Pinnisterols D–J, New 11-Acetoxy-9,11-secosterols with a 1,4-Quinone Moiety from Formosan Gorgonian Coral Pinnigorgia sp. (Gorgoniidae)
Abstract
:1. Introduction
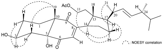
2. Results and Discussion
3. Experimental Section
3.1. General Experimental Procedures
3.2. Animal Material
3.3. Extraction and Separation
3.4. Anti-Hepatofibric Assay
3.5. Generation of Superoxide Anions and Release of Elastase by Human Neutrophils
4. Conclusions
Supplementary Materials
Acknowledgments
Author Contributions
Conflicts of Interest
References
- Enwall, E.L.; van der Helm, D.; Hsu, I.N.; Pattabhiraman, T.; Schmitz, F.J.; Spraggins, R.L.; Weinheimer, A.J. Crystal structure and absolute configuration of two cyclopropane containing marine steroids. J. Chem. Soc. Chem. Commun. 1972, 215–216. [Google Scholar] [CrossRef]
- Sica, D.; Musumeci, D. Secosteroids of marine origin. Steroids 2004, 69, 743–756. [Google Scholar] [CrossRef] [PubMed]
- Chang, Y.-C.; Kuo, L.-M.; Su, J.-H.; Hwang, T.-L.; Kuo, Y.-H.; Lin, C.-S.; Wu, Y.-C.; Sheu, J.-H.; Sung, P.-J. Pinnigorgiols A–C, 9,11-secosterols with a rare ring arrangement from a gorgonian coral Pinnigorgia sp. Tetrahedron 2016, 72, 999–1004. [Google Scholar] [CrossRef]
- Chang, Y.-C.; Kuo, L.-M.; Hwang, T.-L.; Yeh, J.; Wen, Z.-H.; Fang, L.-S.; Wu, Y.-C.; Lin, C.-S.; Sheu, J.-H.; Sung, P.-J. Pinnisterols A–C, new 9,11-secosterols from a gorgonian Pinnigorgia sp. Mar. Drugs 2016, 14, 12. [Google Scholar] [CrossRef] [PubMed]
- Su, Y.-D.; Cheng, C.-H.; Wen, Z.-H.; Wu, Y.-C.; Sung, P.-J. New anti-inflammatory sterols from a gorgonian Pinnigorgia sp. Bioorg. Med. Chem. Lett. 2016, 26, 3060–3063. [Google Scholar] [CrossRef] [PubMed]
- Chang, Y.-C.; Chen, N.-F.; Hwang, T.-L.; Tseng, C.-C.; Wu, T.-Y.; Peng, B.-R.; Wen, Z.-H.; Fang, L.-S.; Wu, Y.-C.; Sheu, J.-H.; et al. New marine sterols from an algal-bearing gorgonian coral Pinnigorgia sp. Steroids 2016, 115, 123–129. [Google Scholar] [CrossRef] [PubMed]
- Chang, H.-H.; Chang, Y.-C.; Chen, W.-F.; Hwang, T.-L.; Fang, L.-S.; Wen, Z.-H.; Chen, Y.-H.; Wu, Y.-C.; Sung, P.-J. Pubinernoid A and apo-9′-fucoxanthinone, secondary metabolites from a gorgonian coral Pinnigorgia sp. Nat. Prod. Commun. 2016, 11, 707–708. [Google Scholar] [PubMed]
- Chang, Y.-C.; Hwang, T.-L.; Sheu, J.-H.; Wu, Y.-C.; Sung, P.-J. New anti-inflammatory 9,11-secosterols with a rare tricyclo[5,2,1,1]decane ring from a Formosan gorgonian Pinnigorgia sp. Mar. Drugs 2016, 14, 218. [Google Scholar] [CrossRef] [PubMed]
- Yang, I.; Choi, H.; Won, D.H.; Nam, S.-J.; Kang, H. An antibacterial 9,11-secosterol from a marine sponge Ircinia sp. Bull. Korean Chem. Soc. 2014, 35, 3360–3362. [Google Scholar] [CrossRef]
- Wright, J.L.C.; McInnes, A.G.; Shimizu, S.; Smith, D.G.; Walter, J.A.; Idler, D.; Khalil, W. Identification of C-24 alkyl epimers of marine sterols by 13C nuclear magnetic resonances spectroscopy. Can. J. Chem. 1978, 56, 1898–1903. [Google Scholar]
- Cao, F.; Shao, C.-L.; Chen, M.; Zhang, M.-Q.; Xu, K.-X.; Meng, H.; Wang, C.-Y. Antiviral C-25 epimers of 26-acetoxy steroids from the South China Sea gorgonian Echinogorgia rebekka. J. Nat. Prod. 2014, 77, 1488–1493. [Google Scholar] [CrossRef] [PubMed]
- Coutts, L.D.; Geiss, W.B.; Gregg, B.T.; Helle, M.A.; King, C.-H.R.; Itov, Z.; Mateo, M.E.; Meckler, H.; Zettler, M.W.; Knutson, J.C. A stereospecific synthesis of 24(S)-hydroxyvitamin D2, a prodrug for 1α,24(S)-dihydroxyvitamin D2. Org. Process Res. Dev. 2002, 6, 246–255. [Google Scholar] [CrossRef]
- Fabricius, K.; Alderslade, P. Soft Corals and Sea Fans—A Comprehensive Guide to the Tropical Shallow-Water Genera of the Central-West Pacific, the Indian Ocean and the Red Sea, 1st ed.; Australian Institute of Marine Science: Townsville, Australia, 2001; pp. 218–219. [Google Scholar]
- Kuo, L.-M.; Kuo, C.-Y.; Lin, C.-Y.; Hung, M.-F.; Shen, J.-J.; Hwang, T.-L. Intracellular glutathione depletion by oridonin leads to apoptosis in hepatic stellate cells. Molecules 2014, 19, 3327–3344. [Google Scholar] [CrossRef] [PubMed]
- Yang, S.-C.; Chung, P.-J.; Ho, C.-M.; Kuo, C.-Y.; Hung, M.-F.; Huang, Y.-T.; Chang, W.-Y.; Chang, Y.-W.; Chan, K.-H.; Hwang, T.-L. Propofol inhibits superoxide production, elastase release, and chemotaxis in formyl peptide-activated human neutrophils by blocking formyl peptide receptor 1. J. Immunol. 2013, 190, 6511–6519. [Google Scholar] [CrossRef] [PubMed]
- Yu, H.-P.; Hsieh, P.-W.; Chang, Y.-J.; Chung, P.-J.; Kuo, L.-M.; Hwang, T.-L. 2-(2-Fluorobenzamido) benzoate ethyl ester (EFB-1) inhibits superoxide production by human neutrophils and attenuates hemorrhagic shock-induced organ dysfunction in rats. Free Radic. Biol. Med. 2011, 50, 1737–1748. [Google Scholar] [CrossRef] [PubMed]







| Position | δH (J in Hz) | δC, Multiple | 1H–1H COSY | HMBC |
|---|---|---|---|---|
| 1 | 2.21 m; 1.78 m | 25.9, CH2 | H2-2 | C-2, -10 |
| 2 | 2.00 m; 1.49 m | 29.9, CH2 | H2-1, H-3 | n. o. a |
| 3 | 4.03 m | 66.7, CH | H2-2, H2-4 | n. o. |
| 4 | 2.17 m; 1.79 m | 35.7, CH2 | H-3 | C-2, -3, -5, -6, -10 |
| 5 | 80.6, C | |||
| 6 | 197.5, C | |||
| 7 | 6.45 s | 134.1, CH | C-5, -8, -9, -14 | |
| 8 | 152.0, C | |||
| 9 | 201.6, C | |||
| 10 | 52.0, C | |||
| 11 | 4.18 m | 61.0, CH2 | H2-12 | C-12, -13, acetate carbonyl |
| 12 | 1.68 m; 1.26 ddd (14.8, 9.2, 5.6) | 37.1, CH2 | H2-11 | C-11, -13, -14, -17, -18 |
| 13 | 47.4, C | |||
| 14 | 3.37 dd (10.8, 8.0) | 43.9, CH | H2-15 | C-7, -8, -9, -13, -15, -18 |
| 15 | 1.75 m; 1.66 m | 27.1, CH2 | H-14, H2-16 | C-16 |
| 16 | 1.78 m; 1.57 m | 25.6, CH2 | H2-15, H-17 | C-15 |
| 17 | 1.81 m | 51.0, CH | H2-16, H-20 | C-15, -16, -18, -21 |
| 18 | 0.73 s | 18.0, CH3 | C-12, -13, -14, -17 | |
| 19 | 1.21 s | 20.5, CH3 | C-1, -5, -9, -10 | |
| 20 | 2.24 m | 38.3, CH | H-17, H3-21, H-22 | C-16, -17, -22, -23 |
| 21 | 1.05 d (6.8) | 21.8, CH3 | H-20 | C-17, -20, -22 |
| 22 | 5.23 dd (14.8, 6.8) | 133.8, CH | H-20, H-23 | C-20, -24 |
| 23 | 5.26 dd (14.8, 6.8) | 133.5, CH | H-22, H-24 | C-20, -24 |
| 24 | 1.86 m | 43.0, CH | H-23, H-25, H3-28 | C-22, -23, -25, -26, -27, -28 |
| 25 | 1.46 m | 33.1, CH | H-24, H3-26, H3-27 | C-23, -24, -26, -27, -28 |
| 26 | 0.84 d (7.2) | 20.0, CH3 | H-25 | C-24, -25, -27 |
| 27 | 0.82 d (7.2) | 19.7, CH3 | H-25 | C-24, -25, -26 |
| 28 | 0.91 d (6.8) | 17.5, CH3 | H-24 | C-23, -24, -25 |
| 11-OAc | 171.1, C | |||
| 2.02 s | 21.1, CH3 | Acetate carbonyl |
| δH | 2 a | 3 b | 4 b |
|---|---|---|---|
| 1 | 2.21 m; 1.76 m | 2.21 m; 1.74 m | 2.20 m; 1.72 m |
| 2 | 2.00 m; 1.47 m | 2.00 m; 1.47 m | 2.00 m; 1.49 m |
| 3 | 4.04 m | 4.04 m | 4.04 m |
| 4 | 2.15 ddd (14.4, 5.2, 2.0) c; 1.79 m | 2.14 m; 1.77 m | 2.13 m; 1.79 m |
| 7 | 6.47 s | 6.46 s | 6.46 s |
| 11 | 4.16 m | 4.17 t (6.3) | 4.18 m |
| 12 | 1.73 m; 1.23 m | 1.59 m; 1.30 m | 1.69 m; 1.25 m |
| 14 | 3.39 dd (10.8, 8.4) | 3.37 t (9.8) | 3.38 dd (11.2, 8.4) |
| 15 | 1.76 m; 1.68 m | 1.77 m; 1.69 m | 1.76 m; 1.65 m |
| 16 | 1.89 m; 1.53 m | 1.75 m; 1.49 m | 1.76 m; 1.55 m |
| 17 | 1.76 m | 1.97 m | 1.77 m |
| 18 | 0.74 s | 0.73 s | 0.73 s |
| 19 | 1.22 s | 1.21 s | 1.22 s |
| 20 | 1.42 m | 1.46 m | 2.23 m |
| 21 | 0.99 d (6.8) | 4.01 dd (10.5, 7.0); 3.96 dd (10.5, 7.0) | 1.06 d (7.0) |
| 22 | 1.44 m; 0.95 m | 5.36 dd (15.4, 8.4) | 5.24 dd (15.4, 8.4) |
| 23 | 1.40 m; 0.96 m | 5.22 dd (15.4, 8.4) | 5.30 dd (15.4, 8.4) |
| 24 | 1.20 m | 1.90 m | 2.19 m |
| 25 | 1.61 m | 1.45 m | 1.71 m |
| 26 | 0.79 d (6.8) | 0.84 d (7.0) | 0.85 d (7.0) |
| 27 | 0.86 d (6.8) | 0.82 d (7.0) | 3.98 dd (10.5, 6.3); 3.85 dd (10.5, 6.3) |
| 28 | 0.78 d (6.8) | 0.93 d (7.0) | 0.98 d (7.0) |
| 11-OAc | 2.02 s | 2.02 s | 2.03 s |
| 21-OAc | 2.04 s | ||
| 27-OAc | 2.07 s |
| δC | 2 a | 3 b | 4 b | 5 a | 6 a | 7 a |
|---|---|---|---|---|---|---|
| 1 | 25.9, CH2 | 25.8, CH2 | 25.9, CH2 | 25.9, CH2 | 25.7, CH2 | 25.7, CH2 |
| 2 | 29.9, CH2 | 29.9, CH2 | 29.9, CH2 | 29.9, CH2 | 25.9, CH2 | 25.9, CH2 |
| 3 | 66.7, CH | 66.7, CH | 66.7, CH | 66.7, CH | 69.7, CH | 69.8, CH |
| 4 | 35.8, CH2 | 35.7, CH2 | 35.7, CH2 | 35.6, CH2 | 32.0, CH2 | 31.9, CH2 |
| 5 | 80.6, C | 80.6, C | 80.6, C | 80.5, C | 80.1, C | 80.0, C |
| 6 | 197.4, C | 197.4, C | 197.5, C | 197.5, C | 197.3, C | 197.5, C |
| 7 | 134.1, CH | 134.1, CH | 134.1, CH | 134.2, CH | 134.2, CH | 134.2, CH |
| 8 | 152.1, C | 151.6, C | 151.8, C | 151.7, C | 151.8, C | 151.6, C |
| 9 | 201.5, C | 201.6, C | 201.6, C | 201.6, C | 201.2, C | 201.3, C |
| 10 | 52.0, C | 52.0, C | 52.0, C | 52.0, C | 51.9, C | 51.9, C |
| 11 | 61.0, CH2 | 60.8, CH2 | 61.0, CH2 | 60.9, CH2 | 61.0, CH2 | 61.0, CH2 |
| 12 | 37.2, CH2 | 36.7, CH2 | 37.0, CH2 | 37.0, CH2 | 37.2, CH2 | 37.2, CH2 |
| 13 | 47.5, C | 47.5, C | 47.3, C | 47.4, C | 47.4, C | 47.4, C |
| 14 | 43.7, CH | 43.5, CH | 43.8, CH | 43.7, CH | 43.7, CH | 43.8, CH |
| 15 | 27.2, CH2 | 27.1, CH2 | 26.9, CH2 | 27.0, CH2 | 27.1, CH2 | 27.1, CH2 |
| 16 | 26.2, CH2 | 25.8, CH2 | 25.7, CH2 | 26.2, CH2 | 26.4, CH2 | 25.8, CH2 |
| 17 | 50.7, CH | 46.3, CH | 50.7, CH | 51.4, CH | 51.6, CH | 50.9, CH |
| 18 | 17.6, CH3 | 18.5, CH3 | 18.0, CH3 | 17.6, CH3 | 17.8, CH3 | 18.0, CH3 |
| 19 | 20.5, CH3 | 20.4, CH3 | 20.5, CH3 | 20.4, CH3 | 20.3, CH3 | 20.2, CH3 |
| 20 | 34.9, CH | 42.2, CH | 38.4, CH | 33.2, CH | 33.9, CH | 38.2, CH |
| 21 | 19.2, CH3 | 67.2, CH2 | 21.7, CH3 | 20.4, CH3 | 21.1, CH3 | 21.6, CH3 |
| 22 | 33.0, CH2 | 127.5, CH | 135.4, CH | 35.4, CH2 | 39.4, CH2 | 132.9, CH |
| 23 | 21.4, CH2 | 138.1, CH | 131.1, CH | 76.7, CH | 74.6, CH | 134.5, CH |
| 24 | 39.0, CH | 43.4, CH | 38.2, CH | 42.7, CH | 45.5, CH | 75.0, C |
| 25 | 31.5, CH | 32.9, CH | 37.4, CH | 28.5, CH | 27.7, CH | 38.1, CH |
| 26 | 17.6, CH3 | 20.0, CH3 | 13.1, CH3 | 21.6, CH3 | 21.7, CH3 | 17.5, CH3 |
| 27 | 20.5, CH3 | 19.7, CH3 | 67.9, CH2 | 18.6, CH3 | 17.6, CH3 | 17.1, CH3 |
| 28 | 15.4, CH3 | 17.5, CH3 | 18.3, CH3 | 11.0, CH3 | 10.5, CH3 | 25.2, CH3 |
| 3-OAc | 170.8, C | 170.9, C | ||||
| 21.3, CH3 | 21.1, CH3 | |||||
| 11-OAc | 171.1, C | 171.1, C | 171.1, C | 171.1, C | 171.0, C | 170.9, C |
| 21.1, CH3 | 21.1, CH3 | 21.1, CH3 | 21.1, CH3 | 21.1, CH3 | 21.1, CH3 | |
| 21-OAc | 171.1, C | |||||
| 21.0, CH3 | ||||||
| 23-OAc | 170.7, C | |||||
| 21.4, CH3 | ||||||
| 27-OAc | 171.3, C | |||||
| 21.1, CH3 |
| δH | 5 | 6 | 7 |
|---|---|---|---|
| 1 | 2.22 m; 1.76 m | 2.27 m; 1.78 m | 2.28 m; 1.76 m |
| 2 | 1.97 m; 1.48 m | 1.98 m; 1.60 m | 1.96 m; 1.61 m |
| 3 | 4.02 m | 5.05 m | 5.05 m |
| 4 | 2.12 m; 1.78 m | 2.24 m; 1.81 m | 2.24 m; 1.79 m |
| 7 | 6.45 s | 6.46 s | 6.45 s |
| 11 | 4.14 m | 4.18 m | 4.17 m |
| 12 | 1.63 m; 1.23 m | 1.70 m; 1.27 m | 1.67 m; 1.26 m |
| 14 | 3.36 dd (11.2, 8.4) a | 3.39 dd (10.8, 8.0) | 3.39 dd (10.4, 8.0) |
| 15 | 1.76 m; 1.65 m | 1.80 m; 1.69 m | 1.76 m; 1.69 m |
| 16 | 1.91 m; 1.52 m | 1.93 m; 1.53 m | 1.99 m; 1.53 m |
| 17 | 1.69 m | 1.81 m | 1.81 m |
| 18 | 0.73 s | 0.74 s | 0.73 s |
| 19 | 1.20 s | 1.22 s | 1.21 s |
| 20 | 1.54 m | 1.63 m | 2.28 m |
| 21 | 1.02 d (6.8) | 1.13 d (6.8) | 1.08 d (6.8) |
| 22 | 1.67 m; 1.24 m | 1.72 m; 1.07 m | 5.53 dd (15.6, 8.4) |
| 23 | 5.01 m | 3.59 m | 5.48 (15.6) |
| 24 | 1.47 m | 1.32 m | |
| 25 | 1.57 m | 1.84 m | 1.67 m |
| 26 | 0.93 d (6.8) | 0.94 d (7.2) | 0.89 d (6.8) |
| 27 | 0.83 d (6.8) | 0.84 d (7.2) | 0.88 d (6.8) |
| 28 | 0.81 d (6.8) | 0.79 d (7.2) | 1.21 s |
| 3-OAc | 2.04 s | 2.04 s | |
| 11-OAc | 2.02 s | 2.02 s | 2.02 s |
| 23-OAc | 2.03 s |
| Compound | Elastase Release | Superoxide Anions |
|---|---|---|
| IC50 (μM) | IC50 (μM) | |
| 2 | 2.33 ± 0.27 | >10 |
| 3 | >10 | 5.52 ± 1.06 |
| 4 | >10 | >10 |
| 5 | 2.59 ± 0.29 | 3.26 ± 0.33 |
| 6 | >10 | >10 |
| 7 | 3.89 ± 1.16 | 3.71 ± 0.51 |
© 2017 by the authors; licensee MDPI, Basel, Switzerland. This article is an open access article distributed under the terms and conditions of the Creative Commons Attribution (CC-BY) license (http://creativecommons.org/licenses/by/4.0/).
Share and Cite
Chang, Y.-C.; Hwang, T.-L.; Kuo, L.-M.; Sung, P.-J. Pinnisterols D–J, New 11-Acetoxy-9,11-secosterols with a 1,4-Quinone Moiety from Formosan Gorgonian Coral Pinnigorgia sp. (Gorgoniidae). Mar. Drugs 2017, 15, 11. https://doi.org/10.3390/md15010011
Chang Y-C, Hwang T-L, Kuo L-M, Sung P-J. Pinnisterols D–J, New 11-Acetoxy-9,11-secosterols with a 1,4-Quinone Moiety from Formosan Gorgonian Coral Pinnigorgia sp. (Gorgoniidae). Marine Drugs. 2017; 15(1):11. https://doi.org/10.3390/md15010011
Chicago/Turabian StyleChang, Yu-Chia, Tsong-Long Hwang, Liang-Mou Kuo, and Ping-Jyun Sung. 2017. "Pinnisterols D–J, New 11-Acetoxy-9,11-secosterols with a 1,4-Quinone Moiety from Formosan Gorgonian Coral Pinnigorgia sp. (Gorgoniidae)" Marine Drugs 15, no. 1: 11. https://doi.org/10.3390/md15010011
APA StyleChang, Y.-C., Hwang, T.-L., Kuo, L.-M., & Sung, P.-J. (2017). Pinnisterols D–J, New 11-Acetoxy-9,11-secosterols with a 1,4-Quinone Moiety from Formosan Gorgonian Coral Pinnigorgia sp. (Gorgoniidae). Marine Drugs, 15(1), 11. https://doi.org/10.3390/md15010011

