Off the Shelf Fouling Management
Abstract
:1. Introduction
2. Fouling and Fouling Management
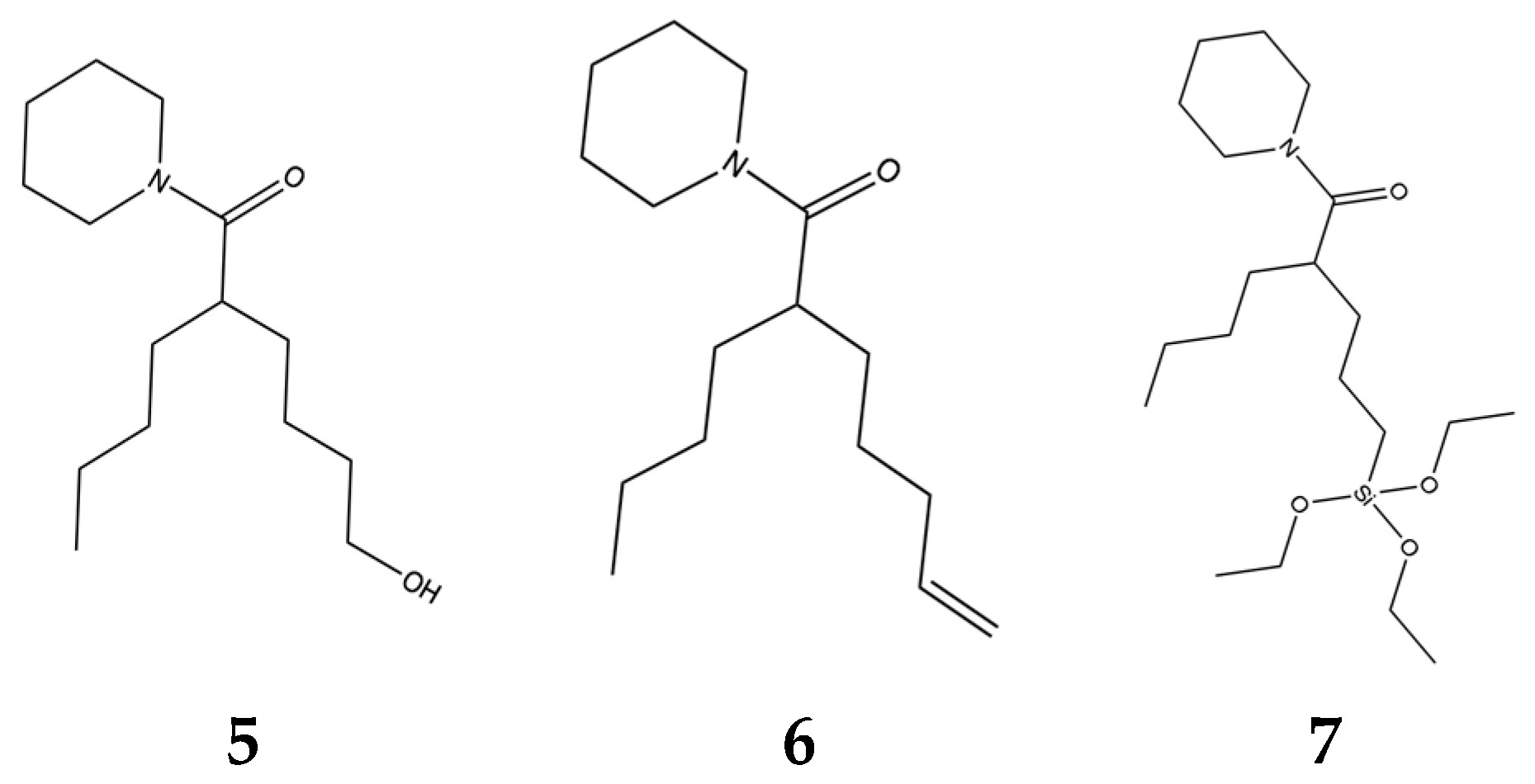
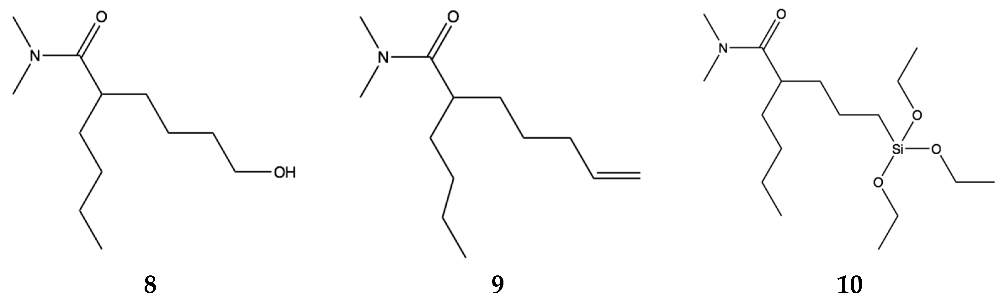
3. Theoretical Construct
4. The Path Forward
5. Business Context
6. Conclusions
Acknowledgments
Conflicts of Interest
References
- Costlow, J.D.; Tipper, R.C. (Eds.) Marine Biodeterioration: An Interdisciplinary Study; Naval Institute Press: Annapolis, MD, USA, 1984. [Google Scholar]
- Rittschof, D. Natural product antifoulants: One perspective on the challenges related to coatings development. Biofouling 2000, 15, 119–127. [Google Scholar] [CrossRef] [PubMed]
- Rittschof, D. Candy and Poisions: Fouling Management in Extreme Environments; Wohl, C.H., Burges, D., Eds.; Springer: New York, NY, USA, in press.
- Clare, A.S.; Rittschof, D.; Gerhart, D.J.; Maki, J.S. Molecular approaches to nontoxic antifouling. Invertebr. Reprod. Dev. 1992, 22, 67–76. [Google Scholar] [CrossRef]
- Hellio, C.; Yebra, D. (Eds.) Advances in Marine Antifouling Coatings and Technologies; Woodhead: Oxford, UK, 2009. [Google Scholar]
- Dürr, S.; Thomason, J. (Eds.) Biofouling; Wiley-Blackwell: Chichester, UK, 2010. [Google Scholar]
- Kraska, J.; Rittschof, D. Toward a global regime of vessel anti-fouling. In Duke Environmental Law & Policy Forum; Duke University School of Law: Durham, NC, USA, 2015; pp. 53–59. [Google Scholar]
- Forward, R.B.; Rittschof, D. Alteration of photoresponses involved in diel vertical migration of a crab larva by fish mucus and degradation products of mucopolysaccharides. J Exp. Mar. Biol. Ecol. 2000, 245, 277–292. [Google Scholar] [CrossRef]
- Essock-Burns, T.; Wepprich, A.; Thompson, A.; Rittschof, D. Enzymes manage biofilms on crab surfaces aiding in feeding and antifouling. J. Exp. Mar. Biol. Ecol. 2016, 479, 106–113. [Google Scholar] [CrossRef]
- Unabia, C.R.C.; Hadfield, M.G. Role of bacteria in larval settlement and metamorphosis of the polychaete hydroides elegans. Mar. Biol. 1999, 133, 55–64. [Google Scholar] [CrossRef]
- Hadfield, M.G. Biofilms and marine invertebrate larvae: What bacteria produce that larvae use to choose settlement sites. Annu. Rev. Mar. Sci. 2011, 3, 453–470. [Google Scholar] [CrossRef] [PubMed]
- Maki, J.S.; Ding, L.; Stokes, J.; Kavouras, J.H.; Rittschof, D. Substratum/bacterial interactions and larval attachment: Films and exopolysaccharides of halomonas marina (atcc 25374) and their effect on barnacle cyprid larvae, balanus amphitrite darwin. Biofouling 2000, 16, 159–170. [Google Scholar] [CrossRef]
- Maki, J.S.; Rittschof, D.; Costlow, J.D.; Mitchell, R. Inhibition of attachment of larval barnacles, balanus amphitrite, by bacterial surface films. Mar. Biol. 1988, 97, 199–206. [Google Scholar] [CrossRef]
- Qian, P.-Y.; Thiyagarajan, V.; Lau, S.C.K.; Cheung, S.C.K. Relationship between bacterial community profile in biofilm and attachment of the acorn barnacle balanus amphitrite. Aquat. Microb. Ecol. 2003, 33, 225–237. [Google Scholar] [CrossRef]
- Lau, S.C.K.; Vengatesen, T.; Sam, C.K.C.; Pei-Yuan, Q. Roles of bacterial community composition in biofilms as a mediator for larval settlement of three marine invertebrates. Aquat. Microb. Ecol. 2005, 38, 41–51. [Google Scholar] [CrossRef]
- Dobretsov, S.; Qian, P.Y. Facilitation and inhibition of larval attachment of the bryozoan bugula neritina in association with mono-species and multi-species biofilms. J. Exp. Mar. Biol. Ecol. 2006, 333, 263–274. [Google Scholar] [CrossRef]
- Khandeparker, L.; Anil, A.C.; Raghukumar, S. Relevance of biofilm bacteria in modulating the larval metamorphosis of balanus amphitrite. FEMS Microbiol. Ecol. 2006, 58, 425–438. [Google Scholar] [CrossRef] [PubMed]
- Crisp, D.J. Factors influencing the settlement of marine invertebrate larvae. In Chemoreception in Marine Organisms; Grant, G.T., Mackay, M.E., Eds.; Academic Press: London, UK, 1974; pp. 177–266. [Google Scholar]
- Crisp, D.J. Overview of research on marine invertebrate larvae, 1940–1980. In Marine Biodeterioration: An Interdisciplinary Study; Costlow, J.D., Tipper, R.C., Eds.; Naval Institute Press: Annapolis, MD, USA, 1984; pp. 103–127. [Google Scholar]
- Crisp, D.J. Surface chemistry, a factor in the settlement of marine invertebrate larvae. Bot. Gothobg. III 1965, 3, 51–65. [Google Scholar]
- Baier, R.E. Initial events in microbial film formation. In Marine Biodeterioration: An Interdisciplinary Study; Costlow, J.D., Tipper, R.C., Eds.; Naval Institute Press: Annapolis, MD, USA, 1984; pp. 57–62. [Google Scholar]
- Meyer, A.E.; Baier, R.E.; King, R.W. Initial fouling of nontoxic coatings in fresh, brackish, and sea water. Can. J. Chem. Eng. 1988, 66, 55–62. [Google Scholar] [CrossRef]
- Roberts, D.; Rittschof, D.; Holm, E.; Schmidt, A.R. Factors influencing initial larval settlement-temporal, spatial and surface molecular-components. J. Exp. Mar. Biol. Ecol. 1991, 150, 203–221. [Google Scholar] [CrossRef]
- Holm, E.R.; Cannon, G.; Roberts, D.; Schmidt, A.R.; Sutherland, J.P.; Rittschof, D. The influence of initial surface chemistry on development of the fouling community at Beaufort, North Carolina. J. Exp. Mar. Biol. Ecol. 1997, 215, 189–203. [Google Scholar] [CrossRef]
- Lee, B.P.; Messersmith, P.B.; Israelachvili, J.N.; Waite, J.H. Mussel-inspired adhesives and coatings. Annu. Rev. Mater. Res. 2011, 41, 99–132. [Google Scholar] [CrossRef] [PubMed]
- Jiang, S.; Ishihara, K.; Ji, J. Special Issue on Zwitterionic Materials. Acta Biomater. 2016. Available online: http://www.sciencedirect.com/science/journal/17427061/40 (accessed on 17 July 2016).
- Shivapooja, P.; Yu, Q.; Orihuela, B.; Mays, R.; Rittschof, D.; Genzer, J.; López, G.P. Modification of silicone elastomer surfaces with zwitterionic polymers: Short-term fouling resistance and triggered biofouling release. ACS Appl. Mater. Interfaces 2015, 7, 25586–25591. [Google Scholar] [CrossRef] [PubMed]
- Brady, R.F., Jr.; Singer, I.L. Mechanical factors favoring release from fouling release coatings. Biofouling 2000, 15, 73–81. [Google Scholar] [CrossRef] [PubMed]
- Kearns, J.R.; Little, B.J. (Eds.) Microbiologically Influenced Corrosion Testing; American Society for Testing and Materials: Philadelphia, PA, USA, 1994. [Google Scholar]
- Jacobson, A.H.; Willingham, G.L. Sea-nine antifoulant: An environmentally acceptable alternative to organotin antifoulants. Sci. Total Environ. 2000, 258, 103–110. [Google Scholar] [CrossRef]
- Romano, J.A.; Rittschof, D.; McClellan-Green, P.D.; Holm, E.R. Variation in toxicity of copper pyrithione among populations and families of the barnacle, Balanus amphitrite. Biofouling 2010, 26, 341–347. [Google Scholar] [CrossRef] [PubMed]
- Vasishtha, N.; Sundberg, D.C.; Rittschof, D. Evaluation of release rates and control of biofouling using monolithic coatings containing an isothiazolone. Biofouling 1995, 9, 1–16. [Google Scholar] [CrossRef]
- Dahlström, M.; Mårtensson, L.G.E.; Jonsson, P.R.; Arnebrant, T.; Elwing, H. Surface active adrenoceptor compounds prevent the settlement of cyprid larvae of Balanus improvisus. Biofouling 2000, 16, 191–203. [Google Scholar] [CrossRef]
- Dickinson, G.H. Barnacle Cement: A Polymerization Model Based on Evolutionary Concepts. Ph.D. Thesis, Duke University, Denham, NC, USA, October 2009. [Google Scholar]
- Dickinson, G.H.; Vega, I.E.; Wahl, K.J.; Orihuela, B.; Beyley, V.; Rodriguez, E.N.; Everett, R.K.; Bonaventura, J.; Rittschof, D. Barnacle cement: A polymerization model based on evolutionary concepts. J. Exp. Biol. 2009, 212, 3499–3510. [Google Scholar] [CrossRef] [PubMed]
- Gohad, N.V.; Aldred, N.; Orihuela, B.; Clare, A.S.; Rittschof, D.; Mount, A.S. Observations on the settlement and cementation of barnacle (balanus amphitrite) cyprid larvae after artificial exposure to noradrenaline and the locations of adrenergic-like receptors. J. Exp. Mar. Biol. Ecol. 2012, 416, 153–161. [Google Scholar] [CrossRef]
- Essock-Burns, T. Exploring the Interface between Macroorganisms and Microorganisms: Biochemical, Ecological, and Evolutionary Contexts. Ph.D. Thesis, Duke University, Durham, NC, USA, 2015. [Google Scholar]
- Essock-Burns, T.; Gohad, N.V.; Orihuela, B.; Mount, A.S.; Spillmann, C.M.; Wahl, K.J.; Rittschof, D. Barnacle biology before, during and after settlement and metamorphosis: A study of the interface. J. Exp. Biol. 2017, 220, 194–207. [Google Scholar] [CrossRef] [PubMed]
- Essock-Burns, T.; Rittschof, D. Biofilm management: Lessons from marine organisms. In Biofilms in Environment; CRC Press: Boca Raton, FL, USA, in press.
- So, C.R.; Fears, K.P.; Leary, D.H.; Scancella, J.M.; Wang, Z.; Liu, J.L.; Orihuela, B.; Rittschof, D.; Spillmann, C.M.; Wahl, K.J. Sequence basis of barnacle cement nanostructure is defined by proteins with silk homology. Sci. Rep. 2016, 6, 36219. [Google Scholar] [CrossRef] [PubMed]
- So, C.R.; Scancella, J.M.; Fears, K.P.; Essock-Burns, T.; Haynes, S.E.; Leary, D.H.; Diana, Z.; Wang, C.; North, S.; Oh, C.S.; et al. Oxidase activity of the barnacle adhesive interface involves peroxide-dependent catechol oxidase and lysyl oxidase enzymes. ACS Appl. Mater. Interfaces 2017, 9, 11493–11505. [Google Scholar] [CrossRef] [PubMed]
- Rittschof, D.; Clare, A.S.; Gerhart, D.J.; Bonaventura, J.; Smith, C.; Hadfield, M.G. Rapid field assessment of antifouling and foul-release coatings. Biofouling 1992, 6, 181–192. [Google Scholar] [CrossRef]
- Rittschof, D.; Clare, A.S.; Gerhart, D.J.; Sister Avelin, M.; Bonaventura, J. Barnacle in vitro assays for biologically active substances: Toxicity and settlement inhibition assays using mass cultured balanus amphitrite amphitrite darwin. Biofouling 1992, 6, 115–122. [Google Scholar] [CrossRef]
- Rittschof, D.; Orihuela, B.; Stafslien, S.; Daniels, J.; Christianson, D.; Chisholm, B.; Holm, E. Barnacle reattachment: A tool for studying barnacle adhesion. Biofouling 2008, 24, 1–9. [Google Scholar] [CrossRef] [PubMed]
- Butler, A.J.; Canning-Clode, J.; Coutts, A.D.M.; Cowie, P.R.; Dobretsov, S.; Durr, S.; Faimali, M.; Lewis, J.A.; Page, H.M.; Pratten, J.; et al. Techniques for the quantification of biofouling. In Biofouling; Dürr, S., Thomason, J., Eds.; Wiley-Blackwell: Chichester, UK, 2010; pp. 319–332. [Google Scholar]
- Rittschof, D.; Lai, C.H.; Kok, L.M.; Teo, S.L.M. Pharmaceuticals as antifoulants: Concept and principles. Biofouling 2003, 19, 207–212. [Google Scholar] [CrossRef] [PubMed]
- Gerhart, D.J.; Clare, A.S.; Eisenman, K.; Rittschof, D.; Forward, R.B., Jr. Eicosanoids in corals and crustaceans primary metabolites that function as allochemicals and phermones. In Progress in Comparative Endocrinology, Proceedings of the Eleventh International Symposium on Comparative Endocrinology, Malaga, Spain, 14–20 May 1989; Epple, A., Scanes, C.G., Stetson, M.H., Eds.; Wiley-Liss: New York, NA, USA, 1990; Volume 342, pp. 598–602. [Google Scholar]
- Choong, A.M.F.; Maki, J.S.; Ikhwan, J.T.B.; Chen, C.-L.; Rittschof, D.; Teo, S.L.-M. Pharmaceuticals as antifoulants: Inhibition of growth & effects on adhesion of marine bacteria. In Biofouling: Types, Impact, and Anti-Fouling; Chan, J., Wong, S., Eds.; Nova Science Publishers: New York, NA, USA, 2010; pp. 221–246. [Google Scholar]
- Chai, C.L.L.; Teo, S.L.M.; Jameson, F.K.M.; Lee, S.S.C.; Likhitsup, A.; Chen, C.-L.; Rittschof, D. Loperamide-based compounds as additives for biofouling management. Int. Biodeterior. Biodegrad. 2014, 89, 82–87. [Google Scholar] [CrossRef]
- Rittschof, D.; Cohen, J.H. Crustacean peptide and peptide-like pheromones and kairomones. Peptides 2004, 25, 1503–1516. [Google Scholar] [CrossRef] [PubMed]
- Pettis, R.J.; Erickson, B.W.; Forward, R.B.; Rittschof, D. Superpotent synthetic tripeptide mimics of the mud-crab pumping pheromone. Int. J. Pept. Prot. Res. 1993, 42, 312–319. [Google Scholar] [CrossRef]
- Teo, L.M.S.; Rittschof, D.; Jameson, F.; Chai, C.; Chen, C.L.; Lee, S.C.S. Antifouling Compounds and Use Thereof. U.S. Patent US20110092518A1, 21 April 2011. [Google Scholar]
- Xiao, L.; Li, J.; Mieszkin, S.; Fino, A.D.; Clare, A.S.; Callow, M.E.; Callow, J.A.; Grunze, M.; Rosenhahn, A.; Levkin, P.A. Slippery liquid-infused porous surfaces showing marine antibiofouling properties. ACS Appl. Mater. Interfaces 2013, 5, 10074–10080. [Google Scholar] [CrossRef] [PubMed]
- Shivapooja, P.; Cao, C.; Orihuela, B.; Levering, V.; Zhao, X.; Rittschof, D.; López, G.P. Incorporation of silicone oil into elastomers enhances barnacle detachment by active surface strain. Biofouling 2016, 32, 1017–1028. [Google Scholar] [CrossRef] [PubMed]
- Holm, E.R.; Orihuela, B.; Kavanagh, C.J.; Rittschof, D. Variation among families for characteristics of the adhesive plaque in the barnacle balanus amphitrite. Biofouling 2005, 21, 121–126. [Google Scholar] [CrossRef] [PubMed]
- Rittschof, D.; Orihuela, B.; Harder, T.; Stafslien, S.; Chisholm, B.; Dickinson, G.H. Compounds from silicones alter enzyme activity in curing barnacle glue and model enzymes. PLoS ONE 2011, 6, e16487. [Google Scholar] [CrossRef] [PubMed]
- Rittschof, D.; Chai, C.; Teo, S.L.M.; Maki, J.S. Fouling and its next generation management: A perspective. J. Agric. Mar. Sci. 2015, 19, 16–23. [Google Scholar]







© 2017 by the author. Licensee MDPI, Basel, Switzerland. This article is an open access article distributed under the terms and conditions of the Creative Commons Attribution (CC BY) license (http://creativecommons.org/licenses/by/4.0/).
Share and Cite
Rittschof, D. Off the Shelf Fouling Management. Mar. Drugs 2017, 15, 176. https://doi.org/10.3390/md15060176
Rittschof D. Off the Shelf Fouling Management. Marine Drugs. 2017; 15(6):176. https://doi.org/10.3390/md15060176
Chicago/Turabian StyleRittschof, Daniel. 2017. "Off the Shelf Fouling Management" Marine Drugs 15, no. 6: 176. https://doi.org/10.3390/md15060176
APA StyleRittschof, D. (2017). Off the Shelf Fouling Management. Marine Drugs, 15(6), 176. https://doi.org/10.3390/md15060176