C NMR (100 MHz, CDCl3): δ 174.33 (Cquat, CO), 133.10 (CH=CH), 124.58 (CH=CH), 62.95 (CH), 51.46 (CH3), 34.10 (CH2), 33.99 (CH2), 32.28 (CH2), 31.72 (CH2), 29.46 (CH2), 29.15 (CH2), 29.10 (2 CH2), 29.09 (CH2), 27.40 (CH2), 26.13 (CH2), 24.93 (CH2), 22.59 (CH2), 14.07 (CH3).
3.2.22. (S,Z)-12-Azidooctadec-9-enal (33)
To a vigorously stirred solution of 32 (5.063 g, 15 mmol) in Et2O (60 mL), which was cooled at −80 °C under nitrogen, was added dropwise a solution of Dibal (25% in hexane, 28 mL, 34.5 mmol, 2.3 equiv). The resulting mixture was allowed to stir for 2 h at −80 °C. TLC monitoring showed completion of the reaction. A saturated aqueous solution of potassium sodium tartrate (25 mL) was added, and stirring was continued for 10 min. Extraction was then done with petroleum ether/EtOAc (80:20). Organic layers were washed with brine and dried over Na2SO4. Solvent was evaporated under reduced pressure, and the crude product was used as such for the next step. For analytical purposes, the crude reaction product, which was initially obtained from 10 times less product, was purified by column chromatography on silica gel (5.2 g, 0%–1% acetone in petroleum ether) to afford 33 as an ochre oil (313.1 mg from 506.3 mg of 32, 68%). Rf = 0.4 (petroleum ether/acetone 85:15).
IR (KBr) ν 34,340, 2929, 2856, 2716, 2100, 1727, 1466, 1273, 725 cm−1.
1H NMR (400 MHz, CDCl3): δ 9.77 (t, 1H, J = 1.9 Hz, CHO), 5.52 (dtt, 1H, J = 10.9, 7.2, 1.5 Hz, CH=CH–CH2–CHN3), 5.39 (dtt, 1H, J = 10.9, 7.2, 1.5 Hz, CH=CH–CH2–CHN3), 3.33–3.25 (m, which could be analyzed as a dddd at 3.29 ppm with J = 7.6, 6.6, 6.5, 5.2 Hz, 1H, CHN3), 2.42 (td, 2H, J = 7.4, 1.9 Hz, CH2CHO), 2.35–2.20 (m, 2H, CHCH2CH=CH), 2.05 (br td (apparent q), 2H, J = 7.0, 6.8 Hz, CH=CHCH2), 1.68–1.58 (m, 2H, CH2CH2CHO), 1.57–1.47 (m, 2H, CH2CHN3), 1.47–1.41 (m, 1H, of CH2CH2CHN3), 1.41–1.24 (m, 15H, 1H of CH2CH2CHN3, CH3(CH2)3 and (CH2)4CH2CH2CHO), 0.89 (t, 3H, J = 6.9 Hz, CH3).
13C NMR (100 MHz, CDCl3): δ 202.92 (CHO), 133.05 (CH=CH), 124.62 (CH=CH), 62.94 (CH–N3), 43.91 (CH2), 33.99 (CH2), 32.29 (CH2), 31.72 (CH2CH2CH3), 29.44 (CH2), 29.25 (CH2), 29.11 (CH2), 29.08 (CH2), 29.07 (CH2), 27.39 (CH2), 26.13 (CH2), 22.58 (CH2CH3), 22.05 (CH2), 14.07 (CH3).
[α]D18.5: −31.5; [α]57818.5: −33.4; [α]54618.5: −38.2; [α]43618.5: −67.5; [α]36518.5: −111.0 (c 2.00, acetone).
[α]D18.5: −24.8; [α]57818.5: −25.9; [α]54618.5: −29.7; [α]43618.5: −52.0; [α]36518.5: −85.4 (c 2.60, CHCl3).
Elementary analysis calculated for C18H33N3O: C, 70.31; H, 10.82; N, 13.67 found: C, 70.39; H, 11.01; N, 13.38.
3.2.23. (S,Z)-12-Azidooctadec-9-en-1-ol (34)
To a vigorous stirred solution of 33 (crude made from 5.063 g, 15 mmol of 32) in ethanol (15 mL), which was cooled at 0 °C under nitrogen, was added NaBH4 (435 mg, 11.25 mmol, 0.75 equiv). The resulting mixture was allowed to stir for 1 h at 0 °C. TLC monitoring showed completion of the reaction. About 10–20 drops of acetone were added, and ethanol was removed under reduced pressure. After addition of water, extraction with petroleum ether/EtOAc (80:20), organic layers were washed with brine and dried over Na2SO4. Solvent was removed under reduced pressure, and the crude product was purified by two successive column chromatographies on silica gel (15 g, 0%–2% acetone in petroleum ether) to afford 34 as an ochre oil (3.44 g, 74% from 32). Rf = 0.36 (petroleum ether/acetone 85:15).
1H NMR (400 MHz, CDCl3): δ 5.52 (dtt, 1H, J = 10.9, 7.3, 1.5 Hz), 5.38 (dtt, 1H, J = 10.9, 7.3, 1.5 Hz), 3.64 (t, 2H, J = 6.6 Hz), 3.33–3.25 (m, which could be analyzed as a dddd at 3.29 ppm with J = 7.8, 6.8, 6.4, 5.2 Hz, 1H, CHN3), 2.35–2.20 (m, 2H), 2.04 (br td (apparent q), 2H, J = 7.0, 7.0 Hz), 1.61–1.41 (m, 5H), 1.41–1.23 (m, 17H), 0.89 (t, 3H, J = 6.9 Hz, CH3).
13C NMR (100 MHz, CDCl3): δ 133.17 (CH=CH), 124.53 (CH=CH), 63.07 (CH2), 62.96 (CH), 33.98 (CH2), 32.79 (CH2), 32.28 (CH2), 31.72 (CH2), 29.51 (CH2), 29.49 (CH2), 29.39 (CH2), 29.24 (CH2), 29.09 (CH2), 27.43 (CH2), 26.13 (CH2) 25.73 (CH2), 22.59 (CH2), 14.07 (CH3).
3.2.24. (S,Z)-12-Azidooctadec-9-en-1-yl methanesulfonate (35)
To a stirred solution of 34 (3.93 g, 12.7 mmol) and Et3N (2.7 mL, 19.1 mmol, 1.5 equiv) in DCM (38 mL), which was cooled at –50 °C under nitrogen, was added dropwise mesyl chloride (1.25 mL, 15.9 mmol, 1.25 equiv) in DCM (5.0 mL). Transfer of mesyl chloride was completed by rinsing with DCM (3 × 0.2 mL). The mixture was then allowed to stir for 4 h at −50 °C and then allowed to warm up slowly to −5 °C. TLC monitoring (elution with DCM) showed completion of the reaction, and distilled water (50 mL) was added to quench the reaction. Extraction was done with DCM, and organic layers were washed with brine and dried over Na2SO4. DCM was removed under reduced pressure, and the crude product was purified by two successive column chromatographies on silica gel (15 g and then 40 g, 0%–3% acetone in petroleum ether) to provide 35 as an ochre oil (2.89 g, 59%). Rf = 0.61 (petroleum ether/acetone 80:20).
1H NMR (400 MHz, CDCl3): δ 5.52 (dtt, 1H, J = 10.9, 7.3, 1.4 Hz), 5.39 (dtt, 1H, J = 10.9, 7.3, 1.5 Hz), 4.22 (t, 2H, J = 6.6 Hz), 3.33–3.25 (m, which could be analyzed as a br dddd at 3.29 ppm with J = 7.2, 6.8, 6.5, 5.3 Hz, 1H, CHN3), 3.01 (s, 3H), 2.35–2.22 (m, 2H), 2.05 (br dt (apparent q), 2H, J = 7.2, 7.0 Hz), 1.79–1.70 (m, 2H), 1.56–1.22 (m, 20H with 2H at 1.56–1.47 ppm), 0.89 (t, 3H, J = 6.9 Hz, CH3).
13C NMR (100 MHz, CDCl3): δ 133.07 (CH=CH), 124.60 (CH=CH), 70.17 (CH2), 62.94 (CH), 37.37 (CH3), 33.99 (CH2), 32.29 (CH2), 31.72 (CH2), 29.47 (CH2), 29.31 (CH2), 29.16 (CH2), 29.12 (CH2), 29.08 (CH2), 28.99 (CH2), 27.40 (CH2), 26.13 (CH2), 25.41 (CH2), 22.58 (CH2), 14.07 (CH3).
3.2.25. (R)-4-((((S,Z)-12-Azidooctadec-9-en-1-yl)oxy)methyl)-2,2-dimethyl-1,3-dioxolane (36)
To a stirred mixture at rt of 35 (2.48 g, 6.4 mmol), n-Bu4NBr (515.8 mg, 1.6 mmol, 0.25 equiv), DMSO (12.8 mL) and 50% aqueous NaOH (0.67 mL, 2 equiv) was added (R)-solketal 18 (1002.8 mg, ≥95% pure, 7.21 mmol, 1.13 equiv). The resulting mixture was then stirred overnight for 15 h at 35 °C. TLC monitoring showed completion of the reaction, and distilled water (40 mL) was added. Extraction was done with petroleum ether/EtOAc (80:20), and organic layers were washed again with brine and dried over Na2SO4. Solvent was removed under reduced pressure, and the crude product was purified by two successive column chromatographies on silica gel (11 g and then 30 g, 0%–0.5% acetone in petroleum ether) to afford 36 as an ochre oil (1.41 g, 52%). Rf = 0.56 (petroleum ether/acetone 95:5).
1H NMR (400 MHz, CDCl3): δ 5.52 (dtt, 1H, J = 10.9, 7.2, 1.5 Hz), 5.38 (dtt, 1H, J = 10.9, 7.2, 1.5 Hz), 4.27 (tt, 1H, J = 6.4, 5.7 Hz), 4.06 (dd, 1H, J = 8.2, 6.4 Hz), 3.73 (dd, 1H, J = 8.2, 6.4 Hz), 3.54–3.39 (m, 4H with 1H dd at 3.52 ppm, J = 9.9, 5.7 Hz and 1H dd at 3.42 ppm, J = 9.9, 5.6 Hz), 3.33–3.25 (m, 1H, CHN3), 2.36–2.20 (m, 2H), 2.04 (br td (apparent q), 2H, J = 7.1, 7.0 Hz), 1.62–1.40 (m, 7H, 2 CH2 + CH3 q at 1.43 ppm, J = 0.6 Hz), 1.40–1.24 (m, 21H, 9 CH2 + CH3 q at 1.37 ppm, J = 0.6 Hz), 0.89 (t, 3H, J = 6.9 Hz, CH3).
13C NMR (100 MHz, CDCl3): δ 133.18 (CH=CH), 124.51 (CH=CH), 109.37 (CMe2), 74.76 (CH), 71.88 (CH2), 71.83 (CH2), 66.94 (CH2), 62.95 (CH), 33.98 (CH2), 32.28 (CH2), 31.72 (CH2), 29.55 (CH2), 29.52 (CH2), 29.48 (CH2), 29.42 (CH2), 29.26 (CH2), 29.08 (CH2), 27.44 (CH2), 26.78 (CH3), 26,13 (CH2), 26.05 (CH2), 25.43 (CH3), 22.58 (CH2), 14.07 (CH3).
HRMS (ESI, m/z) calculated for C24H45N3O3Na [M + Na]+: 446.3358, found: 446.3365.
3.2.26. (S)-3-(((S,Z)-12-Azidooctadec-9-en-1-yl)oxy)propane-1,2-diol (10)
To a solution of 36 (610.7 mg, 1.44 mmol) in methanol (5.8 mL), was added p-toluenesulfonic acid monohydrate (13.7 mg, 0.072 mmol, 0.05 equiv) and distilled water (0.58 mL). The flask was then purged with nitrogen, stoppered and dipped in a preheated bath at 60 °C. Stirring was maintained for 4 h at 60 °C. TLC monitoring showed completion of the reaction, and sodium bicarbonate (6.7 mg, 0.08 mmol, 0.055 equiv) was added to the mixture, and stirring was continued for 1 h at 60 °C. Methanol was removed under reduced pressure, and the crude product was purified by column chromatography on silica gel (5 g, 0%–5% acetone in petroleum ether and then petroleum ether + 5% acetone + 12% methanol) to provide 10 as an ochre oil (539.1 mg, 97%). Rf = 0.03 (petroleum ether/acetone 80:20).
IR (KBr) ν 3396, 2928, 2855, 2100, 1464, 1254, 1125, 1037 cm−1.
1H NMR (400 MHz, CDCl3): δ 5.52 (dtt, 1H, J = 10.9, 7.3, 1.4 Hz), 5.38 (dtt, 1H, J = 10.9, 7.2, 1.5 Hz), 3.91–3.83 (m, which could be analyzed as a br tt at 3.86 ppm with J = 5.3, 4.1 Hz, exchange with D2O improved a little bit the resolution), 3.77–3.68 (m, 1H (dd at 3.71 ppm after exchange with D2O, J = 11.4, 3.9 Hz)), 3.65 (dd, 1H, J = 11.4, 5.2 Hz, unchanged after exchange with D2O), 3.56–3.42 (m, 4H with 1H dd at 3.54 ppm, J = 9.7, 4.0 Hz), 3.33–3.25 (m, which could be analyzed as a dddd at 3.29 ppm with J = 7.6, 6.6, 6.4, 5.2 Hz, 1H, CHN3), 2.72 (envelope from 2.85 to 2.59 ppm, 1H, OH), 2.37–2.20 (m, 3H: 1 OH as a partly overlapped envelope, which topped at 2.32 ppm + 1 CH2, which was centered at 2.29 ppm), 2.05 (br dt (apparent q), 2H, J = 7.1, 6.9 Hz), 1.62–1.40 (m, 5H), 1.40–1.23 (m, 17H), 0.89 (t, 3H, J = 6.9 Hz, CH3).
13C NMR (100 MHz, CDCl3): δ 133.16 (CH=CH), 124.53 (CH=CH), 72.52 (CH2), 71.83 (CH2), 70.43 (CH), 64.29 (CH2), 62.95 (CH), 33.97 (CH2), 32.28 (CH2), 31.72 (CH2), 29.57 (CH2), 29.51 (CH2), 29.46 (CH2), 29.41 (CH2), 29.24 (CH2), 29.08 (CH2), 27.43 (CH2), 26.13 (CH2), 26.07 (CH2), 22.58 (CH2), 14.07 (CH3).
[α]D21: −17.7; [α]57821: −18.7; [α]54621: −21.3; [α]43621: −37.9; [α]36521: −62.5 (c 2.26, CHCl3).
HRMS (ESI, m/z) calculated for C21H41N3O3Na [M + Na]+: 406.3046, found: 406.3046, calculated for C21H40N3O3Na2 [M − H + 2Na]+: 428.2865, found: 428.2882, calculated for C21H41NO3Na [M – N2 + Na]+: 378.2984, found: 378.2998.
3.3. Chemicals and Culture Media
Nystatin (Maneesh Pharmaceutic PVT) for fungi, chloramphenicol (Sigma) for E. coli ATCC 10.536 and AG102, gentamycin (Jinling Pharmaceutic Group corp.), tetracycline, ciprofloxacin and ampicillin (Sigma-Aldrich, South Africa) for bacteria were used as reference antibiotics (RE). Dimethylsulfoxide (DMSO, Sigma) was used to dilute all tested samples. Nutrient agar (NA) was used for bacterial culture. Sabouraud glucose agar was used for the activation of the fungi. The Mueller Hinton broth (MHB) was used to determine the minimal inhibition concentration (MIC) of all samples against the tested microorganisms. Two-fold dilutions were made for MIC determinations, and the results were validated only if at least two of the three replications were similar; standard deviation bars were not appropriate in regards to two-fold dilutions in such study.
3.4. Microbial Strains
The organisms tested included methicillin-resistant Staphylococcus aureus LMP805, Streptococcus faecalis LMP 806 (Gram-positive bacteria), Gram-negative bacteria, namely β-lactamase positive (βL+) Escherichia coli LMP701, E. coli ATCC10536, kanamycin and chloramphenicol resistant E. coli AG102, ampicillin-resistant Shigella dysenteriaeLMP820, chloramphenicol-resistant Salmonella typhi LMP706, chloramphenicol-resistant Citrobacter freundii LMP802 and three fungi, namely Candida albicans LMP709U, Candida glabrata LMP0413U and Microsporum audouinii LMP725D. E. coli ATCC10536 and AG102 were provided by UMR-MD1 (Université de la Méditeranée, France). All other microbial species were clinical isolates from the “Centre Pasteur du Cameroun” and provided by the Laboratory of Applied Microbiology and Molecular Pharmacology (LMP) (Faculty of Science, University of Yaoundé I). These were maintained on agar slant at 4 °C and sub-cultured on a fresh appropriate agar plate 24 h prior to any antimicrobial test. The three types of E. coli used in the antimicrobial assay were the reference ATCC strain, a wild type and a resistant phenotype.
3.5. Antimicrobial Assays
The antimicrobial assays were conducted using rapid XTT colorimetry and viable count methods. The XTT colorimetric assay was performed according to Pettit et al. [36] as modified by Kuete et al. [37,38,39]. Concisely, the tested sample (or combined sample with antibiotic) was first of all dissolved in DMSO/MHB. The final concentration of DMSO was lower than 1% and did not affect the microbial growth [37,38,39]. The solution obtained was then added to MHB and serially diluted two fold (in a 96-well microplate). Then, 100 µl of inoculum 1.5 × 106 CFU/mL was prepared in MHB. The plates were covered with a sterile plate sealer, then agitated to mix the contents of the wells using a plate shaker and incubated at 30 °C for 48 h (M. audouinii) or at 37 °C for 24 h (other organisms). The assay was repeated three times. Gentamicin, chloramphenicol (bacteria) and nystatin (fungi) were used as positive controls. Wells containing MHB, 100 µl of inoculum and DMSO to a final concentration of 1% served as negative controls. The MIC of samples was then detected following an addition (40 µL) of 0.2 mg/mL p-iodonitrotetrazolium chloride and incubated at 37 °C for 30 min. Viable bacteria reduced the yellow dye to a pink color. MIC was defined as the lowest sample concentration that prevented this change and exhibited complete inhibition of bacterial growth.
Bacterial enumeration was performed on E. coli LMP701 as described by Stenger et al. [40]. Cells were treated with samples at their MIC and 4× MIC values as previously determined using XTT assay, and incubated at 37 °C. Viable cells were then determined at 0, 30, 60, 120, 240 and 480 min by performing 10-fold serial dilutions of this suspension in 0.9% saline. Gentamicin was used as reference drug whilst 0.9% saline and DMSO to a final concentration of 1% was used as control. All dilutions were placed on nutrient agar plates that were then incubated at 37 °C for 18 h. Bacterial colonies were then enumerated, and the total CFU/mL at each time was deduced.
4. Conclusions
A series of novel 1-O-alkylglycerol compounds 8–11 were synthesized from cheap ricinoleic acid (12). The structures of these compounds were characterized by NMR experiments as well as from the HRMS and elementary analysis data. AKGs 8–11 were evaluated for their respective antimicrobial activities. All compounds exhibited antimicrobial activity to different extents alone. Additionally, some beneficial synergistic effects were observed when AKG 8 was combined with gentamicin, and when AKG 11 was combined with ciprofloxacin and ampicillin. AKG 11 was viewed as a lead compound for this series, as it exhibited significant antimicrobial activity alone and when combined with some antibiotics compared with 8–10. It is now evident that non-natural synthesized 1-O-alkylglycerols can be further explored as a new source of drugs, and can be used in diverse preparations of pharmaceutical importance.
Supplementary Materials
The following are available online at https://www.mdpi.com/1660-3397/18/2/113/s1. The copies of 1H and 13C NMR spectra for all synthetic compounds (8–11, 13–17, 19–29 and 31–36) are included in the attached Supplementary Materials as the Figures: S1.1–S1.14; S2.1–S2.12; S3.1–S3.12; and S4.1–S4.14.
Author Contributions
P.M. designed the whole research. R.M. performed the chemical research, analyzed the data and wrote the chemistry of the manuscript. V.K. performed the antimicrobial experiments and wrote the biology of the manuscript under the supervision of J.-M.P., P.M. and D.E.P. were responsible for acquiring the funding of project. All authors have read and agreed to the published version of the manuscript.
Funding
Financial support from Agence Universitaire de la Francophonie (AUF), Région Bretagne, CNRS (UMR 6226) and the Université de Rennes 1 are gratefully acknowledged.
Acknowledgments
We thank André Sasaki of UPJV for going over the manuscript and the CRMPO (Centre Régional de Mesures Physiques de l’Ouest, Rennes, France) for HRMS spectra and microanalyses.
Conflicts of Interest
The authors declare no conflict of interest.
References
- Hallgren, B.; Larsson, S. The glyceryl ethers in man and cow. J. Lipids Res. 1962, 3, 39–43. [Google Scholar]
- Bordier, C.G.; Sellier, N.; Foucault, A.P.; Le Goffic, F. Purification and characterization of deep sea sharkCentrophorussquamosus liver oil 1-O-aklylglycerol ether lipids. Lipids 1996, 31, 521–528. [Google Scholar] [PubMed]
- Linman, J.W.; Long, M.J.; Korst, D.R.; Bethell, F.H. Studies on the stimulation of hemopoiesis by batyl alcohol. J. Lab. Clin. Med. 1959, 54, 335–343. [Google Scholar] [PubMed]
- Brohult, A.; Brohult, J.; Brohult, S.; Joelsson, I. Effect of alkoxyglycerols on the frequency of injuries following radiation therapy for carcinoma of the uterine cervix. Acta Obstet. Gynecol. Scand. 1977, 56, 441–448. [Google Scholar]
- Brohult, A.; Brohult, J.; Brohult, S. Regression of tumour growth after administration of alkoxyglycerols. Acta Obstet. Gynecol. Scand. 1978, 57, 79–83. [Google Scholar]
- Ngwenya, B.Z.; Foster, D.M. Enhancement of antibody production by lysophosphatidylcholine and alkylglycerol. Proc. Soc. Exp. Biol. Med. 1991, 196, 69–75. [Google Scholar]
- Brohult, A.; Brohult, J.; Brohult, S. Effect of irradiation and alkoxyglycerol treatment on the formation of antibodies after Salmonella vaccination. Experientia 1972, 28, 954–955. [Google Scholar]
- Baer, E.; Fisher, H.O.L. Studies on acetone-glyceraldehyde, and optically active glycerides: IX. Configuration of the natural batyl, chimyl, and selachyl alcohols. J. Biol. Chem. 1941, 140, 397–410. [Google Scholar]
- Deniau, A.L.; Mosset, P.; Pedrono, F.; Mitre, R.; Le Bot, D.; Legrand, A.B. Multiple beneficial health effects of natural Alkylglycerols from Shark Liver Oil. Mar. Drugs 2010, 8, 2175–2184. [Google Scholar]
- Deniau, A.L.; Le Bot, D.; Mosset, P.; Legrand, A.B. Activités antitumorale et antimétastasique des alkylglycérols naturels: Relation structure-activité. OCL 2010, 17, 236–237. [Google Scholar]
- Deniau, A.L.; Mosset, P.; Le Bot, D.; Legrand, A.B. Which alkylglycerols from shark liver oil have anti-tumour activities? Biochimie 2011, 93, 1–3. [Google Scholar] [PubMed]
- Hatice, M.; Michael, A.R.M. Castor oil as a renewable resource for the chemical industry. Eur. J. Lipid Sci. Technol. 2010, 112, 10–30. [Google Scholar]
- Merkle, H.P.; Higuchi, W.I. Effects of antibacterial microenvironment on in vitro plaque formation of Streptococcus mutans as observed by scanning electron microscopy. Arzneimittel-Forschung 1980, 30, 1841–1846. [Google Scholar] [PubMed]
- Mordenti, J.J.; Lindstrom, R.E.; Tanzer, J.M. Activity of Sodium Ricinoleate Against In Vitro Plaque. J. Pharm. Sci. 1982, 71, 1419–1421. [Google Scholar]
- Gradishar, W.J.; Tjulandin, S.; Davidson, N.; Shaw, H.; Desai, N.; Bhar, P.; Hawkins, M.; O’Shaughnessy, J. Phase III trial of nanoparticle albumin-bound paclitaxel compared with polyethylated castor oil-based paclitaxel in women with breast cancer. J. Clin. Oncol. 2005, 23, 7794–7803. [Google Scholar]
- Burdock, G.A.; Carabin, I.G.; Griffiths, J.C. Toxicology and pharmacology of sodium ricinoleate. Food Chem. Toxicol. 2006, 44, 1689–1698. [Google Scholar]
- Mohini, Y.; Prasad, R.B.N.; Karuna, M.S.L.; Poornachandra, Y.; Ganesh Kumar, C. Synthesis and biological evaluation of ricinoleic acid-based lipoamino acid derivatives. Bioorg. Med. Chem. Lett. 2006, 26, 5198–5202. [Google Scholar]
- Mohini, Y.; Prasad, R.B.N.; Karuna, M.S.L.; Poornachandra, Y.; Ganesh Kumar, C. Synthesis, antimicrobial and anti-biofilm activities of novel Schiff base analogues derived from methyl-12-aminooctadec-9-enoate. Bioorg. Med. Chem. Lett. 2014, 24, 5224–5227. [Google Scholar]
- Mohini, Y.; Shiva, S.K.; Rachapudi, B.N.P.; Karuna, S.L.M.; Poornachandra, Y.; Ganesh Kumar, C. Synthesis of novel (Z)-methyl-12-aminooctadec-9-enoate-based phenolipids as potential antioxidants and chemotherapeutic agents. Eur. J. Lipid Sci. Technol. 2016, 118, 622–630. [Google Scholar]
- Reddy, K.K.; Ravinder, T.; Kanjilal, S. Synthesis and evaluation of antioxidant and antifungal activities of novel ricinoleate-based lipoconjugates of phenolic acids. Food Chem. 2012, 134, 2201–2207. [Google Scholar]
- Magnusson, C.D.; Haraldsson, G.G. Synthesis of enantiomerically pure (Z)-(2’R)-1-O-(2’-methoxyhexadec-4’-enyl)-sn-glycerol present in the liver oil of cartilaginous fish. Tetrahedron Asymmetry 2010, 21, 2841–2847. [Google Scholar]
- Carballeira, N.M. New advances in the chemistry of methoxylated lipids. Prog. Lipid Res. 2002, 41, 437–456. [Google Scholar] [PubMed]
- Hallgren, B.; Stallberg, G. Methoxy-substituted Glycerol Ethers Isolated from Greenland Shark Liver Oil. Acta Chem. Scand. 1967, 21, 1519–1529. [Google Scholar]
- Hayashi, K.; Takagi, T. Characteristics of Methoxy-Glyceryl Ethers from Some Cartilaginous Fish Liver Lipids. Bull. Jpn. Soc. Sci. Fish 1982, 48, 1345–1351. [Google Scholar]
- Hallgren, B.; Stallberg, G. Occurrence, synthesis and biological effects of substituted glycerol ethers. Prog. Chem. Fats Other Lipids 1978, 16, 45–58. [Google Scholar]
- Magnusson, C.D.; Haraldsson, G.G. Ether lipids. Chem. Phys. Lipids 2011, 164, 315–340. [Google Scholar]
- Pemha, R.; Pegnyemb, D.E.; Mosset, P. Synthesis of (Z)-(2’R)-1-O-(2’-methoxynonadec-10’-enyl)-sn-glycerol, a new analog of bioactive ether lipids. Tetrahedron 2012, 68, 2973–2983. [Google Scholar]
- Kleiman, R.; Spencer, G.F.; Earle, F.R. Boron trifluoride as catalyst to prepare methyl esters from oils containing unusual acyl groups. Lipids 1969, 4, 118–122. [Google Scholar]
- Davletbakova, A.M.; Maidanova, I.O.; Baibulatova, N.Z.; Dokichev, V.A.; Tomilov, Y.V.; Yunusov, M.S.; Nefedov, O.M. Catalytic cyclopropanation of ricinoleic acid derivatives with diazomethane. Russ. J. Org. Chem. 2001, 37, 608–611. [Google Scholar]
- Patel, V.R.; Dumancas, G.G.; Kasi Viswanath, L.C.; Maples, R.; Subong, B.J.J. Castor Oil: Properties, Uses, and Optimization of Processing Parameters in Commercial Production. Lipid Insights. 2016, 9, 1–12. [Google Scholar] [CrossRef]
- Tsukamoto, T.; Yoshiyama, T.; Kitazume, T. Enantioselective synthesis of β,β-difluoromalic acid via enzymic resolution of furyl substituted derivative. Tetrahedron Asymmetry 1991, 2, 759–762. [Google Scholar]
- Welh, J.T. Tetrahedron report number 221: Advances in the preparation of biologically active organofluorine compounds. Tetrahedron 1987, 43, 3123–3197. [Google Scholar]
- Das, S.; Chandrasekhar, S.; Yadav, J.S.; Grée, R. Ionic liquids as recyclable solvents for diethylaminosulfur trifluoride (DAST) mediated fluorination of alcohols and carbonyl compounds. Tetrahedron Lett. 2007, 48, 5305–5307. [Google Scholar]
- Hoye, T.R.; Hanson, P.R.; Vyvyan, J.R. A Practical Guide to First-Order Multiplet Analysis in 1H NMR Spectroscopy. J. Org. Chem. 1994, 59, 4096–4103. [Google Scholar]
- Hoye, T.R.; Zhao, H. A Method for Easily Determining Coupling Constant Values: An Addendum to “A Practical Guide to First-Order Multiplet Analysis in 1H NMR Spectroscopy”. J. Org. Chem. 2002, 67, 4014–4016. [Google Scholar]
- Pettit, R.K.; Weber, C.A.; Kean, M.J.; Hoffmann, H.; Pettit, G.R.; Tan, R.; Franks, K.S.; Horton, M.L. Microplate Alamar Blue Assay for Staphylococcus epidermidis Biofilm Susceptibility Testing. Antimicrob. Agents Chemother. 2005, 49, 2612–2617. [Google Scholar]
- Kuete, V.; Mbaveng, T.A.; Tsafack, M.; Beng, P.V.; Etoa, F.X.; Nkengfack, A.E.; Meyer, J.J.; Lall, N. Antitumor, antioxidant and antimicrobial activities of Bersama engleriana (Melianthaceae). J. Ethnopharmacol. 2008, 115, 494–501. [Google Scholar]
- Mbaveng, A.T.; Ngameni, B.; Kuete, V.; Simo, I.K.; Ambassa, P.; Roy, R.; Bezabih, M.; Etoa, F.X.; Ngadjui, B.T.; Abegaz, B.M.; et al. Antimicrobial activity of the crude extracts and five flavonoids from the twigs of Dorstenia barteri (Moraceae). J. Ethnopharmacol. 2008, 116, 483–489. [Google Scholar]
- Kuete, V.; Azebaze, A.G.B.; Mbaveng, A.T.; Nguemfo, E.L.; Tshikalange, E.T.; Chalard, P.; Nkengfack, A.E. Antioxidant, antitumor and antimicrobial activities of the crude extract and compounds of the root bark of Allanblackia floribunda. Pharm. Biol. 2011, 49, 57–65. [Google Scholar]
- Stenger, S.; Hanson, D.A.; Teitelbaum, R.; Dewan, P.; Niazi, K.R.; Froelich, C.J.; Ganz, T.; Thoma-Uszynsky, S.; Melian, A.; Bogdan, C.; et al. An antimicrobial activity of cytolytic T cells mediated by granulysin. Science 1998, 282, 121–125. [Google Scholar]
© 2020 by the authors. Licensee MDPI, Basel, Switzerland. This article is an open access article distributed under the terms and conditions of the Creative Commons Attribution (CC BY) license (http://creativecommons.org/licenses/by/4.0/).








