Sorbicillinoid-Based Metabolites from a Sponge-Derived Fungus Trichoderma saturnisporum
Abstract
:1. Introduction
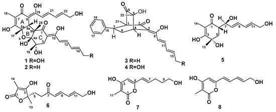
2. Results
3. Discussion
4. Materials and Methods
4.1. General Experimental Procedures
4.2. Fungal Strain
4.3. Fermentation, Extraction, and Isolation
4.4. ECD Calculation
4.5. Antibacterial Assay
5. Conclusions
Supplementary Materials
Author Contributions
Funding
Acknowledgments
Conflicts of Interest
References
- Meng, J.; Wang, X.; Xu, D.; Fu, X.; Zhang, X.; Lai, D.; Zhou, L.; Zhang, G. Sorbicillinoids from fungi and their bioactivities. Molecules 2016, 21, e715. [Google Scholar] [CrossRef] [PubMed]
- Harned, A.M.; Volp, K.A. The sorbicillinoid family of natural products: Isolation, biosynthesis and synthetic studies. Nat. Prod. Rep. 2011, 28, 1790–1810. [Google Scholar] [CrossRef] [PubMed]
- Cram, D.J. Mold metabolism. II. The structure of sorbicillin, a pigment produced by the mold Penicillium notatum. J. Am. Chem. Soc. 1948, 70, 4240–4243. [Google Scholar] [CrossRef] [PubMed]
- El-Elimat, T.; Raja, H.A.; Figueroa, M.; Swanson, S.M.; Falkinham, J.O., III; Lucas, D.M.; Grever, M.R.; Wani, M.C.; Pearce, C.J.; Oberlies, N.H. Sorbicillinoid analogs with cytotoxic and selective anti-Aspergillus activities from Scytalidium album. J. Antibiot. 2015, 68, 191–196. [Google Scholar] [CrossRef] [PubMed]
- Abdel-Lateff, A.; Fisch, K.; Wright, A.D. Trichopyrone and other constituents from the marine sponge-derived fungus Trichoderma sp. Z. Naturforsch. 2009, 64c, 186–192. [Google Scholar] [CrossRef]
- Zhai, M.; Qi, F.; Li, J.; Jiang, C.; Hou, Y.; Shi, Y.; Di, D.; Zhang, J.; Wu, Q. Isolation of secondary metabolites from the soil-derived fungus Clonostachys rosea YRS-06, a biological control agent, and evaluation of antibacterial activity. J. Agric. Food Chem. 2016, 64, 2298–2306. [Google Scholar] [CrossRef] [PubMed]
- Koyama, N.; Ohshiro, T.; Tomoda, H.; Omura, S. Fungal isobisvertinol, a new inhibitor of lipid droplet accumulation in mouse macrophages. Org. Lett. 2007, 9, 425–428. [Google Scholar] [CrossRef] [PubMed]
- Trifonov, L.S.; Hilpert, H.; Floersheim, P.; Dreiding, A.S.; Rast, D.M.; Skrivanova, R.; Hoesch, L. Bisvertinols: A new group of dimeric vertinoids from Verticillium intertextum. Tetrahedron 1986, 42, 3157–3179. [Google Scholar] [CrossRef]
- Li, D.; Cai, S.; Zhu, T.; Wang, F.; Xiao, X.; Gu, Q. Three new sorbicillin trimers, trisorbicillinones B, C, and D, from a deep ocean sediment derived fungus, Phialocephala sp. FL30r. Tetrahedron 2010, 66, 5101–5106. [Google Scholar] [CrossRef]
- Li, D.; Wang, F.; Xiao, X.; Fang, Y.; Zhu, T.; Gu, Q.; Zhu, W. Trisorbicillinone A, a novel sorbicillin trimer, from a deep sea fungus, Phialocephala sp. FL30r. Tetrahedron Lett. 2007, 48, 5235–5238. [Google Scholar] [CrossRef]
- Cabrera, G.M.; Butler, M.; Rodriguez, A.; Godeas, A.; Haddad, R.; Eberlin, M.N. A sorbicillinoid urea from an intertidal Paecilomyces marquandii. J. Nat. Prod. 2006, 69, 1806–1808. [Google Scholar] [CrossRef] [PubMed]
- Peng, J.; Zhang, X.; Du, L.; Wang, W.; Zhu, T.; Gu, Q.; Li, D. Sorbicatechols A and B, antiviral sorbicillinoids from the marine- derived fungus Penicillium chrysogenum PJX-17. J. Nat. Prod. 2014, 77, 424–428. [Google Scholar] [CrossRef] [PubMed]
- Guo, W.; Peng, J.; Zhu, T.; Gu, Q.; Keyzers, R.A.; Li, D. Sorbicillamines A-E, nitrogen-containing sorbicillinoids from the deep-sea-derived fungus Penicillium sp. F23-2. J. Nat. Prod. 2013, 76, 2106–2112. [Google Scholar] [CrossRef] [PubMed]
- Du, L.; Zhu, T.J.; Li, L.Y.; Cai, S.X.; Zhao, B.Y.; Gu, Q.Q. Cytotoxic sorbicillinoids and bisorbicillinoids from a marine-derived fungus Trichoderma sp. Chem. Pharm. Bull. 2009, 57, 220–223. [Google Scholar] [CrossRef] [PubMed]
- Dunlop, R.W.; Simon, A.; Sivasithampara, K.; Ghisalberti, E.L. An antibiotic from Trichoderma Koningii active against soilborne plant pothogens. J. Nat. Prod. 1989, 52, 67–74. [Google Scholar] [CrossRef]
- Bringmann, G.; Lang, G.; Gulder, T.A.M.; Tsuruta, H.; Mühlbacher, J.; Maksimenka, K.; Steffens, S.; Schaumann, K.; Stohr, R.; Wiese, J. The first sorbicillinoid alkaloids, the antileukemic sorbicillactones A and B, from a sponge-derived Penicillium chrysogenum strain. Tetrahedron 2005, 61, 7252–7265. [Google Scholar] [CrossRef]
- Kawahara, T.; Takagi, M.; Shin-ya, K. JBIR-124: A novel antioxidative agent from a marine sponge-derived fungus Penicillium citrinum. J. Antibiot. 2012, 65, 45–47. [Google Scholar] [CrossRef] [PubMed]
- Mazzucco, C.E.; Warr, G. Trichodimerol (BMS-182123) inhibits lipopolysaccharide-induced eicosanoid secretion in THP-1 human monocytic cells. J. Leukocyte Biol. 1996, 60, 271–277. [Google Scholar] [CrossRef] [PubMed]
- Bringmann, G.; Lang, G.; Bruhn, T.; Schäffler, K.; Steffens, S.; Schmaljohann, R.; Wiese, J.; Imhoff, J.F. Sorbifuranones A-C, sorbicillinoid metabolites from Penicillium strains isolated from Mediterranean sponges. Tetrahedron 2010, 66, 9894–9901. [Google Scholar] [CrossRef]
- Sperry, S.; Samuels, G.J.; Crews, P. Vertinoid polyketides from the saltwater culture of the fungus Trichoderma longibrachiatum separated from a Haliclona marine sponge. J. Org. Chem. 1998, 63, 10011–10014. [Google Scholar] [CrossRef]
- Ritieni, A.; Fogliano, V.; Nanno, D.; Randazzo, G.; Altomare, C.; Perrone, G.; Bottalico, A.; Maddau, L.; Marras, F. Paracelsin E, a new peptaibol from Trichoderma saturnisporum. J. Nat. Prod. 1995, 58, 1745–1748. [Google Scholar] [CrossRef] [PubMed]
- Diánez, M.F.; Santos, M.; Carretero, F.; Marín, F. Trichoderma saturnisporum, a new biological control agent. J. Sci. Food Agric. 2016, 96, 1934–1944. [Google Scholar] [CrossRef] [PubMed]
- Andrade, R.; Ayer, W.A.; Mebe, P.P. The metabolites of Trichoderma longibrachiatum. Part 1. Isolation of the metabolites and the structure of trichodimerol. Can. J. Chem. 1992, 70, 2526–2535. [Google Scholar] [CrossRef]
- Harada, N.; Nakanishi, K. Circular Dichroic Spectroscopy Exciton Coupling in Organic Stereochemistry; University Science Books: Mill Valley, CA, USA, 1983. [Google Scholar]
- Mazzeo, G.; Santoro, E.; Andolfi, A.; Cimmino, A.; Troselj, P.; Petrovic, A.G.; Superchi, S.; Evidente, A.; Berova, N. Absolute configurations of fungal and plant metabolites by chiroptical methods. ORD, ECD, and VCD studies on phyllostin, scytolide, and oxysporone. J. Nat. Prod. 2013, 76, 588–599. [Google Scholar] [CrossRef] [PubMed]
- Ding, Y.; Li, X.; Ferreira, D. Theoretical calculation of electronic circular dichroism of the rotationally restricted 3,8-biflavonoid morelloflavone. J. Org. Chem. 2007, 72, 9010–9017. [Google Scholar] [CrossRef] [PubMed]
- Abe, N.; Sugimoto, O.; Tanji, K.; Hirota, A. Identification of the quinol metabolite “sorbicillinol”, a key intermediate postulated in bisorbicillinoid biosynthesis. J. Am. Chem. Soc. 2000, 122, 12606–12607. [Google Scholar] [CrossRef]
- Trifonov, L.S.; Dreiding, A.S.; Hoesch, L.; Rast, D.M. Isolation of four hexaketides from Verticillium intertextum. Helv. Chim. Acta 1981, 64, 1843–1846. [Google Scholar] [CrossRef]
- Tauchi, T.; Sakuma, H.; Ohno, T.; Mase, N.; Yoda, H.; Takabe, K. Lipase-catalyzed kinetic resolution of tetronic acid derivatives bearing a chiral quaternary carbon: Total synthesis of (S)-(–)-vertinolide. Tetrahedron Asymmetry 2006, 17, 2195–2198. [Google Scholar] [CrossRef]
- Abe, N.; Arakawa, T.; Hirota, A. The biosynthesis of bisvertinolone: Evidence for oxosorbicillinol as a direct precursor. Chem. Commun. 2002, 3, 204–205. [Google Scholar] [CrossRef]
- He, W.; Liu, M.; Li, X.; Zhang, X.; Abdel-Mageed, W.M.; Li, L.; Wang, W.; Zhang, J.; Han, J.; Dai, H.; et al. Fungal biotransformation of tanshinone results in [4+2] cycloaddition with sorbicillinol: Evidence for enzyme catalysis and increased antibacterial activity. Appl. Microbiol. Biotechnol. 2016, 100, 8349–8357. [Google Scholar] [CrossRef] [PubMed]
- Sugaya, K.; Koshino, H.; Hongo, Y.; Yasunaga, K.; Onose, J.; Yoshikawa, K.; Abe, N. The biosynthesis of sorbicillinoids in Trichoderma sp. USF-2690: Prospect for the existence of a common precursor to sorbicillinol and 5-epihydroxyvertinolide, a new sorbicillinoid member. Tetrahedron Lett. 2008, 49, 654–657. [Google Scholar] [CrossRef]
- Neumann, K.; Abdel-Lateff, A.; Wright, A.D.; Kehraus, S.; Krick, A.; Konig, G.M. Novel sorbicillin derivatives with an unprecedented carbon skeleton from the sponge-derived fungus Trichoderma species. Eur. J. Org. Chem. 2007, 207, 2268–2275. [Google Scholar] [CrossRef]
- Abe, N.; Murata, T.; Hirota, A. Novel oxidized sorbicillin dimers with 1,1-diphenyl-2-picrylhydrazyl radical scavenging activity from a fungus. Biosci. Biotechnol. Biochem. 1998, 62, 2120–2126. [Google Scholar] [CrossRef] [PubMed]
- Ciminiello, P.; Fattorusso, E.; Magno, S.; Mangoni, A.; Pansini, M. A novel conjugated ketosteroid from the marine sponge Dictyonella incisa. J. Nat. Prod. 1989, 52, 1331–1333. [Google Scholar] [CrossRef]
- Patrizia, C.; Ernesto, F.; Silvana, M.; Alfonso, M.; Maurizio, P. Incisterols, a new class of highly degraded sterols from the marine sponge Dictyonella incisa. J. Am. Chem. Soc. 1990, 112, 3505–3509. [Google Scholar]
- Ciminiello, P.; Fattorusso, E.; Magno, S.; Mangoni, A.; Ialenti, A.; Di Rosa, M. Furan fatty acid steryl esters from the marine sponge Dictyonella incisa which show inflammatory activity. Experientia 1991, 47, 739–743. [Google Scholar] [CrossRef]
- Murray, B.E. Vancomycin-resistant enterococcal infections. N. Engl. J. Med. 2000, 342, 710–721. [Google Scholar] [CrossRef] [PubMed]









| 1 a | 2 b | |||
|---|---|---|---|---|
| δH | δC | δH | δC | |
| 1 | 193.6 | 193.1 | ||
| 2 | 105.1 | 104.8 | ||
| 3 | 2.75, d (14.6) 2.47, d (14.6) | 35.1 | 2.83, d (14.0) 2.53, d (14.0) | 35.6 |
| 4 | 72.8 | 72.8 | ||
| 4a | 105.9 | 106.1 | ||
| 5a | 79.2 | 78.9 | ||
| 6 | 168.3 | 166.7 | ||
| 7 | 109.3 | 108.9 | ||
| 8 | 191.9 | 191.7 | ||
| 9 | 101.7 | 101.6 | ||
| 9a | 3.67, s | 53.7 | 3.75, s | 53.8 |
| 9b | 59.2 | 58.7 | ||
| 10 | 177.4 | 179.2 | ||
| 11 | 6.42, d (15.2) | 122.3 | 6.40, d (14.4) | 121.1 |
| 12 | 7.28, dd (11.2, 15.2) | 141.0 | 7.25, dd (14.4, 12.0) | 141.9 |
| 13 | 6.54, dd (11.2, 15.2) | 128.3 | 6.39, dd (14.4, 12.0) | 131.1 |
| 14 | 6.27, dt (5.2, 15.2) | 141.8 | 6.24, dq (14.4, 6.8) | 139,2 |
| 15 | 4.22, t (5.2) | 61.5 | 1.87, d (6.8) | 18.1 |
| 16 | 1.22, s | 21.3 | 1.19, s | 21.5 |
| 17 | 1.45, s | 24.5 | 1.45, s | 25.1 |
| 18 | 1.43, s | 5.74 | 1.45, s | 6.2 |
| 19 | 166.5 | 167.6 | ||
| 20 | 6.62, d (15.2) | 122.5 | 6.72, d (14.4) | 122.8 |
| 21 | 7.25, dd (11.2, 15.2) | 136.9 | 7.25, dd (14.4, 12.0) | 137.1 |
| 22 | 6.54, dd (11.2, 15.2) | 128.9 | 6.63, dd (14.4, 12.0) | 128.6 |
| 23 | 6.18, dt (5.2, 15.2) | 138.6 | 6.23, dd (14.4, 4.6) | 139.9 |
| 24 | 4.22, d (5.2) | 61.6 | 4.23, d (4.6) | 62.1 |
| 25 | 1.29, s | 18.7 | 1.34, s | 19.0 |
| 3 a | 4 b | |||
|---|---|---|---|---|
| δH | δC | δH | δC | |
| 1 | 64.6 | 64.8 | ||
| 2 | 197.7 | 198.4 | ||
| 3 | 112.0 | 112.9 | ||
| 4 | 3.32, t (2.8) | 40.5 | 3.46, t (2.8) | 40.7 |
| 5 | 74.8 | 73.7 | ||
| 6 | 211.7 | 209.2 | ||
| 7 | 3.15, dd (10.8, 5.6) | 47.7 | 3.24, dd (10.8, 6.0) | 46.4 |
| 8 | 3.05, ddd (13.5, 10.8, 2.8) 1.90, ddd (13.5, 5.6, 2.8) | 31.4 | 3.09, ddd (13.6, 10.8, 2.8) 1.87, ddd (13.6, 6.0, 2.8) | 31.5 |
| 9 | 167.1 | 166.8 | ||
| 10 | 6.30, d (14.8) | 118.1 | 6.75, d (15.2) | 120.3 |
| 11 | 7.41, dd (14.8, 10.8) | 142.4 | 7.43, dd (15.2, 10.8) | 141.0 |
| 12 | 6.33, dd (14.8, 10.8) | 130.9 | 6.68, dd (15.2, 10.8) | 127.7 |
| 13 | 6.25, dq (14.8, 6.8) | 139.7 | 6.39, dt (15.2, 4.4) | 142.9 |
| 14 | 1.94, d (6.8) | 18.9 | 4.28, t (4.4) | 61.7 |
| 15 | 141.4 | 142.1 | ||
| 16 | 6.98, d (7.6) | 128.4 | 7.07, d (7.6) | 128.4 |
| 17 | 7.26, t (7.6) | 128.6 | 7.29, t (7.6) | 128.4 |
| 18 | 7.26, t (7.6) | 127.4 | 7.26, t (7.6) | 127.0 |
| 19 | 7.26, t (7.6) | 128.6 | 7.29, t (7.6) | 128.4 |
| 20 | 6.98, d (7.6) | 128.4 | 7.07, d (7.6) | 128.4 |
| 21 | 0.93, s | 10.5 | 0.80, s | 10.4 |
| 22 | 1.29, s | 24.4 | 1.26, s | 23.2 |
| OH-5 | 2.69, s | 5.05, s | ||
| OH-9 | 14.34, s | 14.40, s | ||
| OH-14 | 4.10, t (4.4) |
| 5 a | 6 a | 7 b | 8 a | |
|---|---|---|---|---|
| 4 | 6.01, s | 6.08, s | ||
| 5 | 1.96, dd (12.8, 4.8) 1.66, dd (12.8, 12.0) | 2.07, t (7.6) | ||
| 6 | 2.69, ddd (12.0, 7.4, 4.8) | 2.50, t (7.6) | 6.11, d (16.0) | 6.19, d (15.2) |
| 7 | 4.49, t (7.4) | 6.63, dt (16.0, 7.2) | 7.06, dd (15.2, 10.8) | |
| 8 | 5.65, dd (14.4, 7.4) | 6.18, d (16.0) | 2.32, dt (7.2, 7.6) | 6.45, dd (15.2, 10.8) |
| 9 | 6.31, dd (14.4, 10.6) | 7.25, dd (16.0, 10.6) | 1.71, tt (7.6, 6.4) | 6.15, dt (15.2, 5.0) |
| 10 | 6.29, dd (14.4, 10.6) | 6.47, dd (16.0, 10.6) | 3.61, t (6.4) | 4.20, d (5.0) |
| 11 | 5.86, dt (14.4, 5.6) | 6.36, dt (16.0, 4.6) | 1.89, s | 1.90, s |
| 12 | 4.12, d (5.6) | 4.22, d (4.6) | ||
| 13 | 1.34, s | 1.44, s | ||
| 14 | 1.68, s | 1.66, s |
| 5 a | 6 a | 7 b | 8 a | |
|---|---|---|---|---|
| 1 | 183.2 | 176.8 | 164.4 | 166.7 |
| 2 | 108.4 | 93.6 | 98.9 | 99.2 |
| 3 | 192.2 | 180.8 | 156.1 | 156.5 |
| 4 | 71.1 | 83.0 | 99.6 | 101.4 |
| 5 | 37.1 | 30.6 | 164.8 | 167.1 |
| 6 | 43.9 | 33.7 | 122.2 | 121.9 |
| 7 | 74.2 | 200.6 | 137.1 | 134.0 |
| 8 | 131.6 | 128.5 | 28.8 | 128.4 |
| 9 | 132.3 | 142.9 | 31.8 | 138.4 |
| 10 | 129.4 | 127.4 | 60.7 | 61.6 |
| 11 | 133.5 | 143.6 | 8.0 | 7.2 |
| 12 | 61.7 | 61.4 | ||
| 13 | 24.0 | 22.2 | ||
| 14 | 6.4 | 4.6 |
| Compounds | MIC (μg/mL) | ||||
|---|---|---|---|---|---|
| S. Aureus | VRE | B. Subtilis | P. Aeruginosa | K. Pneumonica | |
| 1 | >64 | >64 | >64 | >64 | >64 |
| 2 | >64 | >64 | >64 | >64 | >64 |
| 3 | >64 | >64 | >64 | >64 | >64 |
| 4 | >64 | >64 | >64 | >64 | >64 |
| 5 | >64 | >64 | >64 | >64 | >64 |
| 6 | 3.32 | 1.63 | >64 | 6.65 | 6.65 |
| 7 | >64 | >64 | >64 | >64 | >64 |
| 8 | >64 | 12.9 | 12.9 | >64 | >64 |
| ciprofloxacin | 0.125 | ND | 0.125 | ND | ND |
| colistin | ND | ND | ND | 0.125 | 0.125 |
| bacaucin | ND | 16 | ND | ND | ND |
© 2018 by the authors. Licensee MDPI, Basel, Switzerland. This article is an open access article distributed under the terms and conditions of the Creative Commons Attribution (CC BY) license (http://creativecommons.org/licenses/by/4.0/).
Share and Cite
Meng, J.; Cheng, W.; Heydari, H.; Wang, B.; Zhu, K.; Konuklugil, B.; Lin, W. Sorbicillinoid-Based Metabolites from a Sponge-Derived Fungus Trichoderma saturnisporum. Mar. Drugs 2018, 16, 226. https://doi.org/10.3390/md16070226
Meng J, Cheng W, Heydari H, Wang B, Zhu K, Konuklugil B, Lin W. Sorbicillinoid-Based Metabolites from a Sponge-Derived Fungus Trichoderma saturnisporum. Marine Drugs. 2018; 16(7):226. https://doi.org/10.3390/md16070226
Chicago/Turabian StyleMeng, Junjun, Wei Cheng, Hajar Heydari, Bin Wang, Kui Zhu, Belma Konuklugil, and Wenhan Lin. 2018. "Sorbicillinoid-Based Metabolites from a Sponge-Derived Fungus Trichoderma saturnisporum" Marine Drugs 16, no. 7: 226. https://doi.org/10.3390/md16070226
APA StyleMeng, J., Cheng, W., Heydari, H., Wang, B., Zhu, K., Konuklugil, B., & Lin, W. (2018). Sorbicillinoid-Based Metabolites from a Sponge-Derived Fungus Trichoderma saturnisporum. Marine Drugs, 16(7), 226. https://doi.org/10.3390/md16070226

