Next Article in Journal / Special Issue
XVI International Symposium on Marine Natural Products|XI European Conference on Marine Natural Products
Previous Article in Journal
Synthesis of Bioactive Silver Nanoparticles by a Pseudomonas Strain Associated with the Antarctic Psychrophilic Protozoon Euplotes focardii
Previous Article in Special Issue
New Benthic Cyanobacteria from Guadeloupe Mangroves as Producers of Antimicrobials
 
 
Font Type:
Arial Georgia Verdana
Font Size:
Aa Aa Aa
Line Spacing:
Column Width:
Background:
Article

Ubiquitin-Proteasome Modulating Dolabellanes and Secosteroids from Soft Coral Clavularia flava

1
Department of Marine Biotechnology and Resources, National Sun Yat-Sen University, Kaohsiung 80441, Taiwan
2
Department of Microbiology and Immunology, Kaohsiung Medical University, Kaohsiung 80708, Taiwan
*
Authors to whom correspondence should be addressed.
These authors contributed equally to this work.
Mar. Drugs 2020, 18(1), 39; https://doi.org/10.3390/md18010039
Submission received: 10 December 2019 / Revised: 27 December 2019 / Accepted: 30 December 2019 / Published: 3 January 2020
(This article belongs to the Special Issue Selected Papers from XVI MaNaPro and XI ECMNP)

Abstract

We performed a high-content screening (HCS) assay aiming to discover bioactive molecules with proteasome inhibitory activity. By structural elucidation, we identified six compounds purified from soft coral Clavularia flava, which potentiates proteasome inhibition. Chemical structure elucidation revealed they are dolabellane- and secosteroid-based compounds including a new dolabellane, clavinflol C (1), three known dolabellanes, stolonidiol (2), stolonidiol-17-acetate (3), and clavinflol B (4) as well as two new secosteroids, 3β,11-dihydroxy-24-methyl-9,11-secocholest-5-en-9,23-dione (5) and 3β,11-dihydroxy-24-methylene-9,11-secocholest-5-en-9,23-dione (6). All six compounds show less cytotoxicity than those of known proteasome inhibitors, bortezomib and MG132. In summary, the high-content measurements of control inhibitors, bortezomib and MG132, manifest the highest ratio >2 in high-content measurement. Of the isolated compounds, 2 and 5 showed higher activity, followed by 3 and 6, and then 1 and 4 exhibited moderate inhibition.

1. Introduction

Marine natural products harbor unique chemical structures and exhibit diverse biological activity with potential therapeutic utilities that merit investigation [1]. Synthetic drugs with proteasome inhibition, Velcade (bortezomib), Kyprolis (carfilzomib), and Ninlaro (ixazomib), exemplify therapeutic efficacy for the treatment of multiple myeloma [2,3]. In an effort to develop target-direct drug screening assay, we validated a sensitive and efficient high-content screening assay for discovery of proteasome inhibitor. Our initial efforts identified four natural products of soft corals cembrane-based compounds (sarcophytonin A, sarcophytoxide, sarcophine, and laevigatol A) which potentiate proteasome inhibition [4]. We postulate that proteasome inhibitors may benefit the ecosystem of soft coral reef holobiont. Therefore, we continued the drug screening in an effort to identify marine natural products purified from Formosan soft corals in our laboratory. In this study, we demonstrated the identification of six compounds with proteasome inhibitory activity. Structure elucidation revealed they are dolabellane- and secosteroid-based compounds including a new dolabellane, clavinflol C (1), three known dolabellanes, stolonidiol (2), stolonidiol-17-acetate (3), and clavinflol B (4) as well as two new secosteroids, 3β,11-dihydroxy-24-methyl-9,11-secocholest-5-en-9,23-dione (5) and 3β,11-dihydroxy-24-methylene-9,11-secocholest-5-en-9,23-dione (6) (Figure 1).

2. Results

2.1. Compound Purification and Structure Elucidation

Chromatographic fractionation of ethyl acetate solubles from C. flava afforded four dolabellane diterpenes, 14, as well as two secosteroids, 5 and 6. The three known dolabellane diterpenes, 24 were identified by comparison of their spectral data with those of reported literatures [5,6]. The structures of new compounds, 1, 5, and 6 were elucidated by analysis of 1D and 2D spectral data (Figures S1–S24).
Clavinflol C (1) had a molecular formula of C20H33O4Cl as deduced from HR-ESI-MS (Figure S1) and NMR data. Its IR bands (Figure S2) indicated the presence of exo-methylene (1,639, 961 cm−1) and hydroxyl (3343 cm−1) groups. The 1H NMR data of 1 (Figure S3) showed a pair of exo-methylene singlets ( δ 4.91, 5.00) and an AB quartet for hydroxy-methyl group ( δ 3.39, 3.82, J = 11.6 Hz), three methyl singlets ( δ 1.03, 1.32, 1.40), an oxygenated methine proton ( δ 4.18), and a chlorinated methine proton ( δ 4.00). To determine the proton sequence of 1, a COSY spectrum (Figure S6) revealed the connectiveness of H-2/H-3, H-5/H-6/H-7, H-9/H-10, and H-13/H-14. The 13C NMR (Figure S4) and HSQC spectra (Figure S5) of 1 showed signals for three methyl carbons, eight methylene carbons including the exomethylene ( δ 113.9, 147.7), two methine carbons, and five quaternary carbons. Detailed analyses of the 1H, 13C NMR, and HSQC spectra revealed that 1 is a dolabellane diterpene with a 5/11 membered ring and a tetrasubstituted olefin at the C-11/C-12 positions. This type of skeleton was further confirmed from the observation of long range correlations of H2-16/C-3, C-5; H2-2/C-4; H2-7/C-8, C-17; H-10/C-1, C-7, C-8, C-9, C-11, H3-15/C-1, C-2, C-11, C-13; H2-13/C-1, C-11, C-12; H2-14/ C-11, C-12; H3-19/C-12, C-18, C-20; H3-20/C-12, C-18, C-19 in the HMBC spectrum (Figure S7). The relative stereochemistry of 1 was determined from NOESY experiments as illustrated in Figure S8. Assuming that H3-15 is α-oriented, key NOESY correlations from H3-15 to H-10 and from H-7 to H-10 suggested that H-10 and H-7 were in the α-orientation. NOESY correlations between H-9a/H-6a and H-9b/H-17b suggested that OH-8 was in the β-orientation.
Compound 5 was isolated as a white amorphous powder, showing a pseudo-molecular ion peak at m/z 469.32880 [M + Na]+ in the HR-ESI-MS (Figure S9), consistent with the molecular formula C28H46 NaO4 (calculated for 469.32883), requiring six degrees of unsaturation. The presence of an oxymethylene and a keto carbonyl carbon was confirmed by the 1H NMR (Figure S11) (δH 3.88 (m, H-11a) and 3.74 (m, H-11b)) and 13C NMR (Figure S12) (δC 59.2 (CH2), 212.5 (qC), and 216.2 (qC)) data, as well as from the IR absorption (Figure S10) at 3396 and 1704 cm1. The diagnostic NMR signals of a 9,11-secosterol were confirmed by the 1H–1H COSY correlation (Figure S14) from H2-11 to H2-12 as well as HMBC correlations (Figure S15) from H3-18 to C-12, C-13, C-14, and C-17; from H3-19 to C-1, C-5, C-9, and C-10. The NMR features of 5 were analogous to those of 3,11-dihydroxy-24-methyl-9,11-secocholest-5-en-9-one [7], except for the presence of a ketone (δC 201.1 (qC)) at C-23. Based on NOESY correlations (Figure S16) of H3-19/H-1, H3-19/H-2, H3-19/H-4, H3-19/H-8, H-3/H-1, H-3/H-2, H-3/H-4, H-8/H3-18, H-8/H-7, H3-18/H-15, H3-18/H-16, H3-18/H-20, and H-14/H-7, the relative stereochemistry at C-3, C-8, C-10, C-13, C-14, C-17, and C-20 in 5 was found to be the same as those of 3β,11-dihydroxy-24-methyl-9,11-secocholest-5-en-9-one [7]. On the basis of the above-mentioned findings, the structure of 5 was consistent with the structure shown as 3β,11-dihydroxy-24-methyl-9,11-secocholest-5-en-9,23-dione.
Compound 6 appeared as a white amorphous powder like 5. Careful inspection of the 2D NMR spectroscopic data (Figures S21–23) of 6 led to the establishment of the same nucleus as that of 5. The NMR spectroscopic data (Figures S19 and S20) of 6 were analogous to those of 5, except for NMR signals due to the conjugated enone in 6. The location of the conjugated enone was identified by the HMBC correlations (Figure S23) from the methylene protons (H2-22) to the carbonyl carbon (C-23) and from H3-26, 27 to C-24, securing the structure of 6, which was shown as 3β,11-dihydroxy-24-methylene-9,11-secocholest-5-en-9,23-dione.

2.2. Identification of Marine Compounds Showed High-Content Characteristics of Proteasome Inhibition

The proteasome inhibition assay was performed by following the standard operation protocol of high-content screening (HCS) of EGFP-UL76 aggresome as described previously [4]. A stringent proteasome inhibition was considered as the HCS measurements of marine compounds with an increase greater than 0.2-fold relative to those of the control without treatment. Under this validity criterion, we demonstrated the identification of six compounds with proteasome inhibition and their effects were statistically significant. Four compounds with dolabellane-based structures designated clavinflol C (1), stolonidiol (2), stolonidiol-17-acetate (3), and clavinflol B (4) (Figure 2 and Figure 3) [5,8]. Additionally, two unprecedent compounds with secosteroid-based structures designated compound 5 and 6 (Figure 4 and Figure 5). Prior to HCS experiments, the in vitro cell-based MTT (3-(4,5-Dimethylthiazol-2-yl)-2,5-diphenyltetrazolium bromide) cytotoxicity assays were performed against four cell lines: A549 (human lung adenocarcinoma), HT-29 (human colon adenocarcinoma), and P-388 (mouse lymphocytic leukemia). Plasmid pEGFP-UL76 transfected HEK293T (human embryonic kidney large-T antigen-transformed) cell expressing EGFP-UL76 for HCS assay was assessed the ED50 using both MTT and high-content nuclear count measurements (Table S1). The ED50 values for respective compounds were as follows: compound 1, >50 μg/mL, >50 μg/mL, >50 μg/mL, >25 μg/mL, and 6.14 μg/mL; stolonidiol (2), 3.9 μg/mL, >50 μg/mL, 0.6 μg/mL, >25 μg/mL, and >25 μg/mL; stolonidiol-17-acetate (3), >50 μg/mL, >50 μg/mL, >50 μg/mL, >25 μg/mL, and 19.56 μg/mL; clavinflol B (4), >50 μg/mL, >50 μg/mL, >50 μg/mL, >25 μg/mL, and 21.33 μg/mL; compound 5, >50 μg/mL, 3.2 μg/mL, 4.6 μg/mL, 12.28 μg/mL, and 12.13 μg/mL; compound 6, 5.3 μg/mL, >50 μg/mL, 4.8 μg/mL, >25 μg/mL, and 10.92 μg/mL. Both the MTT assay and high-content nucleus counts were performed to assess the ED50 values of HEK293T cells expressing EGFP-UL76 for bortezomib which were 11.95 nM and 24.29 nM and for MG132 were 1.18 μM and 1.91 μM, respectively. Clavinflol B (4) showed moderate cytotoxicity in previous reports, which was consistent with our data (Table S1) [6].
Following the HCS assay, the high-content EGFP-UL76 aggresome measurements integrated intensity and average intensity per cell were analyzed and the relative ratios were obtained by normalization to the control. For the ratio of EGFP-UL76 aggresome integrated intensity per cell (Figure 2A and Figure 3A, top panels), the highest ratios for compounds 1, 2, 3, 4, 5, and 6 were 1.22 (p = 0.0390), 2.12 (p < 0.0010), 1.74 (p = 0.0020), 1.33 (p < 0.0010), 2.03 (p < 0.0010), and 1.72 (p < 0.0010), respectively. The highest ratios of average intensity per cell presented for compounds 1, 2, 3, 4, 5, and 6 were 1.32 (p = 0.0371), 1.75 (p = 0.0021), 1.40 (p < 0.0010), 1.19 (p = 0.0117), 1.85 (p < 0.0010), and 1.34 (p = 0.0089), respectively (Figure 2A and Figure 3A, bottom panels). Furthermore, all these increases in ratios achieved statistical significance.
Consequently after the assay procedure, we performed Western blotting analysis and q-PCR experiments to examine the levels of EGFP-UL76 protein and mRNA transcript under the same experimental conditions (Figure 2B,C and Figure 3B,C). In these two experiments, cells treated with bortezomib 25 nM and MG132 1 μM were used in parallel as proteasome inhibitory controls. We obtained similar results that the ratios of EGFP-UL76/tubulin under treatment with bortezomib and MG132 showed no difference from the control level, which was consistent with a previous report [4].
Compound 1 did not affect protein ratios of EGFP-UL76/tubulin proteins at 1, 5, and 25 μg/mL of any kind. However, for cells treated with compound 2 at 1, 5, and 25 μg/mL, the ratios were 1.00 (p = 0.9466), 0.91 (p = 0.0359), and 0.88 (p < 0.0010), respectively (Figure 2B and Figure 3B). Nevertheless, the cytotoxic ED50 for compound 2 was greater than 25 μg/mL for HEK293T cell in both assays (Table S1). The protein ratios for compound 3 were 0.91 (p < 0.0010), 0.96 (p = 0.1484), and 0.86 (p < 0.0010), respectively. The protein ratios for compound 4 were 0.92 (p = 0.0045), 0.95 (p = 0.0420), and 0.86 (p = 0.0014), respectively. However, HEK293T cells treated with compound 3 and 4 at 25 μg/mL exhibited a lighter toxicity with ED50 values of 19.56 and 21.33 μg/mL, respectively. Compound 5 exhibited significant reduction at 5 and 25 μg/mL; the ratios were 0.78 (p < 0.0010) and 0.15 (p < 0.0010), respectively, which is consistent with cytotoxicity ED50 values (Table S1). Compound 6 did not affect protein ratios at any tested concentrations. The results from both the quantitative PCR and Western blotting analyses revealed that in the tested compound treatment neither the protein nor the mRNA ratios for EGFP-UL76/GADPH were elevated (Figure 2C and Figure 3C). Taking all these results in account, we suggested that the increase in EGFP-UL76 high-content measurement was likely due to the modulation of protein conformation.
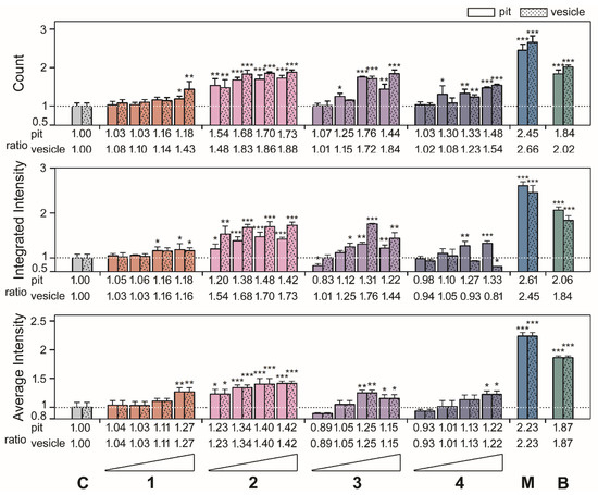
After the results, we investigated the phenotypic size of aggresomes and analyzed the high-content data from Figure 2 and Figure 3 by diameter with methods described previously [4]. As shown in the top panels of Figure 4 and Figure 5, compounds 1, 2, 3, 4, 5, and 6 exhibited the highest ratio increases for count, which were as follows: for pit aggresomes: 1.18 (p = 0.0331), 1.73 (p < 0.0010), 1.76 (p < 0.0010), 1.48 (p < 0.0010), 1.29 (p = 0.0236), and 1.32 (p = 0.0062), respectively; for vesicle aggresomes, 1.43 (p = 0.0028), 1.88 (p < 0.0010), 1.84 (p < 0.0010), 1.54 (p < 0.0010), 1.53 (p < 0.0010), and 1.37 (p = 0.0071), respectively. Similar profiles were observed for the ratios of integrated intensity per cell (Figure 4 and Figure 5, middle panels). Compounds 1, 2, 3, 4, 5, and 6 showed the highest ratio increases which were as follows: for pit aggresomes, 1.18 (p = 0.0130), 1.48 (p < 0.0010), 1.31 (p = 0.0055), 1.33 (p < 0.0010), 1.41 (p < 0.0010), and 1.21 (p = 0.0097), respectively; for vesicle aggresomes, 1.16 (p = 0.0220), 1.73 (p < 0.0010), 1.76 (p < 0.0010), 1.05 (p = 0.5352), 1.29 (p = 0.0236), and 1.32 (p =0.0063), respectively. The ratios of average intensity per cell were the same for pit and vesicle aggresomes (Figure 4 and Figure 5, bottom panels). For compounds 1, 2, 3, 4, 5, and 6 showed the highest increases in ratios observed which were as follows: 1.27 (p = 0.0099), 1.42 (p < 0.0010), 1.25 (p = 0.0034), 1.22 (p = 0.0628), 1.42 (p < 0.0010), and 1.19 (p = 0.0135), respectively.

3. Discussion

During the HCS we assessed dolabellanes-based clavinflol C (1), stolonidiol (2), and stolonidiol-17-acetate (3) and clavinflol B (4) with proteasome inhibition activities. Several groups demonstrated that stolonidiol (2) and stolonidiol-17-acetate (3) enhance the activities of choline acetyl transferase (ChAT) [8], which likely is mediated by protein kinase C [9]. ChAT catalyzes the production of acetylcholine which is an essential neurotransmitter. Moreover, proteasome inhibitor MG132 stabilizes ChAT steady-state protein levels and increases the enzyme activity [10]. Therefore, we reason that stolonidiol may mediate the elevation of ChAT activity via both pathways in the inhibition of proteasome and the activation of protein kinase C [9,10,11]. Among the four dolabellanes-based compounds with stolonidiol (2) 5 μg/mL treatment, the EGFP-UL76 displayed the highest increase ratios of 2.12 and 1.75 of integrated and average intensity, respectively (Figure 2). Consistent to this result, the tolonidiol (2) potentiated the highest ratios of aggresome pit and vesicle integrated and average intensities (Figure 4). For the remaining three, increased ratios were moderate, greater than 10% increase, for all the high-content measurements. Compared to compounds 1 and 4, compound 2 and 3 show a lack of chloride at C-6, which may contribute to a less cytotoxic effect for HEK293T cell and increased efficacy for proteasome inhibition. Acetylation at C-17 of compound 3 may reduce activity in proteasome inhibition.
Overviewing the known proteasome inhibitors with steroid structure were polyhydroxylated sterol-based agosterols [12] and secosteroid-based physalin B and C [13,14]. Endogenous 25-hydroxyvitamin D (25OHDO) was identified to impair sterol regulatory element-binding proteins (SREBPs) activation by inducing proteolytic processing and ubiquitin-mediated degradation of SREBP cleavage-activating protein (SCAP) [15]. In this study, secosteroid-based compound 6 showed the highest inhibitory measurements of EGFP-UL76 integrated and average intensities and at 1 μg/mL (Figure 3), whereas with 5 μg/mL treatment the EGFP-UL76 exhibited the highest increase ratios of pit and vesicle measurements (Figure 5). As for the secosteroid related compound 5, it showed less potent of proteasome inhibition with 25 μg/mL treatment which exhibited comparable activities to those of compound 6. Compound 6 with a conjugated double bond may contribute cytotoxicity to HEK293T cells and display a significant reduction of all high-content measurements at 25 μg/mL.

4. Materials and Methods

4.1. Compounds 16

In the present study, compounds 16 (Figure 1) were isolated from Formosan soft coral Clavularia flava (wet weight of 1.1 kg), which was collected at Green Island, Taiwan. Briefly, corals were minced and exhaustively extracted with acetone. The organic extract was partitioned between ethyl acetate and water, and the ethyl acetate layer was separated further over a normal phase silica gel by column chromatography eluted with n-hexane, ethyl acetate, and methanol to yield 15 fractions. Fraction 14 (116.5 mg) eluted with n-hexane–EtOAc (1:5) was subjected to a RP-18 gravity column (MeOH/H2O, 70:30 to 100% MeOH) to separate 6 subfractions. Subsequently, a subfraction 14-3 (23 mg) was purified by RP-18 HPLC (50% acetonitrile in H2O) to obtain 1 (10.2 mg) and 2 (3.2 mg). Fraction 13 (96.7 mg) eluted with n-hexane–EtOAc (1:3) was subjected to column chromatography on silica gel using n-hexane–EtOAc gradient (10:1 to 1:10) for elution to give 11 subfractions. Subsequently, a subfraction 13-6 (22 mg) was purified by RP-18 HPLC (60% MeOH in H2O) to obtain 3 (5.2 mg). Fraction 15 (86.5 mg) eluted with n-hexane–EtOAc (1:10) was subjected to a RP-18 gravity column (MeOH/H2O, 70:30 to 100% MeOH) to separate 7 subfractions. Subsequently, a subfraction 15-4 (20 mg) was purified by RP-18 HPLC (50% ACN in H2O) to obtain 4 (2.4 mg), 5 (3.2 mg), and 6 (3.0 mg).

4.2. High-Content Screening (HCS) Assay for Proteasome Inhibition

We followed the HCS assay routinely conducted in the lab. In brief, the complete assay includes a series of experiments [4]. Experiments were sequentially performed: (1) the DNA transfection into cell culture with compound treatment, (2) cells fixation, (3) image acquisition using an ImageXpress Micro Widefield HCS system (Molecular Device, San Jose, CA, USA), (4) high-content measurements analyzed by modules of MetaExpress, Cell Scoring and Multi-Wavelength Cell Scoring, (5) Western blotting imaging and densitometric analysis, and (6) RNA purification and quantitative PCR.

Supplementary Materials

The following are available online at https://www.mdpi.com/1660-3397/18/1/39/s1, Figure S1. HRESIMS of 1; Figure S2. IR spectrum of 1; Figure S3. 1H NMR spectrum (400 MHz) of 1 in CDCl3; Figure S4. 13C NMR spectrum (100 MHz) of 1 in CDCl3; Figure S5 HSQC spectrum (400 MHz) of 1 in CDCl3; Figure S6 COSY spectrum (400 MHz) of 1 in CDCl3; Figure S7 HMBC spectrum (400 MHz) of 1 in CDCl3; Figure S8 NOESY spectrum (400 MHz) of 1 in CDCl3; Figure S9. HRESIMS of 5 Figure S10. IR spectrum of 5 Figure S11. 1H NMR spectrum (400 MHz) of 5 in C6D6; Figure S12. 13C NMR spectrum (100 MHz) of 5 in C6D6; Figure S13. HSQC spectrum (400 MHz) of 5 in C6D6; Figure S14. COSY spectrum (400 MHz) of 5 in C6D6; Figure S15. HMBC spectrum (400 MHz) of 5 in C6D6; Figure S16. NOESY spectrum (400 MHz) of 5 in C6D6; Figure S17. HRESIMS of 6 Figure S18. IR spectrum of 6 Figure S19. 1H NMR spectrum (400 MHz) of 6 in C6D6; Figure S20. 13C NMR spectrum (100 MHz) of 6 in C6D6; Figure S21. HSQC spectrum (400 MHz) of 6 in C6D6; Figure S22. COSY spectrum (400 MHz) of 6 in C6D6; Figure S23. HMBC spectrum (400 MHz) of 6 in C6D6; Figure S24. NOESY spectrum (400 MHz) of 6 in C6D6, Table S1: Evaluation of ED50 cytotoxicity of tested compounds.

Author Contributions

Conceptualization, S.-K.W. and C.-Y.D.; data curation, S.-K.W.; formal analysis, X.-H.L. and C.-Y.C.; funding acquisition, S.-K.W. and C.-Y.D.; investigation, X.-H.L. and C.-Y.C.; writing—original draft, S.-K.W.; writing—review and editing, C.-Y.D. All authors have read and agreed to the published version of the manuscript.

Funding

This research was supported by grants from the Ministry of Science and Technology, Taiwan, Republic of China (MOST108-2320-B110-005) and from Kaohsiung Medical University (NSYSU-KMU 108-P018) awarded to C.-Y.D. and S.-K.W.

Conflicts of Interest

The authors declare no conflict of interest.

References

  1. Abdel-Lateff, A.; Alarif, W.M.; Alburae, N.A.; Algandaby, M.M. Alcyonium octocorals: Potential source of diverse bioactive terpenoids. Molecules 2019, 24, 1370. [Google Scholar] [CrossRef] [PubMed]
  2. Shirley, M. Ixazomib: First global approval. Drugs 2016, 76, 405–411. [Google Scholar] [CrossRef] [PubMed]
  3. Sledz, P.; Baumeister, W. Structure-driven developments of 26S proteasome inhibitors. Annu. Rev. Pharmacol. Toxicol. 2016, 56, 191–209. [Google Scholar] [CrossRef] [PubMed]
  4. Ling, X.H.; Wang, S.K.; Huang, Y.H.; Huang, M.J.; Duh, C.Y. A High-content screening assay for the discovery of novel proteasome inhibitors from Formosan soft corals. Mar. Drugs 2018, 16, 395. [Google Scholar] [CrossRef] [PubMed]
  5. Mori, K.; Iguchi, K.; Yamada, N.; Yamada, Y.; Inouye, Y. Stolonidiol, a new marine diterpenoid with a strong cytotoxic activity from the Japanese soft coral. Tetrahedron Lett. 1987, 28, 5673–5676. [Google Scholar] [CrossRef]
  6. Shen, Y.C.; Pan, Y.L.; Ko, C.L.; Kuo, Y.H.; Chen, C.Y. New dolabellanes from the Taiwanese soft coral Clavularia inflata. J. Chin. Chem. Soc.-Taip. 2003, 50, 471–476. [Google Scholar] [CrossRef]
  7. Kazlauskas, R.; Murphy, P.T. Stolonidiol, a new marine diterpenoid with a strong cytotoxic activity from the Japanese soft coral. Aust. J. Chem. 1982, 35, 69–75. [Google Scholar] [CrossRef]
  8. Yabe, T.; Yamada, H.; Shimomura, M.; Miyaoka, H.; Yamada, Y. Induction of choline acetyltransferase activity in cholinergic neurons by stolonidiol: Structure-activity relationship. J. Nat. Prod. 2000, 63, 433–435. [Google Scholar] [CrossRef] [PubMed]
  9. Mason, J.W.; Schmid, C.L.; Bohn, L.M.; Roush, W.R. Stolonidiol: Synthesis, target identification, and mechanism for choline acetyltransferase activation. J. Am. Chem. Soc. 2017, 139, 5865–5869. [Google Scholar] [CrossRef] [PubMed]
  10. Morey, T.M.; Albers, S.; Shilton, B.H.; Rylett, R.J. Enhanced ubiquitination and proteasomal degradation of catalytically deficient human choline acetyltransferase mutants. J. Neurochem. 2016, 137, 630–646. [Google Scholar] [CrossRef] [PubMed]
  11. Dobransky, T.; Doherty-Kirby, A.; Kim, A.R.; Brewer, D.; Lajoie, G.; Rylett, R.J. Protein kinase C isoforms differentially phosphorylate human choline acetyltransferase regulating its catalytic activity. J. Biol. Chem. 2004, 279, 52059–52068. [Google Scholar] [CrossRef] [PubMed]
  12. Tsukamoto, S.; Tatsuno, M.; van Soest, R.W.; Yokosawa, H.; Ohta, T. New polyhydroxy sterols: Proteasome inhibitors from a marine sponge Acanthodendrilla sp. J. Nat. Prod. 2003, 66, 1181–1185. [Google Scholar] [CrossRef] [PubMed]
  13. Ausseil, F.; Samson, A.; Aussagues, Y.; Vandenberghe, I.; Creancier, L.; Pouny, I.; Kruczynski, A.; Massiot, G.; Bailly, C. High-throughput bioluminescence screening of ubiquitin-proteasome pathway inhibitors from chemical and natural sources. J. Biomol. Screen 2007, 12, 106–116. [Google Scholar] [CrossRef] [PubMed]
  14. Vandenberghe, I.; Creancier, L.; Vispe, S.; Annereau, J.P.; Barret, J.M.; Pouny, I.; Samson, A.; Aussagues, Y.; Massiot, G.; Ausseil, F.; et al. A novel inhibitor of the ubiquitin-proteasome pathway, triggers NOXA-associated apoptosis. Biochem. Pharmacol. 2008, 76, 453–562. [Google Scholar] [CrossRef] [PubMed]
  15. Asano, L.; Watanabe, M.; Ryoden, Y.; Usuda, K.; Yamaguchi, T.; Khambu, B.; Takashima, M.; Sato, S.I.; Sakai, J.; Nagasawa, K.; et al. 25-Hydroxyvitamin D, regulates lipid metabolism by inducing degradation of SREBP/SCAP. Cell Chem. Biol. 2017, 24, 207–217. [Google Scholar] [CrossRef] [PubMed]
Figure 1. Marine natural products exhibit proteasome inhibition by high-content assays. Dolabellanes are clavinflol C (1), stolonidiol (2), stolonidiol-17-acetate (3), and clavinflol B (4). Secosteroids are 3β,11-dihydroxy-24-methyl-9,11-secocholest-5-en-9,23-dione (5) and 3β,11-dihydroxy-24-methylene-9,11-secocholest-5-en-9,23-dione (6).
Figure 1. Marine natural products exhibit proteasome inhibition by high-content assays. Dolabellanes are clavinflol C (1), stolonidiol (2), stolonidiol-17-acetate (3), and clavinflol B (4). Secosteroids are 3β,11-dihydroxy-24-methyl-9,11-secocholest-5-en-9,23-dione (5) and 3β,11-dihydroxy-24-methylene-9,11-secocholest-5-en-9,23-dione (6).
Marinedrugs 18 00039 g001
Figure 2. The assessment of proteasome inhibitory activity of marine dolabellanes-based compounds (1, 2, 3, and 4) using a standard operation protocol of high-content EGFP-UL76 aggresomes screening assay. Pure compounds modulated high-content measurements of EGFP-UL76 aggresomes. (A) Assessment of the integrated and average intensities of EGFP-UL76 aggresomes (1 to 50 μm) per cell. The tested concentrations were 0.2, 1, 5, and 25 μg/mL for pure compounds 1, 2, 3, and 4, respectively. The integrated (top panel) and average (bottom panel) intensities per cell were measured, and the ratios were obtained by normalization to the control without proteasome inhibitor treatment, which is denoted by C throughout the text. (B) Validation of the EGFP-UL76 protein levels upon the addition of the tested marine compounds. Western blot imaging and densitometric analyses were performed to quantitate the EGFPUL76/tubulin protein ratio with the addition of tested compound treatment at 1, 5, and 25 μg/mL. The molecular mass markers are shown on the left in kDa. (C) Quantitative PCR was conducted to assess the transcript ratio of EGFP-UL76/GAPDH in HEK293T cells treated with pure compounds at 1, 5, and 25 μg/mL. The high-content measurements of EGFP-UL76 with the addition of the proteasome inhibitors, bortezomib (25 nM, denoted B) and MG132 (1 μM, denoted M), were used as positive controls. All data points are the averages of at least three repetitive experiments. The error bars indicate standard deviations. The following symbols are used to indicate statistical significance throughout the text: * 0.01 < p < 0.05; ** 0.001 < p < 0.01; *** p < 0.001.
Figure 2. The assessment of proteasome inhibitory activity of marine dolabellanes-based compounds (1, 2, 3, and 4) using a standard operation protocol of high-content EGFP-UL76 aggresomes screening assay. Pure compounds modulated high-content measurements of EGFP-UL76 aggresomes. (A) Assessment of the integrated and average intensities of EGFP-UL76 aggresomes (1 to 50 μm) per cell. The tested concentrations were 0.2, 1, 5, and 25 μg/mL for pure compounds 1, 2, 3, and 4, respectively. The integrated (top panel) and average (bottom panel) intensities per cell were measured, and the ratios were obtained by normalization to the control without proteasome inhibitor treatment, which is denoted by C throughout the text. (B) Validation of the EGFP-UL76 protein levels upon the addition of the tested marine compounds. Western blot imaging and densitometric analyses were performed to quantitate the EGFPUL76/tubulin protein ratio with the addition of tested compound treatment at 1, 5, and 25 μg/mL. The molecular mass markers are shown on the left in kDa. (C) Quantitative PCR was conducted to assess the transcript ratio of EGFP-UL76/GAPDH in HEK293T cells treated with pure compounds at 1, 5, and 25 μg/mL. The high-content measurements of EGFP-UL76 with the addition of the proteasome inhibitors, bortezomib (25 nM, denoted B) and MG132 (1 μM, denoted M), were used as positive controls. All data points are the averages of at least three repetitive experiments. The error bars indicate standard deviations. The following symbols are used to indicate statistical significance throughout the text: * 0.01 < p < 0.05; ** 0.001 < p < 0.01; *** p < 0.001.
Marinedrugs 18 00039 g002
Figure 3. The assessment of proteasome inhibitory activity of marine secosteroid-based compounds (5 and 6) using a standard operation protocol of high-content EGFP-UL76 aggresomes screening assay as described in Figure 2 legend.
Figure 3. The assessment of proteasome inhibitory activity of marine secosteroid-based compounds (5 and 6) using a standard operation protocol of high-content EGFP-UL76 aggresomes screening assay as described in Figure 2 legend.
Marinedrugs 18 00039 g003
Figure 4. Classification of the high-content measurements of EGFP-UL76 aggresomes by size with marine dolabellanes (1, 2, 3, and 4) at 0.2, 1, 5, and 25 μg/mL treatment. Pit and vesicle denote aggresomes 1 to 5 μm and 5 to 20 μm in diameter, respectively. Measurements of pit and vesicle aggresomes per cell were as follows: count number, integrated intensity, and average intensity. The relative ratio was normalized to control values without pure compound treatment. All data points are the averages of at least three repetitive experiments. The error bars indicate standard deviations. The following symbols are used to indicate statistical significance throughout the text: * 0.01 < p < 0.05; ** 0.001 < p < 0.01; *** p < 0.001.
Figure 4. Classification of the high-content measurements of EGFP-UL76 aggresomes by size with marine dolabellanes (1, 2, 3, and 4) at 0.2, 1, 5, and 25 μg/mL treatment. Pit and vesicle denote aggresomes 1 to 5 μm and 5 to 20 μm in diameter, respectively. Measurements of pit and vesicle aggresomes per cell were as follows: count number, integrated intensity, and average intensity. The relative ratio was normalized to control values without pure compound treatment. All data points are the averages of at least three repetitive experiments. The error bars indicate standard deviations. The following symbols are used to indicate statistical significance throughout the text: * 0.01 < p < 0.05; ** 0.001 < p < 0.01; *** p < 0.001.
Marinedrugs 18 00039 g004
Figure 5. Classification of the high-content measurements of EGFP-UL76 aggresomes by size with marine secosteroid-based compounds (5 and 6). Treatment as described in Figure 4 legend.
Figure 5. Classification of the high-content measurements of EGFP-UL76 aggresomes by size with marine secosteroid-based compounds (5 and 6). Treatment as described in Figure 4 legend.
Marinedrugs 18 00039 g005

Share and Cite

MDPI and ACS Style

Chiu, C.-Y.; Ling, X.-H.; Wang, S.-K.; Duh, C.-Y. Ubiquitin-Proteasome Modulating Dolabellanes and Secosteroids from Soft Coral Clavularia flava. Mar. Drugs 2020, 18, 39. https://doi.org/10.3390/md18010039

AMA Style

Chiu C-Y, Ling X-H, Wang S-K, Duh C-Y. Ubiquitin-Proteasome Modulating Dolabellanes and Secosteroids from Soft Coral Clavularia flava. Marine Drugs. 2020; 18(1):39. https://doi.org/10.3390/md18010039

Chicago/Turabian Style

Chiu, Che-Yen, Xue-Hua Ling, Shang-Kwei Wang, and Chang-Yih Duh. 2020. "Ubiquitin-Proteasome Modulating Dolabellanes and Secosteroids from Soft Coral Clavularia flava" Marine Drugs 18, no. 1: 39. https://doi.org/10.3390/md18010039

APA Style

Chiu, C.-Y., Ling, X.-H., Wang, S.-K., & Duh, C.-Y. (2020). Ubiquitin-Proteasome Modulating Dolabellanes and Secosteroids from Soft Coral Clavularia flava. Marine Drugs, 18(1), 39. https://doi.org/10.3390/md18010039

Note that from the first issue of 2016, this journal uses article numbers instead of page numbers. See further details here.

Article Metrics

Back to TopTop