Biomolecular Composition and Revenue Explained by Interactions between Extrinsic Factors and Endogenous Rhythms of Saccharina latissima
Abstract
:1. Introduction
2. Methods and Data
2.1. Literature Review of the Biomolecular Composition of S. latissima
2.2. Literature Search of Physiological Characteristics of S. latissima
2.3. Revenue Analysis of Biorefinery Output Products
3. Results
3.1. Seasonal and Spatial Variations in Biomolecular Composition of S. latissima
3.1.1. Dry Biomass Content on a Fresh Biomass Basis
3.1.2. Content of Biomolecules on a Dry Biomass Basis
Ash
Alginate
Mannitol
Fucoidans
Laminarin
Protein
Lipids
Phenolics
3.2. Endogenous Rhythms and Extrinsic Factors
3.2.1. Endogenous Rhythms under Natural Conditions
Functional Form of S. latissima
Internal C and N Reserves of S. latissima
3.2.2. Extrinsic Factors and Potential Stresses
Irradiance
Temperature
Salinity
Nutrients
Water Motion
Biofouling
3.3. Applications of Extract Products and Associated Revenues
3.3.1. Functionalities and Applications of Seaweed Biomolecules
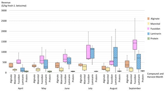
3.3.2. Revenues Associated with Biomolecules Extracted from S. latissima
4. Discussion
4.1. Farming Practices for Biomass Value Optimization
4.1.1. Encourage Growth by Careful Timing of Production Activities
4.1.2. Improve Photosynthesis by Smart System Design
4.1.3. Achieve the Desired Biomolecular Composition by Flexible At-Sea Management
4.2. An Integrated Framework to Maximize Ecosystem Services Delivered by Seaweed Cultivation and Harvest
4.2.1. Macroalgal Business Actors: Opportunities and Challenges in Developing the Blue Economy
4.2.2. Local Authorities: Valorization of Seaweed Farming’s Effort in Water Quality Restoration
4.2.3. Local Authorities: Alignment of the Macroalgal Bioeconomy with Long-Term Sustainability and Resilience
4.2.4. Research Institutes: Knowledge Sharing between all Stakeholders according to a Monitoring Program
5. Conclusions
Supplementary Materials
Author Contributions
Funding
Acknowledgments
Conflicts of Interest
Abbreviations
| ARA | Arachidonic acid |
| ATP | Adenosine triphosphate |
| BSAP | Baltic Sea Action Plan |
| C | Carbon |
| CSP | Crude sulfated polysaccharides |
| DB | Dry biomass |
| DHA | Docosahexaenoic acid |
| DS | Degree of sulfation |
| EPA | Eicosapentaenoic acid |
| EU | European Union |
| FB | Fresh biomass |
| F6P | Fructose-6-phosphate |
| G | L-guluronic acid |
| GAE | Gallic acid equivalents |
| IMTA | Integrated multi-trophic aquaculture |
| LC-PUFA | Long-chain polyunsaturated fatty acids |
| MP | Market price |
| MSG | Monosodium glutamate |
| M | D-mannuronic acid |
| N | Nitrogen |
| P | Phosphorous |
| PUFA | Polyunsaturated fatty acids |
| R | Revenue |
| SDA | Stearidonic acid |
| SDGs | Sustainable development goals |
| SFA | Saturated fatty acids |
| TAA | Total amino acids |
| TFA | Total fatty acids |
| TPC | Total phenolic compounds |
| TRL | Technology readiness level |
| UV | Ultraviolet |
| WFD | Water Framework Directive |
Appendix A. PRISMA Flow Diagram of the Literature Screening Processes

References
- Holdt, S.L.; Kraan, S. Bioactive compounds in seaweed: Functional food applications and legislation. J. Appl. Phycol. 2011, 23, 543–597. [Google Scholar] [CrossRef]
- McHugh, D.J. A Guide to the Seaweed Industry; Food and Agriculture Organization of the United Nations: Rome, Italy, 2003; pp. 12–22. [Google Scholar]
- Bak, U.G.; Mols-Mortensen, A.; Gregersen, O. Production method and cost of commercial-scale offshore cultivation of kelp in the Faroe Islands using multiple partial harvesting. Algal Res. 2018, 33, 36–47. [Google Scholar] [CrossRef]
- Freitas, J.R.; Morrondo, J.M.S.; Ugarte, J.C. Saccharina latissima (Laminariales, Ochrophyta) farming in an industrial IMTA system in Galicia (Spain). J. Appl. Phycol. 2016, 28, 377–385. [Google Scholar] [CrossRef]
- Flavin, K.; Flavin, N.; Flahive, B. Kelp Farming Manual: A Guide to the Processes, Techniques, and Equipment for Farming Kelp in New England Waters; Ocean Approved LLC: Saco, ME, USA, 2013; pp. 1–123. [Google Scholar]
- Lamb, J.J.; Sarker, S.; Hjelme, D.R.; Lien, K.M. Bioethanol production using enzymatically hydrolysed Saccharina latissima. J. Adv. Microbiol. 2018, 8, 378. [Google Scholar] [CrossRef]
- Marinho, G.S.; Alvarado-Morales, M.; Angelidaki, I. Valorization of macroalga Saccharina latissima as novel feedstock for fermentation-based succinic acid production in a biorefinery approach and economic aspects. Algal Res. 2016, 16, 101–109. [Google Scholar] [CrossRef]
- D’Este, M.; Alvarado-Morales, M.; Ciofalo, A.; Angelidaki, I. Macroalgae Laminaria digitata and Saccharina latissima as potential biomasses for biogas and total phenolics production: Focusing on seasonal and spatial variations of the algae. Energy Fuels 2017, 31, 7166–7175. [Google Scholar] [CrossRef]
- Scullin, C.; Stavila, V.; Skarstad, A.; Keasling, J.D.; Simmons, B.A.; Singh, S. Optimization of renewable pinene production from the conversion of macroalgae Saccharina latissima. Bioresour. Technol. 2015, 184, 415–420. [Google Scholar] [CrossRef] [PubMed]
- Seghetta, M.; Hou, X.; Bastianoni, S.; Bjerre, A.B.; Thomsen, M. Life cycle assessment of macroalgal biorefinery for the production of ethanol, proteins and fertilizers—A step towards a regenerative bioeconomy. J. Clean Prod. 2016, 137, 1158–1169. [Google Scholar] [CrossRef]
- Guzman-Puyol, S.; Russo, D.; Penna, I.; Ceseracciu, L.; Palazon, F.; Scarpellini, A.; Athanassiou, A. Facile production of seaweed-based biomaterials with antioxidant and anti-inflammatory activities. Algal Res. 2017, 27, 1–11. [Google Scholar] [CrossRef]
- Wu, S.Y.; Yan, M.D.; Wu, A.T.; Yuan, K.S.P.; Liu, S.H. Brown Seaweed Fucoidan Inhibits Cancer Progression by Dual Regulation of mir-29c/ADAM12 and miR-17-5p/PTEN Axes in Human Breast Cancer Cells. J. Cancer 2016, 7, 2408–2419. [Google Scholar] [CrossRef] [PubMed]
- Ehrig, K.; Alban, S. Sulfated galactofucan from the brown alga saccharina latissima-variability of yield, structural composition and bioactivity. Mar. Drugs 2015, 13, 76–101. [Google Scholar] [CrossRef] [PubMed]
- Seghetta, M.; Tørring, D.; Bruhn, A.; Thomsen, M. Bioextraction potential of seaweed in Denmark—An instrument for circular nutrient management. Sci. Total Environ. 2016, 563, 513–529. [Google Scholar] [CrossRef] [PubMed]
- Seghetta, M.; Marchi, M.; Thomsen, M.; Bjerre, A.B.; Bastianoni, S. Modelling biogenic carbon flow in a macroalgal biorefinery system. Algal Res. 2016, 18, 144–155. [Google Scholar] [CrossRef]
- Vea, E.B.; Romeo, D.; Thomsen, M. Biowaste Valorisation in a Future Circular Bioeconomy. Procedia CIRP 2018, 69, 591–596. [Google Scholar] [CrossRef]
- Clark, J.; Deswarte, F. Introduction to Chemicals from Biomass, 1st ed.; John Wiley & Sons, Ltd.: Chichester, UK, 2008; pp. 1–178. [Google Scholar]
- Kraan, S. Mass-cultivation of carbohydrate rich macroalgae, a possible solution for sustainable biofuel production. Mitig. Adapt Strat. Glob. Chang. 2013, 18, 27–46. [Google Scholar] [CrossRef]
- Bixler, H.J.; Porse, H. A decade of change in the seaweed hydrocolloids industry. J. Appl. Phycol. 2011, 23, 321–335. [Google Scholar] [CrossRef]
- Porse, H.; Rudolph, B. The seaweed hydrocolloid industry: 2016 updates, requirements, and outlook. J. Appl. Phycol. 2017, 29, 2187–2200. [Google Scholar] [CrossRef]
- Reference Price of Crude Alginate Extract Provided by Molbase Platform. Available online: http://www.molbase.com/en/search.html?search_keyword=9005-38-3 (accessed on 30 October 2018).
- Saha, B.C.; Racine, F.M. Biotechnological production of mannitol and its applications. J. Microbiol. Biotechnol. 2011, 89, 879–891. [Google Scholar] [CrossRef]
- Reference Price of Crude Mannitol Extract Provided by Molbase Platform. Available online: http://www.molbase.com/en/cas-69-65-8.html (accessed on 30 October 2018).
- Reference Price of Crude Fucoidan Rxtract Provided by Molbase Platform. Available online: http://www.molbase.com/en/search.html?search_keyword=fucoidan (accessed on 30 October 2018).
- Holdt, S.L.; Technical University of Denmark, Lyngby, Denmark; Kraan, S.; National University of Ireland, Galway, Ireland. Personal communication, 2018.
- Wholesale Price of Crude Laminarin Extract on eBioChem. Available online: http://www.ebiochem.com/product/laminarin-65109 (accessed on 30 October 2018).
- Reference Price of Crude Laminarin Extract by Molbase Platform. Available online: http://www.molbase.com/en/search.html?search_type=text&search_keyword=9008-22-4 (accessed on 30 October 2018).
- Product Alginic Acid A17582.0E of Alfa Aesar. Available online: https://www.alfa.com/en/catalog/A17582/ (accessed on 30 October 2018).
- Product Sodium Alginate A1112-1KG of Sigma-Aldrich. Available online: https://www.sigmaaldrich.com/catalog/substance/alginicacidsodiumsaltfrombrownalgae12345900538311?lang=en®ion=DK&attrlist=Brand|Viscosity|Suitability (accessed on 30 October 2018).
- Product M4125-1KG of Sigma-Aldrich. Available online: https://www.sigmaaldrich.com/catalog/product/sial/m4125?lang=en®ion=DK (accessed on 30 October 2018).
- Product F8190-500MG of Sigma-Aldrich. Available online: https://www.sigmaaldrich.com/catalog/product/sigma/f8190?lang=en®ion=DK (accessed on 30 October 2018).
- Product L9634-5G of Sigma-Aldrich. Available online: https://www.sigmaaldrich.com/catalog/product/sigma/l9634?lang=en®ion=DK (accessed on 30 October 2018).
- ISO 3166-1:2013 Codes for the Representation of Names of Countries and Their Subdivisions— Part 1: Country Codes. Available online: https://www.iso.org/standard/63545.html (accessed on 7 February 2019).
- Manns, D.; Nielsen, M.M.; Bruhn, A.; Saake, B.; Meyer, A.S. Compositional variations of brown seaweeds Laminaria digitata and Saccharina latissima in Danish waters. J. Appl. Phycol. 2017, 29, 1493–1506. [Google Scholar] [CrossRef]
- Ometto, F.; Steinhovden, K.B.; Kuci, H.; Lunnbäck, J.; Berg, A.; Karlsson, A.; Ejlertsson, J. Seasonal variation of elements composition and biomethane in brown macroalgae. J. Biomass Bioenergy 2018, 109, 31–38. [Google Scholar] [CrossRef]
- Schiener, P.; Black, K.D.; Stanley, M.S.; Green, D.H. The seasonal variation in the chemical composition of the kelp species Laminaria digitata, Laminaria hyperborea, Saccharina latissima and Alaria esculenta. J. Appl. Phycol. 2015, 27, 363–373. [Google Scholar] [CrossRef]
- Horn, S.J.; Moen, E.; Østgaard, K. Direct determination of alginate content in brown algae by near infra-red (NIR) spectroscopy. J. Appl. Phycol. 1999, 11, 9–13. [Google Scholar] [CrossRef]
- Qin, Y. Production of Seaweed-Derived Food Hydrocolloids. In Bioactive Seaweeds for Food Applications, 1st ed.; Academic Press: Cambridge, MA, USA, 2018; pp. 53–69. [Google Scholar]
- Davis, T.A.; Llanes, F.; Volesky, B.; Diaz-Pulido, G.; Mccook, L.; Mucci, A. 1H-NMR study of Na alginates extracted from Sargassum spp. in relation to metal biosorption. Appl. Biochem. Biotechnol. 2003, 110, 75–90. [Google Scholar] [CrossRef]
- Rioux, L.E.; Turgeon, S.L.; Beaulieu, M. Characterization of polysaccharides extracted from brown seaweeds. Carbohydr. Polym. 2007, 69, 530–537. [Google Scholar] [CrossRef]
- Groisillier, A.; Shao, Z.; Michel, G.; Goulitquer, S.; Bonin, P.; Krahulec, S.; Tonon, T. Mannitol metabolism in brown algae involves a new phosphatase family. J. Exp. Bot. 2014, 65, 559–570. [Google Scholar] [CrossRef] [PubMed]
- Ale, M.T.; Meyer, A.S. Fucoidans from brown seaweeds: An update on structures, extraction techniques and use of enzymes as tools for structural elucidation. RSC Adv. 2013, 3, 8131–8141. [Google Scholar] [CrossRef]
- Deniaud-Bouët, E.; Hardouin, K.; Potin, P.; Kloareg, B.; Hervé, C. A review about brown algal cell walls and fucose-containing sulfated polysaccharides: Cell wall context, biomedical properties and key research challenges. Carbohydr. Polym. 2017, 175, 395–408. [Google Scholar] [CrossRef] [PubMed]
- Bilan, M.I.; Grachev, A.A.; Shashkov, A.S.; Kelly, M.; Sanderson, C.J.; Nifantiev, N.E.; Usov, A.I. Further studies on the composition and structure of a fucoidan preparation from the brown alga Saccharina latissima. Carbohydr. Res. 2010, 345, 2038–2047. [Google Scholar] [CrossRef]
- Cesário, M.T.; da Fonseca, M.M.R.; Marques, M.M.; de Almeida, M.C.M.D. Marine algal carbohydrates as carbon sources for the production of biochemicals and biomaterials. Biotechnol. Adv. 2018, 36, 798–817. [Google Scholar] [CrossRef]
- Bruhn, A.; Janicek, T.; Manns, D.; Nielsen, M.M.; Balsby, T.J.S.; Meyer, A.S.; Bjerre, A.B. Crude fucoidan content in two North Atlantic kelp species, Saccharina latissima and Laminaria digitata—Seasonal variation and impact of environmental factors. J. Appl. Phycol. 2017, 29, 3121–3137. [Google Scholar] [CrossRef]
- Makkar, H.P.S.; Tran, G.; Heuzé, V.; Giger-Reverdin, S.; Lessire, M.; Lebas, F.; Ankers, P. Seaweeds for livestock diets: A review. Anim. Feed Sci. Technol. 2016, 212, 1–17. [Google Scholar] [CrossRef]
- Mabeau, S.; Kloareg, B. Isolation and analysis of the cell walls of brown algae Fucus spiralis, F. ceranoides, F. vesiculosus, F. serratus, Bifurcaria bifurcata and Laminaria digitata. J. Exp. Bot. 1987, 38, 1573–1580. [Google Scholar] [CrossRef]
- Michel, G.; Tonon, T.; Scornet, D.; Cock, J.M.; Kloareg, B. The cell wall polysaccharide metabolism of the brown alga Ectocarpus siliculosus. Insights into the evolution of extracellular matrix polysaccharides in Eukaryotes. J. Exp. Bot. 2010, 188, 82–97. [Google Scholar] [CrossRef] [PubMed]
- Kadam, S.U.; Tiwari, B.K.; O’Donnell, C.P. Extraction, structure and biofunctional activities of laminarin from brown algae. Int. J. Food Sci. Technol. 2015, 50, 24–31. [Google Scholar] [CrossRef]
- Rinaudo, M. 2.21-Seaweed Polysaccharides. In Comprehensive Glycoscience (From Chemistry to Systems Biology); Elsevier: Amsterdam, The Netherlands, 2007; pp. 691–735. [Google Scholar]
- Vilg, J.V.; Nylund, G.M.; Werner, T.; Qvirist, L.; Mayers, J.J.; Pavia, H.; Albers, E. Seasonal and spatial variation in biochemical composition of Saccharina latissima during a potential harvesting season for Western Sweden. Bot. Mar. 2015, 58, 435–447. [Google Scholar] [CrossRef]
- Horn, S.J. Bioenergy from Brown Seaweeds. Ph.D. Thesis, Norwegian University of Science and Technology, Trondheim, Norway, 2000. [Google Scholar]
- Protein Content in Dried Raw Soybean. Available online: https://frida.fooddata.dk/ShowFood.php?foodid=1217&2 (accessed on 30 December 2018).
- Marinho, G.S.; Holdt, S.L.; Angelidaki, I. Seasonal variations in the amino acid profile and protein nutritional value of Saccharina latissima cultivated in a commercial IMTA system. J. Appl. Phycol. 2015, 27, 1991–2000. [Google Scholar] [CrossRef]
- Mols-Mortensen, A.; Jacobsen, C.; Holdt, S.L. Variation in growth, yield and protein concentration in Saccharina latissima (Laminariales, Phaeophyceae) cultivated with different wave and current exposures in the Faroe Islands. J. Appl. Phycol. 2017, 29, 2277–2286. [Google Scholar] [CrossRef]
- Sharma, S.; Neves, L.; Funderud, J.; Mydland, L.T.; Øverland, M.; Horn, S.J. Seasonal and depth variations in the chemical composition of cultivated Saccharina latissima. Algal Res. 2018, 32, 107–112. [Google Scholar] [CrossRef]
- Dawczynski, C.; Schubert, R.; Jahreis, G. Amino acids, fatty acids, and dietary fibre in edible seaweed products. Food Chem. 2007, 103, 891–899. [Google Scholar] [CrossRef]
- Mai, K.; Mercer, J.P.; Donlon, J. Comparative studies on the nutrition of two species of abalone, Haliotis tuberculata L. and Haliotis discus hannai Ino: II. Amino acid composition of abalone and six species of macroalgae with an assessment of their nutritional value. Aquaculture 1994, 128, 115–130. [Google Scholar] [CrossRef]
- Machu, L.; Misurcova, L.; Ambrozova, J.V.; Orsavova, J.; Mlcek, J.; Sochor, J.; Jurikova, T. Phenolic content and antioxidant capacity in algal food products. Molecules 2015, 20, 1118–1133. [Google Scholar] [CrossRef] [PubMed]
- Crozier, A.; Jaganath, I.B.; Clifford, M.N. Phenols, Polyphenols and Tannins: An Overview. In Plant Secondary Metabolites: Occurrence, Structure and Role in the Human Diet, 1st ed.; John Wiley & Sons: Hoboken, NJ, USA, 2007; pp. 1–24. [Google Scholar]
- Tibbetts, S.M.; Milley, J.E.; Lall, S.P. Nutritional quality of some wild and cultivated seaweeds: Nutrient composition, total phenolic content and in vitro digestibility. J. Appl. Phycol. 2016, 28, 3575–3585. [Google Scholar] [CrossRef]
- Li, Y.X.; Wijesekara, I.; Li, Y.; Kim, S.K. Phlorotannins as bioactive agents from brown algae. Process Biochem. 2011, 46, 2219–2224. [Google Scholar] [CrossRef]
- Dubois, A.; Iken, K. Seasonal variation in kelp phlorotannins in relation to grazer abundance and environmental variables in the Alaskan sublittoral zone. Algae 2012, 27, 9–19. [Google Scholar] [CrossRef]
- Toth, G.; Pavia, H. Lack of phlorotannin induction in the kelp Laminaria hyperborea in response to grazing by two gastropod herbivores. Mar. Biol. 2002, 140, 403–409. [Google Scholar]
- Hurd, C.L.; Harrison, P.J.; Bischof, K.; Lobban, C.S. Seaweed Ecology and Physiology, 2nd ed.; Cambridge University Press: Cambridge, UK, 2014. [Google Scholar]
- Charoensiddhi, S. Process Development for Functional Food Ingredients with Gut Health Benefits from the Brown Seaweed Ecklonia radiata. Ph.D. Thesis, Flinders University, Adelaide, Australia, 2017. [Google Scholar]
- Schmid, M.; Stengel, D.B. Intra-thallus differentiation of fatty acid and pigment profiles in some temperate Fucales and Laminariales. J. Phycol. 2015, 51, 25–36. [Google Scholar] [CrossRef] [PubMed]
- Barbosa, M.; Fernandes, F.; Pereira, D.M.; Azevedo, I.C.; Sousa-Pinto, I.; Andrade, P.B.; Valentão, P. Fatty acid patterns of the kelps Saccharina latissima, Saccorhiza polyschides and Laminaria ochroleuca: Influence of changing environmental conditions. Arab. J. Chem. 2017, in press. [Google Scholar] [CrossRef]
- Charrier, B.; Le Bail, A.; De Reviers, B. Plant Proteus: Brown algal morphological plasticity and underlying developmental mechanisms. Trends Plant Sci. 2012, 17, 468–477. [Google Scholar] [CrossRef] [PubMed]
- Alderkamp, A.C.; Van Rijssel, M.; Bolhuis, H. Characterization of marine bacteria and the activity of their enzyme systems involved in degradation of the algal storage glucan laminarin. FEMS Microbiol. Ecol. 2007, 59, 108–117. [Google Scholar] [CrossRef] [PubMed]
- Lüder, U.H.; Clayton, M.N. Induction of phlorotannins in the brown macroalga Ecklonia radiata (Laminariales, Phaeophyta) in response to simulated herbivory—The first microscopic study. Planta 2004, 218, 928–937. [Google Scholar] [CrossRef]
- Roleda, M.Y.; Marfaing, H.; Desnica, N.; Jónsdóttir, R.; Skjermo, J.; Rebours, C.; Nitschke, U. Variations in polyphenol and heavy metal contents of wild-harvested and cultivated seaweed bulk biomass: Health risk assessment and implication for food applications. Food Control 2019, 95, 121–134. [Google Scholar] [CrossRef]
- Deniaud-Bouët, E.; Kervarec, N.; Michel, G.; Tonon, T.; Kloareg, B.; Hervé, C. Chemical and enzymatic fractionation of cell walls from Fucales: Insights into the structure of the extracellular matrix of brown algae. Ann. Bot. 2014, 114, 1203–1216. [Google Scholar] [CrossRef] [PubMed]
- Sogn Andersen, G.; Steen, H.; Christie, H.; Fredriksen, S.; Moy, F.E. Seasonal patterns of sporophyte growth, fertility, fouling, and mortality of Saccharina latissima in Skagerrak, Norway: Implications for forest recovery. J. Mar. Biol. 2011. [Google Scholar] [CrossRef]
- Duke, C.S.; Litaker, W.; Ramus, J. Effects of the temperature, nitrogen supply and tissue nitrogen on ammonium uptake rates of the Chlorophyte seaweeds Ulva curvata and Codium decorticatum. J. Phycol. 1989, 25, 113–120. [Google Scholar] [CrossRef]
- Nielsen, M.M.; Krause-Jensen, D.; Olesen, B.; Thinggaard, R.; Christensen, P.B.; Bruhn, A. Growth dynamics of Saccharina latissima (Laminariales, Phaeophyceae) in Aarhus Bay, Denmark, and along the species’ distribution range. Mar. Biol. 2014, 161, 2011–2022. [Google Scholar] [CrossRef]
- Chi, S.; Liu, T.; Liu, C.; Jin, Y.; Yin, H.; Xu, X.; Li, Y. Characterization of mannitol metabolism genes in Saccharina explains its key role in mannitol biosynthesis and evolutionary significance in Laminariales. bioRxiv 2018, submitted. [Google Scholar]
- Black, W.A.P. The seasonal variation in weight and chemical composition of the common british laminariaceae. J. Mar. Biol. Assoc. UK 1950, 29, 44–72. [Google Scholar] [CrossRef]
- Gevaert, F.; Davoult, D.; Creach, A.; Kling, R.; Janquin, M.A.; Seuront, L.; Lemoine, Y. Carbon and nitrogen content of Laminaria saccharina in the eastern English Channel: Biometrics and seasonal variations. J. Mar. Biol. Assoc. UK 2001, 81, 727–734. [Google Scholar] [CrossRef]
- Drobnitch, S.T.; Jensen, K.H.; Prentice, P.; Pittermann, J. Convergent evolution of vascular optimization in kelp (Laminariales). Proc. R. Soc. B 2015, 282, 1–7. [Google Scholar] [CrossRef]
- Schmitz, K.; Lobban, C.S. A survey of translocation in laminariales (Phaeophyceae). Mar. Biol. 1976, 36, 207–216. [Google Scholar]
- Davison, I.R.; Stewart, W.D.P. Occurrence and significance of nitrogen transport in the brown alga Laminaria digitata. Mar. Biol. 1983, 77, 107–112. [Google Scholar] [CrossRef]
- Lüning, K. Growth strategies of three Laminaria species (Phaeophyceae) inhabiting different depth zones in the sublittoral region of Helgoland (North Sea). Mar. Ecol. 1979, 1, 195–207. [Google Scholar] [CrossRef]
- Bolton, J.J.; Lüning, K. Optimal growth and maximal survival temperatures of Atlantic Laminaria species (Phaeophyta) in culture. Mar. Biol. 1982, 66, 89–94. [Google Scholar] [CrossRef]
- Groenendijk, F.; Bikker, P.; Blaauw, R.; Brandenburg, W.; Van den Burg, S.; Dijkstra, J.W.; van Leeuwen, J. North-Sea-Weed-Chain: Sustainable Seaweed from the North Sea; An Exploration of the Value Chain; IMARES: Wageningen, The Netherlands, 2016; pp. 1–94. [Google Scholar]
- Kerrison, P.D.; Stanley, M.S.; Edwards, M.D.; Black, K.D.; Hughes, A.D. The cultivation of European kelp for bioenergy: Site and species selection. Biomass Bioenergy 2015, 80, 229–242. [Google Scholar] [CrossRef]
- Gerard, V.A. Hydrodynamic streamlining of Laminaria saccharina Lamour. in response to mechanical stress. J. Exp. Mar. Biol. Ecol. 1987, 107, 237–244. [Google Scholar] [CrossRef]
- Buck, B.H.; Buchholz, C.M. Response of offshore cultivated Laminaria saccharina to hydrodynamic forcing in the North Sea. Aquaculture 2005, 250, 674–691. [Google Scholar] [CrossRef]
- Redmond, S.; Green, L.; Yarish, C.; Kim, J.; Neefus, C. New England Seaweed Culture Handbook—Nursery Systems; University of Connecticut: Storrs, CT, USA, 2014. [Google Scholar]
- Borum, J.; Pedersen, M.F.; Krause-Jensen, D.; Christensen, P.B.; Nielsen, K. Biomass, photosynthesis and growth of Laminaria saccharina in a high-arctic fjord, NE Greenland. Mar. Biol. 2002, 141, 11–19. [Google Scholar]
- Gerard, V.A. Ecotypic differentiation in light-related traits of the kelp Laminaria saccharina. Mar. Biol. 1988, 97, 25–36. [Google Scholar] [CrossRef]
- Hanelt, D. Capability of dynamic photoinhibition in Arctic macroalgae is related to their depth distribution. Mar. Biol. 1998, 131, 361–369. [Google Scholar] [CrossRef]
- Demmig-Adams, B.; Adams, W.W. The role of xanthophyll cycle carotenoids in the protection of photosynthesis. Trends Plant Sci. 1996, 1, 21–26. [Google Scholar] [CrossRef]
- Harwood, J.L.; Guschina, I.A. The versatility of algae and their lipid metabolism. Biochimie 2009, 91, 679–684. [Google Scholar] [CrossRef] [PubMed]
- Gurr, M.I.; Harwood, J.; Frayn, K.N. Lipid Biochemistry: An Introduction, 5th ed.; Blackwell Science: Hoboken, NJ, USA, 2002. [Google Scholar]
- Kumari, P.; Kumar, M.; Reddy, C.R.K.; Jha, B. Algal lipids, fatty acids and sterols. In Functional Ingredients from Algae for Foods and Nutraceuticals; Woodhead Publishing: Sawston, UK, 2013; pp. 87–134. [Google Scholar]
- Colombo, M.L.; Rise, P.; Giavarini, F.; De Angelis, L.; Galli, C.; Bolis, C.L. Marine macroalgae as sources of polyunsaturated fatty acids. Plant Foods Hum. Nutr. 2006, 61, 64–69. [Google Scholar] [CrossRef] [PubMed]
- Olischläger, M.; Iñiguez, C.; Koch, K.; Wiencke, C.; Gordillo, F.J.L. Increased pCO2 and temperature reveal ecotypic differences in growth and photosynthetic performance of temperate and Arctic populations of Saccharina latissima. Planta 2017, 245, 119–136. [Google Scholar] [CrossRef] [PubMed]
- Davison, I.R.; Greene, R.M.; Podolak, E.J. Temperature acclimation of respiration and photosynthesis in the brown alga Laminaria saccharina. Mar. Biol. 1991, 110, 449–454. [Google Scholar] [CrossRef]
- Wærn, M. Rocky-Shore Algae in the Öregrund Archipelago; Svenska Växtgeografiska Sällskapet: Uppsala, Sweden, 1952. [Google Scholar]
- Møller Nielsen, M.; Paulino, C.; Neiva, J.; Krause-Jensen, D.; Bruhn, A.; Serrão, E.A. Genetic diversity of Saccharina latissima (Phaeophyceae) along a salinity gradient in the North Sea-Baltic Sea transition zone. J. Phycol. 2016, 52, 523–531. [Google Scholar] [CrossRef] [PubMed]
- Mortensen, L.M. Diurnal carbon dioxide exchange rates of Saccharina latissima and Laminaria digitata as affected by salinity levels in Norwegian fjords. J. Appl. Phycol. 2017, 29, 3067–3075. [Google Scholar] [CrossRef]
- CesárioBisson, M.A.; Kirst, G.O. Osmotic acclimation and turgor pressure regulation in algae: What are osmotic acclimation and turgor pressure regulation? Naturwissenschaften 1995, 471, 461–471. [Google Scholar]
- Reed, R.H.; Davison, I.R.; Chudek, J.A.; Foster, R. The osmotic role of mannitol in the Phaeophyta: An appraisal. Phycologia 1985, 24, 35–47. [Google Scholar] [CrossRef]
- Nitschke, U.; Stengel, D.B. Iodine contributes to osmotic acclimatisation in the kelp Laminaria digitata (Phaeophyceae). Planta 2014, 239, 521–530. [Google Scholar] [CrossRef] [PubMed]
- Boderskov, T.; Schmedes, P.S.; Bruhn, A.; Rasmussen, M.B.; Nielsen, M.M.; Pedersen, M.F. The effect of light and nutrient availability on growth, nitrogen, and pigment contents of Saccharina latissima (Phaeophyceae) grown in outdoor tanks, under natural variation of sunlight and temperature, during autumn and early winter in Denmark. J. Appl. Phycol. 2016, 28, 1153–1165. [Google Scholar] [CrossRef]
- Conolly, N.J.; Drew, E.A. Physiology of Laminaria III. Effect of a coastal eutrophication gradient on seasonal patterns of growth and tissue composition in L. digitata Lamour. and L. saccharina (L.) Lamour. Mar. Ecol. 1985, 6, 181–195. [Google Scholar] [CrossRef]
- Chapman, A.R.O.; Markham, J.W.; Lühning, K. Effects of nitrate concentration on the growth and physiology of Laminaria saccharina (Phaeophyta) in culture. J. Phycol. 1978, 14, 195–198. [Google Scholar] [CrossRef]
- Robles, H. Phosphorus in the organic life: Cells, tissues, organisms. In Encyclopedia of Toxicology, 3rd ed.; Elsevier: Amsterdam, The Netherlands, 2014; pp. 920–921. [Google Scholar]
- Bruhn, A.; Tørring, D.; Thomsen, M.; Canal-Vergés, P.; Nielsen, M.; Rasmussen, M.; Petersen, J. Impact of environmental conditions on biomass yield, quality, and bio-mitigation capacity of Saccharina latissima. Aquac. Environ. Interact. 2016, 8, 619–636. [Google Scholar] [CrossRef]
- Conley, D.J.; Humborg, C.; Rahm, L.; Savchuk, O.P.; Wulff, F. Hypoxia in the baltic sea and basin-scale changes in phosphorus biogeochemistry. Environ. Sci. Technol. 2002, 36, 5315–5320. [Google Scholar] [CrossRef] [PubMed]
- Kerrison, P.D.; Stanley, M.S.; Black, K.D.; Hughes, A.D. Assessing the suitability of twelve polymer substrates for the cultivation of macroalgae Laminaria digitata and Saccharina latissima (Laminariales). Algal Res. 2017, 22, 127–134. [Google Scholar] [CrossRef]
- Peteiro, C.; Freire, Ó. Biomass yield and morphological features of the seaweed Saccharina latissima cultivated at two different sites in a coastal bay in the Atlantic coast of Spain. J. Appl. Phycol. 2013, 25, 205–213. [Google Scholar] [CrossRef]
- Ortind, E.G. Seasonal Variations in Growth, Yield and Amino Acid Profile of Sugar Kelp (Saccharina latissima) Cultivated in a Sound in the Faroe Islands. Master’s Thesis, Technical Uniersity of Denmark, Kongens Lyngby, Denmark, 2015. [Google Scholar]
- Ingle, K.N.; Polikovsky, M.; Chemodanov, A.; Golberg, A. Marine integrated pest management (MIPM) approach for sustainable seagriculture. Algal Res. 2018, 29, 223–232. [Google Scholar] [CrossRef]
- Sanderson, J.C.; Dring, M.J.; Davidson, K.; Kelly, M.S. Culture, yield and bioremediation potential of Palmaria palmata (Linnaeus) Weber & Mohr and Saccharina latissima (Linnaeus) C.E. Lane, C. Mayes, Druehl and G.W. Saunders adjacent to fish farm cages in northwest Scotland. Aquaculture 2012, 354–355, 128–135. [Google Scholar]
- Tønder, T.S. A Study of the Seasonal Variation in Biochemical Composition of Saccharina latissima. Ph.D. Thesis, Norwegian University of Science and Technology, Trondheim, Norway, 2014. [Google Scholar]
- Handå, A.; Forbord, S.; Wang, X.; Broch, O.J.; Dahle, S.W.; Størseth, T.R.; Skjermo, J. Seasonal- and depth-dependent growth of cultivated kelp (Saccharina latissima) in close proximity to salmon (Salmo salar) aquaculture in Norway. Aquaculture 2013, 414–415, 191–201. [Google Scholar] [CrossRef]
- Maehre, H.K.; Malde, M.K.; Eilertsen, K.E.; Elvevoll, E.O. Characterization of protein, lipid and mineral contents in common Norwegian seaweeds and evaluation of their potential as food and feed. J. Sci. Food Agric. 2014, 94, 3281–3290. [Google Scholar] [CrossRef]
- Mazumder, A.; Holdt, S.L.; De Francisci, D.; Alvarado-Morales, M.; Mishra, H.N.; Angelidaki, I. Extraction of alginate from Sargassum muticum: Process optimization and study of its functional activities. J. Appl. Phycol. 2016, 28, 3625–3634. [Google Scholar] [CrossRef]
- Lorbeer, A.J.; Tham, R.; Zhang, W. Potential products from the highly diverse and endemic macroalgae of Southern Australia and pathways for their sustainable production. J. Appl. Phycol. 2013, 25, 717–732. [Google Scholar] [CrossRef]
- Seghetta, M.; Romeo, D.; D’Este, M.; Alvarado-Morales, M.; Angelidaki, I.; Bastianoni, S.; Thomsen, M. Seaweed as innovative feedstock for energy and feed—Evaluating the impacts through a Life Cycle Assessment. J. Clean. Prod. 2017, 150, 1–15. [Google Scholar] [CrossRef]
- Kostas, E.T.; White, D.A.; Cook, D.J. Development of a bio-refinery process for the production of speciality chemical, biofuel and bioactive compounds from Laminaria digitata. Algal Res. 2017, 28, 211–219. [Google Scholar] [CrossRef]
- Van Hal, J.W.; Huijgen, W.J.J.; López-Contreras, A.M. Opportunities and challenges for seaweed in the biobased economy. Trends Biotechnol. 2014, 32, 231–233. [Google Scholar] [CrossRef] [PubMed]
- Duinker, A.; Roiha, I.S.; Amlund, H.; Dahl, L.; Lock, E.J.; Kögel, T.; Lunestad, B.T. Potential Risks Posed by Macroalgae for Applications as Feed and Food—A Norwegian Perspective; National Institute of Nutrition and Seafood Research: Trondheim, Norway, 2016; pp. 1–24. [Google Scholar]
- Bartsch, I.; Wiencke, C.; Bischof, K.; Buchholz, C.M.; Buck, B.H.; Eggert, A.; Wiese, J. The genus Laminaria sensu lato: Recent insights and developments. Eur. J. Phycol. 2008, 43, 1–86. [Google Scholar] [CrossRef]
- Kim, H.W.; Choi, J.H.; Choi, Y.S.; Han, D.J.; Kim, H.Y.; Lee, M.A.; Kim, C.J. Effects of Sea Tangle (Lamina japonica) powder on quality characteristics of breakfast sausages. Korean J. Food Sci. Anim. Resour. 2010, 30, 55–61. [Google Scholar] [CrossRef]
- Fernández-Martín, F.; López-López, I.; Cofrades, S.; Colmenero, F.J. Influence of adding Sea Spaghetti seaweed and replacing the animal fat with olive oil or a konjac gel on pork meat batter gelation. Potential protein/alginate association. Meat Sci. 2009, 83, 209–217. [Google Scholar] [CrossRef]
- Morrissey, J.; Kraan, S.; Guiry, M.D. A Guide to Commercially Important Seaweeds on the Irish Coast; Irish Govt: Dublin, Ireland, 2001; pp. 1–65. [Google Scholar]
- Seamless Alginate Capsules by DuPont Nutrition USA Inc. Patent No. US8980312B2. Available online: https://frida.fooddata.dk/ShowFood.php?foodid=1217&2 (accessed on 30 December 2018).
- Alginic Acid Mix as Disintegrator by KIMICA. Available online: https://www.kimica.jp/en/products/Medical_AlginateNA/ (accessed on 30 December 2018).
- Qin, Y. Alginate fibers: An overwiew of the production processes and applications in wound management. Polym. Int. 2008, 57, 171–180. [Google Scholar] [CrossRef]
- Fitton, J.H. Therapies from fucoidan; Multifunctional marine polymers. Mar. Drugs 2011, 9, 1731–1760. [Google Scholar] [CrossRef]
- Li, C.; Gao, Y.; Xing, Y.; Zhu, H.; Shen, J.; Tian, J. Fucoidan, a sulfated polysaccharide from brown algae, against myocardial ischemia–reperfusion injury in rats via regulating the inflammation response. Food Chem. Tox. 2011, 49, 2090–2095. [Google Scholar] [CrossRef] [PubMed]
- Synytsya, A.; Kim, W.J.; Kim, S.M.; Pohl, R.; Synytsya, A.; Kvasnička, F.; Park, Y. Structure and antitumour activity of fucoidan isolated from sporophyll of Korean brown seaweed Undaria pinnatifida. Carbohydr. Polym. 2010, 81, 41–48. [Google Scholar] [CrossRef]
- Ponce, N.M.A.; Pujol, C.A.; Damonte, E.B.; Flores, M.L.; Stortz, C.A. Fucoidans from the brown seaweed Adenocystis utricularis: Extraction methods, antiviral activity and structural studies. Carbohydr. Res. 2003, 338, 153–165. [Google Scholar] [CrossRef]
- Pharmaceutical Composition Used for Improving, Treating and Preventing Oral Cancer by Killing KB Cells, Comprises Fucoidan as Active Ingredient. Patent No. KR2018099256-A. Available online: http://pcs-ew1.prod-wos.com/charon/chgateway.cgi?action=daj&pan=201872586T&format=pdf (accessed on 30 December 2018).
- New Fucoidan-Catechol Conjugate Used as Binder in Composition for Surface Coating, e.g., Medical Tool and Ships, Comprises Amide Bond Formed by Bonding Amine Group of Catechol Group-Containing Derivative With Carboxyl Group of Fucoidan. Patent No. KR1894977-B1. Available online: http://pcs-ew1.prod-wos.com/charon/chgateway.cgi?action=daj&pan=2018705889&format=pdf (accessed on 30 December 2018).
- Food or Beverage Additive Containing Fucoidan and Food and Beverage Containing Fucoidan. Patent No. US6573250B2. Available online: https://patents.google.com/patent/US6573250B2/en?oq=US6573250B2 (accessed on 30 December 2018).
- Agent Used for Cleaning Exhaust Gas From Motor Vehicles, Comprises Fine Powder of Tourmaline, Fine Powder of Porous Material, Fucoidan Extracted From Seaweed, and Amino Peptides And/or Alginic Acid Extracted From Seaweed in Water. Patent No. JP6339724-B1.2. Available online: http://pcs-ew1.prod-wos.com/charon/chgateway.cgi?action=daj&pan=201846070J&format=pdf (accessed on 30 December 2018).
- Fitton, J.H.; Stringer, D.N.; Karpiniec, S.S. Therapies from Fucoidan: An Update. Mar. Drugs 2015, 13, 5920–5946. [Google Scholar] [CrossRef] [PubMed]
- McAlpine, P.; O’Shea, C.J.; Varley, P.F.; Flynn, B.; O’Doherty, J.V. The effect of seaweed extract as an alternative to zinc oxide diets on growth performance, nutrient digestibility, and fecal score of weaned piglets. J. Anim. Sci. 2012, 90, 224–226. [Google Scholar] [CrossRef] [PubMed]
- Lee, J.Y.; Kim, Y.J.; Kim, H.J.; Kim, Y.S.; Park, W. Immunostimulatory effect of laminarin on RAW 264.7 mouse macrophages. Molecules 2012, 17, 5404–5411. [Google Scholar] [CrossRef] [PubMed]
- Pugliese, M.; Monchiero, M.; Gullino, M.L.; Garibaldi, A. Application of laminarin and calcium oxide for the control of grape powdery mildew on Vitis vinifera cv. Moscato. J. Plant Dis. Prot. 2018, 125, 477–482. [Google Scholar] [CrossRef]
- Grouper Pre-Mixed Feed Used for, e.g., Strengthening Immunity Comprises Carnitine, Betaine, Laminarin, Choline Chloride, Calcium Dihydrogen Phosphate, Taurine, Enzyme Preparation, Multivitamins, Composite Mineral Salt and Carrier. Patent No. CN104872420-A. Available online: http://pcs-ew1.prod-wos.com/charon/chgateway.cgi?action=daj&pan=2015627572&format=pdf (accessed on 30 December 2018).
- Composition useful for inhibiting skin aging, wrinkles, fine lines or loss of skin elasticity, comprises laminarin and N-(4-chloro-2-methylphenyl)-4-(2-naphthyl)-2,4-dioxo-3-(3-oxo-1,3-dihydro-2-benzofuran-1-yl) butanamide. Patent No. IN201641001819-A. Available online: http://pcs-ew1.prod-wos.com/charon/chgateway.cgi?action=daj&pan=201756715T&format=pdf (accessed on 30 December 2018).
- Composition Useful as Food or Health Care Product for Regulating Intestinal Micro-Ecology, Comprises Bilberry Extract, Laminarin Polysaccharide, Curcumin, Tuckahoe Extract and Bayberry Extract. Patent No. CN105726616-A. Available online: http://pcs-ew1.prod-wos.com/charon/chgateway.cgi?action=daj&pan=201645684D&format=pdf (accessed on 30 December 2018).
- Wlodarczyk, S.R.; Custódio, D.; Pessoa, A.; Monteiro, G. Influence and effect of osmolytes in biopharmaceutical formulations. Eur. J. Pharm. Biopharm. 2018, 131, 92–98. [Google Scholar] [CrossRef]
- Zia, K.M.; Noreen, A.; Zuber, M.; Tabasum, S.; Mujahid, M. Recent developments and future prospects on bio-based polyesters derived from renewable resources: A review. Int. J. Biol. Macromol. 2016, 82, 1028–1040. [Google Scholar] [CrossRef]
- Bucke, C. Carbohydrate Biotechnology Protocols; Humana Press: New York, NY, USA, 1999; p. 261. [Google Scholar]
- Zhang, X.; Wang, X.; Zhang, J.; Huang, X.; Wei, D.; Lan, W.; Hu, Z. Reduction of nitrous oxide emissions from partial nitrification process by using innovative carbon source (mannitol). Bioresour. Technol. 2016, 218, 789–795. [Google Scholar] [CrossRef]
- Wisselink, H.W.; Weusthuis, R.A.; Eggink, G.; Hugenholtz, J.; Grobben, G.J. Mannitol production by lactic acid bacteria: A review. Int. Dairy J. 2002, 12, 151–161. [Google Scholar] [CrossRef]
- Dai, Y.; Meng, Q.; Mu, W.; Zhang, T. Recent advances in the applications and biotechnological production of mannitol. J. Funct. Foods 2017, 36, 404–409. [Google Scholar] [CrossRef]
- Bleakley, S.; Hayes, M. Algal proteins: Extraction, application, and challenges concerning production. Foods 2017, 6, 33. [Google Scholar] [CrossRef] [PubMed]
- Mouritsen, O.G. Those tasty weeds. J. Appl. Phycol. 2017, 29, 2159–2164. [Google Scholar] [CrossRef]
- Featherstone, S. Ingredients used in the preparation of canned foods. In A Complete Course in Canning and Related Processes; Elsevier: Amsterdam, The Netherlands, 2015. [Google Scholar]
- Marinho, G.S.; Holdt, S.L.; Jacobsen, C.; Angelidaki, I. Lipids and composition of fatty acids of Saccharina latissima cultivated year-round in integrated multi-trophic aquaculture. Mar Drugs 2015, 13, 4357–4374. [Google Scholar] [CrossRef]
- Darcy-Vrillon, B. Nutritional aspects of the developing use of marine macroalgae for the human food industry. Int. J. Food Sci. Nutr. 1993, 44, S23–S35. [Google Scholar]
- WHO. Diet, Nutrition and the Prevention of Chronic Diseases; World Health Organization: Geneva, Switerland, 2002. [Google Scholar]
- Mozaffarian, D.; Ascherio, A.; Hu, F.B.; Stampfer, M.J.; Willett, W.C.; Siscovick, D.S.; Rimm, E.B. Interplay between different polyunsaturated fatty acids and risk of coronary heart disease in men. Circulation 2005, 111, 157–164. [Google Scholar] [CrossRef]
- Grosso, G.; Galvano, F.; Marventano, S.; Malaguarnera, M.; Bucolo, C.; Drago, F.; Caraci, F. Omega-3 fatty acids and depression: Scientific evidence and biological mechanisms. Oxid. Med. Cell. Longev. 2014, 2014, 313570. [Google Scholar] [CrossRef]
- Simopoulos, A.P. The importance of the omega-6/omega-3 fatty acid ratio in cardiovascular disease and other chronic diseases. Exp. Biol. Med. 2008, 233, 674–688. [Google Scholar] [CrossRef]
- Nordic Council of Ministers. Nordic Nutrition Recommendations 2012. Nord. Nutr. Recomm. 2014, 5, 1–3. [Google Scholar]
- Seaweed Extract for Cosmetics and Foodstuffs for Treating Allergic Disease, Cardiac Disease, Diabetes and Cancer, Contains Cell Activator Which Is Lipid Component of Seaweed. Patent No. JP2005023028-A. Available online: http://pcs-ew1.prod-wos.com/charon/chgateway.cgi?action=daj&pan=2005116005&format=pdf (accessed on 30 December 2018).
- Heinrich, S.; Valentin, K.; Frickenhaus, S.; Wiencke, C. Origin matters—Comparative transcriptomics in Saccharina latissima (Phaeophyceae). J. Exp. Mar. Biol. Ecol. 2016, 476, 22–30. [Google Scholar] [CrossRef]
- Korb, R.E.; Gerard, V.A. Effects of concurrent low temperature and low nitrogen supply on polar and temperate seaweeds. Mar. Ecol. Prog. 2000, 198, 73–82. [Google Scholar] [CrossRef]
- European Commission. A Sustainable Bioeconomy for Europe: Strengthening the Connection between Economy, Society and the Environment; European Commission: Brussels, Belgium, 2018; pp. 1–103. [Google Scholar]
- Ferdouse, F.; Holdt, S.L.; Smith, R.; Murúa, P.; Yang, Z. The global status of seaweed production, trade and utilization. FAO 2018, 124, 1–114. [Google Scholar]
- Zhang, X.; Thomsen, M. Top value-added products from seaweed biomass and prospects of cascading biorefinery: A review. Manuscript in preparation.
- Gerard, V.A. Growth and utilization of internal nitrogen reserves by the giant kelp Macrocystis pyrifera in a low-nitrogen environment. Mar. Biol. 1982, 66, 27–35. [Google Scholar] [CrossRef]
- Marinho, G.S.; Holdt, S.L.; Birkeland, M.J.; Angelidaki, I. Commercial cultivation and bioremediation potential of sugar kelp, Saccharina latissima, in Danish waters. J. Appl. Phycol. 2015, 27, 1963–1973. [Google Scholar] [CrossRef]
- Rolin, C.; Inkster, R.; Laing, J.; McEvoy, L. Regrowth and biofouling in two species of cultivated kelp in the Shetland Islands, UK. J. Appl. Phycol. 2017, 29, 2351–2361. [Google Scholar] [CrossRef]
- Doty, E.M.S.; Caddy, J.F.; Santelices, B. Case Studies of Seven Commercial Seaweed Resources; FAO: Rome, Italy, 1987. [Google Scholar]
- Golberg, A.; Liberzon, A. Modeling of smart mixing regimes to improve marine biorefinery productivity and energy efficiency. Algal Res. 2015, 11, 28–32. [Google Scholar] [CrossRef]
- Mortensen, L.M. Remediation of nutrient-rich, brackish fjord water through production of protein-rich kelp S. latissima and L. digitata. J. Appl. Phycol. 2017, 29, 3089–3096. [Google Scholar] [CrossRef]
- Petersen, J.K.; Hasler, B.; Timmermann, K.; Nielsen, P.; Tørring, D.B.; Larsen, M.M.; Holmer, M. Mussels as a tool for mitigation of nutrients in the marine environment. Mar. Pollut. Bull. 2014, 82, 137–143. [Google Scholar] [CrossRef]
- Ranga, M.; Etzkowitz, H. Triple Helix systems: An analytical framework for innovation policy and practice in the Knowledge Society. Ind. Higher Educ. 2015, 27, 237–262. [Google Scholar] [CrossRef]
- Mazarrasa, I.; Olsen, Y.S.; Mayol, E.; Marbà, N.; Duarte, C.M. Global unbalance in seaweed production, research effort and biotechnology markets. Biotechnol. Adv. 2014, 32, 1028–1036. [Google Scholar] [CrossRef] [PubMed]
- Thomsen, M. A Circular Bioeconomy with Biobased Production from Nutrient and CO2 Sequestration by Seaweed. Available online: http://www.algecenterdanmark.dk/media/14359/marianne_thomsen.pdf (accessed on 28 January 2019).
- Elbehri, A.; Challinor, A.; Verchot, L.; Angelsen, A.; Hess, T.; Ouled Belgacem, A.; Clark, H.; Badraoui, M.; Cowie, A.; De Silva, S.; et al. FAO-IPCC Expert Meeting on Land Use, Climate Change and Food Security; FAO: Rome, Italy, 2017; p. 25. [Google Scholar]
- Huntington, T.G. Evidence for intensification of the global water cycle: Review and synthesis. J. Hydrol. 2006, 319, 83–95. [Google Scholar] [CrossRef]
- Trenberth, K.E. Changes in precipitation with climate change. Clim. Res. 2011, 47, 123–138. [Google Scholar] [CrossRef]
- Springer, K.; Lütz, C.; Lütz-Meindl, U.; Wendt, A.; Bischof, K. Hyposaline conditions affect UV susceptibility in the Arctic kelp Alaria esculenta (Phaeophyceae). Phycologia 2017, 56, 675–685. [Google Scholar] [CrossRef]
- Chen, M.; Graedel, T.E. A half-century of global phosphorus flows, stocks, production, consumption, recycling, and environmental impacts. Glob. Environ. Chang. 2016, 36, 139–152. [Google Scholar] [CrossRef]
- Broch, O.; Ellingsen, I.; Forbord, S.; Wang, X.; Volent, Z.; Alver, M.; Skjermo, J. Modelling the cultivation and bioremediation potential of the kelp Saccharina latissima in close proximity to an exposed salmon farm in Norway. Aquacult. Environ. Interact. 2013, 4, 187–206. [Google Scholar] [CrossRef]
- Reid, G.K.; Chopin, T.; Robinson, S.M.C.; Azevedo, P.; Quinton, M.; Belyea, E. Weight ratios of the kelps, Alaria esculenta and Saccharina latissima, required to sequester dissolved inorganic nutrients and supply oxygen for Atlantic salmon, Salmo salar, in Integrated Multi-Trophic Aquaculture systems. Aquaculture 2013, 408, 34–46. [Google Scholar] [CrossRef]
- Miljø- og Fødevareministeriet. Miljø- og Fødevareudvalget 2016-17 L 111 Bilag 27 Offentligt. Available online: https://www.ft.dk/samling/20161/lovforslag/L111/bilag/27/1755730.pdf (accessed on 7 February 2019).
- Duggins, D.O.; Simenstad, C.A.; Estes, J.A. Magnification of secondary production by kelp detritus in coastal marine ecosystems. Science 1989, 245, 170–173. [Google Scholar] [CrossRef]
- Kinley, R.D.; De Nys, R.; Vucko, M.J.; MacHado, L.; Tomkins, N.W. The red macroalgae Asparagopsis taxiformis is a potent natural antimethanogenic that reduces methane production during in vitro fermentation with rumen fluid. Anim. Prod. Sci. 2016, 56, 282–289. [Google Scholar] [CrossRef]
- Wang, Y.; Xu, Z.; Bach, S.J.; McAllister, T.A. Effects of phlorotannins from Ascophyllum nodosum (brown seaweed) on in vitro ruminal digestion of mixed forage or barley grain. Anim. Feed Sci. Technol. 2008, 145, 375–395. [Google Scholar] [CrossRef]
- Kinley, R.D.; Fredeen, A.H. In vitro evaluation of feeding North Atlantic stormtoss seaweeds on ruminal digestion. J. Appl. Phycol. 2015, 27, 2387–2393. [Google Scholar] [CrossRef]
- Sondak, C.F.A.; Ang, P.O.; Beardall, J.; Bellgrove, A.; Boo, S.M.; Gerung, G.S.; Chung, I.K. Carbon dioxide mitigation potential of seaweed aquaculture beds (SABs). J. Appl. Phycol. 2017, 29, 2363–2373. [Google Scholar] [CrossRef]
- Lehmann, J.; Gaunt, J.; Rondon, M. Bio-char sequestration in terrestrial ecosystems—A review. Mitig. Adapt. Strat. Glob. Chang. 2006, 11, 403–427. [Google Scholar] [CrossRef]
- Roy, E.D. Phosphorus recovery and recycling with ecological engineering: A review. Ecol. Eng. 2017, 98, 213–227. [Google Scholar] [CrossRef]
- Fernando, I.P.S.; Kim, D.; Nah, J.; Jeon, Y. Advances in functionalizing fucoidans and alginates biopolymers by structural modifications: A review. Chem. Eng. J. 2019, 355, 371–390. [Google Scholar] [CrossRef]
- Mac Monagail, M.; Cornish, L.; Morrison, L.; Araújo, R.; Critchley, A.T. Sustainable harvesting of wild seaweed resources. Eur. J. Phycol. 2017, 52, 371–390. [Google Scholar] [CrossRef]
- Skjermo, J.; Aasen, I.M.; Arff, J.; Broch, O.J.; Carvajal, A.; Christie, H.; Handa, A. A New Norwegian Bioeconomy Based on Cultivation and Processing of Seaweeds: Opportunities and R & D Needs; SINTEF Fisheries and Aquaculture: Trondheim, Norway, 2014; pp. 1–46. [Google Scholar]















| Aspect | Description |
|---|---|
| Kingdom | Protista |
| Class | Phaeophyceae |
| Order | Laminariales |
| Genus/Family | Laminariaceae |
| Global distribution 1 | North Atlantic Ocean and North Pacific Ocean |
| Habitat | Subtidal zone |
| Life cycle | 2–5 years |
| Perennial | Yes |
| Products | Crude Product Price ($/kg) | Refined Product Price ($/kg) | Applications | Industry |
|---|---|---|---|---|
| Alginate | ; ; ; | ; | Emulsifier; Binding agent; Stabilizer; Coating materials; Wound healing | Food and beverages; Pharmaceutical and para-pharmaceutical; Processing |
| Mannitol | ; ; | 56 (≥98%) m | Sweetener; Flavoring agent; Stabilizer; Diuretics | Food; Pharmaceutical; Medical; Chemical |
| Fucoidan | ; ; or ; ; | Functional food; Dietary supplements; Drug delivery; Cosmetics | Food and Beverages; Human health; Therapeutics | |
| Laminarin | ; ; | Feed supplements; Pesticide | Nutraceutical; Cosmetics; Agriculture and aquaculture | |
| Protein | Feed additives; Functional food ingredients; Flavor enhancer | Agriculture and aquaculture; Processing food; Human nutrition | ||
| Lipids | Functional food | Nutraceutical; Pharmaceutical |
| Polysaccharides | Primary Function | Monosaccharides | Formula |
|---|---|---|---|
| Laminarin | Carbon storage | Glucose | C6H12O6 |
| Mannitol | C6H14O6 | ||
| Mannitol * | Carbon storage; Osmoprotectant; Antioxidant | Mannitol | C6H14O6 |
| Alginic acid | Cell wall structure | Mannuronic acid | C6H10O7 |
| Guluronic acid | C6H10O7 | ||
| Fucoidan | Cell wall structure; | Fucose | C6H12O5 |
| Galactose | C6H12O6 | ||
| Mannose | C6H12O6 | ||
| Xylose | C5H10O5 | ||
| Arabinose | C5H10O5 | ||
| Glucuronic acid | C6H10O7 | ||
| Cellulose | Cell wall structure | Glucose | C6H12O6 |
| Factors | Stresses | Optimum | Value | Unit | Reference |
|---|---|---|---|---|---|
| Irradiance | Oxidative stress | Photosynthetic saturation level | around 150 | Em s | [84] |
| Temperature | Thermal injury | Sea surface temperature | 10–15 | C | [85] |
| 5–10 | C | [86] | |||
| Nutrients | Nutrient limitation; Toxic effects | Aqueous nitrate concentration | 10 | MNO | [87] |
| Salinity | Osmotic stress | Salinity | 24–35 | per mille | [87] |
| 27–33 | per mille | [88] | |||
| 32 | per mille | [86] | |||
| Water motion | Drag stress; Diffusion stress | Current velocities | 25–1520 | mms | [88,89] |
| Wave heights | 6.4 | m | [89] |
© 2019 by the authors. Licensee MDPI, Basel, Switzerland. This article is an open access article distributed under the terms and conditions of the Creative Commons Attribution (CC BY) license (http://creativecommons.org/licenses/by/4.0/).
Share and Cite
Zhang, X.; Thomsen, M. Biomolecular Composition and Revenue Explained by Interactions between Extrinsic Factors and Endogenous Rhythms of Saccharina latissima. Mar. Drugs 2019, 17, 107. https://doi.org/10.3390/md17020107
Zhang X, Thomsen M. Biomolecular Composition and Revenue Explained by Interactions between Extrinsic Factors and Endogenous Rhythms of Saccharina latissima. Marine Drugs. 2019; 17(2):107. https://doi.org/10.3390/md17020107
Chicago/Turabian StyleZhang, Xueqian, and Marianne Thomsen. 2019. "Biomolecular Composition and Revenue Explained by Interactions between Extrinsic Factors and Endogenous Rhythms of Saccharina latissima" Marine Drugs 17, no. 2: 107. https://doi.org/10.3390/md17020107
APA StyleZhang, X., & Thomsen, M. (2019). Biomolecular Composition and Revenue Explained by Interactions between Extrinsic Factors and Endogenous Rhythms of Saccharina latissima. Marine Drugs, 17(2), 107. https://doi.org/10.3390/md17020107

