The Effect of the Molecular Architecture on the Antioxidant Properties of Chitosan Gallate
Abstract
:1. Introduction
2. Results and Discussion
2.1. Preparation of CG Derivative
2.2. Effect of Reaction Conditions on the Degree of Substitution (DS)
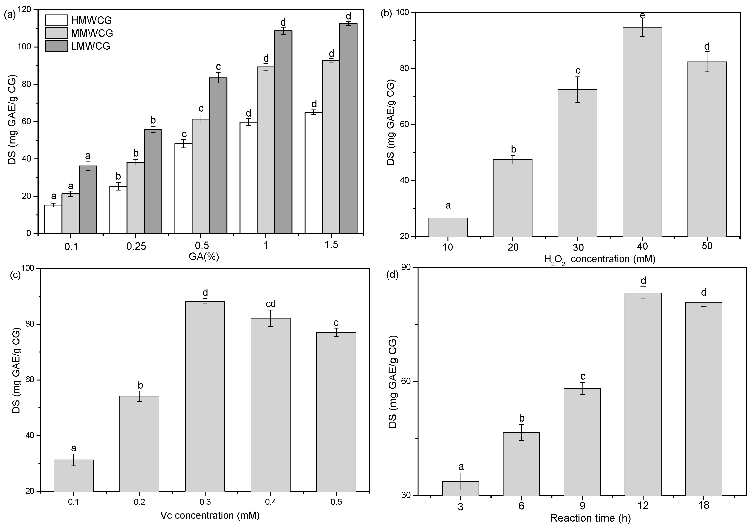
2.2.1. Effect of the Initial Ratio of GA:CS and the MW of CS on DS
2.2.2. Effect of the Concentration of H2O2 and Vc on DS
2.2.3. The Effect of Reaction Time on the DS
2.3. Characterization of CG
2.4. Antioxidant Assessments
2.4.1. Effect of Molecular Weight on Antioxidant Activity
2.4.2. Effect of the DS on Antioxidant Activity
2.5. Cytotoxicity Assessments
3. Materials and Methods
3.1. Materials
3.2. Preparation of CG Derivative
3.3. Characterization of CG Derivatives
3.4. Antioxidant Assessments
3.5. Cytotoxicity Assessments
3.6. Statistical Analysis
4. Conclusions
Acknowledgments
Author Contributions
Conflicts of Interest
Abbreviations
| CS | Chitosan |
| GA | Gallic acid |
| CG | Chitosan gallate |
| MW | Molecular weight |
| PDI | Polydispersity Index |
| HMW-CS | High molecular weight chitosan |
| MMW-CS | Middle molecular weight chitosan |
| LMW-CS | Low molecular weight chitosan |
| DS | Degrees of substitution |
| HO• | Hydroxyl radical |
| MTT | 3-(4,5-dimethylthiazol-2-yl)-2,5-diphenyltetrazolium bromide |
| DPPH | 2,2-diphenyl-1-picrylhydrazyl |
References
- Cho, Y.-S.; Kim, S.-K.; Ahn, C.-B.; Je, J.-Y. Preparation, characterization, and antioxidant properties of gallic acid-grafted-chitosans. Carbohydr. Polym. 2011, 83, 1617–1622. [Google Scholar] [CrossRef]
- Apel, K.; Hirt, H. Reactive oxygen species: Metabolism, oxidative stress, and signal transduction. Annu. Rev. Plant Biol. 2004, 55, 373–399. [Google Scholar] [CrossRef] [PubMed]
- Frei, B. Natural Antioxidants in Human Health and Disease; Academic Press: California, CA, USA, 2012. [Google Scholar]
- Xing, R.; Liu, S.; Guo, Z.; Yu, H.; Wang, P.; Li, C.; Li, Z.; Li, P. Relevance of molecular weight of chitosan and its derivatives and their antioxidant activities in vitro. Bioorg. Med. Chem. 2005, 13, 1573–1577. [Google Scholar] [CrossRef] [PubMed]
- Kim, K.W.; Thomas, R.L. Antioxidative activity of chitosans with varying molecular weights. Food Chem. 2007, 101, 308–313. [Google Scholar] [CrossRef]
- Ying, G.-Q.; Xiong, W.-Y.; Wang, H.; Sun, Y.; Liu, H.-Z. Preparation, water solubility and antioxidant activity of branched-chain chitosan derivatives. Carbohydr. Polym. 2011, 83, 1787–1796. [Google Scholar] [CrossRef]
- Liu, J.; Wen, X.Y.; Lu, J.F.; Kan, J.; Jin, C.H. Free radical mediated grafting of chitosan with caffeic and ferulic acids: Structures and antioxidant activity. Int. J. Biol. Macromol. 2014, 65, 97–106. [Google Scholar] [CrossRef] [PubMed]
- Qinna, N.A.; Karwi, Q.G.; Al-Jbour, N.; Al-Remawi, M.A.; Alhussainy, T.M.; Al-So’ud, K.A.; Al Omari, M.M.; Badwan, A.A. Influence of molecular weight and degree of deacetylation of low molecular weight chitosan on the bioactivity of oral insulin preparations. Mar. Drugs 2015, 13, 1710–1725. [Google Scholar] [CrossRef] [PubMed]
- Anitha, A.; Sowmya, S.; Kumar, P.T.S.; Deepthi, S.; Chennazhi, K.P.; Ehrlich, H.; Tsurkan, M.; Jayakumar, R. Chitin and chitosan in selected biomedical applications. Prog. Polym. Sci. 2014, 39, 1644–1667. [Google Scholar] [CrossRef]
- Sahariah, P.; Gaware, V.S.; Lieder, R.; Jonsdottir, S.; Hjalmarsdottir, M.A.; Sigurjonsson, O.E.; Masson, M. The effect of substituent, degree of acetylation and positioning of the cationic charge on the antibacterial activity of quaternary chitosan derivatives. Mar. Drugs 2014, 12, 4635–4658. [Google Scholar] [CrossRef] [PubMed]
- Van den Broek, L.A.; Knoop, R.J.; Kappen, F.H.; Boeriu, C.G. Chitosan films and blends for packaging material. Carbohydr. Polym. 2015, 116, 237–242. [Google Scholar] [CrossRef] [PubMed]
- Chen, M.C.; Mi, F.L.; Liao, Z.X.; Hsiao, C.W.; Sonaje, K.; Chung, M.F.; Hsu, L.W.; Sung, H.W. Recent advances in chitosan-based nanoparticles for oral delivery of macromolecules. Adv. Drug Deliv. Rev. 2013, 65, 865–879. [Google Scholar] [CrossRef] [PubMed]
- Mallick, S.; Sanpui, P.; Ghosh, S.S.; Chattopadhyay, A.; Paul, A. Synthesis, characterization and enhanced bactericidal action of a chitosan supported core–shell copper–silver nanoparticle composite. RSC Adv. 2015, 5, 12268–12276. [Google Scholar] [CrossRef]
- Tomida, H.; Fujii, T.; Furutani, N.; Michihara, A.; Yasufuku, T.; Akasaki, K.; Maruyama, T.; Otagiri, M.; Gebicki, J.M.; Anraku, M. Antioxidant properties of some different molecular weight chitosans. Carbohydr. Res. 2009, 344, 1690–1696. [Google Scholar] [CrossRef] [PubMed]
- Zhai, Y.; Zhou, K.; Xue, Y.; Qin, F.; Yang, L.; Yao, X. Synthesis of water-soluble chitosan-coated nanoceria with excellent antioxidant properties. RSC Adv. 2013, 3, 6833. [Google Scholar] [CrossRef]
- Aytekin, A.O.; Morimura, S.; Kida, K. Synthesis of chitosan-caffeic acid derivatives and evaluation of their antioxidant activities. J. Biosci. Bioeng. 2011, 111, 212–216. [Google Scholar] [CrossRef] [PubMed]
- Curcio, M.; Puoci, F.; Iemma, F.; Parisi, O.I.; Cirillo, G.; Spizzirri, U.G.; Picci, N. Covalent insertion of antioxidant molecules on chitosan by a free radical grafting procedure. J. Agric. Food Chem. 2009, 57, 5933–5938. [Google Scholar] [CrossRef] [PubMed]
- Pasanphan, W.; Buettner, G.R.; Chirachanchai, S. Chitosan gallate as a novel potential polysaccharide antioxidant: An EPR study. Carbohydr. Res. 2010, 345, 132–140. [Google Scholar] [CrossRef] [PubMed]
- Guo, Z.; Xing, R.; Liu, S.; Yu, H.; Wang, P.; Li, C.; Li, P. The synthesis and antioxidant activity of the Schiff bases of chitosan and carboxymethyl chitosan. Bioorg. Med. Chem. Lett. 2005, 15, 4600–4603. [Google Scholar] [CrossRef] [PubMed]
- Xie, M.; Hu, B.; Wang, Y.; Zeng, X. Grafting of gallic acid onto chitosan enhances antioxidant activities and alters rheological properties of the copolymer. J. Agric. Food Chem. 2014, 62, 9128–9136. [Google Scholar] [CrossRef] [PubMed]
- Lee, D.S.; Woo, J.Y.; Ahn, C.B.; Je, J.Y. Chitosan-hydroxycinnamic acid conjugates: Preparation, antioxidant and antimicrobial activity. Food Chem. 2014, 148, 97–104. [Google Scholar] [CrossRef] [PubMed]
- Hager, A.S.; Vallons, K.J.; Arendt, E.K. Influence of gallic acid and tannic acid on the mechanical and barrier properties of wheat gluten films. J. Agric. Food Chem. 2012, 60, 6157–6163. [Google Scholar] [CrossRef] [PubMed]
- Božič, M.; Gorgieva, S.; Kokol, V. Laccase-mediated functionalization of chitosan by caffeic and gallic acids for modulating antioxidant and antimicrobial properties. Carbohydr. Polym. 2012, 87, 2388–2398. [Google Scholar] [CrossRef]
- Božič, M.; Štrancar, J.; Kokol, V. Laccase-initiated reaction between phenolic acids and chitosan. React. Funct. Polym. 2013, 73, 1377–1383. [Google Scholar] [CrossRef]
- Schreiber, S.B.; Bozell, J.J.; Hayes, D.G.; Zivanovic, S. Introduction of primary antioxidant activity to chitosan for application as a multifunctional food packaging material. Food Hydrocoll. 2013, 33, 207–214. [Google Scholar] [CrossRef]
- Pasanphan, W.; Chirachanchai, S. Conjugation of gallic acid onto chitosan: An approach for green and water-based antioxidant. Carbohydr. Polym. 2008, 72, 169–177. [Google Scholar] [CrossRef]
- Lee, D.S.; Je, J.Y. Gallic acid-grafted-chitosan inhibits foodborne pathogens by a membrane damage mechanism. J. Agric. Food Chem. 2013, 61, 6574–6579. [Google Scholar] [CrossRef] [PubMed]
- Liu, J.; Lu, J.F.; Kan, J.; Jin, C.H. Synthesis of chitosan-gallic acid conjugate: Structure characterization and in vitro anti-diabetic potential. Int. J. Biol. Macromol. 2013, 62, 321–329. [Google Scholar] [CrossRef] [PubMed]
- Abu Naim, A.; Umar, A.; Sanagi, M.M.; Basaruddin, N. Chemical modification of chitin by grafting with polystyrene using ammonium persulfate initiator. Carbohydr. Polym. 2013, 98, 1618–1623. [Google Scholar] [CrossRef] [PubMed]
- Cho, J.; Grant, J.; Piquette-Miller, M.; Allen, C. Synthesis and physicochemical and dynamic mechanical properties of a water-soluble chitosan derivative as a biomaterial. Biomacromolecules 2006, 7, 2845–2855. [Google Scholar] [CrossRef] [PubMed]
- Zavaleta-Avejar, L.; Bosquez-Molina, E.; Gimeno, M.; Pérez-Orozco, J.P.; Shirai, K. Rheological and antioxidant power studies of enzymatically grafted chitosan with a hydrophobic alkyl side chain. Food Hydrocoll. 2014, 39, 113–119. [Google Scholar] [CrossRef]
- Hsu, S.C.; Don, T.M.; Chiu, W.Y. Free radical degradation of chitosan with potassium persulfate. Polym. Degrad. Stab. 2002, 75, 73–83. [Google Scholar] [CrossRef]
- Qin, C.Q.; Du, Y.M.; Xiao, L. Effect of hydrogen peroxide treatment on the molecular weight and structure of chitosan. Polym. Degrad. Stab. 2002, 76, 211–218. [Google Scholar] [CrossRef]
- Bian, Y.; Gao, D.; Liu, Y.; Li, N.; Zhang, X.; Zheng, R.Y.; Wang, Q.; Luo, L.; Dai, K. Preparation and study on anti-tumor effect of chitosan-coated oleanolic acid liposomes. RSC Adv. 2015, 5, 18725–18732. [Google Scholar] [CrossRef]
- Masoomi, M.; Tavangar, M.; Razavi, S.M.R. Preparation and investigation of mechanical and antibacterial properties of poly(ethylene terephthalate)/chitosan blend. RSC Adv. 2015, 5, 79200–79206. [Google Scholar] [CrossRef]
- Spizzirri, U.G.; Parisi, O.I.; Iemma, F.; Cirillo, G.; Puoci, F.; Curcio, M.; Picci, N. Antioxidant–polysaccharide conjugates for food application by eco-friendly grafting procedure. Carbohydr. Polym. 2010, 79, 333–340. [Google Scholar] [CrossRef]
- Xie, W.; Xu, P.; Liu, Q. Antioxidant activity of water-soluble chitosan derivatives. Bioorg. Med. Chem. Lett. 2001, 11, 1699–1701. [Google Scholar] [CrossRef]
- Duh, P.-D. Antioxidant activity of burdock (Arctium lappa Linne): Its scavenging effect on free-radical and active oxygen. J. Am. Oil Chem. Soc. 1998, 75, 455–461. [Google Scholar] [CrossRef]
- Kunath, K. Low-molecular-weight polyethylenimine as a non-viral vector for DNA delivery: Comparison of physicochemical properties, transfection efficiency and in vivo distribution with high-molecular-weight polyethylenimine. J. Control. Release 2003, 89, 113–125. [Google Scholar] [CrossRef]
- Hill, I.R.C.; Garnett, M.C.; Bignotti, F.; Davis, S.S. In vitro cytotoxicity of poly(amidoamine)s: Relevance to DNA delivery. Biochim. Biophys. Acta Gen. Subj. 1999, 1427, 161–174. [Google Scholar] [CrossRef]
- Fan, L.; Wu, H.; Cao, M.; Zhou, X.; Peng, M.; Xie, W.; Liu, S. Enzymatic synthesis of collagen peptide–carboxymethylated chitosan copolymer and its characterization. React. Funct. Polym. 2014, 76, 26–31. [Google Scholar] [CrossRef]
- Wu, C.; Tian, J.; Li, S.; Wu, T.; Hu, Y.; Chen, S.; Sugawara, T.; Ye, X. Structural properties of films and rheology of film-forming solutions of chitosan gallate for food packaging. Carbohydr. Polym. 2016, 146, 10–19. [Google Scholar] [CrossRef] [PubMed]
- Huang, H.; Sun, Y.; Lou, S.; Li, H.; Ye, X. In vitro digestion combined with cellular assay to determine the antioxidant activity in Chinese bayberry (Myrica rubra Sieb. et Zucc.) fruits: A comparison with traditional methods. Food Chem. 2014, 146, 363–370. [Google Scholar] [CrossRef] [PubMed]










| Samples | CS | Reaction Conditions | DS (mg·GAE/g CG) | CG | ||
|---|---|---|---|---|---|---|
| MW/kDa | PDI | MW/kDa | PDI | |||
| MWCG-1 | 98.67 ± 4.15 | 1.82 ± 0.13 | GA/CS = 0.5, t = 15 h, 40 mM H2O2, 0.4 mM Vc | 73.21 ± 1.60 | 32.78 ± 1.35 | 1.61 ± 0.16 |
| MWCG-2 | 98.67 ± 4.15 | 1.82 ± 0.13 | GA/CS = 1, t = 12 h, 20 mM H2O2, 0.3 mM Vc | 72.57 ± 2.02 | 78.37 ± 2.38 | 1.35 ± 0.08 |
| MWCG-3 | 211.59 ± 6.89 | 1.90 ± 0.21 | GA/CS = 1, t = 9 h, 20 mM H2O2, 0.3 mM Vc | 72.93 ± 2.37 | 183.13 ± 3.27 | 1.42 ± 0.13 |
| MWCG-4 | 508.40 ± 5.67 | 1.85 ± 0.14 | GA/CS = 1, t = 15 h, 50 mM H2O2, 0.5 mM Vc | 73.08 ± 2.17 | 275.92 ± 3.25 | 1.61 ± 0.14 |
| MWCG-5 | 508.40 ± 5.67 | 1.85 ± 0.14 | GA/CS = 1, t = 12 h, 25 mM H2O2, 0.3 mM Vc | 74.33 ± 1.49 | 489.32 ± 4.62 | 1.57 ± 0.12 |
| CS | 211.59 ± 6.89 | 1.90 ± 0.21 | GA/CS = 0, t = 12 h, 20 mM H2O2, 0.3 mM Vc | 0 | 182.13 ± 3.27 | 1.44 ± 0.07 |
| DSCG-1 | 211.59 ± 6.89 | 1.90 ± 0.21 | GA/CS = 0.1, t = 12 h, 20 mM H2O2, 0.3 mM Vc | 21.37 ± 1.26 | 184.46 ± 1.59 | 1.38 ± 0.14 |
| DSCG-2 | 211.59 ± 6.89 | 1.90 ± 0.21 | GA/CS = 0.25, t = 12 h, 20 mM H2O2, 0.3 mM Vc | 38.25 ± 2.03 | 186.13 ± 3.27 | 1.45 ± 0.06 |
| DSCG-3 | 211.59 ± 6.89 | 1.90 ± 0.21 | GA/CS = 0.5, t = 12 h, 20 mM H2O2, 0.3 mM Vc | 61.42 ± 2.16 | 188.89 ± 3.83 | 1.50 ± 0.19 |
| DSCG-4 | 211.59 ± 6.89 | 1.90 ± 0.21 | GA/CS = 1, t = 12 h, 20 mM H2O2, 0.3 mM Vc | 92.89 ± 0.93 | 191.52 ± 2.64 | 1.43 ± 0.11 |
© 2016 by the authors; licensee MDPI, Basel, Switzerland. This article is an open access article distributed under the terms and conditions of the Creative Commons Attribution (CC-BY) license (http://creativecommons.org/licenses/by/4.0/).
Share and Cite
Wu, C.; Wang, L.; Fang, Z.; Hu, Y.; Chen, S.; Sugawara, T.; Ye, X. The Effect of the Molecular Architecture on the Antioxidant Properties of Chitosan Gallate. Mar. Drugs 2016, 14, 95. https://doi.org/10.3390/md14050095
Wu C, Wang L, Fang Z, Hu Y, Chen S, Sugawara T, Ye X. The Effect of the Molecular Architecture on the Antioxidant Properties of Chitosan Gallate. Marine Drugs. 2016; 14(5):95. https://doi.org/10.3390/md14050095
Chicago/Turabian StyleWu, Chunhua, Liping Wang, Zhongxiang Fang, Yaqin Hu, Shiguo Chen, Tatsuya Sugawara, and Xingqian Ye. 2016. "The Effect of the Molecular Architecture on the Antioxidant Properties of Chitosan Gallate" Marine Drugs 14, no. 5: 95. https://doi.org/10.3390/md14050095
APA StyleWu, C., Wang, L., Fang, Z., Hu, Y., Chen, S., Sugawara, T., & Ye, X. (2016). The Effect of the Molecular Architecture on the Antioxidant Properties of Chitosan Gallate. Marine Drugs, 14(5), 95. https://doi.org/10.3390/md14050095
