5-Hydroxycyclopenicillone, a New β-Amyloid Fibrillization Inhibitor from a Sponge-Derived Fungus Trichoderma sp. HPQJ-34
Abstract
1. Introduction
2. Results and Discussion
2.1. Isolation and Taxonomy of the Producing Microorganism
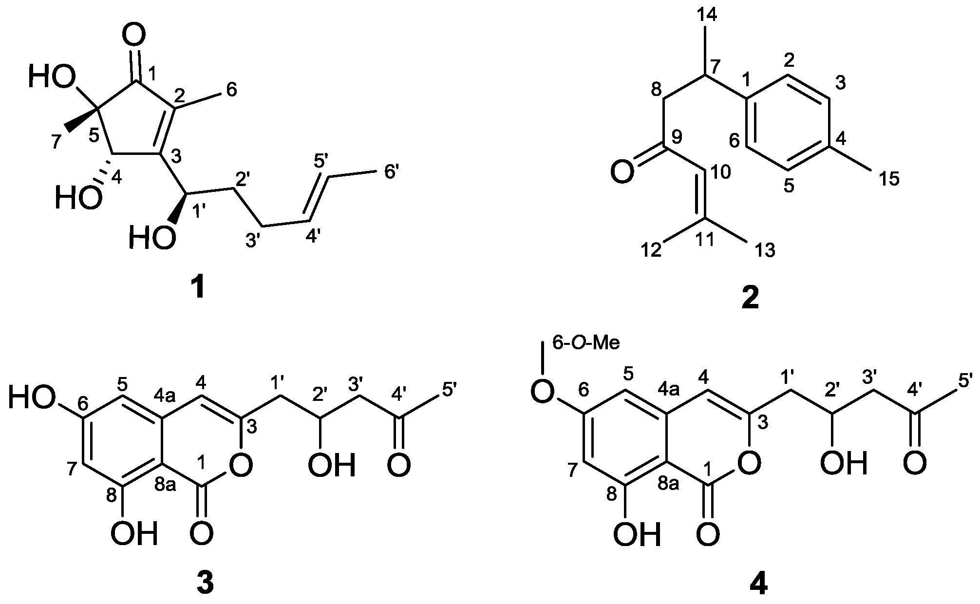
2.2. Structure Elucidation
2.3. Biological Activities
3. Experimental Section
3.1. General Experimental Procedures
3.2. Fungal Material and Fermentation
3.3. Extraction and Isolation
3.4. Computational Molecular Modeling
3.5. Biological Activity Testing of 1
3.6. Statistical Analysis
4. Conclusions
Supplementary Materials
Acknowledgments
Author Contributions
Conflicts of Interest
References
- Rateb, M.E.; Ebel, R. Secondary metabolites of fungi from marine habitats. Nat. Prod. Rep. 2011, 28, 290–344. [Google Scholar] [CrossRef] [PubMed]
- Mugishima, T.; Tsuda, M.; Kasai, Y.; Ishiyama, H.; Fukushi, E.; Kawabata, J.; Watabane, M.; Akao, L.; Kobayashi, J. Absolute stereochemistry of citrinadins A and B from marine-derived fungus. J. Org. Chem. 2005, 70, 9430–9435. [Google Scholar] [CrossRef] [PubMed]
- Tsuda, M.; Sasaki, M.; Mugishima, T.; Komatsu, K.; Sone, T.; Tanaka, M.; Mikami, Y.; Kobayashi, J. Scalusamides A-C, new pyrrolidine alkaloids from the marine-derived fungus Penicillium citrinum. J. Nat. Prod. 2005, 68, 273–276. [Google Scholar] [CrossRef] [PubMed]
- Sasaki, M.; Tsuda, M.; Sekiguchi, M.; Mikami, Y.; Kobayashi, J. Perinadine A, a novel tetracyclic alkaloid from marine-derived fungus Penicillium citrinum. Org. Lett. 2005, 7, 4261–4264. [Google Scholar] [CrossRef] [PubMed]
- Amagata, T.; Amagata, A.; Tenney, K.; Valeroote, F.A.; Lobkovsky, E.; Clardy, J.; Crews, P. Unusual C25 steroids produced by a sponge-derived Penicillium citrinum. Org. Lett. 2003, 5, 4393–4396. [Google Scholar] [CrossRef] [PubMed]
- Du, L.; Zhu, T.J.; Gu, Q.Q.; Zhu, W.M. Unusual C25 steroid isomers with bicyclo [4.4.1] A/B rings from a volcano ash-derived fungus Penicillium citrinum. J. Nat. Prod. 2008, 71, 1343–1351. [Google Scholar] [CrossRef] [PubMed]
- Wu, B.; Wiese, J.; Schmaljohann, R.; Imhoff, J.F. Biscogniauxone, a new isopyrrolonaphthoquinone compound from the fungus biscogniauxia mediterranea Isolated from deep-sea sediments. Mar. Drugs 2016, 14, 204–212. [Google Scholar] [CrossRef] [PubMed]
- Debbab, A.; Aly, A.H.; Lin, W.H.; Proksch, P. Bioactive compounds from marine bacteria and fungi. Microb. Biotechnol. 2010, 3, 544–563. [Google Scholar] [CrossRef] [PubMed]
- Saleema, M.; Ali, M.S.; Hussain, S.; Jabbar, A.; Ashraf, M.; Lee, Y.S. Marine natural products of fungal origin. Nat. Prod. Rep. 2007, 24, 1142–1152. [Google Scholar] [CrossRef] [PubMed]
- Wu, B.; Wu, X.; Sun, M.; Li, M. Two novel tyrosinase inhibitory sesquiterpenes induced by CuCl2 from a marine-derived fungus Pestalotiopsis sp. Z233. Mar. Drugs 2013, 11, 2713–2721. [Google Scholar] [CrossRef] [PubMed]
- Hamann, M.T.; Otto, C.S.; Scheuer, P.J.; Dunbar, D.C. Kahalalides: Bioactive peptides from a marine mollusk Elysia rufescens and its algal diet Bryopsis sp. J. Org. Chem. 1996, 61, 6594–6600. [Google Scholar] [CrossRef] [PubMed]
- Guzman-Martinez, A.; Lamer, R.; VanNieuwenhze, M.S.J. Total synthesis of lysobactin. J. Am. Chem. Soc. 2007, 129, 6017–6021. [Google Scholar] [CrossRef] [PubMed]
- Nakadate, S.; Nozawa, K.; Sato, H.; Horie, H.; Fujii, Y.; Nagai, M.; Hosoe, T.; Kawai, K.-I.; Yaguchi, T. Antifungal cyclic depsipeptide, Eujavanicin A, isolated from Eupenicillium javanicum. J. Nat. Prod. 2008, 71, 1640–1642. [Google Scholar] [CrossRef] [PubMed]
- Plaza, A.; Bifulco, G.; Keffer, J.L.; Lloyd, J.R.; Baker, H.L.; Bewley, C.A. Celebesides A−C and theopapuamides B−D, depsipeptides from an indonesian sponge that inhibit HIV-1 entry. J. Org. Chem. 2008, 74, 504–512. [Google Scholar] [CrossRef] [PubMed]
- Del Prete, D.; Millan, E.; Pollastro, F.; Chianese, G.; Luciano, P.; Collado, J.A.; Munoz, E.; Appendino, G.; Taglialatela-Scafati, O. Turmeric sesquiterpenoids: Expeditious resolution, comparative bioactivity, and a new bicyclic turmeronoid. J. Nat. Prod. 2016, 79, 267–273. [Google Scholar] [CrossRef] [PubMed]
- Asiri, I.A.M.; Badr, J.M.; Youssef, D.T.A. Penicillivinacine, antimigratory diketopiperazine alkaloid from the marine-derived fungus Penicillium vinaceum. Phytochem. Lett. 2015, 13, 53–58. [Google Scholar] [CrossRef]
- Larsen, T.O.; Breinholt, J. Dichlorodiaportin, diaportinol, and diaportinic acid: Three novel isocoumarins from Penicillium nalgiovense. J. Nat. Prod. 1999, 62, 1182–1184. [Google Scholar] [CrossRef] [PubMed]
- Lacret, R.; Pérez-Victoria, I.; Oves-Costales, D.; Cruz, M.; Domingo, E.; Martín, J.; Díaz, C.; Vicente, F.; Genilloud, O.; Reyes, F. MDN-0170, a new napyradiomycin from Streptomyces sp. strain CA-271078. Mar. Drugs 2016, 14, 188–199. [Google Scholar] [CrossRef] [PubMed]
- Lin, S.; Shi, T.; Chen, K.Y.; Zhang, Z.X.; Shan, L.; Shen, Y.H.; Zhang, W.D. Cyclopenicillone, a unique cyclopentenone from the cultures of Penicillium decumbens. Chem. Commun. 2011, 47, 10413–10418. [Google Scholar] [CrossRef] [PubMed]
- Diedrich, C.; Grimme, S. Systematic investigation of modern quantum chemical methods to predict electronic circular dichroism spectra. J. Phys. Chem. A 2003, 107, 2524–2539. [Google Scholar] [CrossRef]
- Crawford, T.D.; Tam, M.C.; Abrams, M.L. The current state of Ab Initio calculations of optical rotation and electronic circular dichroism spectra. J. Phys. Chem. A 2007, 111, 12057–12068. [Google Scholar] [CrossRef] [PubMed]
- Stephens, P.J.; Pan, J.J.; Devlin, F.J.; Krohn, K.; Kurtan, T. Determination of the absolute configurations of natural products via density functional theory calculations of vibrational circular dichroism, electronic circular dichroism, and optical rotation: The iridoids plumericin and isoplumericin. J. Org. Chem. 2007, 72, 3521–3577. [Google Scholar] [CrossRef] [PubMed]
- Harrison, F.E. A critical review of vitamin C for the prevention of age-related cognitive decline and Alzheimer’s disease. J. Alzheimers Dis. 2012, 29, 711–726. [Google Scholar] [PubMed]
- Scheltens, P.; Blennow, K.; Breteler, M.M.B.; de Strooper, B.; Frisoni, G.B.; Salloway, S.; Van der Flier, W.M. Alzheimer’s disease. Lancet 2016, 388, 505–517. [Google Scholar] [CrossRef]
- Goedert, M.; Spillantini, M.G. A century of Alzheimer's disease. Science 2006, 314, 777–781. [Google Scholar] [CrossRef] [PubMed]
- Ising, C.; Stanley, M.; Holtzman, D.M. Current thinking on the mechanistic basis of Alzheimer’s and implications for drug development. Clin. Pharmacol Ther. 2015, 98, 469–471. [Google Scholar] [CrossRef] [PubMed]
- Kim, G.H.; Kim, J.E.; Rhie, S.J.; Yoon, S. The role of oxidative stress in neurodegenerative diseases. Exp. Neurobiol. 2015, 24, 325–340. [Google Scholar] [CrossRef] [PubMed]
- Lee, K.Y.; Koh, S.H.; Noh, M.Y.; Park, K.W.; Lee, Y.J.; Kim, S.H. Glycogen synthase kinase-3β activity plays very important roles in determining the fate of oxidative stress-inflicted neuronal cells. Brain Res. 2007, 1129, 89–99. [Google Scholar] [CrossRef] [PubMed]
- Wu, C.H.; Wang, L.P.; Fang, Z.X.; Hu, Y.Q.; Chen, S.G.; Sugawara, T.; Ye, X.Q. The Effect of the molecular architecture on the antioxidant properties of chitosan gallate. Mar. Drugs 2016, 14, 95–99. [Google Scholar] [CrossRef] [PubMed]
- Hu, S.Q.; Wang, R.; Cui, W.; Zhang, Z.J.; Mak, S.; Xu, D.P.; Choi, C.; Tsim, K.W.; Carlier, P.R.; Lee, M.; Han, Y.F. Inhibiting beta-amyloid-associated Alzheimer's pathogenesis in vitro and in vivo by a multifunctional dimeric bis(12)-hupyridone derived from its natural analogue. J. Mol. Neurosci. 2015, 55, 1014–1021. [Google Scholar] [CrossRef] [PubMed]
- Cui, W.; Zhang, Z.; Li, W.; Hu, S.; Mak, S.; Zhang, H.; Han, R.; Yuan, S.; Li, S.; Sa, F.; Xu, D.; Lin, Z.; Zuo, Z.; Rong, J.; Ma, E.D.; Choi, T.C.; Lee, S.M.; Han, Y. The anti-cancer agent SU4312 unexpectedly protects against MPP(+)-induced neurotoxicity via selective and direct inhibition of neuronal NOS. Br. J. Pharmacol. 2013, 168, 1201–1214. [Google Scholar] [CrossRef] [PubMed]
- Cui, W.; Zhang, Z.J.; Hu, S.Q.; Mak, S.H.; Xu, D.P.; Choi, C.L.; Wang, Y.Q.; Tsim, W.K.; Lee, M.Y.; Rong, J.H.; Han, Y.F. Sunitinib produces neuroprotective effect via inhibiting nitric oxide overproduction. CNS Neurosci. Ther. 2014, 20, 244–252. [Google Scholar] [CrossRef] [PubMed]








| Position | δC, Type | δH, Mult. (J in Hz) | 1H–1H COSY | HMBC | NOESY |
|---|---|---|---|---|---|
| 1 | 210.4, C | ||||
| 2 | 135.8, C | ||||
| 3 | 171.7, C | ||||
| 4 | 75.3, CH | 4.49, d (1.0) | 3 | 7, 2′ | |
| 5 | 74.5, C | ||||
| 6 | 8.4, CH3 | 1.75, d (1.0) | 1, 2, 3 | 1′ | |
| 7 | 23.1, CH3 | 1.23, s | 1, 4, 5 | 4 | |
| 1′ | 69.4, CH | 4.72, dd (8.6, 4.8) | 2′ | 2, 3, 4, 2′, 3′ | 6, 2′, 3′ |
| 2′ | 36.6, CH2 | 1.86, dtd (14.2, 8.6, 5.5), 1.76, m | 1′, 3′ | 3, 1′, 3′, 4′ | 4, 1′ |
| 3′ | 29.8, CH2 | 2.12, m | 2′, 4′ | 1′, 5′ | |
| 4′ | 131.6, CH | 5.49, m | 3′, 5′ | 3′ | |
| 5′ | 126.7, CH | 5.48, m | 4′, 6′ | 3′ | 6′ |
| 6′ | 18.1, CH3 | 1.64, d (4.8) | 5′ | 4′, 5′ | 5′ |
© 2017 by the authors. Licensee MDPI, Basel, Switzerland. This article is an open access article distributed under the terms and conditions of the Creative Commons Attribution (CC BY) license (http://creativecommons.org/licenses/by/4.0/).
Share and Cite
Fang, F.; Zhao, J.; Ding, L.; Huang, C.; Naman, C.B.; He, S.; Wu, B.; Zhu, P.; Luo, Q.; Gerwick, W.H.; et al. 5-Hydroxycyclopenicillone, a New β-Amyloid Fibrillization Inhibitor from a Sponge-Derived Fungus Trichoderma sp. HPQJ-34. Mar. Drugs 2017, 15, 260. https://doi.org/10.3390/md15080260
Fang F, Zhao J, Ding L, Huang C, Naman CB, He S, Wu B, Zhu P, Luo Q, Gerwick WH, et al. 5-Hydroxycyclopenicillone, a New β-Amyloid Fibrillization Inhibitor from a Sponge-Derived Fungus Trichoderma sp. HPQJ-34. Marine Drugs. 2017; 15(8):260. https://doi.org/10.3390/md15080260
Chicago/Turabian StyleFang, Fang, Jiaying Zhao, Lijian Ding, Chunhui Huang, C. Benjamin Naman, Shan He, Bin Wu, Peng Zhu, Qijun Luo, William H. Gerwick, and et al. 2017. "5-Hydroxycyclopenicillone, a New β-Amyloid Fibrillization Inhibitor from a Sponge-Derived Fungus Trichoderma sp. HPQJ-34" Marine Drugs 15, no. 8: 260. https://doi.org/10.3390/md15080260
APA StyleFang, F., Zhao, J., Ding, L., Huang, C., Naman, C. B., He, S., Wu, B., Zhu, P., Luo, Q., Gerwick, W. H., Yan, X., Wang, Q., Zhang, Z., & Cui, W. (2017). 5-Hydroxycyclopenicillone, a New β-Amyloid Fibrillization Inhibitor from a Sponge-Derived Fungus Trichoderma sp. HPQJ-34. Marine Drugs, 15(8), 260. https://doi.org/10.3390/md15080260

