Abstract
Phidianidines A and B are two novel marine indole alkaloids bearing an uncommon 1,2,4-oxadiazole ring and exhibiting various biological activities. Our previous research showed that the synthesized phidianidine analogs had the potential to inhibit the activity of protein tyrosine phosphatase 1B (PTP1B), a validated target for Type II diabetes, which indicates that these analogs are worth further structural modification. Therefore, in this paper, a series of phidianidine derivatives were designed and rapidly synthesized with a function-oriented synthesis (FOS) strategy. Their inhibitory effects on PTP1B and T-cell protein tyrosine phosphatase (TCPTP) were evaluated, and several compounds displayed significant inhibitory potency and specific selectivity over PTP1B. The structure–activity relationship (SAR) and molecular docking analyses are also described.
1. Introduction
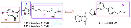
Protein tyrosine phosphatase 1B (PTP1B) is well-recognized as a potential target for the treatment of type II diabetes and obesity [1,2,3,4,5]. Many efforts have been made for the development of PTP1B inhibitors, while their low selectivity over the other protein tyrosine phosphatases (PTPs) and poor cell permeability are still two main issues, which prevent these compounds from being developed as marketed drugs [6,7]. Therefore, searching for new specifically selective PTP1B inhibitors is of high importance. In recent years, natural marine products have been regarded as new sources of potential PTP1B inhibitors, since various marine-derived PTP1B inhibitory phenols, terpenes, alkaloids, and terpene-alkaloid hybrids were isolated from algae, sponges, marine fungi, etc., with IC50 values ranging from 0.8 to 15 μM [8]. Our group has long been engaged in the discovery of bioactive natural marine products, with various novel molecules being isolated and structurally identified [9,10,11]. For example, phidianidines A and B (Figure 1) are two unprecedented indole alkaloids, bearing an uncommon 1,2,4-oxadiazole ring and a terminal guanidine group, isolated from the marine opisthobranch mollusk Phidiana militaris in 2011 [12]. These metabolites and their derivatives were found to exhibit significant cytotoxic, DAT inhibitory, or neuroprotective activities [13,14,15].
Figure 1.
Structures of phidianidines (1 and 2) and their protein tyrosine phosphatase 1B (PTP1B) inhibitory analog 3.
Based on previously mentioned bioactivities of phidianidines, in 2016 our group designed a series of new phidianidine analogs, and first reported their PTP1B inhibitory activities [16]. In this previous work, we assumed that the guanidine group was not the required function group, according to Lindersley’s research [14], and thus we did the preliminary function-oriented synthesis (FOS) of the phidianidine analogs towards PTP1B inhibitors. Several synthesized products (e.g., compound 3, Figure 1) exhibited considerable inhibitory activities, with specific selectivity against other PTPs, such as T-cell protein tyrosine phosphatase (TCPTP); in addition, their synthesis is easy in comparison to the natural products with a guanidine group. However, there were still seven synthetic steps involved in the route, with transition metals needed in two of them, which are not economical and eco-friendly enough. Besides, whether the guanidine group is a required functionality or not for the PTP1B inhibitory effect is still not confirmed. Therefore, further FOS and structure–activity relationship (SAR) study are worthwhile, to be conducted towards more biologically-active yet affordable PTP1B inhibitors. It is worth mentioning that TCPTP, a phosphatase implicated in regulating T-cell activation, as a very important member of the PTP family, shows the highest homology to PTP1B. Therefore, selective inhibitory effect on PTP1B over TCPTP is essential for anti-diabetic drug discovery. In this paper, we prepared 40 phidianidine analogs (9a–9e, 10a–10e, 13a–13i, and 14a–14u) with two different synthetic routes, by simplifying the C moiety on top of our previous result. The analogs’ PTP1B inhibitory activities were evaluated and the SAR was investigated. All the compounds were subjected to specific selectivity studies over TCPTP. A docking analysis of selected compounds 14c, 14p and 14l−14n into the active site of PTP1B was also performed.
2. Results and Discussion
2.1. Initial Synthesis of Analogs and Biological Evaluation
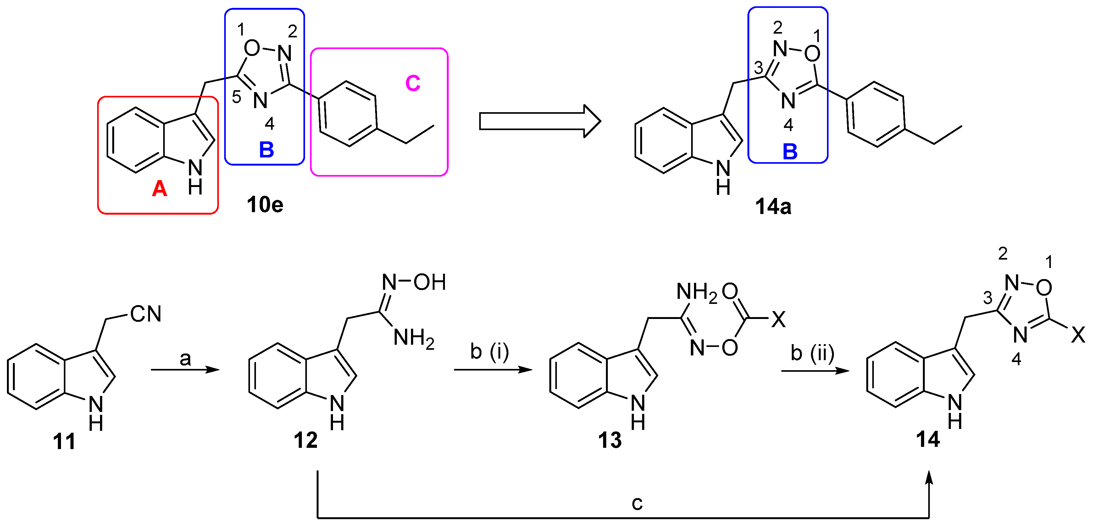
The initial plan was to simplify the C moiety of compound 3 by removing one aryl ring, as shown in Scheme 1. The synthesis was similar as our previous reported route. The treatment of aryl aldehyde 4 (4a−4d) hydroxylamine hydrochloride (NH2OH·HCl), in the presence of sodium hydroxide (NaOH) in 50% EtOH (in water), yielded oxime 5. Dehydration of 5 with a dichloro(p-cymene)ruthenium(II) dimer in acetonitrile (CH3CN) led to the nitrile 6 [17], which further reacted with NH2OH·HCl and sodium bicarbonate (NaHCO3) in EtOH, affording amidoxime 7. Esterification of 7 with 3-indoleacetic acid in the presence of 2-(7-Azabenzotriazol-1-yl)-N,N,N′,N′-tetramethyluronium hexafluorophosphate (HATU) and N,N-diisopropylethylamine (DIPEA) in CH2Cl2 provided compound 9. Intramolecular cyclization of 9 in the presence of sodium acetate (NaOAc) in 30% EtOH under reflux gave rise to the oxadiazole product 10 [18]. In order to make sure that the guanidine group was not correlated for the PTP1B inhibitory activity, the natural product phidianidine B (2) was also synthesized by following Chamberland’s route [19].
Scheme 1.
Reagent and conditions: (a) NH2OH·HCl, NaOH, 50% EtOH, r.t., overnight; (b) Dichloro(p-cymene)ruthenium(II) dimer, CH3CN, 80 °C, 4 h; (c) NH2OH·HCl, NaHCO3, EtOH, r.t., 4 h; (d) HATU, DIPEA, CH2Cl2, r.t., 2 h; (e) NaOAc, 30% EtOH, reflux, overnight.
The inhibitory activities of the synthesized phidianidine B (2) and its analogs 9a–9e and 10a–10e against PTP1B were measured, using p-nitrophenyl phosphate (pNPP) as a substrate. Oleanolic acid, a known PTP1B inhibitor, was used as the positive control. The results are summarized in Table 1. The primary bioassay results indicated that the initial FOS is unsatisfied, since only one synthetic step was shortened, while just compound 10e displayed moderate PTP1B inhibitory activity, with 50.5% inhibition (IC50 = 16.8 μM). Nevertheless, the preliminary SAR study suggested that the 1,2,4-oxadiazole was necessary for the activity, since the ring opening compounds 9a−9e showed no effects. Moreover, the larger R group seemed to be helpful for the biological effect, as revealed by the inhibition percentage of 10c−10e, while the guanidine chain was proved to be unwanted as showed by the inhibition rate of 2.
Table 1.
Inhibitory activity of compounds 9a–9e and 10a–10e on PTP1B.
2.2. Second Round Synthesis and Biological Evaluation
In order to shorten the synthetic steps, and to efficiently obtain more analogs for further biological evaluation, we decided to change the linkage of the A and B moieties from the C-5 position of the 1,2,4-oxadiazole in compound 10 to its C-3 position in compound 14, as displayed in Scheme 2, of which the synthetic steps could then be greatly reduced to three or two steps. With this strategy, we first synthesized compound 14a as the aforementioned B moiety isomer of compound 10e, and evaluated its PTP1B inhibitory activity. Fortunately, 14a exhibited the similar effect as 10e, with an IC50 value of 13.5 μM, which proved that the linkage position of the 1,2,4-oxadiazole has no obvious influence on the activity. Therefore, starting from 3-indoleacetonitrile (11), by using the synthetic routes shown in Scheme 2, a nucleophile was added, followed by esterification with either carboxylic acids or acyl chlorides and an immediate 1,2,4-oxadiazole ring closing under reflux, yielding a number of 14a analogs 14b–14u. It is worth mentioning that when treating compound 13i in the presence of NaOAc under reflux in order to close the 1,2,4-oxadiazole ring, the bromine group has also been substituted by acetoxyl group towards compound 14i.
Scheme 2.
Reagent and conditions: (a) NH2OH·HCl, NaHCO3, EtOH, 65 °C, 4 h; (b) for 14a–14k, and 14p–14u: i, carboxylic acid, HATU, DIPEA, CH2Cl2, r.t., 2 h; ii, NaOAc, 30% EtOH, reflux, overnight. (c) For 14l–14o, acyl chloride, K2CO3, toluene, reflux, 4 h.
In fact, compounds 14b–14u were designed and synthesized in three directions. The first one was based on the previous results of 10e and 14a, of which different substitutes were introduced to the benzene ring of the C moiety, including nucleophilic and electrophilic groups. As indicated from the PTP1B inhibitory results of 14a–14h in Table 2, the length of the alkyl side chain on the benzene ring played a highly important role on the activity. Compound 14c, possessing the longest hexyl chain, exhibited the strongest PTP1B inhibitory activity, with an IC50 value of 4.9 μM. Other nucleophilic groups, such as methoxyl (14f), or an electrophilic group like trifluoromethyl (14d) showed no activity at 20 μM. The second direction was to replace the phenyl group with aliphatic and naphthenic substitutions towards 14h–14n, of which the compounds comprising naphthenic groups such as cyclobutyl (14l) and cyclohexyl (14n) displayed significant PTP1B inhibitory activities, with IC50 values of 8.6 and 5.3 μM, respectively. The last route was to replace the phenyl group on other aromatic rings, such as pyridine and indole, towards 14o–14u. As can be observed from the results in Table 2, the introduction of the pyridine ring (for 14o) has no influence on improving inhibitory activity, while the indole ring greatly improved the effect, with IC50 values ranging from 5.8 to 9.7 μM for compounds 14p–14u, among which 14p (IC50 = 5.8 μM) is the strongest PTP1B inhibitor. The SAR analysis revealed that the presence of the halogen substitutions reduced inhibitory activity, with the F group shown to be the worst. In addition, the 1,2,4-oxadiazole group was further confirmed to be necessary for inhibitory activity, since the ring opening compounds 13a−13c all showed no activity comparing to the corresponding 14a−14c.
Table 2.
Inhibitory activity of compounds 13a–13i and 14a–14u on PTP1B.
The selectivity of all the PTP1B inhibitory compounds was also evaluated against TCPTP. As shown in Table 3, none of the compounds showed significant inhibitory activities against TCPTP at the concentration of 20 μM, suggesting highly specific selectivity of these molecules towards PTP1B. Among them, compound 14n showed the lowest inhibitory percentage at 20 μM against TCPTP, indicating the highest selectivity of 14n on PTP1B.
Table 3.
Inhibitory activity of PTP1B inhibitory compounds on T-cell protein tyrosine phosphatase (TCPTP) a.
2.3. Structure–Activity Relationship and Docking Analyses
In summary, the FOS of phidianidine analogs led to the discovery of three different PTP1B inhibitory compounds—14c, 14n, and 14p—with IC50 values of 4.9, 5.3, and 5.8 μM, respectively. From the structures of all the three compounds, and based on the preliminary SAR study, we speculate that the strong activity of compound 14c might be due to the long chain well filling the ligand-binding pocket of the PTP1B protein. The improved activity of 14p compared to the other aromatic analogs could possibly be attributed to the hydrogen bond interaction of its NH with the amino acid residue of PTP1B. However, the significant activity of the cyclohexyl-substituted compound 14n was difficult to explain. On the basis of the above speculation, and in order to understand the inhibitory mechanism of the most active compounds against PTP1B, compounds 14c, 14n, and 14p were initially selected to perform the molecular docking analysis [10]. The X-ray crystal structure of PTP1B, with a resolution of 2.50 Å (Protein Data Bank, 2QBP), was used for the docking studies. Figure 2 displays the binding mode of the selected compounds with PTP1B. For 14c, we can easily observe the long chain filling the ligand-binding pocket of the PTP1B protein (Figure 2, docking figure of 14c showing surface). Moreover, the alkyl chain on the benzene ring overlapped with the PHE182 amino acid residue, and the benzene ring helped to induce the alkyl chain into the right pocket; otherwise, the flexible long alkyl chain cannot fill the inner space, which reasonably explains the disappearance of the inhibitory activity for 14h and 14i (Figure 2). In addition, the N–H on the oxadiazole ring of 14c formed a hydrogen bond interaction with the glutamate residues (GLN262), which enhanced its activity. For 14p and 14n, the N–H on the indole ring can form a hydrogen bond interaction with the aspartic acid residue (ASP48) of PTP1B. In addition, Figure 2 showed that the cyclohexyl of 14n and the other indole ring of 14p could fill the inner space of the pocket with the appropriate molecular size. However, it is still difficult to explain the lack of activity for compound 14m, since its cyclopentyl moiety seems to have no big difference to the cyclohexyl on 14n. Therefore, the 14n analogs 14l and 14m were also applied for the docking analysis, and interestingly, 14m showed totally different docking results from those of 14l and 14n, with the cyclopentane ring on the opposite site of the pocket (Figure 2). Besides, there were no bond interactions between 14m and PTP1B, which further explained the disappearance of its inhibitory activity. For 14l, although no bond interactions were found, its cyclobutane ring was small enough to go deeply into the pocket (Figure 2), which guaranteed the relatively strong activity. Finally, the molecular docking results rationally explained the PTP1B activity of the synthetic compounds and supported our SAR analysis. Compound 14n, as the most selective candidate over PTP1B, should be further modified on its cyclohexane ring by adding a long alkyl chain and hydrogen bond donor to form a better interaction structure for binding to PTP1B with stronger activity and better selectivity. This research would thus give an insight on the discovery of novel specific PTP1B inhibitors from marine sources towards anti-diabetes drugs.
Figure 2.
Docking results for compounds 14c, 14p, and 14l–14n on PTP1B, respectively (upper row: without showing surface of PTP1B, lower row: showing surface of PTP1B).
3. Experimental Section
3.1. Chemistry
All the chemicals were obtained from commercial sources. The NMR spectra were measured on Bruker Avance spectrometers (400 MHz for 1H; Avance III 400, and 125 MHz for 13C; Avance III 500, Bruker Biospin AG, Uster, Switzerland). Chemical shifts were expressed in δ (ppm) and coupling constants (Ј) in Hz. Commercial Silica gel (200–300 mesh, Sinopharm Chemical Reagent Co., Ltd., Shanghai, China) was used for column chromatography and pre-coated Silica gel plates (HSGF254, Sinopharm Chemical Reagent Co., Ltd., Shanghai, China) were used for analytical TLC. ESI-MS spectra were recorded on a Q-TOF Micromass spectrometer (1290-6545 UHPLC-QTOF, Micromass, Wythenshawe, UK).
3.1.1. General Synthetic Procedure of Oxime 5 and Nitrile 6
To a solution of aldehyde 4 (9.4 mmol, 1.0 equiv) in EtOH (30 mL) was added hydroxylamine hydrochloride (11.3 mmol, 1.2 equiv) and sodium hydroxide (18.8 mmol, 2.0 equiv). The mixture was stirred at room temperature overnight. EtOH was removed in vacuo. The residue was added water and extracted with ethyl acetate (3 × 30 mL), washed with brine (3 × 30 mL), dried over anhydrous MgSO4, and concentrated. The residue was subjected to silica gel chromatography with petroleum ether/CH2Cl2 (3:2) to make oxime 5. To a solution of oxime 5 (6.0 mmol, 1.0 equiv) in acetonitrile was added [Ru2(p-PriC6H4Me)2(μ-Cl)Cl]2 (0.3 mmol, 0.05 equiv) and refluxed for 4 h. The mixture was filtered, and the filtrate was concentrated in vacuo. The residue was subjected to silica gel chromatography with petroleum ether/CH2Cl2 (2:1) to make nitrile 6.
3.1.2. Synthesis of Carboxamidine 7
To a solution of nitrile 6 (3.3 mmol, 1.0 equiv) in EtOH (15 mL) was added hydroxylamine hydrochloride (4.0 mmol, 1.2 equiv) and NaHCO3 (6.6 mmol, 2.0 equiv). The mixture was refluxed for 4 h. The reaction mixture was diluted with EtOAc, filtered, and concentrated in vacuo. Water was added to the residue and extracted with ethyl acetate (3 × 30 mL), washed with brine (1 × 30 mL), dried over anhydrous MgSO4, and concentrated. The residue was subjected to silica gel chromatography with EtOAc/MeOH (9:1) to make carboxamidine 7.
3.1.3. Synthesis of Carboxamidine 9
To a solution of 3-indoleacetic acid (3.6 mmol, 1.0 equiv) in CH2Cl2 (20 mL), DIPEA (4.7 mmol, 1.3 equiv) and HATU (3.6 mmol, 1.0 equiv) were added, and the reaction mixture was stirred for 30 min, then carboxamidine 7 (3.6 mmol, 1.0 equiv) dissolved in CH2Cl2 (10 mL) was added and stirred for 2 h. The mixture was filtered and the residue was washed with CH2Cl2, after which the solution was combined and concentrated. The residue was subjected to silica gel chromatography with petroleum ether/EtOAc (2:1) to give carboxamidine 9.
9a: White solid, Yield 85%; 1H NMR (400 MHz, CD3OD): δ 8.13 (d, J = 7.15 Hz, 1H),7.70 (d, J = 7.78 Hz, 1H), 7.61 (d, J = 7.45 Hz, 1H), 7.50 (t, J = 7.66 Hz, 2H), 7.35 (d, J = 8.12 Hz, 1H), 7.27 (s, 1H), 7.11 (t, 1H), 7.03 (t, 1H), 3.73(s, 2H); 13C NMR (125 MHz, CD3OD): δ 166.42, 161.34, 138.25, 134.25, 130.70, 130.55, 129.64, 128.49, 125.03, 122.67, 120.01, 119.63, 112.29, 109.59, 28.25; HR-ESIMS: [M + H]+ calcd. for C17H16N3O2 294.1237, found: 294.1231.
9b: White solid, Yield 80%; 1H NMR (400 MHz, CD3OD): δ 7.75 (m, 2H), 7.64 (d, 1H), 7.37 (d, 1H), 7.25 (s, 1H), 7.15 (m, 3H), 7.05 (t, 1H), 3.96(s, 2H); 13C NMR (125 MHz, CD3OD): δ 172.08, 164.41, 158.89, 137.69, 130.55, 130.46, 128.58, 127.79, 124.95, 122.60, 120.03, 119.51, 116.54, 116.32, 112.41, 108.40, 30.80; HR-ESIMS: [M + H]+ calcd. for C17H15FN3O2 312.1143, found: 312.1144.
9c: White solid, Yield 85%; 1H NMR (400 MHz, CD3OD): δ 7.70 (d, J = 8.79 Hz, 2H), 7.62 (d, J = 6.72 Hz, 1H), 7.43 (d, J = 8.79 Hz, 2H), 7.36 (d, J = 8.10 Hz, 1H), 7.25 (s, 1H), 7.11 (t, 1H), 7.06 (t, 1H), 3.96 (s, 2H); 13C NMR (125 MHz, CD3OD): δ 172.08, 158.85, 138.08, 137.85, 131.44, 129.81, 129.74, 129.57, 128.81, 128.61, 124.84, 122.58, 120.02, 119.42, 112.38, 108.37, 30.91; HR-ESIMS: [M − H]− calcd. for C17H13ClN3O2 326.0702, found: 326.0705.
9d: White solid, Yield 90%; 1H NMR (400 MHz, CD3OD): δ 8.28 (d, J = 9.07 Hz, 2H), 7.96 (d, J = 9.07 Hz, 2H), 7.64 (d, J = 7.92 Hz, 1H), 7.37 (d, J = 8.06 Hz, 1H), 7.26 (s, 1H), 7.12 (t, 1H), 7.06 (t, 1H), 3.98 (s, 2H); 13C NMR (125 MHz, CD3OD): δ 172.00, 157.92, 150.69, 138.90, 138.09, 129.53, 124.87, 124.56, 122.60, 120.03, 119.41, 112.40, 108.29, 30.85; HR-ESIMS: [M − H]− calcd. for C17H13N4O4 337.0942, found: 337.0952.
9e: White solid, Yield 85%; 1H NMR (400 MHz, CD3OD): δ 7.63 (m, 3H), 7.36 (d, 1H), 7.26 (m, 3H), 7.12 (t, 1H), 7.05 (t, 1H), 3.96 (s, 2H), 2.67 (m, 2H), 1.23 (t, 3H); 13C NMR (125 MHz, CD3OD): δ 172.15, 159.95, 148.71, 138.09, 130.05, 129.03, 128.63, 128.21, 124.82, 122.58, 120.02, 119.43, 112.37, 108.46, 30.97, 29.68, 15.89; HR-ESIMS: [M + H]+ calcd. for C19H20N3O2 322.1550, found: 322.1543.
3.1.4. Synthesis of Compound 10
A solution of carboxamidine 9 (3.2 mmol, 1.0 equiv) and sodium acetate (6.4 mmol, 2.0 equiv) in 30% EtOH/H2O (10 mL) was refluxed overnight. The EtOH was removed in vacuo, and the residue was added to water and extracted with ethyl acetate (3 × 30 mL), then washed with brine (1 × 30 mL), dried over anhydrous MgSO4, and concentrated. The residue was subjected to silica gel chromatographic with petroleum ether/EtOAc (5:1) to make compound 10.
10a: White solid, Yield 94%; 1H NMR (400 MHz, CD3OD): δ 8.10 (d, J = 7.05 Hz, 1H), 7.63 (d, 2H), 7.56 (d, 2H), 7.35(d, J = 8.13 Hz, 1H), 7.23 (s, 1H), 7.10 (t, 1H), 7.01 (t, 1H), 4.27(s, 2H); 13C NMR (125 MHz, CD3OD): δ 177.04, 172.0, 138.17, 134.06, 130.36, 129.02, 128.41, 125.39, 124.55, 122.59, 119.91, 119.37, 112.33, 109.82, 23.39; HR-ESIMS: [M + H]+ calcd. for C17H14N3O 276.1131, found: 276.1125.
10b: White solid, Yield 92%; 1H NMR (400 MHz, CD3OD): δ 8.08 (d, 1H), 8.06 (d, 1H), 7. 58 (d, J = 7.92 Hz, 1H), 7.37 (d, J = 8.14 Hz, 1H), 7.28 (s, 1H), 7.23 (t, 2H), 7.12 (t, 1H), 7.03 (t, 1H),4.46(s, 2H); 13C NMR (125 MHz, CD3OD): δ 181.15, 168.75, 164.99, 138.12, 130.73, 130.66, 128.16, 124.80, 124.60, 122.79, 120.19, 119.16, 117.09, 116.91, 112.46, 108.06, 24.01; HR-ESIMS: [M − H]− calcd. for C17H11FN3O 292.0892, found: 292.0886.
10c: White solid, Yield 92%; 1H NMR (400 MHz, CD3OD): δ 8.01 (d, J = 8.75 Hz, 2H), 7.92 (d, J = 7.92 Hz, 1H), 7. 50 (d, J = 8.74 Hz, 2H), 7.37 (d, J = 8.14 Hz, 1H), 7.28 (s, 1H), 7.12 (t, 1H), 7.04 (t, 1H), 4.47 (s, 2H); 13C NMR (125 MHz, CD3OD): δ 181.27, 168.77, 164.99, 138.34, 138.12, 130.27, 129.86, 128.16, 126.92, 124.79, 122.79, 120.19, 119.15, 112.46, 108.03, 24.02; HR-ESIMS: [M − H]− calcd. for C17H11ClN3O 308.0596, found: 308.0596.
10d: White solid, Yield 90%; 1H NMR (400 MHz, dimethyl sulfoxide (DMSO)-d6, not soluble in MeOH or CHCl3): δ 8.38 (d, J = 8.98 Hz, 2H), 8.24 (d, J = 8.98 Hz, 2H), 7.57 (d, J = 7.80 Hz, 1H), 7.43 (s, 1H), 7.39 (d, J = 8.11 Hz, 1H), 7.11 (t, 1H), 7.02 (t, 1H), 4.56 (s, 2H); 13C NMR (125 MHz, DMSO-d6): δ 180.31, 166.43, 149.13, 136.17, 132.05, 128.39, 126.61, 124.49, 124.44, 121.37, 118.86, 118.19, 111.63, 106.21, 22.76; HR-ESIMS: [M − H]− calcd. for C17H11N4O3 319.0837, found: 319.0835.
10e: White solid, Yield 85%; 1H NMR (400 MHz, CD3OD): δ 8.55 (t, 2H), 8.20 (t, 1H), 7.94 (m, 4H), 7.73 (t, 1H), 7.66 (t, 1H), 5.07 (m, 2H), 3.93 (s, 2H), 1.87 (m, 3H); 13C NMR (125 MHz, CD3OD): δ 180.87, 169.54, 149.26, 138.12, 129.47, 128.40, 128.17, 125.52, 124.78, 122.78, 120.18, 118.17, 112.45, 108.11, 29.79, 24.03, 15.82; HR-ESIMS: [M + H]+ calcd. for C19H18N3O 304.1444, found: 304.1450.
3.1.5. Synthesis of Carboxamidine 12
To a solution of compound 11 (64.1 mmol, 1.0 equiv) in EtOH (60 mL) was added hydroxylamine hydrochloride (96.2 mmol, 1.5 equiv) and NaHCO3 (192.3 mmol, 3.0 equiv). The mixture was stirred for 4 h at 65 °C. The reaction mixture was diluted with EtOAc, filtered and concentrated in vacuo. Water was added to the residue and extracted with ethyl acetate (3 × 100 mL), washed with brine (1 × 100 mL), dried over anhydrous MgSO4, and concentrated. The residue was subjected to silica gel chromatography with EtOAc /MeOH (9:1) to make carboxamidine 12.
3.1.6. Synthesis of Carboxamidine 13
To a solution of carboxylic acid (0.8 mmol, 1.0 equiv) in CH2Cl2 (5 mL), DIPEA (1.0 mmol, 1.3 equiv) and HATU (0.8 mmol, 1.0 equiv) were added, and the reaction mixture was stirred for 30 min, after which compound 7 (0.8 mmol, 1.0 equiv) in CH2Cl2 (2 mL) was added and stirred for 2 h. The mixture was filtered, the residue was washed with CH2Cl2, and then the solution was combined and concentrated. The residue was subjected to silica gel chromatography with petroleum ether/EtOAc (2:1) to give 13.
13a: White solid, Yield 88%; 1H NMR (400 MHz, CD3OD): δ 8.04 (d, 2H), 7.70 (d, 1H), 7.34 (m, 3H), 7.27 (s, 1H), 7.11 (t, 1H), 7.03 (t, 1H), 3.72 (s, 2H), 2.72 (q, 2H), 1.25 (t, 3H); 13C NMR (125 MHz, CD3OD): δ 166.44, 161.22, 151.46, 138.26, 130.74, 129.13, 125.01, 122.66, 120.01, 119.66, 112.28, 109.65, 29.89, 28.26, 15.73; HR-ESIMS: [M + H]+ calcd. for C19H20N3O2 322.1550, found: 322.1555.
13b: White solid, Yield 82%; 1H NMR (400 MHz, CD3OD): δ 8.03 (d, 2H), 7.70 (d, 1H), 7.35 (d, 1H), 7.31 (d, 2H), 7.26 (s, 1H), 7.11 (t, 1H), 7.02 (t, 1H), 3.72 (s, 2H), 2.69 (t, 2H), 1.61 (m, 2H), 1.37 (m, 2H), 0.94 (t, 3H); 13C NMR (125 MHz, CD3OD): δ 166.45, 161.22, 150.08, 138.25, 130.64, 129.69, 125.01, 122.66, 120.01, 119.65, 112.28, 109.64, 36.62, 34.54, 28.26, 23.32, 14.20; HR-ESIMS: [M + H]+ calcd. for C21H24N3O2 350.1863, found: 350.1870.
13c: White solid, Yield 80%; 1H NMR (400 MHz, CD3OD): δ 8.03 (d, 2H), 7.70 (d, 1H), 7.35 (d, 1H), 7.30 (d, 2H), 7.26 (s, 1H), 7.11 (t, 1H), 7.02 (t, 1H), 3.72 (s, 2H), 2.68 (t, 2H), 1.64 (m, 2H), 1.32 (m, 6H), 0.89 (t, 3H); 13C NMR (125 MHz, CD3OD): δ 166.46, 161.22, 150.10, 138.25, 130.64, 129.69, 125.01, 122.66, 120.01, 119.65, 112.28, 109.64, 36.92, 32.81, 32.31, 29.99, 28.26, 23.63, 14.37; HR-ESIMS: [M + H]+ calcd. for C23H28N3O2 378.2176, found: 378.2182.
13d: White solid, Yield 85%; 1H NMR (400 MHz, CD3OD): δ 8.01 (t, 1H), 7.69 (d, 1H), 7.61 (m, 1H), 7.35 (d, 1H), 7.29 (t, 2H), 7.26 (s, 1H), 7.22 (t, 1H), 7.11 (t, 1H), 7.04 (t, 1H), 3.72 (s, 2H); 13C NMR (125 MHz, CD3OD): δ 164.04, 164.01, 161.96, 161.55, 138.23, 136.05, 135.98, 133.15, 128.46, 125.57, 125.54, 125.03, 122.67, 120.02, 119.60, 119.11, 119.03, 118.03, 117.85, 112.30, 109.45, 28.02; HR-ESIMS: [M + H]+ calcd. for C17H15FN3O2 312.1143, found: 312.1144.
13e: White solid, Yield 85%; 1H NMR (400 MHz, CD3OD): δ 8.32 (d, J = 8.14 Hz, 2H), 7.81 (d, J = 8.28 Hz, 2H), 7.70 (d, J = 7.91 Hz,1H), 7.35 (d, J = 8.14 Hz, 1H), 7.27 (s, 1H), 7.11 (t, 1H), 7.02 (t, 1H), 3.73 (s, 2H); 13C NMR (125 MHz, CD3OD): δ 165.01, 161.67, 138.26, 135.23, 134.42, 131.27, 131.17, 128.48, 126.60, 126.57, 125.03, 122.67, 120.01, 119.65, 112.29, 109.59, 28.25; HR-ESIMS: [M + H]+ calcd. for C18H15F3N3O2 362.1111, found: 362.1112.
13f: White solid, Yield 85%; 1H NMR (400 MHz, CD3OD): δ 8.08 (d, J = 8.97 Hz, 2H), 7.70 (d, J = 7.92 Hz, 1H), 7.35 (d, J = 8.12 Hz,1H), 7.26 (s, 1H), 7.11 (t, J = 7.56 Hz, 1H), 7.04 (s, 1H), 6.99 (t, J = 9.00 Hz, 1H), 3.85 (s, 2H), 3.71 (s, 3H); 13C NMR (125 MHz, CD3OD): δ 166.23, 165.19, 161.09, 138.25, 132.63, 128.50, 125.00, 122.78, 122.66, 120.00, 119.66, 114.88, 112.28, 109.66, 55.99, 28.27; HR-ESIMS: [M + H]+ calcd. for C18H18N3O3 324.1343, found: 324.1347.
13g: White solid, Yield 80%; 1H NMR (400 MHz, CD3OD): δ 7.69 (d, 1H), 7.56 (d, 1H), 7.35 (d, 1H), 7.33 (d, 1H), 7.26 (s, 1H), 7.11 (t, 1H), 7.01 (m, 2H), 3.81 (s, 3H), 3.71 (s, 2H); 13C NMR (125 MHz, CD3OD): δ 166.11, 161.55, 160.37, 138.24, 135.87, 134.49, 128.47, 125.04, 122.67, 120.03, 119.80, 119.63, 117.40, 112.29, 111.77 109.46, 56.24, 28.05; HR-ESIMS: [M + H]+ calcd. for C18H17BrN3O3 402.0448, found: 402.0445.
13h: White solid, Yield 85%; 1H NMR (400 MHz, CD3OD): δ 7.64 (d, 1H), 7.34 (d, 1H), 7.21 (s, 1H), 7.10 (t, 1H), 7.01 (t, 1H), 3.63 (s, 2H), 2.43 (t, 2H), 1.65 (m, 2H), 1.40 (m, 2H), 0.94 (t, 3H); 13C NMR (125 MHz, CD3OD): δ 173.57, 160.85, 138.21, 128.45, 124.93, 122.62, 119.93, 119.63, 112.25, 109.63, 33.38, 28.23, 28.12, 23.30, 14.07; HR-ESIMS: [M + H]+ calcd. for C15H20N3O2 274.1550, found: 274.1553.
13i: White solid, Yield 80%; 1H NMR (400 MHz, CD3OD): δ 7.64 (d, 1H), 7.34 (d, 1H), 7.22 (s, 1H), 7.10 (t, 1H), 7.00 (t, 1H), 3.63 (s, 2H), 3.47 (t, 2H), 2.47 (t, 2H), 1.91 (m, 2H), 1.82 (m, 2H); 13C NMR (125 MHz, CD3OD): δ 173.07, 160.95, 138.21, 128.44, 124.93, 122.62, 119.94, 119.63, 112.25, 109.63, 33.72, 33.23, 32.63, 28.12, 24.65; HR-ESIMS: [M + H]+ calcd. for C15H19BrN3O2 352.0655, found: 352.0663.
3.1.7. Synthesis of Compound 14
A solution of compound 9 (0.4 mmol, 1.0 equiv) and sodium acetate (0.8 mmol, 2.0 equiv) in 30% EtOH/H2O (5 mL), was refluxed overnight. The EtOH was removed in vacuo, the residue was added with water and extracted with ethyl acetate (3 × 5 mL), washed with brine (1 × 5 mL), dried over anhydrous MgSO4, and concentrated. The residue was subjected to silica gel chromatography with petroleum ether/EtOAc (5:1) to give compound 14.
14a: White solid, Yield 84%; 1H NMR (400 MHz, CD3OD): δ 7.99 (d, 2H), 7.59 (d, 1H), 7.37 (d, 2H), 7.34 (d, 1H), 7.22 (s, 1H), 7.09 (t, 1H), 7.01 (t, 1H), 4.24 (s, 2H), 2.71 (q, 2H), 1.25 (t, 3H); 13C NMR (125 MHz, CD3OD): δ 177.14, 171.85, 151.36, 138.15, 129.83, 129.13, 124.53, 122.57, 119.90, 119.37, 112.32, 109.84, 29.89, 23.38, 16.63; HR-ESI: [M + H]+ calcd. for C19H18N3O 304.1444, found: 304.1447.
14b: White solid, Yield 80%; 1H NMR (400 MHz, CD3OD): δ 7.98 (d, 2H), 7.59 (d, 1H), 7.34 (m, 3H), 7.22 (s, 1H), 7.09 (t, 1H), 7.02 (t, 1H), 4.25 (s, 2H), 2.68 (t, 2H), 1.61 (m, 2H), 1.36 (m, 2H), 0.94 (t, 3H); 13C NMR (125 MHz, CD3OD): δ 177.15, 171.85, 150.01, 138.15, 130.39, 129.05, 124.53, 122.58, 119.90, 119.37, 112.32, 109.84, 36.62, 34.47, 23.39, 23.32, 14.19; HR-ESI: [M + H]+ calcd. for C21H22N3O 332.1757, found: 332.1754.
14c: White solid, Yield 86%; 1H NMR (400 MHz, CD3OD): δ 7.97 (d, 2H), 7.59 (d, 1H), 7.34 (m, 3H), 7.21 (s, 1H), 7.09 (t, 1H), 7.00 (t, 1H), 4.24 (s, 2H), 2.65 (t, 2H), 1.61 (m, 2H), 1.31 (m, 6H), 0.88 (t, 3H); 13C NMR (125 MHz, CD3OD): δ 177.13, 171.83, 150.00, 138.14, 130.36, 129.03, 124.53, 122.57, 119.90, 119.37, 112.32, 109.84, 36.91, 32.79, 32.23, 29.98, 23.61, 23.29, 14.37; HR-ESI: [M + H]+ calcd. for C23H26N3O 360.2070, found: 360.2073.
14d: White solid, Yield 82%; 1H NMR (400 MHz, CD3OD): δ 8.09 (t, 1H), 7.63 (m, 2H), 7.35 (m, 3H), 7.23 (s, 1H), 7.09 (t, 1H), 7.01 (t, 1H), 4.29 (s, 2H); 13C NMR (125 MHz, CD3OD): δ 174.00, 171.73, 163.05, 160.99, 138.14, 136.20, 136.13, 131.93, 128.39, 126.10, 126.08, 124.57, 122.58, 119.91, 119.39, 118.19, 118.02, 113.76, 112.32, 109.79, 23.32; HR-ESI: [M + H]+ calcd. for C17H13FN3O 294.1037, found: 294.1035.
14e: White solid, Yield 91%; 1H NMR (400 MHz, CD3OD): δ 8.27 (d, J = 8.16 Hz, 2H), 7.86 (d, J = 8.27 Hz, 2H), 7.60 (s, 2H), 7.34 (d, J = 8.13 Hz, 1H), 7.23 (s, 1H), 7.09 (t, J = 7.58 Hz, 1H), 7.01 (t, J = 7.50 Hz, 1H), 4.28 (s, 2H); 13C NMR (125 MHz, CD3OD): δ 175.67, 172.34, 138.15, 135.23, 134.97, 129.72, 128.88, 128.38, 127.32, 127.29, 126.17, 124.59, 124.00, 122.60, 119.93, 119.36, 112.34, 109.72, 23.36; HR-ESIMS: [M + H]+ calcd. for C18H13F3N3O 344.1005, found: 344.1010.
14f: White solid, Yield 90%; 1H NMR (400 MHz, CD3OD): δ 8.04 (d, 2H), 7.59 (d, 1H), 7.34 (d, 1H), 7.22 (s, 1H), 7.09 (m, 2H), 7.01 (t, 2H), 4.23 (s, 2H), 3.88 (s, 3H); 13C NMR (125 MHz, CD3OD): δ 176.99, 171.76, 165.01, 138.17, 131.00, 128.42, 124.53, 122.57, 119.90, 119.37, 117.66, 115.75, 112.32, 109.88, 56.10, 23.38; HR-ESI: [M + H]+ calcd. for C18H16N3O2 306.1237, found: 306.1234.
14g: White solid, Yield 90%; 1H NMR (400 MHz, CD3Cl, in methanol dissolved is not good): δ 7.76 (d, 1H), 7.60 (d, 1H), 7.46 (d, 1H), 7.36 (m, 1H), 7.21 (m, 2H), 7.14 (t, 1H), 6.94 (dd, 1H), 4.34 (s, 2H), 3.82 (s, 3H); 13C NMR (125 MHz, CD3Cl): δ 174.77, 170.16, 158.86, 136.37, 135.62, 127.25, 126.40, 123.14, 122.46, 120.00, 119.84, 119.23, 116.71, 112.51, 111.31, 110.04, 55.89, 22.91; HR-ESI: [M + H]+ calcd. for C18H15BrN3O2 384.0342, found: 384.0338.
14h: White solid, Yield 80%; 1H NMR (400 MHz, CD3OD): δ 7.51 (d, 1H), 7.33 (d, 1H), 7.16 (s, 1H), 7.08 (t, 1H), 6.98 (t, 1H), 4.15 (s, 2H), 2.84 (t, 2H), 1.72 (m, 2H), 1.35 (m, 2H), 0.91 (t, 3H); 13C NMR (125 MHz, CD3OD): δ 181.73, 171.02, 138.12, 128.32, 124.46, 122.54, 119.85, 119.30, 112.29, 109.79, 29.59, 26.83, 23.18, 23.06, 13.80; HR-ESI: [M + H]+ calcd. for C15H18N3O 256.1372, found: 256.1377.
14i: White solid, Yield 65%; 1H NMR (400 MHz, CD3OD): δ 7.51 (d, 1H), 7.33 (d, 1H), 7.17 (s, 1H), 7.09 (t, 1H), 6.98 (t, 1H), 4.17 (s, 2H), 4.06 (t, 2H), 2.91 (t, 2H), 2.00 (s, 3H), 1.85 (m, 2H), 1.69 (m, 2H); 13C NMR (125 MHz, CD3OD): δ 181.33, 172.92, 171.12, 138.14, 128.34, 124.48, 122.55, 119.86, 119.32, 112.30, 109.79, 64.90, 28.92, 26.70, 24.09, 23.20, 20.74; HR-ESI: [M + H]+ calcd. for C17H20N3O3 314.1499, found: 314.1500.
14j: White solid, Yield 70%; 1H NMR (400 MHz, CD3OD): δ 7.53 (d, 1H), 7.33 (d, 1H), 7.16 (s, 1H), 7.08 (t, 1H), 6.99 (t, 1H), 4.15 (s, 2H), 3.17 (m, 1H), 1.32 (d, 6H), 1.35 (m, 2H), 0.91 (t, 3H); 13C NMR (125 MHz, CD3OD): δ 185.49, 170.96, 138.10, 128.33, 124.47, 122.54, 119.86, 119.31, 112.29, 109.77, 28.54, 23.22, 20.32; HR-ESI: [M + H]+ calcd. for C14H16N3O 242.1215, found: 242.1212.
14k: White solid, Yield 65%; 1H NMR (400 MHz, CD3OD): δ 7.55 (d, 1H), 7.35 (m, 2H), 7.19 (s, 1H), 7.10 (t, 1H), 7.00 (t, 1H), 4.24 (s, 2H); 13C NMR (125 MHz, CD3OD): δ 175.37, 172.18, 138.08, 128.24, 124.62, 122.62, 119.96, 119.26, 112.34, 109.19, 59.86, 23.21; HR-ESI: [M + H]+ calcd. for C12H10Cl2N3O 282.0123, found: 282.0127.
14p: White solid, Yield 65%; 1H NMR (400 MHz, CD3OD): δ 7.50 (d, 1H), 7.45 (d, 1H), 7.33 (dd, 2H), 7.17 (s, 1H), 7.13 (s, 1H), 7.09 (m, 2H), 6.97 (t, tH), 4.32 (s, 2H), 4.14 (s, 2H); 13C NMR (125 MHz, CD3OD): δ 178.67, 169.88, 136.35, 136.24, 123.12, 122.56, 122.35, 120.02, 119.76, 119.76, 119.06, 118.76, 111.42, 111.32, 109.82, 107.95, 23.47, 22.78; HR-ESI: [M + H]+ calcd. for C20H17N4O 329.1397, found: 329.1388.
14q: White solid, Yield 74%; 1H NMR (400 MHz, CD3OD): δ 7.50 (d, 1H), 7.29 (m, 2H), 7.20 (s, 1H), 7.16 (d, 1H), 7.12 (s, 1H), 7.07 (t, 1H), 6.97 (t, 1H), 6.87 (t, 1H) 4.25 (s, 2H), 4.13 (s, 2H); 13C NMR (125 MHz, CD3OD): δ 180.53, 171.21, 159.80, 158.26, 138.07, 134.57, 128.43, 128.36, 128.29, 126.73, 124.46, 122.54, 119.89, 119.31, 113.29, 113.22, 112.27, 110.98, 110.80, 109.74, 108.29, 108.25, 103.96, 103.80, 23.74, 23.17; HR-ESIMS: [M − H]− calcd. for C20H14FN4O 345.1157, found: 345.1161.
14r: White solid, Yield 78%; 1H NMR (400 MHz, CD3OD): δ 7.51 (m, 2H), 7.31 (m, 2H), 7.24 (s, 1H), 7.14 (s, 1H), 7.08 (m, 2H), 6.97 (t, 1H), 4.31 (s, 2H), 4.16 (s, 2H); 13C NMR (125 MHz, CD3OD): δ 180.47, 171.27, 138.11, 136.45, 129.22, 128.33, 126.51, 125.99, 124.46, 122.94, 122.54, 119.90, 119.31, 118.69, 113.67, 112.28, 109.77, 108.00, 23.69, 23.19; HR-ESIMS: [M − H]− calcd. for C20H14ClN4O 361.0862, found: 361.0858.
14s: White solid, Yield 82%; 1H NMR (400 MHz, CD3OD): δ 7.66 (d, 1H), 7.51 (d, 1H), 7.32 (d, 1H), 7.20 (m, 2H), 7.14 (s, 1H), 7.08 (t, 1H), 6.98 (t, 1H), 4.30 (s, 2H), 4.15 (s, 2H); 13C NMR (125 MHz, CD3OD): δ 180.44, 171.26, 138.11, 136.69, 129.88, 128.33, 126.35, 125.54, 124.46, 122.54, 121.84, 119.91, 119.31, 114.10, 113.38, 112.28, 109.76, 107.90, 23.67, 23.18; HR-ESIMS: [M − H]− calcd. for C20H14BrN4O 405.0356, found: 405.0356.
14t: White solid, Yield 88%; 1H NMR (400 MHz, CD3OD): δ 7.51 (m, 2H), 7.31 (m, 2H), 7.24 (s, 1H), 7.14 (s, 1H), 7.08 (m, 2H), 6.97 (t, 1H), 4.31 (s, 2H), 4.16 (s, 2H); 13C NMR (125 MHz, CD3OD): δ 180.47, 171.27, 138.11, 136.45, 129.22, 128.33, 126.51, 125.99, 124.46, 122.94, 122.54, 119.90, 119.31, 118.69, 113.67, 112.28, 109.77, 108.00, 23.69, 23.19; HR-ESIMS: [M − H]− calcd. for C20H14ClN4O 361.0862, found: 361.0870.
14u: White solid, Yield 82%; 1H NMR (400 MHz, CD3OD): δ 7.49 (d, 1H), 7.29 (t, 2H), 7.21 (s, 1H), 7.10 (s, 1H), 7.08 (t, 1H), 7.03 (t, 1H), 6.96 (m, 2H), 4.54 (s, 2H), 4.13 (s, 2H); 13C NMR (125 MHz, CD3OD): δ 181.46, 171.12, 139.70, 138.08, 123.37, 122.51, 120.86, 119.85, 119.33, 112.24, 111.62, 109.78, 107.89, 25.42, 23.21; HR-ESIMS: [M − H]− calcd. for C20H14ClN4O 361.0862, found: 361.0864.
3.1.8. Synthesis of Compound 14l−14o
To a solution of acyl chloride (2.7 mmol, 1.0 equiv) and potassium carbonate (3.2 mmol, 1.2 equiv) in toluene (10 mL), compound 12 (2.7 mmol, 1.0 equiv) was added and under reflux for 4h. The mixture was filtered, and the residue was washed with CH2Cl2; then, the solution was combined and concentrated. The residue was subjected to silica gel chromatography with petroleum ether/EtOAc (5:1) to give compounds 14l−14o.
14l: White solid, Yield 60%; 1H NMR (400 MHz, CD3OD): δ 7.53 (d, 1H), 7.33 (d, 1H), 7.17 (s, 1H), 7.09 (t, 1H), 6.98 (t, 1H), 4.16 (s, 2H), 3.75 (m, 1H), 2.39 (m, 4H), 2.08 (m, 2H); 13C NMR (125 MHz, CD3OD): δ 183.61, 171.03, 138.09, 128.33, 124.48, 122.54, 119.86, 119.30, 112.29, 109.77, 32.52, 27.98, 23.22, 19.57; HR-ESIMS: [M + H]+ calcd. for C15H16N3O 254.1288, found: 254.1285.
14m: White solid, Yield 65%; 1H NMR (400 MHz, CD3OD): δ 7.53 (d, 1H), 7.33 (d, 1H), 7.17 (s, 1H), 7.09 (t, 1H), 6.98 (t, 1H), 4.16 (s, 2H), 3.75 (m, 1H), 2.39 (m, 4H), 2.08 (m, 2H); 13C NMR (125 MHz, CD3OD): δ 183.61, 171.03, 138.09, 128.33, 124.48, 122.54, 119.86, 119.30, 112.29, 109.77, 32.52, 27.98, 23.22, 19.57; HR-ESIMS: [M + H]+ calcd. for C16H18N3O 268.1382, found: 268.1391.
14n: White solid, Yield 60%; 1H NMR (400 MHz, CD3OD): δ 7.53 (d, 1H), 7.33 (d, 1H), 7.16 (s, 1H), 7.09 (t, 1H), 6.99 (t, 1H), 4.16 (s, 2H), 2.95 (m, 1H), 2.03 (m, 2H), 1.80 (m, 2H); 1.59 (m, 2H); 1.42 (m, 2H); 1.32 (m, 2H); 13C NMR (125 MHz, CD3OD): δ 184.49, 170.88, 138.12, 128.34, 124.46, 122.54, 119.85, 119.31, 112.29, 109.77, 37.42, 31.25, 30.76, 26.62, 23.34; HR-ESIMS: [M + H]+ calcd. for C17H20N3O 282.1601, found: 282.1603.
14o: White solid, Yield 63%; 1H NMR (400 MHz, CD3OD): δ 8.72 (d, 1H), 8.24 (d, J = 7.92 Hz, 1H), 8.03 (t, 1H), 7.60 (m, 2H), 7.34 (d, J = 8.13 Hz 1H), 7.24 (s, 1H), 7.09 (t, 1H), 7.02 (t, 1H), 4.31 (s, 2H); 13C NMR (125 MHz, CD3OD): δ 175.36, 172.34, 151.26, 144.35, 139.54, 138.14, 128.45, 125.58, 124.62, 122.59, 119.93, 119.33, 112.33, 109.70, 23.38; HR-ESIMS: [M + H]+ calcd. for C16H13N4O 277.1084, found: 277.1089.
3.2. Biological Assay
For screening of PTP1B and TCPTP, 2 μL of the stock solution of each compoud (1 mM) in DMSO were transferred into individual wells of 96-well flat bottom plates, to give a final concentration of 20 μM of extract in 2% DMSO. After incubation with the enzymes for 15 min, 10 times-concentrated substrates were added to initiate the enzymatic reaction, and the resultant enzymatic activity normalized against the control (2% DMSO) to obtain the inhibition rate of the compound. When the inhibition rate was more than 50% at 20 μM, the dose–response inhibition assay of the compound was performed to determine the 50% percentage inhibition concentrations (IC50).
3.3. Molecular Docking
The LigPrep panel was employed to generate stereoisomers and protonation states of our compounds with Epik integrated in Maestro 9.1 (Schrödinger, LLC, New York, NY, USA, 2010) [20,21]. The crystal structure of hPTB1B (PDB access code: 2QBP) was retrieved from the Protein Data Bank (http://www.rcsb.org/pdb/home/home.do) and chosen as the receptor for molecular docking. The Protein Preparation Wizard module integrated in the Maestro program suite was applied to prepare the receptor [22]. Docking simulations were performed using the GLIDE 5.5 (Grid-based Ligand Docking with Energetics) program with the extra precision (XP) mode. Other parameters were set as the default.
Acknowledgments
This research work was financially supported by the Natural Science Foundation of China (Nos. 41676073, 81520108028, 81603022), NSFC-Shandong Joint Fund for Marine Science Research Centers (No. U1606403), the SKLDR/SIMM Projects (SIMM 1705ZZ-01). Xu-Wen Li is thankful for the financial support of Shanghai “Pujiang Program” (No. 16PJ1410600), “Youth Innovation Promotion Association” (No. 2016258) from Chinese Academy of Sciences, “Young Elite Scientists Sponsorship” from China Association for Science and Technology (No. 2016QNRC001), and the SA-SIBS Scholarship Program.
Author Contributions
Jin Liu, Xu-Wen Li and Yue-Wei Guo conceived and designed the experiments. Jin Liu, Xu-Wen Li, Jing-Ya Li and Yu Chen performed the experiments. Yue-Wei Guo, Xu-Wen Li, Yu Chen, Cheng Luo, Jia Li and Kai-Xian Chen analyzed the data. Xu-Wen Li and Yue-Wei Guo wrote the paper.
Conflicts of Interest
The authors declare no conflict of interest.
References
- Tobin, J.F.; Tam, S. Recent advances in the development of small molecule inhibitors of PTP1B for the treatment of insulin resistance and type 2 diabetes. Curr. Opin. Drug Discov. Dev. 2002, 5, 500–512. [Google Scholar]
- Liu, G.; Trevillyan, J.M. Protein tyrosine phosphatase 1B as a target for the treatment of impaired glucose tolerance and type II diabetes. Curr. Opin. Investig. Drugs 2002, 3, 1608–1616. [Google Scholar] [PubMed]
- Johnson, T.O.; Ermolieff, J.; Jirousek, M.R. Protein tyrosine phosphatase 1B inhibitors for diabetes. Nat. Rev. Drug Discov. 2002, 1, 696–709. [Google Scholar] [CrossRef] [PubMed]
- Elchebly, M.; Payette, P.; Michaliszyn, E.; Cromlish, W.; Collins, S.; Loy, A.L.; Normandin, D.; Cheng, A.; Himms-Hagen, J.; Chan, C.C.; et al. Increased insulin sensitivity and obesity resistance in mice lacking the protein tyrosine phosphatase-1B gene. Science 1999, 283, 1544–1548. [Google Scholar] [CrossRef] [PubMed]
- Klaman, L.D.; Boss, O.; Peroni, O.D.; Kim, J.K.; Martino, J.L.; Zabolotny, J.M.; Moghal, N.; Lubkin, M.; Kim, Y.B.; Sharpe, A.H.; et al. Increased energy expenditure, decreased adiposity, and tissue-specific insulin sensitivity in protein-tyrosine phosphatase 1B-deficient mice. Mol. Cell. Biol. 2000, 20, 5479–5489. [Google Scholar] [CrossRef] [PubMed]
- Taylor, S.D.; Hill, B. Recent advances in protein tyrosine phosphatase 1B inhibitors. Expert Opin. Investig. Drugs 2004, 13, 199–214. [Google Scholar] [CrossRef] [PubMed]
- Iversen, L.F.; Moler, K.B.; Pedersen, A.K.; Peters, G.H.; Petersen, A.S.; Andersen, H.S.; Branner, S.; Mortensen, S.B.; Moller, N.P.H. Structure determination of T cell protein-tyrosine phosphatase. J. Biol. Chem. 2002, 277, 19982–19990. [Google Scholar] [CrossRef] [PubMed]
- Blunt, J.W.; Copp, B.R.; Keyzers, R.A.; Munro, M.H.G.; Prinsep, M.R. Marine natural products. Nat. Prod. Rep. 2012, 29, 144–222. [Google Scholar] [CrossRef] [PubMed]
- Ye, F.; Zhu, Z.D.; Chen, J.S.; Li, J.; Gu, Y.C.; Zhu, W.L.; Li, X.W.; Guo, Y.W. Xishacorenes A–C, Diterpenes with Bicyclo[3.3.1]nonane Nucleus from the Xisha Soft Coral Sinularia polydactyla. Org. Lett. 2017, 19, 4183–4186. [Google Scholar] [CrossRef] [PubMed]
- Li, X.L.; Kurtán, T.; Hu, J.C.; Mándi, A.; Li, J.; Li, X.W.; Guo, Y.W. Structural and Stereochemical Studies of Laurokamurols A–C, Uncommon Bis-sesquiterpenoids from the Chinese Red Alga Laurencia okamurai Yamada. J. Agric. Food Chem. 2017, 65, 1550–1555. [Google Scholar] [CrossRef] [PubMed]
- Zhou, Z.F.; Wang, X.; Zhang, H.; Sun, J.Y.; Zheng, L.H.; Liu, H.C.; Wang, J.D.; Shen, A.J.; Geng, M.Y.; Guo, Y.W. Chromopeptide A, a highly cytotoxic depsipeptide from the marine sediment-derived bacterium Chromobacterium sp. HS-13-94. Acta Pharm. Sin. B 2015, 5, 62–66. [Google Scholar] [CrossRef] [PubMed]
- Carbone, M.; Li, Y.; Irace, C.; Mollo, E.; Castelluccio, F.; Pascale, A.D.; Cimino, G.; Santamaria, R.; Guo, Y.W.; Gavagnin, M. Structure and cytotoxicity of phidianidines A and B: First finding of 1,2,4-oxadiazole system in a marine natural product. Org. Lett. 2011, 13, 2516–2519. [Google Scholar] [CrossRef] [PubMed]
- Lin, H.Y.; Snider, B.B. Synthesis of phidianidines A and B. J. Org. Chem. 2012, 77, 4832–4836. [Google Scholar] [CrossRef] [PubMed]
- Brogan, J.T.; Stoops, S.L.; Lindsley, C.W.T. Total synthesis and biological evaluation of phidianidines A and B uncovers unique pharmacological profiles at CNS targets. ACS Chem. Neurosci. 2012, 3, 658–664. [Google Scholar] [CrossRef] [PubMed]
- Jiang, C.S.; Fu, Y.; Zhang, L.; Gong, J.X.; Wang, Z.Z.; Xiao, W.; Zhang, H.Y.; Guo, Y.W. Synthesis and biological evaluation of novel marine-derived indole-based 1,2,4-oxadiazoles derivatives as multifunctional neuroprotective agents. Bioorg. Med. Chem. Lett. 2015, 25, 216–220. [Google Scholar] [CrossRef] [PubMed]
- Zhang, L.; Jiang, C.S.; Gao, L.X.; Gong, J.X.; Wang, Z.Z.; Li, J.Y.; Li, J.; Li, X.W.; Guo, Y.W. Design, synthesis and in vitro activity of phidianidine B derivatives as novel PTP1B inhibitors with specific selectivity. Bioorg. Med. Chem. Lett. 2016, 26, 778–781. [Google Scholar] [CrossRef] [PubMed]
- Yang, S.H.; Chang, S. Highly efficient and catalytic conversion of aldoximes to nitriles. Org. Lett. 2001, 3, 4209–4211. [Google Scholar] [CrossRef] [PubMed]
- Hamzé, A.; Hernandez, J.F.; Fulcrand, P.; Martinez, J. Synthesis of Various 3-Substituted 1,2,4-Oxadiazole-Containing Chiral β3- and α-Amino Acids from Fmoc-Protected Aspartic Acid. J. Org. Chem. 2003, 68, 7316–7321. [Google Scholar] [CrossRef] [PubMed]
- Buchanan, J.C.; Petersen, B.P.; Chamberland, S. Concise total synthesis of phidianidine A and B. Tetrahedron Lett. 2013, 54, 6002–6004. [Google Scholar] [CrossRef]
- Furdas, S.D.; Shekfeh, S.; Bissinger, E.M.; Wagner, J.M.; Schlimme, S.; Valkov, V.; Hendzel, M.; Jung, M.; Sippl, W. Synthesis and biological testing of novel pyridoisothiazolones as histone acetyltransferase inhibitors. Bioorg. Med. Chem. 2011, 19, 3678–3689. [Google Scholar] [CrossRef] [PubMed]
- Shelley, J.C.; Cholleti, A.; Frye, L.L.; Greenwood, J.R.; Timlin, M.R.; Uchimaya, M. Epik: A software program for pK a prediction and protonation state generation for drug-like molecules. J. Comput. Aided Mol. Des. 2007, 21, 681–691. [Google Scholar] [CrossRef] [PubMed]
- Chimenti, F.; Bizzarri, B.; Maccioni, E.; Secci, D.; Bolasco, A.; Chimenti, P.; Fioravanti, R.; Granese, A.; Carradori, S.; Tosi, F.; et al. A novel histone acetyltransferase inhibitor modulating Gcn5 network: Cyclopentylidene-[4-(4′-chloropenty)thiazol-2-yl] hydrazine. J. Med. Chem. 2009, 52, 530–536. [Google Scholar] [CrossRef] [PubMed]
© 2018 by the authors. Licensee MDPI, Basel, Switzerland. This article is an open access article distributed under the terms and conditions of the Creative Commons Attribution (CC BY) license (http://creativecommons.org/licenses/by/4.0/).























